Sign in to use this feature.

Years

Between: -

Subjects

remove_circle_outline
remove_circle_outline
remove_circle_outline
remove_circle_outline
remove_circle_outline
remove_circle_outline
remove_circle_outline
remove_circle_outline
remove_circle_outline

Journals

remove_circle_outline
remove_circle_outline
remove_circle_outline

Article Types

Countries / Regions

Search Results (291)

Search Parameters:
Keywords = face image quality features

Order results
Result details
Results per page
Select all
Export citation of selected articles as:
25 pages, 8614 KB  
Article
Underwater Image Restoration Integrating Monocular Depth Estimation with a Physical Imaging Model
by Tianchi Zhang, Hongwei Qin, Qiang Liu and Xing Liu
J. Mar. Sci. Eng. 2026, 14(6), 563; https://doi.org/10.3390/jmse14060563 - 18 Mar 2026
Viewed by 184
Abstract
Underwater images suffer from quality degradation such as haze, detail blurring, color distortion, and low contrast due to factors like light scattering and wavelength-dependent attenuation in water. This severely hinders the high-quality completion of target detection tasks for Autonomous Underwater Vehicles (AUV) relying [...] Read more.
Underwater images suffer from quality degradation such as haze, detail blurring, color distortion, and low contrast due to factors like light scattering and wavelength-dependent attenuation in water. This severely hinders the high-quality completion of target detection tasks for Autonomous Underwater Vehicles (AUV) relying on image information. Although deep learning-based methods have gained widespread attention, existing approaches still face challenges such as insufficient feature extraction and limited generalization in complex real-world scenes. Methods based on physical models, on the other hand, heavily rely on depth information which is difficult to obtain accurately. To address these issues, this paper proposes a novel underwater image restoration method that integrates depth estimation with the Akkaynak-Treibitz physical imaging model. In the depth estimation stage, efficient and robust feature extraction is achieved through a lightweight encoder–decoder architecture combined with a channel–spatial hybrid attention mechanism. To overcome the inherent scale ambiguity problem in monocular depth estimation, which prevents direct output of absolute depth consistent with the real scene, sparse depth priors are introduced. Subsequently, adaptive depth binning and depth map optimization are realized via m-Vision Transformer and convolutional regression. In the image restoration stage, the acquired high-quality depth map is combined with the Akkaynak-Treibitz physical imaging model for inverse solving, achieving high-quality restoration from degraded to clear images. Experimental results demonstrate that the proposed method outperforms mainstream depth estimation methods (LapDepth, UDepth, etc.) and mainstream image restoration methods (CLAHE, FUnIE-GAN, etc.) in terms of evaluation metrics and visual perceptual quality. When processing the extremely degraded UIEB-S dataset, the proposed method achieves evaluation metrics of SSIM = 0.8954, UCIQE = 0.6107, and PSNR = 23.35 dB. Compared to the CLAHE and FUnIE-GAN methods, SSIM improved by 2.8% and 16.7%, UCIQE improved by 9.6% and 14.3%, and PSNR improved by 22.5% and 13.9%, respectively. Comprehensive subjective and objective evaluation results validate the effectiveness of the proposed method in addressing image quality degradation, particularly demonstrating outstanding capability in severe color cast correction and detail recovery. Full article
(This article belongs to the Section Ocean Engineering)
Show Figures

Figure 1

19 pages, 9160 KB  
Article
Machine Vision-Based Intelligent Intrusion Detection Method for Obstacles on Open Railways in Low-Light Environments
by Heng Zhou, Fengkui Chen, Xinyao Dong, Jikang Sun, Qing Yang and Dexin Gao
Appl. Sci. 2026, 16(6), 2848; https://doi.org/10.3390/app16062848 - 16 Mar 2026
Viewed by 196
Abstract
Railway obstacle detection in low-light environments faces challenges such as complex scenes and frequent obstacle intrusion across boundaries, and to address these issues, this paper proposes an improved RT-DETR-based method for low-light railway obstacle detection, named SWC-DETR. Firstly, the low-light image enhancement network [...] Read more.
Railway obstacle detection in low-light environments faces challenges such as complex scenes and frequent obstacle intrusion across boundaries, and to address these issues, this paper proposes an improved RT-DETR-based method for low-light railway obstacle detection, named SWC-DETR. Firstly, the low-light image enhancement network SCINet is introduced to improve image quality in low-light environments and enhance the stability of feature extraction in the model; secondly, WTConv is integrated into the RepC3 module by combining wavelet transform with convolution to achieve a balance between a large receptive field and low parameter count; and thirdly, the CloFormer dual-branch structure is incorporated into the AIFI module to further suppress background noise under low-light conditions and strengthen the representation of edge features for small targets. In this paper, a low-light open railway obstacle detection dataset is constructed, and extensive comparative experiments along with multiple independent runs are conducted. The results demonstrate that the improved model reduces the number of parameters and the computational complexity by 18.1% and 33.8%, respectively, while consistently achieving a mAP@0.5 of 72.2% and a recall of 66.6% (representing an average improvement of 5.9% and 5.5% over the original model, respectively), achieving model lightweighting while significantly improving the accuracy of obstacle detection in low-light environments and providing effective technical support for the safety protection of open railways. Full article
Show Figures

Figure 1

25 pages, 1948 KB  
Article
VDTAR-Net: A Cooperative Dual-Path Convolutional Neural Network–Transformer Network for Robust Highlight Reflection Segmentation
by Qianlong Zhang and Yue Zeng
Computers 2026, 15(3), 168; https://doi.org/10.3390/computers15030168 - 4 Mar 2026
Viewed by 242
Abstract
In medical endoscopic imaging, specular reflection (SR) frequently leads to local overexposure, obscuring essential tissue information and complicating computer-aided diagnosis (CAD). Traditional convolutional neural networks (CNNs) face difficulties in modeling global illumination phenomena due to their biased local receptive fields and the inherent [...] Read more.
In medical endoscopic imaging, specular reflection (SR) frequently leads to local overexposure, obscuring essential tissue information and complicating computer-aided diagnosis (CAD). Traditional convolutional neural networks (CNNs) face difficulties in modeling global illumination phenomena due to their biased local receptive fields and the inherent “object assumption.” Conversely, pure transformer models often lose high-frequency boundary details and incur substantial computational costs. To tackle these challenges, this paper introduces VDTAR-Net, a specialized framework adapted to address the unique optical characteristics of specular reflections. Building upon hybrid architectures, our contribution focuses on two core mechanisms: (1) a Cross-architecture Fusion Module (CFM) that enables deep, bidirectional information flow, allowing the Transformer’s global illumination modeling to continuously correct the CNN’s local texture biases; and (2) a Reflective-Aware Module (RAM), which explicitly integrates the physical prior of high-intensity saturation into the attention mechanism. This task-specific design significantly enhances sensitivity to boundary details in overexposed regions. We also created the first large-scale, expert-labeled cervical white light segmentation dataset, Cervix-WL-900. High-quality ground truth labels were generated through rigorous double-blind annotation and arbitration by senior experts. Experimental results show that VDTAR-Net achieves a Dice score of 92.56% and a mean Intersection over Union (mIoU) score of 87.31% on Cervix-WL-900, demonstrating superior performance compared to methods like U-Net, DeepLabv3+, SegFormer, and PSPNet. Ablation studies further confirm the substantial contributions of dual-path collaboration, CFM deep fusion, and RAM task-specific priors. VDTAR-Net provides a robust baseline for precise highlight segmentation, laying a foundation for subsequent image quality assessment, restoration, and feature decoupling in diagnostic models. Full article
(This article belongs to the Special Issue AI in Bioinformatics)
Show Figures

Figure 1

26 pages, 30049 KB  
Article
HVIFormer: A Dual-Stage Low-Light Image Enhancement Method Based on HVI Representation
by Yimei Li, Liuhong Luo and Hongjun Li
Appl. Sci. 2026, 16(5), 2450; https://doi.org/10.3390/app16052450 - 3 Mar 2026
Viewed by 340
Abstract
Low-light image enhancement improves the quality of video surveillance and image analysis and, as a result, has long been a hot topic in image processing. However, current research on this topic faces a difficult challenge—effectively suppressing noise while improving brightness and maintaining color [...] Read more.
Low-light image enhancement improves the quality of video surveillance and image analysis and, as a result, has long been a hot topic in image processing. However, current research on this topic faces a difficult challenge—effectively suppressing noise while improving brightness and maintaining color consistency, especially in extremely dark scenes, where dark noise amplification, uneven exposure, and color shifts often interact, leading to detail loss and color distortion. To address the issue, we propose a dual-stage low-light enhancement framework based on the HVI (Horizontal/Vertical-Intensity) color space. The low-light image is first mapped to the HVI space, obtaining the intensity component I and the HVI-based feature map, with I being explicitly extracted as an intensity prior. A Transformer-based pre-recovery module is introduced for global dependency modeling, guided by the intensity prior I through an Intensity-Conditioned Block (ICB) for conditional feature interaction. Subsequently, a dual-branch enhancement network utilizes lightweight Complementary Cross-Attention (CCA) blocks for brightness refinement and color denoising. Finally, the enhanced image is remapped to the sRGB color space. The proposed framework decouples global brightness recovery and feature preprocessing from detail enhancement and color refinement, improving stability in extremely dark and high-noise scenarios. Through 18 quantitative and qualitative experiments, we demonstrate that our proposed method achieves superior performance in dark noise suppression and color restoration across multiple low-light datasets. Full article
Show Figures

Figure 1

24 pages, 8953 KB  
Article
Face Recognition System Using CLIP and FAISS for Scalable and Real-Time Identification
by Antonio Labinjan, Sandi Baressi Šegota, Ivan Lorencin and Nikola Tanković
Math. Comput. Appl. 2026, 31(2), 36; https://doi.org/10.3390/mca31020036 - 1 Mar 2026
Viewed by 414
Abstract
Face recognition is increasingly being adopted in industries such as education, security, and personalized services. This research introduces a face recognition system that leverages the embedding capabilities of the CLIP model. The model is trained on multimodal data, such as images and text [...] Read more.
Face recognition is increasingly being adopted in industries such as education, security, and personalized services. This research introduces a face recognition system that leverages the embedding capabilities of the CLIP model. The model is trained on multimodal data, such as images and text and it generates high-dimensional features, which are then stored in a vector index for further queries. The system is designed to facilitate accurate real-time identification, with potential applications in areas such as attendance tracking and security screening. Specific use cases include event check-ins, implementation of advanced security systems, and more. The process involves encoding known faces into high-dimensional vectors, indexing them using a vector index FAISS, and comparing them to unknown images based on L2 (euclidean) distance. Experimental results demonstrate a high accuracy that exceeds 90% and prove efficient scalability and good performance efficiency even in datasets with a high volume of entries. Notably, the system exhibits superior computational efficiency compared to traditional deep convolutional neural networks (CNNs), significantly reducing CPU load and memory consumption while maintaining competitive inference speeds. In the first iteration of experiments, the system achieved over 90% accuracy on live video feeds where each identity had a single reference video for both training and validation; however, when tested on a more challenging dataset with many low-quality classes, accuracy dropped to approximately 73%, highlighting the impact of dataset quality and variability on performance. Full article
Show Figures

Figure 1

29 pages, 2924 KB  
Article
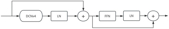
Driven by Deformable Convolution and Multi-Plane Scale Constraint: A Hazy Image Dehazing–Stitching System
by Sheng Hu, Han Xiao, Cong Liu, Haina Song, Min Liu, Liang Li and Hongzhang Liu
Sensors 2026, 26(5), 1551; https://doi.org/10.3390/s26051551 - 1 Mar 2026
Viewed by 342
Abstract
Adverse weather conditions, such as fog, degrade image quality and affect the performance of deep learning-based image processing algorithms, whereas advanced driver assistance systems (ADASs) urgently demand image clarity and large-field-of-view perception in foggy environments. Existing image dehazing methods rarely consider the non-uniform [...] Read more.
Adverse weather conditions, such as fog, degrade image quality and affect the performance of deep learning-based image processing algorithms, whereas advanced driver assistance systems (ADASs) urgently demand image clarity and large-field-of-view perception in foggy environments. Existing image dehazing methods rarely consider the non-uniform and dense distribution of particles in fog, leading to severe attenuation of background information. Image stitching, owing to the low-brightness and low-texture characteristics of ADAS scenarios and differences between sensors, faces challenges such as difficult feature point extraction and matching and poor stitching quality. To address these issues, this study proposes a non-uniform dehazing method based on Deformable Convolution v4 (DCNv4), designing a DCNv4-based transform-like network to achieve long-range dependence and adaptive spatial aggregation, combined with a lightweight Retinex-inspired Transformer for color correction and structure refinement. Meanwhile, a multi-plane scale constraint module is introduced based on the LightGlue feature matching network to improve matching accuracy and homography matrix estimation precision, and an adaptive fusion stitching method is adopted to eliminate artifacts and transition zones. Experimental results show that the proposed method effectively improves feature matching accuracy and homography matrix calculation precision, achieving Peak Signal-to-Noise Ratios (PSNRs) of 22.78 dB and 24.34 dB on the NH-HAZE and BRAS datasets, respectively, which are superior to those of existing methods. This provides a reliable environmental perception solution for autonomous driving in foggy environments, verifying its effectiveness and practicality. Full article
Show Figures

Figure 1

28 pages, 4533 KB  
Article
SFCF-Net: Spatial-Frequency Synergistic Learning for Casting Defect Segmentation of Pre-Service Aircraft Engine Blades in Industrial Radiographic Inspection
by Shun Wang, Zhiying Sun, Xifeng Fang and Dejun Cheng
Sensors 2026, 26(5), 1416; https://doi.org/10.3390/s26051416 - 24 Feb 2026
Viewed by 355
Abstract
Turbine blades serve as critical components in aircraft engines, yet casting defects inevitably arise during manufacturing. Therefore, accurate pre-service turbine blade defect detection is critical for aircraft engine safety. However, existing deep learning-based detection methods face several challenges: poor image quality, intraclass variance, [...] Read more.
Turbine blades serve as critical components in aircraft engines, yet casting defects inevitably arise during manufacturing. Therefore, accurate pre-service turbine blade defect detection is critical for aircraft engine safety. However, existing deep learning-based detection methods face several challenges: poor image quality, intraclass variance, interclass similarity, and irregular defect geometries. Moreover, most existing defect detection methods rely primarily on spatial-domain features, which are insufficient for capturing fine-grained texture information, limiting their ability to discriminate complex defect patterns. To address these challenges, we propose a novel Spatial-Frequency Complementary Fusion Network (SFCF-Net) that synergistically integrates spatial and frequency-domain features through complementary cross-modal fusion for accurate defect segmentation. First, a Selective Cross-modal Calibration (SCC) module is introduced that selectively calibrates spatial-frequency features through gated cross-modal interactions, effectively preserving fine-grained details under poor image conditions. Next, we propose a Cross-modal Refinement and Complementation (CRC) module that employs dual-stage attention mechanisms to model intra- and inter-modal feature dependencies, enabling robust discrimination between similar defect categories while maintaining consistency within the same defect class. Finally, we propose an Asymmetric Window Attention (AWA) module that employs bidirectional rectangular windows for accurate defect geometric characterization. Comprehensive experiments on the Aero-engine Turbine Blade Casting Defect Segmentation (ATBCD-Seg) dataset and a public benchmark demonstrate that SFCF-Net consistently outperforms state-of-the-art methods across multiple evaluation metrics, meeting practical requirements for automated quality control in blade manufacturing. Full article
(This article belongs to the Section Fault Diagnosis & Sensors)
Show Figures

Figure 1

43 pages, 16980 KB  
Review
Applications of Image Recognition in Intelligent Agricultural Engineering: A Comprehensive Review
by Yujie Xue, Junyi Li and Tingkun Chen
Agriculture 2026, 16(5), 496; https://doi.org/10.3390/agriculture16050496 - 24 Feb 2026
Viewed by 621
Abstract
Confronted with the severe imperatives to food security posed by a growing population and the urgent need for sustainable development amid climate change, traditional agricultural models face significant resource-intensive efficiency bottlenecks. Deep learning-based image recognition is driving a future-oriented intelligent agricultural revolution by [...] Read more.
Confronted with the severe imperatives to food security posed by a growing population and the urgent need for sustainable development amid climate change, traditional agricultural models face significant resource-intensive efficiency bottlenecks. Deep learning-based image recognition is driving a future-oriented intelligent agricultural revolution by enabling high-throughput phenotyping and autonomous decision-making across the production chain. This paper systematically reviews key advancements in image recognition within modern agriculture, mapping the fundamental paradigm shift from traditional hand-crafted feature engineering to adaptive deep feature learning. We critically analyze technological implementation and performance across five core application scenarios: high-precision pest and disease diagnosis, spatio-temporal growth monitoring and yield prediction through multi-source image fusion, agricultural robots for automated harvesting, non-destructive quality inspection of products, and intelligent precision management of farmland. The review further identifies critical challenges hindering large-scale technology adoption, primarily centered on the high costs of constructing high-quality agricultural datasets and model robustness in complex field environments. Consequently, this study provides a comprehensive and forward-looking reference for advancing the deep integration of vision technology, thereby offering a strategic path toward achieving more intelligent, efficient, and sustainable global agricultural production systems in the digital era. Full article
(This article belongs to the Section Artificial Intelligence and Digital Agriculture)
Show Figures

Figure 1

20 pages, 7031 KB  
Brief Report
Application of Opposing-Coils Transient Electromagnetic Method in Urban Potential-Fault Detection
by Sixin Zhu, Shuo Cai, Xu Zhao, Fuyao Cui and Haolin Wang
Appl. Sci. 2026, 16(4), 1859; https://doi.org/10.3390/app16041859 - 12 Feb 2026
Viewed by 238
Abstract
Urban environments face heightened seismic risks due to dense infrastructure and population concentration. Traditional seismic methods often face significant practical limitations in cities due to space constraints, traffic disruption, and acoustic noise, necessitating reliable alternative geophysical approaches for fault screening. This study evaluates [...] Read more.
Urban environments face heightened seismic risks due to dense infrastructure and population concentration. Traditional seismic methods often face significant practical limitations in cities due to space constraints, traffic disruption, and acoustic noise, necessitating reliable alternative geophysical approaches for fault screening. This study evaluates the efficacy and practical utility of the opposing-coils transient electromagnetic method (OCTEM) as an effective alternative to conventional seismic techniques for detecting shallow-fault-like resistivity signatures under complex urban electromagnetic noise. By employing dual coaxial coils with opposing currents, the OCTEM suppresses primary-field interference, enabling high-resolution imaging of subsurface structures at depths of 0–200 m. A case study in Tiancheng Chengyuan, Cangzhou City, China, demonstrates the OCTEM’s capability to reliably delineate stratigraphic interfaces and resistivity anomalies under challenging electromagnetic background conditions. Field data exhibited a mean square relative error of 4.01%, validating its data quality and measurement stability. The survey successfully identified stratigraphic continuity and localized heterogeneity features within the investigation zone. These results establish the OCTEM as a robust and efficient tool for urban fault screening, particularly in environments where traditional high-resolution seismic methods are impractical or economically unfeasible. Full article
Show Figures

Figure 1

26 pages, 5988 KB  
Article
Limited-Annotation Seed Segmentation for Analyzing the Impact of Unsound Corn on Storage Quality
by Kuibin Zhao, Lei Lu, Hongyi Ge, Pengtao Lv and Jinpei Li
Agriculture 2026, 16(4), 421; https://doi.org/10.3390/agriculture16040421 - 12 Feb 2026
Viewed by 219
Abstract
Grain quality inspection is crucial for seed stored, with image segmentation playing a key role in this process. However, existing methods face challenges such as high computational costs, expensive data annotation, and data privacy concerns, which hinder the acquisition of large-scale labeled datasets [...] Read more.
Grain quality inspection is crucial for seed stored, with image segmentation playing a key role in this process. However, existing methods face challenges such as high computational costs, expensive data annotation, and data privacy concerns, which hinder the acquisition of large-scale labeled datasets and limit model performance. To overcome these challenges, we propose a novel semi-supervised learning (SSL) paradigm for seed segmentation. Our approach integrates VMUNet and UNet into a unified framework, combining UNet’s capacity for fine-grained detail extraction with VMUNet’s strengths in global semantic model, enabling richer pixel-level feature representation. We introduce an orthogonal attention mechanism into the VMUNet encoder to model feature dependencies across channel, spatial, and scale dimensions, improving information fusion and feature enhancement. Additionally, a perturbation strategy is applied in the dual-branch decoder, combined with consistency regularization, to enhance robustness and generalization. This helps mitigate overfitting and reduces excessive reliance on boundary details during decoding. Experimental results on a corn seed dataset show that the proposed method achieves 91.2% accuracy with 100% labeled data and 91.9% with only 50% labeled data, outperforming fully supervised methods by 0.6%. These results demonstrate the method’s high segmentation performance and practical potential while maintaining data privacy. These results confirm that OAMamba provides an accurate, robust, and annotation-efficient solution for corn seed segmentation, showing strong potential for practical deployment in agricultural intelligent inspection systems. Full article
(This article belongs to the Section Agricultural Product Quality and Safety)
Show Figures

Figure 1

24 pages, 2623 KB  
Article
CD-Mosaic: A Context-Aware and Domain-Consistent Data Augmentation Method for PCB Micro-Defect Detection
by Sifan Lai, Shuangchao Ge, Xiaoting Guo, Jie Li and Kaiqiang Feng
Electronics 2026, 15(4), 767; https://doi.org/10.3390/electronics15040767 - 11 Feb 2026
Viewed by 218
Abstract
Detecting minute defects, such as spurs on the surface of a Printed Circuit Board (PCB), is extremely challenging due to their small size (average size < 20 pixels), sparse features, and high dependence on circuit topology context. The original Mosaic data augmentation method [...] Read more.
Detecting minute defects, such as spurs on the surface of a Printed Circuit Board (PCB), is extremely challenging due to their small size (average size < 20 pixels), sparse features, and high dependence on circuit topology context. The original Mosaic data augmentation method faces significant challenges with semantic adaptability when dealing with such tasks. Its unrestricted random cropping mechanism easily disrupts the topological structure of minute defects attached to the circuits, leading to the loss of key features. Moreover, a splicing strategy without domain constraints struggles to simulate real texture interference in industrial settings, making it difficult for the model to adapt to the complex and variable industrial inspection environment. To address these issues, this paper proposes a Context-aware and Domain-consistent Mosaic (CD-Mosaic) augmentation algorithm. This algorithm abandons pure randomness and constructs an adaptive augmentation framework that synergizes feature fidelity, geometric generalization, and texture perturbation. Geometrically, an intelligent sampling and dynamic integrity verification mechanism, driven by “utilization-centrality”, is designed to establish a controlled sample quality distribution. This prioritizes the preservation of the topological semantics of dominant samples to guide feature convergence. Meanwhile, an appropriate number of edge-truncated samples are strategically retained as geometric hard examples to enhance the model’s robustness against local occlusion. For texture, a dual-granularity visual perturbation strategy is proposed. Using a homologous texture library, a hard mask is generated in the background area to simulate foreign object interference, and a local transparency soft mask is applied in the defect area to simulate low signal-to-noise ratio imaging. This strategy synthesizes visual hard examples while maintaining photometric consistency. Experiments on an industrial-grade PCB dataset containing 2331 images demonstrate that the YOLOv11m model equipped with CD-Mosaic achieves a significant performance improvement. Compared with the native Mosaic baseline, the core metrics mAP@0.5 and Recall reach 0.923 and 86.1%, respectively, with a net increase of 8.3% and 8.8%; mAP@0.5:0.95 and APsmall, which characterize high-precision localization and small target detection capabilities, are improved to 0.529 (+3.0%) and 0.534 (+3.3%), respectively; the comprehensive metric F1-score jumps to 0.903 (+6.2%). The experiments prove that this method effectively solves the problem of missed detections of industrial minute defects by balancing sample quality and detection difficulty. Moreover, the inference speed of 84.9 FPS fully meets the requirements of industrial real-time detection. Full article
Show Figures

Figure 1

23 pages, 14619 KB  
Article
Edge-Distilled and Local–Global Feature Selection Network for Hyperspectral Image Super-Resolution
by Xinzhao Li, Mengzhe Fan, Xiaoqing Zheng and Jiandong Shang
Sensors 2026, 26(3), 1055; https://doi.org/10.3390/s26031055 - 6 Feb 2026
Viewed by 374
Abstract
In recent years, the methods based on convolutional neural networks have achieved significant progress in hyperspectral image super-resolution. However, existing methods still face two key challenges: (1) they fail to fully extract edge detail information from hyperspectral images; (2) they struggle to simultaneously [...] Read more.
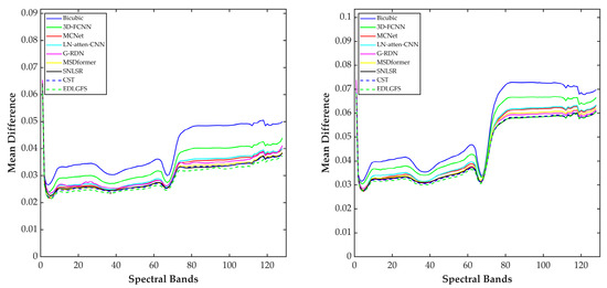
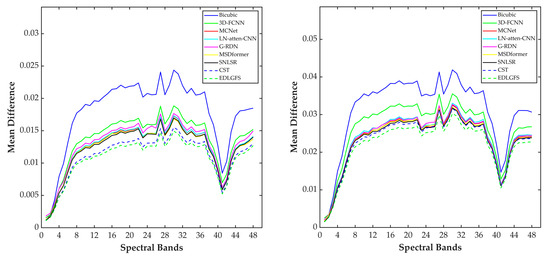
In recent years, the methods based on convolutional neural networks have achieved significant progress in hyperspectral image super-resolution. However, existing methods still face two key challenges: (1) they fail to fully extract edge detail information from hyperspectral images; (2) they struggle to simultaneously capture local and global features. To address these issues, we propose an Edge-Distilled and Local–Global Feature Selection network (EDLGFS) for hyperspectral image super-resolution. This network aims to effectively leverage edge details and local–global features, thereby enhancing super-resolution reconstruction quality. Firstly, we design an edge-guided super-resolution network based on knowledge distillation. This network transfers edge knowledge to improve the reconstruction. Secondly, we propose a Local–Global Feature Selection mechanism (LGFS), which integrates convolutions of different sizes with the self-attention mechanism. This design models spatial correlations across features with different receptive fields, achieving efficient feature selection to more effectively capture local and global features. Finally, we propose a dynamic loss mechanism to more effectively balance the contribution of each loss term. Extensive experimental results on three public datasets demonstrate that the proposed EDLGFS achieves superior super-resolution reconstruction quality. Full article
(This article belongs to the Special Issue Intelligent Sensing and Artificial Intelligence for Image Processing)
Show Figures

Figure 1

22 pages, 8660 KB  
Article
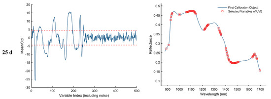
Detection of Hidden Pest Rice Weevil (Sitophilus oryzae) in Wheat Kernels Using Hyperspectral Imaging
by Lei Yan, Taoying Luo, Chao Zhao, Honglin Ma, Yufei Wu, Chunqi Bai and Zibo Zhu
Foods 2026, 15(3), 566; https://doi.org/10.3390/foods15030566 - 5 Feb 2026
Viewed by 286
Abstract
The rice weevil (Sitophilus oryzae) is a major pest in stored wheat, and traditional detection methods face challenges in identifying its hidden life stages within kernels. This study develops a nondestructive method to detect S. oryzae (Sitophilus oryzae) infestation [...] Read more.
The rice weevil (Sitophilus oryzae) is a major pest in stored wheat, and traditional detection methods face challenges in identifying its hidden life stages within kernels. This study develops a nondestructive method to detect S. oryzae (Sitophilus oryzae) infestation in wheat kernels using hyperspectral imaging, spectral preprocessing, feature extraction, and classification modeling. Hyperspectral data were collected from wheat kernels at different infestation stages (1, 11, 21, and 25 days (d)) and from healthy kernels. Spectral quality was optimized using SG smoothing, multiplicative scatter correction (MSC), and standard normal variate transformation (SNV). Feature extraction algorithms, including Competitive Adaptive Re-weighting Algorithm (CARS), Successive Projection Algorithm (SPA), and Iterative Retention of Information Variables (IRIV), were used to reduce data dimensionality, while classification models like Decision Tree (DT), K-nearest neighbors (KNN), and Support Vector Machine (SVM) were applied. The results show that MSC preprocessing provides the best performance among the models. After feature band selection, the MSC-CARS-SVM model achieved the highest accuracy for the 1 day and 25 d samples (95.48% and 96.61%, respectively). For the 11 d and 21 d samples, the MSC-IRIV-SPA-SVM model achieved the best performance with accuracies of 94.35% and 94.92%, respectively. This study demonstrates that MSC effectively reduces spectral noise and improves classification performance. After feature selection, the model shows significant improvements in both accuracy and stability. The study confirms the feasibility of using hyperspectral technology to identify healthy and S. oryzae-infested wheat kernels, providing theoretical support for early, nondestructive pest detection. Full article
(This article belongs to the Section Food Analytical Methods)
Show Figures

Figure 1

17 pages, 5687 KB  
Article
Fine-Grained Detection and Sorting of Fresh Tea Leaves Using an Enhanced YOLOv12 Framework
by Shuang Zhao, Chun Ye, Chentao Lian, Liye Mei, Luofa Wu and Jianneng Chen
Foods 2026, 15(3), 544; https://doi.org/10.3390/foods15030544 - 3 Feb 2026
Viewed by 508
Abstract
As the raw material for tea making, the quality of fresh tea leaves directly affects the quality of finished tea. Traditional manual sorting and machine sorting struggle to meet the requirements for high-quality tea processing. Based on machine vision and deep learning, intelligent [...] Read more.
As the raw material for tea making, the quality of fresh tea leaves directly affects the quality of finished tea. Traditional manual sorting and machine sorting struggle to meet the requirements for high-quality tea processing. Based on machine vision and deep learning, intelligent grading technology has been applied to the automated sorting of fresh tea leaves. However, when faced with machine-picked tea leaves, the characteristics of complex morphology, small target recognition size, and dense spatial distribution can interfere with accurate category recognition, which in turn limits classification accuracy and consistency. Therefore, we propose an enhanced YOLOv12 detection framework that integrates three key modules—C3k2_EMA, A2C2f_DYT, and RFAConv—to strengthen the model’s ability to capture delicate tea bud features, thereby improving detection accuracy and robustness. Experimental results demonstrate that the proposed method achieves precision, recall, and mAP@0.5 of 81.2%, 90.6%, and 92.7% in premium tea recognition, effectively supporting intelligent and efficient tea harvesting and sorting operations. This study addresses the challenges of subtle fine-grained differences, small object sizes, variable morphology, and complex background interference in premium tea bud images. The proposed model not only achieves high accuracy and robustness in fine-grained tea bud detection but also provides technical feasibility for intelligent fresh tea leaves classification and production monitoring. Full article
Show Figures

Figure 1

33 pages, 21513 KB  
Article
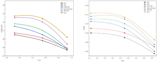
A No-Reference Multivariate Gaussian-Based Spectral Distortion Index for Pansharpened Images
by Bishr Omer Abdelrahman Adam, Xu Li, Jingying Wu and Xiankun Hao
Sensors 2026, 26(3), 1002; https://doi.org/10.3390/s26031002 - 3 Feb 2026
Viewed by 421
Abstract
Pansharpening is a fundamental image fusion technique used to enhance the spatial resolution of remote sensing imagery; however, it inevitably introduces spectral distortions that compromise the reliability of downstream analyses. Existing no-reference (NR) quality assessment methods often fail to exclusively isolate these spectral [...] Read more.
Pansharpening is a fundamental image fusion technique used to enhance the spatial resolution of remote sensing imagery; however, it inevitably introduces spectral distortions that compromise the reliability of downstream analyses. Existing no-reference (NR) quality assessment methods often fail to exclusively isolate these spectral errors from spatial artifacts or lack sensitivity to specific radiometric inconsistencies. To address this gap, this paper proposes a novel No-Reference Multivariate Gaussian-based Spectral Distortion Index (MVG-SDI) specifically designed for pansharpened images. The methodology extracts a hybrid feature set, combining First Digit Distribution (FDD) features derived from Benford’s Law in the hyperspherical color space (HCS) and Color Moment (CM) features. These features are then used to fit Multivariate Gaussian (MVG) models to both the original multispectral and fused images, with spectral distortion quantified via the Mahalanobis distance between their statistical parameters. Experiments on the NBU dataset showed that the MVG-SDI correlates more strongly with standard full-reference benchmarks (such as SAM and CC) than existing NR methods like QNR. Tests with simulated distortions confirmed that the proposed index remains stable and accurate even when facing specific spectral degradations like hue shifts or saturation changes. Full article
(This article belongs to the Special Issue Remote Sensing Image Fusion and Object Tracking)
Show Figures

Figure 1

Back to TopTop