Sign in to use this feature.

Years

Between: -

Subjects

remove_circle_outline
remove_circle_outline
remove_circle_outline
remove_circle_outline
remove_circle_outline
remove_circle_outline

Journals

remove_circle_outline
remove_circle_outline
remove_circle_outline

Article Types

Countries / Regions

Search Results (12)

Search Parameters:
Keywords = exemplar learner

Order results
Result details
Results per page
Select all
Export citation of selected articles as:
18 pages, 313 KB  
Article
Positioning Generative AI in EFL Peer Feedback: Training Feedback Literacy and Enabling Uptake in Speaking Classes
by Bradley Irwin and Theron Muller
Educ. Sci. 2026, 16(4), 544; https://doi.org/10.3390/educsci16040544 - 1 Apr 2026
Viewed by 444
Abstract
Peer feedback is widely used in English as a foreign language (EFL) higher education, yet its benefits are often limited by uneven feedback quality and learners’ difficulty in interpreting and using comments. This theoretical paper synthesizes research on peer feedback, student feedback literacy, [...] Read more.
Peer feedback is widely used in English as a foreign language (EFL) higher education, yet its benefits are often limited by uneven feedback quality and learners’ difficulty in interpreting and using comments. This theoretical paper synthesizes research on peer feedback, student feedback literacy, and recent developments in generative artificial intelligence (GenAI) to propose a theory-informed design framework that positions GenAI as Trainer and Synthesizer in L2 speaking peer feedback. Building on feedback literacy as a set of capacities (appreciating feedback, making judgments, managing affect, and taking action), the paper argues that speaking tasks create distinct constraints, including time pressure, fleeting performance, and heightened affect, which make real-time peer feedback promising but pedagogically challenging. To address these challenges, here we introduce two complementary roles for GenAI in peer feedback workflows: a Trainer that supports feedback quality through calibration with exemplars, rubric-guided practice, and feedback-on-feedback; and a Synthesizer that aggregates peer input into concise, actionable guidance linked to criteria and learning goals. The conceptual proposal specifies key design principles (e.g., transparency, learner agency, teacher-in-the-loop oversight, and privacy-conscious data practices) and outlines researchable propositions for evaluating learning, engagement, and equity outcomes. The paper concludes with implications for task design, training sequences, and responsible classroom implementation. Full article
44 pages, 16340 KB  
Article
Externalizing Tacit Craft Knowledge Through Semantic Graphs and Real-Time VR Simulation
by Nikolaos Partarakis, Panagiotis Koutlemanis, Ioanna Demeridou, Dimitrios Zourarakis, Alexandros Makris, Anastasios Roussos and Xenophon Zabulis
Electronics 2026, 15(6), 1294; https://doi.org/10.3390/electronics15061294 - 19 Mar 2026
Viewed by 340
Abstract
Traditional craft education relies heavily on hands-on practice; however, novice learners often struggle with procedural complexity, material behavior, and the tacit knowledge typically transmitted through prolonged apprenticeship. This paper presents an integrated framework that combines semantic Knowledge Graphs (KGs), real-time Finite Element Method [...] Read more.
Traditional craft education relies heavily on hands-on practice; however, novice learners often struggle with procedural complexity, material behavior, and the tacit knowledge typically transmitted through prolonged apprenticeship. This paper presents an integrated framework that combines semantic Knowledge Graphs (KGs), real-time Finite Element Method (FEM) simulation, and high-fidelity physically based rendering (PBR) to support the teaching, understanding, and preservation of traditional crafts. Craft processes are modelled as ontologically grounded KGs that capture tools, materials, actions, decision points, and common procedural errors through an extensible representation aligned with CIDOC-CRM. These semantic structures drive an interactive FEM-based simulation that enables learners to enact craft actions in a virtual environment while receiving predictive feedback and corrective guidance derived from expert-defined execution parameters. The resulting workpiece states are visualized using PBR techniques, providing perceptually accurate cues essential for assessing surface changes, deformation patterns, and material conditions. The methodology is embedded within an eLearning ecosystem that supports the generation of structured courses, multimodal exemplars, and instructional design informed by Cognitive Load Theory. A use case involving wood and aluminum carving demonstrates the system’s ability to simulate realistic tool–material interactions and produce visually interpretable outcomes. The results indicate that coupling executable semantic knowledge modelling with physically grounded simulation offers a viable pathway toward scalable, safe, and contextually rich craft training while supporting the long-term preservation of domain expertise. Full article
(This article belongs to the Special Issue Advances and Challenges in Multimodal Pattern Recognition)
Show Figures

Figure 1

12 pages, 766 KB  
Article
Transfer in Learning New Vocabulary: Memorization and Abstraction
by James A. Kole and Anna C. Johnson
Behav. Sci. 2025, 15(11), 1560; https://doi.org/10.3390/bs15111560 - 14 Nov 2025
Viewed by 692
Abstract
An experiment was conducted to examine whether knowledge of word meanings enables learners to infer the meanings of related words, and whether such transfer is based on memory for related exemplars or for abstract knowledge. Participants completed a word root learning task in [...] Read more.
An experiment was conducted to examine whether knowledge of word meanings enables learners to infer the meanings of related words, and whether such transfer is based on memory for related exemplars or for abstract knowledge. Participants completed a word root learning task in which they learned definitions of several English words derived from a shared root (e.g., ambler, noctambulant). At an immediate test, they were assessed on definitions of studied words, new unstudied derivatives (e.g., ambulate), and word roots (e.g., ambul). A multiple regression analysis showed that accuracy on word roots, but not on studied words, predicted performance on new derivatives. These results suggest that transfer of learning was based primarily on more abstract knowledge of word root meanings rather than on memory for specific words. These findings provide novel evidence that learners can apply root-based knowledge to new word forms, and are consistent with theories proposing that transfer is supported by abstract representations. Full article
(This article belongs to the Section Cognition)
Show Figures

Figure 1

20 pages, 578 KB  
Review
Opening New Worlds of Meaning—A Scoping Review of Figurative Language in Autism Spectrum Disorder
by Bjørn Skogli-Christensen, Kristine Tyldum Lefstad, Marie Florence Moufack and Sobh Chahboun
Behav. Sci. 2025, 15(11), 1556; https://doi.org/10.3390/bs15111556 - 14 Nov 2025
Cited by 2 | Viewed by 2000
Abstract
Figurative language (metaphor, idiom, irony/sarcasm) is central to pragmatic communication but is frequently challenging for children and adolescents with autism spectrum disorder (ASD). A scoping review was conducted to map pedagogical and clinical interventions that target figurative-language skills in school-age learners with ASD [...] Read more.
Figurative language (metaphor, idiom, irony/sarcasm) is central to pragmatic communication but is frequently challenging for children and adolescents with autism spectrum disorder (ASD). A scoping review was conducted to map pedagogical and clinical interventions that target figurative-language skills in school-age learners with ASD and to summarize reported outcomes. Following a PCC (Population–Concept–Context) framework and PRISMA-ScR reporting, systematic searches were performed in ERIC and Google Scholar (2010–2025). Eligibility required an ASD sample (ages 5–18), an intervention explicitly addressing figurative-language comprehension, and empirical outcome data from educational or related practice settings. Seven studies met inclusion criteria: five targeting metaphors, one targeting idioms, and one targeting sarcasm/irony. Interventions were predominantly delivered one-to-one or in small groups and emphasized structured, explicit instruction with visual scaffolds and stepwise prompting. Across studies, participants demonstrated clear gains on trained items. Generalization beyond trained material was most often observed for metaphor and sarcasm interventions, particularly when instruction highlighted underlying semantic relations or cue-based pragmatic signals; by contrast, the idiom program yielded item-specific learning with minimal near-term transfer. Limited follow-up data suggested short-term maintenance where assessed. Reported variability across individuals was substantial, underscoring the influence of underlying structural-language skills and social-pragmatic demands. Overall, the evidence indicates that figurative-language skills in ASD are amenable to targeted intervention; effective programs tend to combine explicit teaching, visual supports, multiple exemplars, and planned generalization opportunities. Given small samples and methodological heterogeneity, further classroom-based trials with longer follow-up and detailed learner profiles are needed. The findings support integrating figurative-language goals within individualized education and speech-language therapy plans, while aligning instructional complexity with each learner’s linguistic and pragmatic profile. Full article
(This article belongs to the Special Issue Language and Cognitive Development in Autism Spectrum Disorders)
Show Figures

Figure A1

24 pages, 1516 KB  
Article
Individual Differences in Student Learning: A Comparison Between the Student Approaches to Learning and Concept-Building Frameworks
by Mark A. McDaniel, Christopher M. Wally, Regina F. Frey and Hayley K. Bates
Behav. Sci. 2025, 15(8), 1055; https://doi.org/10.3390/bs15081055 - 4 Aug 2025
Cited by 1 | Viewed by 2907
Abstract
In cognitive science and education research, learning has been described to occur at surface and deep levels. Learners are thought to orient more toward one of these approaches to learning versus the other. In cognitive science, this has been assessed with a concept-building [...] Read more.
In cognitive science and education research, learning has been described to occur at surface and deep levels. Learners are thought to orient more toward one of these approaches to learning versus the other. In cognitive science, this has been assessed with a concept-building framework using objective function learning tasks to classify students as exemplar (surface) or abstraction (deep) learners. In education, the student approach to learning (SAL) framework has used self-report survey measures to classify learners as relying on surface approaches or deep approaches to learning. In two studies, we directly compared these two frameworks using self-report data from the Modified Approaches and Study Skills Inventory (M-ASSIST) and the Revised Study Process Questionnaire (R-SPQ-2F) along with objectively determined concept-building classifications from a computer-based function learning task. Potential links between exemplar learning and surface approaches and between abstraction learning and deep approaches were not found. We discuss possible explanations for the absence of empirical links, including inaccuracies in students’ metacognitions regarding their learning, the measures, and possible differences between learning-content-dependencies of the survey responses versus content neutrality of the concept-building task. We conclude by suggesting directions for future work in assessing and comparing surface and deep learning across frameworks. Full article
(This article belongs to the Special Issue Educational Applications of Cognitive Psychology)
Show Figures

Figure 1

23 pages, 12334 KB  
Article
Cross-Cultural Biology Teaching Using Next-Generation Science Standards
by Jason Jimenez and Denis Dyvee Errabo
Educ. Sci. 2024, 14(11), 1243; https://doi.org/10.3390/educsci14111243 - 13 Nov 2024
Cited by 6 | Viewed by 3504
Abstract
This study explored Next Generation Science Standards (NGSS) in cross-cultural biology teaching through collaborative lesson studies involving educators from the USA and the Philippines. We employed grounded theory and examined iterative feedback processes during lesson development to refine learning exemplars. Learning exemplars validation [...] Read more.
This study explored Next Generation Science Standards (NGSS) in cross-cultural biology teaching through collaborative lesson studies involving educators from the USA and the Philippines. We employed grounded theory and examined iterative feedback processes during lesson development to refine learning exemplars. Learning exemplars validation affirmed their alignment with both NGSS and the Philippine science education frameworks, ensuring cultural relevance and educational rigor. Five key themes were identified as pivotal: retrieval of prior knowledge, fostering meaningful learning experiences, enhancing memory and retention, fostering active engagement, and cultivating critical thinking skills—integral for developing culturally responsive curricula. Moreover, students became independent learners, responsible for their learning, reflective and critical thinkers, problem solvers, inquiry-oriented, creative, collaborative communicators, modelers, data analysts, persistent, adaptable, and self-directed. Implications include enhancing educational policies to support cultural diversity and integrating cross-cultural learning exemplars to enhance global teaching practices. This study underscored the transformative potential of cross-cultural collaboration in advancing science education, fostering engaging learning environments, and preparing students for global citizenship. Full article
Show Figures

Figure 1

13 pages, 1254 KB  
Article
Prototype or Exemplar Representations in the 5/5 Category Learning Task
by Fang Chen, Peijuan Li, Hao Chen, Carol A. Seger and Zhiya Liu
Behav. Sci. 2024, 14(6), 470; https://doi.org/10.3390/bs14060470 - 31 May 2024
Cited by 2 | Viewed by 2712
Abstract
Theories of category learning have typically focused on how the underlying category structure affects the category representations acquired by learners. However, there is limited research as to how other factors affect what representations are learned and utilized and how representations might change across [...] Read more.
Theories of category learning have typically focused on how the underlying category structure affects the category representations acquired by learners. However, there is limited research as to how other factors affect what representations are learned and utilized and how representations might change across the time course of learning. We used a novel “5/5” categorization task developed from the well-studied 5/4 task with the addition of one more stimulus to clarify an ambiguity in the 5/4 prototypes. We used multiple methods including computational modeling to identify whether participants categorized on the basis of exemplar or prototype representations. We found that, overall, for the stimuli we used (schematic robot-like stimuli), learning was best characterized by the use of prototypes. Most importantly, we found that relative use of prototype and exemplar strategies changed across learning, with use of exemplar representations decreasing and prototype representations increasing across blocks. Full article
Show Figures

Figure 1

14 pages, 206 KB  
Essay
We Have Met the Enemy in Teacher Education; It Is Us—Teacher Educators and the Bad Faith of Our Niceness, Not Teachers
by Brenda G. Harris
Educ. Sci. 2024, 14(5), 446; https://doi.org/10.3390/educsci14050446 - 24 Apr 2024
Cited by 2 | Viewed by 1929
Abstract
In this conceptual essay, the author draws on the concept of bad faith to explore its connections to Niceness and role in sustaining the historical failures of U.S. teacher education to prepare future teachers to effectively teach learners from diverse backgrounds through culturally [...] Read more.
In this conceptual essay, the author draws on the concept of bad faith to explore its connections to Niceness and role in sustaining the historical failures of U.S. teacher education to prepare future teachers to effectively teach learners from diverse backgrounds through culturally responsive pedagogy. Bad faith is a useful, albeit underutilized, concept in considering and challenging the patterned historical inequities maintained by Niceness in teacher preparation programs. Applying a critical race theory (CRT) methodology and analysis, the author presents and interrogates three representative exemplars of a logic of racism operationalized through bad faith, then insulated by Niceness in U.S. teacher education. These exemplars serve as conceptual case studies that are constituted as composite scenarios of patterned enactments of bad faith authorized by Niceness within U.S. teacher education; these cases demonstrate how [and why] the bad faith–Niceness interplay informs the work and [good] intentions of stakeholders most often in ways that further, rather than challenge, historical failures of U.S. teacher education for culturally responsive pedagogy. Full article
(This article belongs to the Special Issue Niceness, Leadership and Educational Equity)
21 pages, 5259 KB  
Article
Designing Virtual Pathways for Exploring Glacial Landscapes of Glacier National Park, Montana, USA for Physical Geography Education
by Dianna Gielstra, Lynn Moorman, Jacquelyn Kelly, Uwe Schulze, Lynn M. Resler, Niccole V. Cerveny, Johan Gielstra, Ami Bryant, Scott Ramsey and David R. Butler
Educ. Sci. 2024, 14(3), 272; https://doi.org/10.3390/educsci14030272 - 5 Mar 2024
Cited by 7 | Viewed by 4372
Abstract
Virtual field trips in physical geography transcend our human limitations regarding distance and accessibility, allowing students to experience exemplars of physical environments. These experiences can be critical for students to connect to the physical world beyond traditional classroom formats of communicating themes and [...] Read more.
Virtual field trips in physical geography transcend our human limitations regarding distance and accessibility, allowing students to experience exemplars of physical environments. These experiences can be critical for students to connect to the physical world beyond traditional classroom formats of communicating themes and features in physical geography. To maximize the learning potential of these experiences, designers must engage in a translational process to take resources and content from the physical world and migrate it to an online, virtual format. However, these virtual learning experiences need to account for how learners learn; and should draw heavily on the foundations of educational research and field sciences, while highlighting the awe and beauty of the natural landscape itself. Crafting these spatial stories of the natural world with learning elements requires careful and intentional design to maximize the perception of physical features, patterns, and processes at the landscape scale. To help field-trip developers comprehend the workflows used to create perceptible, rich environments that spur students’ learning, we propose a development process (TECCUPD) as a guide to navigate the intersection of education and science, using an example of geodiversity and alpine glacial landscapes found in Glacier National Park, Montana. Full article
(This article belongs to the Special Issue Progress in Geography Education Research)
Show Figures

Figure 1

44 pages, 13190 KB  
Article
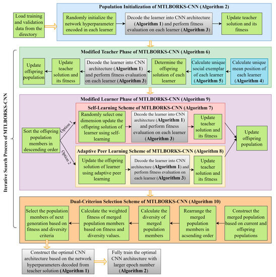
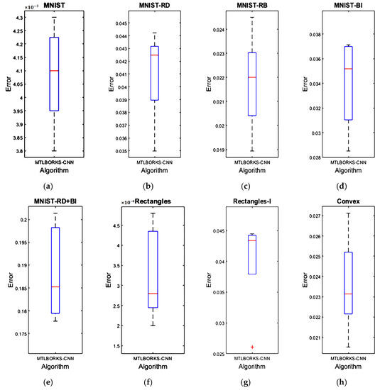
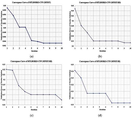
MTLBORKS-CNN: An Innovative Approach for Automated Convolutional Neural Network Design for Image Classification
by Koon Meng Ang, Wei Hong Lim, Sew Sun Tiang, Abhishek Sharma, S. K. Towfek, Abdelaziz A. Abdelhamid, Amal H. Alharbi and Doaa Sami Khafaga
Mathematics 2023, 11(19), 4115; https://doi.org/10.3390/math11194115 - 28 Sep 2023
Cited by 24 | Viewed by 2926
Abstract
Convolutional neural networks (CNNs) have excelled in artificial intelligence, particularly in image-related tasks such as classification and object recognition. However, manually designing CNN architectures demands significant domain expertise and involves time-consuming trial-and-error processes, along with substantial computational resources. To overcome this challenge, an [...] Read more.
Convolutional neural networks (CNNs) have excelled in artificial intelligence, particularly in image-related tasks such as classification and object recognition. However, manually designing CNN architectures demands significant domain expertise and involves time-consuming trial-and-error processes, along with substantial computational resources. To overcome this challenge, an automated network design method known as Modified Teaching-Learning-Based Optimization with Refined Knowledge Sharing (MTLBORKS-CNN) is introduced. It autonomously searches for optimal CNN architectures, achieving high classification performance on specific datasets without human intervention. MTLBORKS-CNN incorporates four key features. It employs an effective encoding scheme for various network hyperparameters, facilitating the search for innovative and valid network architectures. During the modified teacher phase, it leverages a social learning concept to calculate unique exemplars that effectively guide learners while preserving diversity. In the modified learner phase, self-learning and adaptive peer learning are incorporated to enhance knowledge acquisition of learners during CNN architecture optimization. Finally, MTLBORKS-CNN employs a dual-criterion selection scheme, considering both fitness and diversity, to determine the survival of learners in subsequent generations. MTLBORKS-CNN is rigorously evaluated across nine image datasets and compared with state-of-the-art methods. The results consistently demonstrate MTLBORKS-CNN’s superiority in terms of classification accuracy and network complexity, suggesting its potential for infrastructural development of smart devices. Full article
Show Figures

Figure 1

24 pages, 10207 KB  
Article
The Inequities Embedded in Measures of Engagement in Science Education for African American Learners from a Culturally Relevant Science Pedagogy Lens
by Tara Nkrumah
Educ. Sci. 2023, 13(7), 739; https://doi.org/10.3390/educsci13070739 - 19 Jul 2023
Cited by 4 | Viewed by 3923
Abstract
Although African American educators strive to ameliorate racist and/or sexist barriers to learners’ science engagement in U.S. education, examples of applications of culturally relevant science instruments to measure African American learners’ engagement in science are hard to find in the literature. Inaccurate perceptions [...] Read more.
Although African American educators strive to ameliorate racist and/or sexist barriers to learners’ science engagement in U.S. education, examples of applications of culturally relevant science instruments to measure African American learners’ engagement in science are hard to find in the literature. Inaccurate perceptions about student engagement in science education continue to exist, including assumptions about the prevalence and effects of low socioeconomic status, limited content knowledge, and a lack of interest or motivation of African American learners compared to white learners. Most exemplars of student engagement in science focus on the cognitive, behavioral, and social mores of white, male, cisgender, middle-class learners and their reactions to teacher pedagogy. This article reports on a qualitative study of three African American female and male secondary science educators’ narratives of “engagement” in science amongst systemic inequities in the northeastern and southeastern U.S. regions. To better understand African American learners’ science engagement, I combined socially transformative science curriculum approaches for African American students using five types of mastery with the concepts of culturally relevant science pedagogy as the facilitator of racial equity. A critical-arts-based research methodology was used to craft participants’ autobiographical data and drawings into a literary métissage of the participants’ experiences, memories, and culturally relevant pedagogical strategies. Themes included: (1) teachers’ recognition that their interest and positionality impacted their engagement in science; (2) their understanding of how identifying as scientists informed their career choices and modes of participation; and (3) their observations about how mentoring and vision influenced students’ attitudes about engaging in science. The major finding was that critical incidents that teachers experienced when they were students in K-20 schools influenced how they became engaged in science and constructed their culturally relevant practices as science educators. The implications of this finding for pre-service and teacher leadership development for equitable teaching and learning will be discussed, and recommendations for using culturally relevant science practices and navigating power dynamics will be provided. Full article
(This article belongs to the Special Issue Educational Equity: Cultural and Ethnic Diversity in Schools)
Show Figures

Figure 1

4 pages, 234 KB  
Proceeding Paper
Engaging the Global Dental Profession to Help Tackle Antibiotic Resistance
by Paula Anabalon-Cordova, Susie Sanderson, David Williams, Mahesh Verma, Céline Pulcini, Leanne Teoh and Wendy Thompson
Med. Sci. Forum 2022, 15(1), 13; https://doi.org/10.3390/msf2022015013 - 24 Mar 2023
Viewed by 2380
Abstract
In the pre-antibiotic era, deaths from dental infections were common. Dentists are responsible for prescribing around 10% of antibiotics across healthcare globally. During 2020, dental antibiotic prescribing increased dramatically due to COVID-19 pandemic restrictions on dental procedures, which are vital for preventing and [...] Read more.
In the pre-antibiotic era, deaths from dental infections were common. Dentists are responsible for prescribing around 10% of antibiotics across healthcare globally. During 2020, dental antibiotic prescribing increased dramatically due to COVID-19 pandemic restrictions on dental procedures, which are vital for preventing and managing dental infections. FDI World Dental Federation responded with a framework about the essential role of dental teams in tackling antibiotic resistance, setting out a program to engage the global dental profession. Three exemplars include an open online course (with >2300 learners enrolled from >100 countries), a pledge for national dental organizations, and an early career researcher network. Full article
(This article belongs to the Proceedings of ESPAUR Report Webinar and Antibiotic Guardian Shared Learning Awards)
Back to TopTop