Sign in to use this feature.

Years

Between: -

Subjects

remove_circle_outline
remove_circle_outline
remove_circle_outline
remove_circle_outline
remove_circle_outline
remove_circle_outline
remove_circle_outline
remove_circle_outline
remove_circle_outline

Journals

remove_circle_outline
remove_circle_outline
remove_circle_outline
remove_circle_outline
remove_circle_outline
remove_circle_outline
remove_circle_outline
remove_circle_outline
remove_circle_outline
remove_circle_outline
remove_circle_outline
remove_circle_outline
remove_circle_outline
remove_circle_outline
remove_circle_outline
remove_circle_outline

Article Types

Countries / Regions

remove_circle_outline
remove_circle_outline
remove_circle_outline
remove_circle_outline
remove_circle_outline
remove_circle_outline
remove_circle_outline

Search Results (1,128)

Search Parameters:
Keywords = event-by-event fluctuations

Order results
Result details
Results per page
Select all
Export citation of selected articles as:
9 pages, 255 KB  
Article
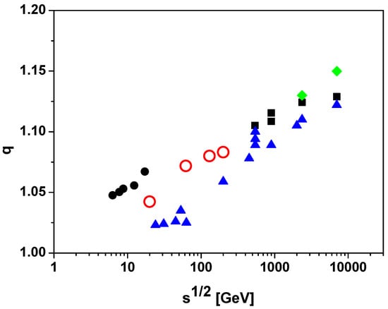
Quasi-Power Law Ensembles: Nonextensive Statistics or Superstatistics
by Maciej Rybczyński, Grzegorz Wilk and Zbigniew Włodarczyk
Entropy 2026, 28(2), 171; https://doi.org/10.3390/e28020171 - 2 Feb 2026
Abstract
In phenomenological studies of multiparticle production, transverse-momentum spectra measured in experiments frequently display an approximately power-law falloff, for which the Tsallis-type functional form is commonly employed as an effective parametrization. Within this framework, the emergence of such spectra is interpreted as a manifestation [...] Read more.
In phenomenological studies of multiparticle production, transverse-momentum spectra measured in experiments frequently display an approximately power-law falloff, for which the Tsallis-type functional form is commonly employed as an effective parametrization. Within this framework, the emergence of such spectra is interpreted as a manifestation of nonextensive statistical behavior. An analogous power-law structure, however, can be reproduced without explicitly postulating Tsallis statistics by assuming the presence of intrinsic fluctuations of the local temperature (T) in the hadronizing medium; in that case, the observed deviations from a purely exponential spectrum are encapsulated by the nonextensivity index (q). We show that temperature fluctuation mechanisms capable of generating Tsallis-like power-law distributions in multiparticle production necessarily induce nontrivial inter-particle correlations among the emitted hadrons. Building on this observation, we outline a strategy to discriminate fluctuations realized on an event-by-event basis from those arising predominantly through event-to-event variability. Such a separation may be particularly pertinent for the characterization of high-multiplicity (high-density) final states produced at the Large Hadron Collider. Full article
(This article belongs to the Special Issue Complexity in High-Energy Physics: A Nonadditive Entropic Perspective)
Show Figures

Figure 1

25 pages, 6290 KB  
Article
Monitoring Spatiotemporal Dynamics of Spartina alternifloraPhragmites australis Mixed Ecotone in Chongming Dongtan Wetland Using an Integrated Three-Dimensional Feature Space and Multi-Threshold Otsu Segmentation
by Wan Hou, Xiaoyu Xu, Xiyu Chen, Qianyu Li, Ting Dong, Bao Xi and Zhiyuan Zhang
Remote Sens. 2026, 18(3), 454; https://doi.org/10.3390/rs18030454 - 1 Feb 2026
Abstract
The Chongming Dongtan wetland, a representative coastal wetland in East Asia, faces a significant ecological threat from the invasive species Spartina alterniflora. The mixed ecotone formed between this invasive species and the native Phragmites australis serves as a highly sensitive and critical [...] Read more.
The Chongming Dongtan wetland, a representative coastal wetland in East Asia, faces a significant ecological threat from the invasive species Spartina alterniflora. The mixed ecotone formed between this invasive species and the native Phragmites australis serves as a highly sensitive and critical indicator of alterations in wetland ecosystem structure and function. Using spring and autumn Sentinel-2 imagery from 2016 to 2023, this study developed an integrated method that combines a three-dimensional feature space with multi-threshold Otsu segmentation to accurately extract the mixed S. alternifloraP. australis ecotone. The spatiotemporal dynamics of the mixed ecotone were analyzed at multiple temporal scales using a centroid migration model and a newly defined Seasonal Area Ratio (SAR) index. The results suggest that: (1) Near-infrared reflectance and NDVI were identified as the optimal spectral indices for spring and autumn, respectively. This approach led to a classification achieving an overall accuracy of 87.3 ± 1.4% and a Kappa coefficient of 0.84 ± 0.02. Notably, the mixed ecotone was mapped with producers’ and users’ accuracies of 85.2% and 83.6%. (2) The vegetation followed a distinct land-to-sea ecological sequence of “pure P. australis–mixed ecotone–pure S. alterniflora”, predominantly distributed as an east–west trending belt. This pattern was fragmented by tidal creeks and micro-topography in the northwest, contrasting with geometrically regular linear features in the central area, indicative of human engineering. (3) The ecotone showed continuous seaward expansion from 2016 to 2023. Spring exhibited a consistent annual area growth of 13.93% and a stable seaward centroid migration, whereas autumn exhibited significant intra-annual fluctuations in both area and centroid, likely influenced by extreme climate events. (4) Analysis using the Seasonal Area Ratio (SAR) index, defined as the ratio of autumn to spring ecotone area, revealed a clear transition in the seasonal competition pattern in 2017, initiating a seven-year spring-dominant phase after a single year of autumn dominance. This spring-dominated era exhibited a distinctive sawtooth fluctuation pattern, indicative of competitive dynamics arising from the phenological advancement of P. australis combined with the niche penetration of S. alterniflora. This study elucidates the multiscale competition mechanisms between S. alterniflora and P. australis, thereby providing a scientific basis for effective invasive species control and ecological restoration in coastal wetlands. Full article
(This article belongs to the Section Ecological Remote Sensing)
Show Figures

Figure 1

24 pages, 1236 KB  
Review
Blood Pressure Variability (BPV) as a Novel Digital Biomarker of Multisystem Risk and Diagnostic Insight: Measurement, Mechanisms, and Emerging Artificial Intelligence Methods
by Lakshmi Sree Pugalenthi, Sidhartha Gautam Senapati, Jay Gohri, Hema Latha Anam, Hritik Madan, Adi Arora, Avni Arora, Jieun Lee, Gayathri Yerrapragada, Poonguzhali Elangovan, Mohammed Naveed Shariff, Thangeswaran Natarajan, Jayarajasekaran Janarthanan, Shreshta Agarwal, Shiva Sankari Karuppiah, Divyanshi Sood, Swetha Rapolu, Vivek N. Iyer, Scott A. Helgeson and Shivaram P. Arunachalam
Biomedicines 2026, 14(2), 317; https://doi.org/10.3390/biomedicines14020317 - 30 Jan 2026
Viewed by 102
Abstract
Hypertension has been traditionally known to be highlighted by mean blood pressure; however, emerging evidence exhibits that blood pressure variability (BPV), including short-term, day-to-day, and visit-to-visit fluctuations can have an implication across multiple body systems. Elevated BPV reflects repetitive hemodynamic stress, affecting the [...] Read more.
Hypertension has been traditionally known to be highlighted by mean blood pressure; however, emerging evidence exhibits that blood pressure variability (BPV), including short-term, day-to-day, and visit-to-visit fluctuations can have an implication across multiple body systems. Elevated BPV reflects repetitive hemodynamic stress, affecting the physiologic hemostasis contributing to vascular injury and end organ damage. This narrative review is a compilation of recent evidence on the prognostic value of BPV, explained by pathophysiology, various devices with its measurement approaches, and, essentially, the clinical implication of BPV and the use of such devices utilizing artificial intelligence. A comprehensive literature search across PubMed, Cochrane Library, Scopus, and Web of Science were conducted, focusing on observational studies, cohorts, randomized trials, and meta-analyses. Higher BPV has been associated with an increased risk of cardiovascular mortality, stroke, coronary events, and heart failure, the progression of chronic kidney disease, cognitive decline, and preeclampsia, among other end organ damage, despite mean blood pressure. The various pathophysiologic mechanisms include autonomic dysregulation, arterial stiffness, endothelial dysfunction, circadian rhythm alteration, and systemic inflammation, which result in vascular remodeling and multisystem damage. Antihypertensive medications such as calcium channel blockers and renin–angiotensin–aldosterone system inhibitors seem to reduce BPV; randomized trials have not specifically investigated their BPV-reducing effects. The aim of this review is to highlight that BPV is a dynamic marker of multisystem risk, and question how various AI-based devices can aid continuous BPV monitoring and patient specific risk stratification. Full article
(This article belongs to the Special Issue Recent Advanced Research in Hypertension)
26 pages, 6698 KB  
Article
A Novel Decomposition-Prediction Framework for Predicting InSAR-Derived Ground Displacement: A Case Study of the XMLC Landslide in China
by Mimi Peng, Jing Xue, Zhuge Xia, Jiantao Du and Yinghui Quan
Remote Sens. 2026, 18(3), 425; https://doi.org/10.3390/rs18030425 - 28 Jan 2026
Viewed by 157
Abstract
Interferometric Synthetic Aperture Radar (InSAR) is an advanced imaging geodesy technique for detecting and characterizing surface deformation with high spatial resolution and broad spatial coverage. However, as an inherently post-event observation method, InSAR suffers from limited capability for near-real-time and short-term updates of [...] Read more.
Interferometric Synthetic Aperture Radar (InSAR) is an advanced imaging geodesy technique for detecting and characterizing surface deformation with high spatial resolution and broad spatial coverage. However, as an inherently post-event observation method, InSAR suffers from limited capability for near-real-time and short-term updates of deformation time series. In this paper, we proposed a data-driven adaptive framework for deformation prediction based on a hybrid deep learning method to accurately predict the InSAR-derived deformation time series and take the Xi’erguazi−Mawo landslide complex (XMLC) as a case study. The InSAR-derived time series was initially decomposed into trend and periodic components with a two-step decomposition process, which were thereafter modeled separately to enhance the characterization of motion kinematics and prediction accuracy. After retrieving the observations from the multi-temporal InSAR method, two-step signal decomposition was then performed using the Complete Ensemble Empirical Mode Decomposition with Adaptive Noise (CEEMDAN) and Variational Mode Decomposition (VMD). The decomposed trend and periodic components were further evaluated using statistical hypothesis testing to verify their significance and reliability. Compared with the single-decomposition model, the further decomposition leads to an overall improvement in prediction accuracy, i.e., the Mean Absolute Errors (MAEs) and the Root Mean Square Errors (RMSEs) are reduced by 40–49% and 36–42%, respectively. Subsequently, the Radial Basis Function (RBF) neural network and the proposed CNN-BiLSTM-SelfAttention (CBS) models were constructed to predict the trend and periodic variations, respectively. The CNN and self-attention help to extract local features in time series and strengthen the ability to capture global dependencies and key fluctuation patterns. Compared with the single network model in prediction, the MAEs and RMSEs are reduced by 22–57% and 4–33%, respectively. Finally, the two predicted components were integrated to generate the fused deformation prediction results. Ablation experiments and comparative experiments show that the proposed method has superior ability. Through rapid and accurate prediction of InSAR-derived deformation time series, this research could contribute to the early-warning systems of slope instabilities. Full article
Show Figures

Figure 1

13 pages, 4275 KB  
Article
Fluctuations of Temperature in the Polyakov Loop-Extended Nambu–Jona-Lasinio Model
by He Liu, Peng Wu, Hong-Ming Liu and Peng-Cheng Chu
Universe 2026, 12(2), 37; https://doi.org/10.3390/universe12020037 - 28 Jan 2026
Viewed by 83
Abstract
In this study, we investigate temperature fluctuations in hot QCD matter using a three-flavor Polyakov loop-extended Nambu–Jona-Lasinio (PNJL) model. The high-order cumulant ratios Rn2 (n>2) exhibit non-monotonic variations across the chiral phase transition, characterized by slight fluctuations [...] Read more.
In this study, we investigate temperature fluctuations in hot QCD matter using a three-flavor Polyakov loop-extended Nambu–Jona-Lasinio (PNJL) model. The high-order cumulant ratios Rn2 (n>2) exhibit non-monotonic variations across the chiral phase transition, characterized by slight fluctuations in the chiral crossover region and significant oscillations around the critical point. In contrast, distinct peak and dip structures are observed in the cumulant ratios at low-baryon chemical potential. These structures gradually weaken and eventually vanish at high chemical potential as they compete with the sharpening of the chiral phase transition, particularly near the critical point and the first-order phase transition. Our results indicate that these non-monotonic peak and dip structures in high-order cumulant ratios are associated with the deconfinement phase transition. This study quantitatively analyzes temperature fluctuation behavior across different phase transition regions, and the findings are expected to be observed and validated in heavy-ion collision experiments through measurements of event-by-event mean transverse momentum fluctuations. Full article
(This article belongs to the Special Issue Relativistic Heavy-Ion Collisions: Theory and Observation)
Show Figures

Figure 1

26 pages, 2618 KB  
Article
A Cascaded Batch Bayesian Yield Optimization Method for Analog Circuits via Deep Transfer Learning
by Ziqi Wang, Kaisheng Sun and Xiao Shi
Electronics 2026, 15(3), 516; https://doi.org/10.3390/electronics15030516 - 25 Jan 2026
Viewed by 195
Abstract
In nanometer integrated-circuit (IC) manufacturing, advanced technology scaling has intensified the effects of process variations on circuit reliability and performance. Random fluctuations in parameters such as threshold voltage, channel length, and oxide thickness further degrade design margins and increase the likelihood of functional [...] Read more.
In nanometer integrated-circuit (IC) manufacturing, advanced technology scaling has intensified the effects of process variations on circuit reliability and performance. Random fluctuations in parameters such as threshold voltage, channel length, and oxide thickness further degrade design margins and increase the likelihood of functional failures. These variations often lead to rare circuit failure events, underscoring the importance of accurate yield estimation and robust design methodologies. Conventional Monte Carlo yield estimation is computationally infeasible as millions of simulations are required to capture failure events with extremely low probability. This paper presents a novel reliability-based circuit design optimization framework that leverages deep transfer learning to improve the efficiency of repeated yield analysis in optimization iterations. Based on pre-trained neural network models from prior design knowledge, we utilize model fine-tuning to accelerate importance sampling (IS) for yield estimation. To improve estimation accuracy, adversarial perturbations are introduced to calibrate uncertainty near the model decision boundary. Moreover, we propose a cascaded batch Bayesian optimization (CBBO) framework that incorporates a smart initialization strategy and a localized penalty mechanism, guiding the search process toward high-yield regions while satisfying nominal performance constraints. Experimental validation on SRAM circuits and amplifiers reveals that CBBO achieves a computational speedup of 2.02×–4.63× over state-of-the-art (SOTA) methods, without compromising accuracy and robustness. Full article
(This article belongs to the Topic Advanced Integrated Circuit Design and Application)
Show Figures

Figure 1

21 pages, 4856 KB  
Article
Event-Based State Estimator Design for Fractional-Order Memristive Neural Networks with Random Gain Fluctuations
by Qifeng Niu, Yanjuan Lu, Xiaoguang Shao, Chengguang Zhang, Yibo Zhao and Jie Zhang
Fractal Fract. 2026, 10(2), 81; https://doi.org/10.3390/fractalfract10020081 - 24 Jan 2026
Viewed by 143
Abstract
This study addresses the issue of nonfragile state estimation for fractional-order memristive neural networks with time-varying delays under an adaptive event-triggered mechanism. Possible gain perturbations of the estimator are considered. A Bernoulli-distributed random variable is introduced to model the stochastic nature of gain [...] Read more.
This study addresses the issue of nonfragile state estimation for fractional-order memristive neural networks with time-varying delays under an adaptive event-triggered mechanism. Possible gain perturbations of the estimator are considered. A Bernoulli-distributed random variable is introduced to model the stochastic nature of gain fluctuations. The primary objective is to develop a nonfragile estimator that accurately estimates the network states. By means of Lyapunov functionals and fractional-order Lyapunov methods, two delay and order-dependent sufficient criteria are established to guarantee the mean-square stability of the augmented system. Finally, the effectiveness of the proposed estimation scheme is demonstrated through two simulation examples. Full article
(This article belongs to the Special Issue Analysis and Modeling of Fractional-Order Dynamical Networks)
Show Figures

Figure 1

27 pages, 36368 KB  
Article
Spatial and Temporal Dynamics and Climate Contribution of Forest Ecosystem Carbon Sinks in Guangxi During 2000–2023
by Jianfei Mo, Hao Yan, Bei Hu, Cheng Chen, Xiyuan Zhou and Yanli Chen
Forests 2026, 17(2), 151; https://doi.org/10.3390/f17020151 - 23 Jan 2026
Viewed by 173
Abstract
To clarify the spatial–temporal evolution patterns and climate-driven mechanisms of carbon sinks of forest ecosystems under climate change, we calculated the net ecosystem productivity (NEP) of forests in the Guangxi region using remote sensing and meteorological data from 2000 to 2023. By employing [...] Read more.
To clarify the spatial–temporal evolution patterns and climate-driven mechanisms of carbon sinks of forest ecosystems under climate change, we calculated the net ecosystem productivity (NEP) of forests in the Guangxi region using remote sensing and meteorological data from 2000 to 2023. By employing trend analysis, spatial clustering, the Hurst index, and climate contribution evaluation, we analyzed the spatial and temporal changes, sustainability, and the relative contribution of climate impacts on forest carbon sinks. The results are as follows: The carbon sink capacity of forests in Guangxi increased continuously from 2000 to 2023, at a rate of 3.57 g C·m−2·a−1, reaching 39.19% higher in 2023 than in 2000. The carbon sink capacity was higher in the southwest and lower in the northeast, with hotspots mainly located in evergreen/deciduous broad-leaved forest areas. The Hurst index indicates that 84.44% of regions are likely to maintain this increasing trend, suggesting stability in forest carbon sink function. The climate contribution rate to forest carbon sinks was moderate, with significant temporal fluctuations. Temperature governed annual variation in forest carbon sinks, influencing up to 36.37% of the area. The annual average contribution rate of climate change to forest carbon sinks was 30.28%, but there were temporal fluctuations and spatial heterogeneity. Over time, climate contributions had a positive driving impact; however, extreme climate events tended to produce a negative effect. The pattern of forest carbon sinks in Guangxi showed a “heat sink-coupling” phenomenon, with 16.23% of the hotspots of forest carbon sinks coinciding with temperature control zones, highlighting the enhancing effect of temperature rise on carbon sinks against a background of water and heat synergy. This study provides a scientific basis for the assessment of forest carbon sink potential and climate suitability management in Guangxi. Full article
(This article belongs to the Section Forest Inventory, Modeling and Remote Sensing)
Show Figures

Figure 1

29 pages, 2920 KB  
Article
Advancing Energy Flexibility Protocols for Multi-Energy System Integration
by Haihang Chen, Fadi Assad and Konstantinos Salonitis
Energies 2026, 19(3), 588; https://doi.org/10.3390/en19030588 - 23 Jan 2026
Viewed by 236
Abstract
This study investigates the incorporation of a standardised flexibility protocol within a physics-based models to enable controllable demand-side flexibility in residential energy systems. A heating subsystem is developed using MATLAB/Simulink and Simscape, serving as a testbed for protocol-driven control within a Multi-Energy System [...] Read more.
This study investigates the incorporation of a standardised flexibility protocol within a physics-based models to enable controllable demand-side flexibility in residential energy systems. A heating subsystem is developed using MATLAB/Simulink and Simscape, serving as a testbed for protocol-driven control within a Multi-Energy System (MES). A conventional thermostat controller is first established, followed by the implementation of an OpenADR event engine in Stateflow. Simulations conducted under consistent boundary conditions reveal that protocol-enabled control enhances system performance in several respects. It maintains a more stable and pronounced indoor–outdoor temperature differential, thereby improving thermal comfort. It also reduces fuel consumption by curtailing or shifting heat output during demand-response events, while remaining within acceptable comfort limits. Additionally, it improves operational stability by dampening high-frequency fluctuations in mdot_fuel. The resulting co-simulation pipeline offers a modular and reproducible framework for analysing the propagation of grid-level signals to device-level actions. The research contributes a simulation-ready architecture that couples standardised demand-response signalling with a physics-based MES model, alongside quantitative evidence that protocol-compliant actuation can deliver comfort-preserving flexibility in residential heating. The framework is readily extensible to other energy assets, such as cooling systems, electric vehicle charging, and combined heat and power (CHP), and is adaptable to additional protocols, thereby supporting future cross-vector investigations into digitally enabled energy flexibility. Full article
Show Figures

Figure 1

16 pages, 685 KB  
Article
Identified-Hadron Spectra in π+ + Be at 60 GeV/c with Channel-Wise Subcollision Acceptance in PYTHIA 8 Angantyr
by Nuha Felemban
Particles 2026, 9(1), 8; https://doi.org/10.3390/particles9010008 - 19 Jan 2026
Viewed by 116
Abstract
Identified-hadron production (p, π±, K±) in π++Be at plab=60GeV/c (s10.6GeV) is investigated using Pythia 8.315 (Monash tune) with the Angantyr extension. Differential multiplicities [...] Read more.
Identified-hadron production (p, π±, K±) in π++Be at plab=60GeV/c (s10.6GeV) is investigated using Pythia 8.315 (Monash tune) with the Angantyr extension. Differential multiplicities d2n/(dpdθ) are confronted with NA61/SHINE measurements across standard θ bins. Within the fluctuating-radii Double-Strikman (DS) scheme, two unsuppressed opacity mappings are compared to quantify systematics. In addition, a minimal extension is introduced: a flat, post-classification, channel-wise acceptance applied after ND/SD/DD/EL tagging. It acts on primary and secondary πN pairs, keeps hadronization fixed (Lund string), and leaves the internal event generation of each admitted subcollision unchanged. Opacity-mapping variations alone induce only percent-level differences and do not resolve the soft/forward tensions. By contrast, the flat acceptance—interpretable as a reduced effective ND weight—improves agreement across species and angles. It hardens the forward π+ spectra and lowers large-θ yields, produces milder charge-asymmetric changes for π consistent with the weaker leading feed, suppresses proton yields at all angles (with a residual 30% forward high-p deficit), and improves K±, with a stronger effect for K+ than K. These results show that a geometry-blind reweighting of the subcollision mixture suffices to capture the main NA61/SHINE trends for π++Be at SPS energies without modifying hadronization. The approach provides a controlled baseline for subsequent, channel-balanced refinements and broader π+A tuning. Full article
(This article belongs to the Section Nuclear and Hadronic Theory)
Show Figures

Figure 1

25 pages, 856 KB  
Article
Immediate Effect of Whole-Body Vibration Exercise Performed in Vertical Versus Side-Alternating Displacement Modes on Physiological Parameters, Perception of Effort, Strength and Functionality in Adults with Obesity
by Aline Reis-Silva, André Luiz Bandeira Dionizio Cardoso, Ana Carolina Coelho-Oliveira, Daniel Batouli-Santos, Gabriel Siriano Damasceno dos Santos, Jennyfer Silva Mazini, Ana Gabriellie Valério-Penha, Alessandra Andrade-Nascimento, Marcia Cristina Moura-Fernandes, Redha Taiar, Alessandro Sartorio, Danúbia da Cunha de Sá-Caputo and Mario Bernardo-Filho
Diagnostics 2026, 16(2), 316; https://doi.org/10.3390/diagnostics16020316 - 19 Jan 2026
Viewed by 229
Abstract
Background: Obesity, defined as an abnormal accumulation of body fat, is becoming a global epidemic. Individuals with obesity may present with increased abdominal fat, which is associated with hypertension, altered respiratory mechanics, higher resting heart rate, and may contribute to an increased [...] Read more.
Background: Obesity, defined as an abnormal accumulation of body fat, is becoming a global epidemic. Individuals with obesity may present with increased abdominal fat, which is associated with hypertension, altered respiratory mechanics, higher resting heart rate, and may contribute to an increased cardiovascular risk. Physiological parameters, such as heart rate, blood pressure, respiratory rate, and oxygen saturation, can change hours before the occurrence of a clinically relevant adverse event. Thus, physiological parameters can be considered good predictors of clinical deterioration. Obesity is also associated with physical dysfunctions that can impair physical performance. The non-pharmacological therapeutic strategy for the treatment of obesity involves lifestyle modifications, including a healthy diet and regular physical exercise. Whole-body vibration (WBV) exercise, a type of physical activity, has demonstrated benefits in several specific populations, including obese individuals. Objectives: The objective of this study was to evaluate the immediate effects of a single whole-body vibration (WBV) exercise session, consisting of 15 sets, using a vibration platform (VP) with alternating vertical or lateral displacement, on physiological parameters, perceived exertion, strength, and functionality in obese adults. Methods: Seventy-two obese adult participants were randomly divided into three groups (vertical group, alternating lateral group, and placebo group). Physiological parameters were assessed before, during, and after the intervention, in addition to perceived exertion, functionality, and muscle strength. Results: When comparing the results before and after the intervention, the heart rate–pressure product increased significantly in the alternating lateral group (p = 0.005), and heart rate increased significantly (p = 0.0001) and then decreased significantly (p = 0.030) only in the alternating lateral group. Post hoc analysis revealed a significant increase in perceived exertion in the lateral alternation group, from the period before the intervention to the 10th set (p = 0.006) and from the period before to the period after the intervention (p = 0.011). In the vertical group, a significant increase was observed from the period before the intervention to the 10th set (p = 0.020). Conclusions: In conclusion, considering all the findings of this study, whole-body vibration (WBV) exercise promoted some immediate changes in physiological parameters and perception of effort in obese adults. WBV exercise with the alternating vibration platform induced significant fluctuations in heart rate and increased the heart rate–blood pressure product, although with values within the normal range. Perception of effort increased in all groups. Considering the absence of discrepant changes in physiological parameters, impact on the cardiovascular system, and fatigue, the WBV exercise intervention in side-alternating or vertical vibration vibratory platforms can be considered a viable non-conventional exercise option for the obese population. Full article
(This article belongs to the Section Clinical Diagnosis and Prognosis)
Show Figures

Figure 1

23 pages, 3958 KB  
Article
Performance of the Novel Reactive Access-Barring Scheme for NB-IoT Systems Based on the Machine Learning Inference
by Anastasia Daraseliya, Eduard Sopin, Julia Kolcheva, Vyacheslav Begishev and Konstantin Samouylov
Sensors 2026, 26(2), 636; https://doi.org/10.3390/s26020636 - 17 Jan 2026
Viewed by 209
Abstract
Modern 5G+grade low power wide area network (LPWAN) technologies such as Narrowband Internet-of-Things (NB-IoT) operate utilizing a multi-channel slotted ALOHA algorithm at the random access phase. As a result, the random access phase in such systems is characterized by relatively low throughput and [...] Read more.
Modern 5G+grade low power wide area network (LPWAN) technologies such as Narrowband Internet-of-Things (NB-IoT) operate utilizing a multi-channel slotted ALOHA algorithm at the random access phase. As a result, the random access phase in such systems is characterized by relatively low throughput and is highly sensitive to traffic fluctuations that could lead the system outside of its stable operational regime. Although theoretical results specifying the optimal transmission probability that maximizes the successful preamble transmission probability are well known, the lack of knowledge about the current offered traffic load at the BS makes the problem of maintaining the optimal throughput a challenging task. In this paper, we propose and analyze a new reactive access-barring scheme for NB+IoT systems based on machine learning (ML) techniques. Specifically, we first demonstrate that knowing the number of user equipments (UE) experiencing a collision at the BS is sufficient to make conclusions about the current offered traffic load. Then, we show that through utilizing ML-based techniques, one can safely differentiate between events in the Physical Random Access Channel (PRACH) at the base station (BS) side based on only the signal-to-noise ratio (SNR). Finally, we mathematically characterize the delay experienced under the proposed reactive access-barring technique. In our numerical results, we show that by utilizing modern neural network approaches, such as the XGBoost classifier, one can precisely differentiate between events on the PRACH channel with accuracy reaching 0.98 and then associate it with the number of user equipment (UE) competing at the random access phase. Our simulation results show that the proposed approach can keep the successful preamble transmission probability constant at approximately 0.3 in overloaded conditions, when for conventional NB-IoT access, this value is less than 0.05. The proposed scheme achieves near-optimal throughput in multi-channel ALOHA by employing dynamic traffic awareness to adjust the non-unit transmission probability. This proactive congestion control ensures a controlled and bounded delay, preventing latency from exceeding the system’s maximum load capacity. Full article
Show Figures

Figure 1

25 pages, 6075 KB  
Article
High-Frequency Monitoring of Explosion Parameters and Vent Morphology During Stromboli’s May 2021 Crater-Collapse Activity Using UAS and Thermal Imagery
by Elisabetta Del Bello, Gaia Zanella, Riccardo Civico, Tullio Ricci, Jacopo Taddeucci, Daniele Andronico, Antonio Cristaldi and Piergiorgio Scarlato
Remote Sens. 2026, 18(2), 264; https://doi.org/10.3390/rs18020264 - 14 Jan 2026
Viewed by 446
Abstract
Stromboli’s volcanic activity fluctuates in intensity and style, and periods of heightened activity can trigger hazardous events such as crater collapses and lava overflows. This study investigates the volcano’s explosive behavior surrounding the 19 May 2021 crater-rim failure, which primarily affected the N2 [...] Read more.
Stromboli’s volcanic activity fluctuates in intensity and style, and periods of heightened activity can trigger hazardous events such as crater collapses and lava overflows. This study investigates the volcano’s explosive behavior surrounding the 19 May 2021 crater-rim failure, which primarily affected the N2 crater and partially involved N1, by integrating high-frequency thermal imaging and high-resolution unmanned aerial system (UAS) surveys to quantify eruption parameters and vent morphology. Typically, eruptive periods preceding vent instability are characterized by evident changes in geophysical parameters and by intensified explosive activity. This is quantitatively monitored mainly through explosion frequency, while other eruption parameters are assessed qualitatively and sporadically. Our results show that, in addition to explosion rate, the spattering rate, the predominance of bomb- and gas-rich explosions, and the number of active vents increased prior to the collapse, reflecting near-surface magma pressurization. UAS surveys revealed that the pre-collapse configuration of the northern craters contributed to structural vulnerability, while post-collapse vent realignment reflected magma’s adaptation to evolving stress conditions. The May 2021 events were likely influenced by morphological changes induced by the 2019 paroxysms, which increased collapse frequency and amplified the 2021 failure. These findings highlight the importance of integrating quantitative time series of multiple eruption parameters and high-frequency morphological surveys into monitoring frameworks to improve early detection of system disequilibrium and enhance hazard assessment at Stromboli and similar volcanic systems. Full article
Show Figures

Figure 1

27 pages, 4481 KB  
Article
Quantifying the Linguistic Complexity of Pan-Homophonic Events in Stock Market Volatility Dynamics
by Yunfan Zhang, Jingqian Tian, Yutong Zou, Xu Zhang and Xiao Cai
Entropy 2026, 28(1), 90; https://doi.org/10.3390/e28010090 - 12 Jan 2026
Viewed by 250
Abstract
Pan-Homophonic events denote fluctuations in stock prices that are triggered by phonetic similarities between event keywords and stock tickers. As a relatively novel and under-researched phenomenon, they mirror a subtle yet influential behavioral deviation within financial markets. Centering on the case of Chuandazhisheng, [...] Read more.
Pan-Homophonic events denote fluctuations in stock prices that are triggered by phonetic similarities between event keywords and stock tickers. As a relatively novel and under-researched phenomenon, they mirror a subtle yet influential behavioral deviation within financial markets. Centering on the case of Chuandazhisheng, this study delves into how such events produce dynamic and time-varying impacts on stock prices. A linguistic amplitude segmentation method is devised to discriminate between high- and low-intensity events based on information entropy. To separate pan-homophonic-driven price movements from broader market trends, the Relational Stock Ranking (RSR) model is integrated with a Dynamic Conditional Correlation-Generalized Autoregressive Conditional Heteroskedasticity (DCC-GARCH) framework to establish an adjusted price benchmark. The empirical analysis reveals a sequential price response: initial moderate fluctuations in the low-amplitude phase often yield to more prominent volatility in the high-amplitude phase. While price surges typically occur within one or two days of the event, they generally revert within approximately three weeks. Moreover, repeated exposures to homo- phonic stimuli seem to attenuate the response, indicating a decaying spillover pattern. These findings contribute to a more profound understanding of the intersection between linguistic cues and market behavior and provide practical insights for investor education, information filtering, and regulatory supervision. Full article
(This article belongs to the Special Issue Spreading Dynamics in Complex Networks)
Show Figures

Figure 1

32 pages, 5650 KB  
Article
Low-Carbon and Energy-Efficient Dynamic Flexible Job Shop Scheduling Method Towards Renewable Energy Driven Manufacturing
by Yao Lu, Qicai Zhu, Changhao Tian, Erbao He and Taihua Zhang
Machines 2026, 14(1), 88; https://doi.org/10.3390/machines14010088 - 10 Jan 2026
Viewed by 187
Abstract
As one of the major sources of global carbon emissions, the manufacturing industry urgently requires green transformation. The utilization of renewable energy in production workshop offers a promising route toward zero-carbon manufacturing. However, renewable energy fluctuations and dynamic workshop events make efficient scheduling [...] Read more.
As one of the major sources of global carbon emissions, the manufacturing industry urgently requires green transformation. The utilization of renewable energy in production workshop offers a promising route toward zero-carbon manufacturing. However, renewable energy fluctuations and dynamic workshop events make efficient scheduling increasingly challenging. This paper introduces a low-carbon and energy-efficient dynamic flexible job shop scheduling problem oriented towards renewable energy integration, and develops a multi-agent deep reinforcement learning framework for dynamic and intelligent production scheduling. Inspired by the Proximal Policy Optimization (PPO) algorithm, a routing agent and a sequencing agent are designed for machine assignment and job sequencing, respectively. Customized state representations and reward functions are also designed to enhance learning performance and scheduling efficiency. Simulation results demonstrate that the proposed method achieves superior performance in multi-objective optimization, effectively balancing production efficiency, energy consumption, and carbon emission reduction across various job shop scheduling scenarios. Full article
(This article belongs to the Special Issue Artificial Intelligence in Mechanical Engineering Applications)
Show Figures

Figure 1

Back to TopTop