Sign in to use this feature.

Years

Between: -

Subjects

remove_circle_outline
remove_circle_outline
remove_circle_outline
remove_circle_outline
remove_circle_outline
remove_circle_outline
remove_circle_outline
remove_circle_outline

Journals

Article Types

Countries / Regions

Search Results (60)

Search Parameters:
Keywords = environmental asbestos exposure

Order results
Result details
Results per page
Select all
Export citation of selected articles as:
22 pages, 6253 KB  
Review
Lung Cancer in Never-Smokers: Risk Factors, Driver Mutations, and Therapeutic Advances
by Po-Ming Chen, Yu-Han Huang and Chia-Ying Li
Diagnostics 2026, 16(2), 245; https://doi.org/10.3390/diagnostics16020245 - 12 Jan 2026
Viewed by 373
Abstract
Background and Objectives: Lung cancer in never-smokers (LCINS) has become a major global health concern, ranking as the fifth leading cause of cancer-related mortality. Unlike smoking-related lung cancer, LCINS arises from complex interactions between environmental carcinogens and distinct genomic alterations. This review [...] Read more.
Background and Objectives: Lung cancer in never-smokers (LCINS) has become a major global health concern, ranking as the fifth leading cause of cancer-related mortality. Unlike smoking-related lung cancer, LCINS arises from complex interactions between environmental carcinogens and distinct genomic alterations. This review summarizes current evidence on environmental risks, molecular features, and therapeutic progress shaping lung cancer management. Methods: A narrative review was conducted to examine risk factors for lung cancer in non-smokers. Studies reporting driver mutations in never-smokers and smokers were identified across major lung cancer histological subtypes, including small-cell lung cancer (SCLC), lung adenocarcinoma (LUAD), squamous cell carcinoma (SCC), and large-cell carcinoma (LCC). In addition, PubMed was searched for phase III trials and studies on targeted therapies related to driver mutations published between 2016 and 2025. Results: Environmental factors such as cooking oil fumes, radon, asbestos, arsenic, and fine particulate matter (PM2.5) are strongly associated with LCINS through oxidative stress, DNA damage, and chronic inflammation. EGFR, PIK3CA, OS9, MET, and STK11 mutations are characteristic of never-smokers, in contrast to TP53 mutations, which are more common in smokers. Recent advances in targeted therapy and immunotherapy have improved survival and quality of life, emphasizing the importance of molecular profiling for treatment selection. Conclusions: LCINS represents a distinct clinical and molecular entity shaped by complex interactions between environmental exposures and genetic susceptibility. Genetic alterations promote tumor immune evasion, facilitating cancer development and progression. Continued advances in air quality control, molecular diagnostics, and precision therapies are essential for prevention, early detection, and reduction of the global disease burden. Full article
(This article belongs to the Special Issue Lung Cancer: Screening, Diagnosis and Management: 2nd Edition)
Show Figures

Figure 1

15 pages, 761 KB  
Article
The Accuracy of Video-Assisted Thoracic Surgery Pleural Biopsy in Patients with Suspected Diffuse Pleural Mesothelioma: A Real-Life Study
by Ludovica Balsamo, Enrica Migliore, Eleonora Della Beffa, Luisa Delsedime, Paolo Olivo Lausi, Daniela Di Cuonzo, Filippo Lococo, Paraskevas Lyberis, Dario Mirabelli, Mauro Giulio Papotti, Enrico Ruffini and Francesco Guerrera
J. Clin. Med. 2026, 15(1), 42; https://doi.org/10.3390/jcm15010042 - 20 Dec 2025
Viewed by 377
Abstract
Background: The heritage of occupational and environmental asbestos exposure in Piedmont, Italy, has resulted in an enduring diffuse pleural mesothelioma (DPM) epidemic. Our study aimed to investigate the accuracy of Pleural biopsy (PB) via thoracoscopy (or video-assisted thoracic surgery—VATS) and analyze the [...] Read more.
Background: The heritage of occupational and environmental asbestos exposure in Piedmont, Italy, has resulted in an enduring diffuse pleural mesothelioma (DPM) epidemic. Our study aimed to investigate the accuracy of Pleural biopsy (PB) via thoracoscopy (or video-assisted thoracic surgery—VATS) and analyze the diagnostic path of patients who experienced an initial DPM misdiagnosis. Methods: Patients who underwent PB by VATS for suspected DPM from 2004 to 2013 were analyzed. The Registry of Malignant Mesothelioma (RMM) records were examined to cross-check incident cases and identify misdiagnosed DPM. The sensitivity and specificity of the initial PB assessment versus the final classification of cases by RMM were evaluated. Results: Data from 552 patients were analyzed, and DPM was diagnosed in 178 cases (32%). Sensitivity and specificity were 93% and 100%, respectively. The number of false-negative PBs was 14 (2%). Of those, 10 (71%) had an initial diagnosis of chronic pleuritis, 3 (28.5%) were initially classified as mesothelial proliferation, and 1 had reactive mesothelial proliferation. All of them reported a history of asbestos exposure, and the correct diagnosis was reached after a median of 160 days. One- and four-year survival rates were 52% and 10% in DPM PB-positive cases and 50% and 19% in false-negative cases. Conclusions: When a strong clinical suspicion after a negative PB remains, iterative biopsy attempts should be considered, especially if a history of asbestos exposure is reported. In high-volume centers, the DPM misdiagnosis rate remains low, and future advancements in diagnostic technologies could further increase the accuracy and efficacy of histologic diagnosis. Full article
(This article belongs to the Special Issue Thoracic Surgery Between Tradition and Innovations)
Show Figures

Figure 1

17 pages, 963 KB  
Article
The Role of Breath Analysis in the Non-Invasive Early Diagnosis of Malignant Pleural Mesothelioma (MPM) and the Management of At-Risk Individuals
by Marirosa Nisi, Alessia Di Gilio, Jolanda Palmisani, Niccolò Varesano, Domenico Galetta, Annamaria Catino and Gianluigi de Gennaro
Molecules 2025, 30(19), 3922; https://doi.org/10.3390/molecules30193922 - 29 Sep 2025
Viewed by 890
Abstract
Malignant pleural mesothelioma (MPM) is a rare and aggressive malignancy associated with occupational or environmental exposure to asbestos. Effective management of MPM remains challenging due to its prolonged latency period and the typically late onset of clinical symptoms. Accordingly, there is an increasing [...] Read more.
Malignant pleural mesothelioma (MPM) is a rare and aggressive malignancy associated with occupational or environmental exposure to asbestos. Effective management of MPM remains challenging due to its prolonged latency period and the typically late onset of clinical symptoms. Accordingly, there is an increasing demand for the implementation of reliable, non-invasive, and data-driven diagnostic strategies within large-scale screening programs. In this context, the chemical profiling of volatile organic compounds (VOCs) in exhaled breath has recently gained recognition as a promising and non-invasive approach for the early detection of cancer, including MPM. Therefore, in this cross-sectional observational study, an overall number of 125 individuals, including 64 MPM patients and 61 healthy controls (HC), were enrolled. End-tidal breath fraction (EXP) was collected directly onto two-bed adsorbent cartridges by an automated sampling system and analyzed by thermal desorption–gas chromatography–mass spectrometry (TD-GC/MS). A machine learning approach based on a random forest (RF) algorithm and trained using a 10-fold cross-validation framework was applied to experimental data, yielding remarkable results (AUC = 86%). Fifteen VOCs reflecting key metabolic alterations characteristic of MPM pathophysiology were found to be able to discriminate between MPM and HC. Moreover, twenty breath samples from asymptomatic former asbestos-exposed (AEx) and eight MPM patients during follow-up (FUMPM) were exploratively analyzed, processed, and tested as blinded samples by the validated statistical method. Good agreement was found between model output and clinical information obtained by CT. These findings underscore the potential of breath VOC analysis as a non-invasive diagnostic approach for MPM and support its feasibility for longitudinal patient and at-risk subjects monitoring. Full article
(This article belongs to the Section Analytical Chemistry)
Show Figures

Graphical abstract

13 pages, 538 KB  
Article
Latency Period Among Asbestosis Cases in South Korea by Demographic and Asbestos Exposure Characteristics
by Won Young So, Min-Sung Kang, Young Hwangbo and Mee-Ri Lee
Toxics 2025, 13(9), 775; https://doi.org/10.3390/toxics13090775 - 13 Sep 2025
Viewed by 1019
Abstract
Although asbestos use has been banned in many countries, including South Korea, the long latency period of asbestos-related diseases remains a serious public health concern. We conducted a nationwide, registry-based retrospective study to estimate the latency period of asbestosis and identify its determinants. [...] Read more.
Although asbestos use has been banned in many countries, including South Korea, the long latency period of asbestos-related diseases remains a serious public health concern. We conducted a nationwide, registry-based retrospective study to estimate the latency period of asbestosis and identify its determinants. We analyzed exposure history and demographics for 1110 asbestosis cases collected by the Ministry of Environment and the Environmental Health Center for Asbestos in Korea between 2009 and 2021. Mean latency was 45.3 years for asbestosis Grade 1 and 46.3 years for Grade 2. Patients with occupational exposure had shorter latency than those with environmental exposure: 44.4 vs. 46.0 years in Grade 1 (p = 0.010) and 45.0 vs. 47.0 years in Grade 2 (p < 0.001). Within occupations, production-type work showed the shortest latency; within environmental exposure, residence near asbestos-related industries showed the shortest latency, whereas residence near asbestos mines showed the longest. Longer exposure duration (occupational) was associated with shorter latency, and greater residential distance from the source (environmental) with longer latency. Priorities for further investigation include differences by asbestos fiber type and exposure intensity/modality, to inform strengthened occupational health monitoring and targeted surveillance for residents near industrial sources and legacy mines. Full article
(This article belongs to the Section Human Toxicology and Epidemiology)
Show Figures

Figure 1

20 pages, 9016 KB  
Article
Distribution of Naturally Occurring Asbestos in the Mitrovica Region: Geochemical and Mineralogical Characterization
by Bahri Sinani, Blazo Boev, Arianit A. Reka, Berat Sinani and Ivan Boev
Geosciences 2025, 15(9), 335; https://doi.org/10.3390/geosciences15090335 - 1 Sep 2025
Cited by 1 | Viewed by 1200
Abstract
This study investigates the presence of naturally occurring asbestos (NOA) in the Bajgora region of Mitrovica, Republic of Kosovo. Rock samples were collected and analyzed using X-ray powder diffraction (XRPD) and scanning electron microscopy coupled with energy-dispersive X-ray spectroscopy (SEM/EDX). The analyses confirmed [...] Read more.
This study investigates the presence of naturally occurring asbestos (NOA) in the Bajgora region of Mitrovica, Republic of Kosovo. Rock samples were collected and analyzed using X-ray powder diffraction (XRPD) and scanning electron microscopy coupled with energy-dispersive X-ray spectroscopy (SEM/EDX). The analyses confirmed the presence of the chrysotile mineral, which is part of the asbestos mineral family, while the minerals of the serpentine group, lizardite and antigorite, were identified. Also, in the last sample, in the flyschite sandstone formations, quartz was identified. XRPD enabled the identification of mineral phases, while SEM/EDX provided detailed morphological and chemical characterization, essential for confirming asbestos structures. The detection of asbestos near residential areas raises serious public health concerns, as airborne fibers may be inhaled during routine daily activities. Exposure to these fibers is linked to severe diseases, including asbestosis and mesothelioma. These findings highlight the need for continued monitoring and comprehensive assessment of asbestos contamination in the Bajgora region. The findings point to the need for continuous monitoring and comprehensive assessment of the Bajgora region for asbestos contamination. Furthermore, the ecological risks to human health resulting from the dispersion of asbestos mineral fibers in the soil, where their presence may be found in surface waters and in the air, these fibers represent a significant environmental risk that requires urgent attention by establishing a monitoring system for the benefit of public health. Full article
Show Figures

Figure 1

10 pages, 1560 KB  
Case Report
Genetic Landscape of a Pleural Mesothelioma in a Child Affected by NF2-Related Schwannomatosis
by Marzia Ognibene, Gianluca Piccolo, Marco Crocco, Marco Di Duca, Antonio Verrico, Marta Molteni, Ferruccio Romano, Valeria Capra, Andrea Rossi, Federico Zara, Patrizia De Marco and Claudia Milanaccio
Int. J. Mol. Sci. 2025, 26(14), 6848; https://doi.org/10.3390/ijms26146848 - 16 Jul 2025
Viewed by 1295
Abstract
We report the first case of pleural mesothelioma (PM) occurring in a child affected by NF2-related schwannomatosis (NF2-SWN) and without any history of environmental exposure to asbestos. Mesothelioma is a rare secondary tumor in brain cancer patients and the association with NF2-SWN has [...] Read more.
We report the first case of pleural mesothelioma (PM) occurring in a child affected by NF2-related schwannomatosis (NF2-SWN) and without any history of environmental exposure to asbestos. Mesothelioma is a rare secondary tumor in brain cancer patients and the association with NF2-SWN has been described only in a few anecdotal cases and never in the pediatric field. NF2-SWN is an autosomal dominant disease caused by inactivating germline mutations of the NF2 tumor suppressor gene, one of the most common mutations associated with human primary mesothelioma too. By MLPA assay, array-CGH analysis, and NGS on blood and tumor DNA, we determined the mutation profile of this rare NF2-driven PM and we identified several atypical chromosomal aberrations in tumor cells, suggesting a different genomic signature between pediatric and adult mesothelioma. Full article
(This article belongs to the Collection Feature Papers in Molecular Oncology)
Show Figures

Figure 1

24 pages, 1164 KB  
Article
A Community-Based Assessment of Attitudes, Health Impacts and Protective Actions During the 24-Day Hangar Fire in Tustin, California
by Shahir Masri, Alana M. W. LeBrón, Annie Zhang, Lisa B. Jones, Oladele A. Ogunseitan and Jun Wu
Int. J. Environ. Res. Public Health 2025, 22(7), 1003; https://doi.org/10.3390/ijerph22071003 - 26 Jun 2025
Viewed by 2325
Abstract
Fire events can impact physical and mental health through smoke exposure, evacuation, property loss, and/or other environmental stressors. In this study, we developed community-driven, cross-sectional online surveys to assess public attitudes, health impacts, and protective actions of residents affected by the Tustin hangar [...] Read more.
Fire events can impact physical and mental health through smoke exposure, evacuation, property loss, and/or other environmental stressors. In this study, we developed community-driven, cross-sectional online surveys to assess public attitudes, health impacts, and protective actions of residents affected by the Tustin hangar fire that burned for 24 days in southern California. Results showed the most frequently reported fire-related exposure concerns (93%) to be asbestos and general air pollution and the most commonly reported mental health impacts to be anxiety (41%), physical fatigue (37%), headaches (33%), and stress (26%). Nose/sinus irritation was the most commonly reported (26.0%) respiratory symptom, while skin- and eye-related conditions were reported by 63.0% and 72.2% of the survey population, respectively. The most commonly reported health-protective actions taken by residents included staying indoors and/or closing doors and windows (67%), followed by wearing face masks (37%) and the indoor use of air purifiers (35%). A higher proportion of low-income residents had to spend money on remediation or other health-protective actions compared to high-income residents. Participants overwhelmingly reported disapproval of their city’s and/or government’s response to the fire disaster. Findings from this study underscore the potential impacts of major pollution events on neighboring communities and offer critical insights to better position government agencies to respond during future disasters while effectively communicating with the public and addressing community needs. Full article
(This article belongs to the Section Environmental Health)
Show Figures

Figure 1

15 pages, 556 KB  
Review
Mosses in Urban Environments as Passive Biofilters and Organisms Impacted by Asbestos-Contaminated Habitats
by Gergely Zoltán Macher and Dóra Beke
Int. J. Environ. Res. Public Health 2025, 22(6), 838; https://doi.org/10.3390/ijerph22060838 - 26 May 2025
Viewed by 1288
Abstract
Asbestos cement materials represent a persistent source of environmental contamination, particularly in urban areas where weathering facilitates the release of hazardous chrysotile fibres. Despite extensive research on the human health impacts of asbestos, ecological interactions remain poorly understood. This paper explores the dual [...] Read more.
Asbestos cement materials represent a persistent source of environmental contamination, particularly in urban areas where weathering facilitates the release of hazardous chrysotile fibres. Despite extensive research on the human health impacts of asbestos, ecological interactions remain poorly understood. This paper explores the dual role of bryophytes colonising asbestos cement roofing as passive filters that trap airborne fibres and as vulnerable organisms subjected to asbestos-induced stress. Using a synthesis of recent findings, we assess the capacity of mosses to immobilise chrysotile fibres through their dense, mat-like structures, potentially reducing local dispersion. Simultaneously, we examine physiological and biochemical responses to prolonged fibre exposure, including reduced photosynthetic activity and signs of oxidative stress. The findings highlight a paradoxical function of bryophytes: while they contribute to pollution mitigation, they also accumulate contaminants and suffer from sublethal damage. These interactions may have broader implications for contaminant redistribution, particularly through decomposition and trophic transfer. Understanding these dynamics is essential for advancing ecological risk assessments and developing sustainable remediation strategies in asbestos-contaminated habitats. Full article
Show Figures

Figure 1

16 pages, 306 KB  
Review
The Use of Asbestos and Its Consequences: An Assessment of Environmental Impacts and Public Health Risks
by António Curado, Leonel J. R. Nunes, Arlete Carvalho, João Abrantes, Eduarda Lima and Mário Tomé
Fibers 2024, 12(12), 102; https://doi.org/10.3390/fib12120102 - 25 Nov 2024
Cited by 14 | Viewed by 7119
Abstract
The use of asbestos, once celebrated for its versatility and fire-resistant properties, has left a lasting legacy of environmental degradation and public health risks. This paper provides a comprehensive assessment of the environmental impacts and health risks associated with asbestos, highlighting its widespread [...] Read more.
The use of asbestos, once celebrated for its versatility and fire-resistant properties, has left a lasting legacy of environmental degradation and public health risks. This paper provides a comprehensive assessment of the environmental impacts and health risks associated with asbestos, highlighting its widespread use, environmental persistence, and adverse effects on human health. Through a literature review, this study examines the historical context of asbestos use, its adverse environmental effects and the mechanisms by which exposure to asbestos poses significant health risks, including the development of asbestos-related diseases such as mesothelioma, lung cancer, asbestosis, etc. It also assesses the current regulatory framework and provides a methodological analysis of the strategy for recycling end-of-life materials containing asbestos fibers, proposing the inclusion of asbestos-containing materials (ACMs) in the rock wool industry to reduce Greenhouse Gasses (GHG) emissions. Drawing on interdisciplinary insights from environmental science, public health, and regulatory analysis, this paper concludes with recommendations for improving asbestos management strategies, promoting safer alternatives and mitigating the long-term environmental and human health impacts of asbestos. Full article
(This article belongs to the Collection Review Papers of Fibers)
28 pages, 2550 KB  
Review
Modern Methods of Asbestos Waste Management as Innovative Solutions for Recycling and Sustainable Cement Production
by Karol Durczak, Michał Pyzalski, Tomasz Brylewski, Michał Juszczyk, Agnieszka Leśniak, Marek Libura, Leonas Ustinovičius and Mantas Vaišnoras
Sustainability 2024, 16(20), 8798; https://doi.org/10.3390/su16208798 - 11 Oct 2024
Cited by 11 | Viewed by 6809 | Correction
Abstract
Managing asbestos waste presents a significant challenge due to the widespread industrial use of this material, and the serious health and environmental risks it poses. Despite its unique properties, such as resistance to high temperatures and substantial mechanical strength, asbestos is a material [...] Read more.
Managing asbestos waste presents a significant challenge due to the widespread industrial use of this material, and the serious health and environmental risks it poses. Despite its unique properties, such as resistance to high temperatures and substantial mechanical strength, asbestos is a material with well-documented toxicity and carcinogenicity. Ensuring the safe removal and disposal of asbestos-containing materials (ACM) is crucial for protecting public health, the environment, and for reducing CO2 emissions resulting from inefficient waste disposal methods. Traditional landfill disposal methods have proven inadequate, while modern approaches—including thermal, chemical, biotechnological, and mechanochemical methods—offer potential benefits but also come with limitations. In particular, thermal techniques that allow for asbestos degradation can significantly reduce environmental impact, while also providing the opportunity to repurpose disposal products into materials useful for cement production. Cement, a key component of concrete, can serve as a sustainable alternative, minimizing CO2 emissions and reducing the need for primary raw materials. This work provides insights into research on asbestos waste management, offering a deeper understanding of key initiatives related to asbestos removal. It presents a comprehensive review of best practices, innovative technologies, and safe asbestos management strategies, with particular emphasis on their impact on sustainable development and CO2 emission reduction. Additionally, it discusses public health hazards related to exposure to asbestos fibers, and worker protection during the asbestos disposal process. As highlighted in the review, one promising method is the currently available thermal degradation of asbestos. This method offers real opportunities for repurposing asbestos disposal products for cement production; thereby reducing CO2 emissions, minimizing waste, and supporting sustainable construction. Full article
Show Figures

Figure 1

10 pages, 3164 KB  
Article
Assessment of Optical and Scanning Electron Microscopies for the Identification and Quantification of Asbestos Fibers and Typical Asbestos Bodies in Human Colorectal Cancer Tissues
by Alessandro Croce, Marinella Bertolotti, Donata Bellis, Alex Glorioso, Carlotta Bertolina, Marianna Farotto, Fabio Giacchero, Annalisa Roveta and Antonio Maconi
Chemosensors 2024, 12(10), 200; https://doi.org/10.3390/chemosensors12100200 - 1 Oct 2024
Viewed by 1920
Abstract
Asbestos research, identification, and quantification have been performed over the years, and the relationship between fiber inhalation and lung disease development is well defined. The same cannot be said for the gastroenteric system: the International Agency for Research on Cancer (IARC) believes that [...] Read more.
Asbestos research, identification, and quantification have been performed over the years, and the relationship between fiber inhalation and lung disease development is well defined. The same cannot be said for the gastroenteric system: the International Agency for Research on Cancer (IARC) believes that colorectal cancer (CRC) could be associated with asbestos exposure, but research has not demonstrated a casual nexus between exposure and CRC, despite highlighting an association tendency. The combination of scanning electron microscopy (SEM) and energy-dispersive spectroscopy (EDS) is the most applied technique in asbestos fiber identification in tissues and intestinal mucosa. In this study, SEM/EDS was applied to evaluate the presence of asbestos fibers and bodies (ABs) inside the tissue of eleven patients affected by CRC who had undergone environmental exposure due to living in an asbestos-polluted area where an Eternit plant had been active in the past. This technique was coupled with optical microscopy (OM) to verify whether the latter could be applied to evaluate the presence of these mineral phases, with the goal of understanding its suitability for identifying fibers and ABs in colon tissues. In addition to verifying the presence of fibers, this study allowed us to identify the deposition site of said fibers within the sample and possibly detect associated tissue reactions using OM, over a shorter time and at lower costs. Despite being a preliminary and descriptive work, the obtained results allowed us to propose a method involving first-sample OM observation to identify regulated (fibers with a length ≥ 5 μm, a thickness ≤ 3 μm, and a length/thickness ratio > 3) asbestos phases and ABs in the extra-respiratory system. In fact, OM and SEM/EDS provided similar information: no asbestiform morphology or ABs were found, but phyllosilicates and other inorganic materials were identified. This research needs to be continued using higher-resolution techniques to definitively rule out the presence of these fibers inside tissues whilst also increasing the number of patients involved. Full article
(This article belongs to the Section Imaging for (Bio)chemical Sensing)
Show Figures

Figure 1

23 pages, 1005 KB  
Review
The Constellation of Risk Factors and Paraneoplastic Syndromes in Cholangiocarcinoma: Integrating the Endocrine Panel Amid Tumour-Related Biology (A Narrative Review)
by Mihai-Lucian Ciobica, Bianca-Andreea Sandulescu, Liana-Maria Chicea, Mihaela Iordache, Maria-Laura Groseanu, Mara Carsote, Claudiu Nistor and Ana-Maria Radu
Biology 2024, 13(9), 662; https://doi.org/10.3390/biology13090662 - 26 Aug 2024
Cited by 1 | Viewed by 4238
Abstract
Cholangiocarcinomas (CCAs), a heterogeneous group of challenging malignant tumours which originate from the biliary epithelium, are associated with an alarming increasing incidence during recent decades that varies between different regions of the globe. Thus, awareness represents the key operating factor. Our purpose was [...] Read more.
Cholangiocarcinomas (CCAs), a heterogeneous group of challenging malignant tumours which originate from the biliary epithelium, are associated with an alarming increasing incidence during recent decades that varies between different regions of the globe. Thus, awareness represents the key operating factor. Our purpose was to overview the field of CCAs following a double perspective: the constellation of the risk factors, and the presence of the paraneoplastic syndromes, emphasizing the endocrine features amid the entire multidisciplinary panel. This is a narrative review. A PubMed-based search of English-language original articles offered the basis of this comprehensive approach. Multiple risk factors underlying different levels of statistical evidence have been listed such as chronic biliary diseases and liver conditions, inflammatory bowel disease, parasitic infections (e.g., Opisthorchis viverrini, Clonorchis sinensis), lifestyle influence (e.g., alcohol, smoking), environmental exposure (e.g., thorotrast, asbestos), and certain genetic and epigenetic interplays. With regard to the endocrine panel, a heterogeneous spectrum should be taken into consideration: non-alcoholic fatty liver disease, obesity, type 2 diabetes mellitus, and potential connections with vitamin D status, glucagon-like peptide 1 receptor, or the galanin system, respectively, with exposure to sex hormone therapy. Amid the numerous dermatologic, hematologic, renal, and neurologic paraneoplastic manifestations in CCAs, the endocrine panel is less described. Humoral hypercalcaemia of malignancy stands as the most frequent humoral paraneoplastic syndrome in CCAs, despite being exceptional when compared to other paraneoplastic (non-endocrine) manifestations and to its reported frequency in other (non-CCAs) cancers (it accompanies 20–30% of all cancers). It represents a poor prognosis marker in CCA; it may be episodic once the tumour relapses. In addition to the therapy that targets the originating malignancy, hypercalcaemia requires the administration of bisphosphonates (e.g., intravenous zoledronic acid) or denosumab. Early detection firstly helps the general wellbeing of a patient due to a prompt medical control of high serum calcium and it also provides a fine biomarker of disease status in selected cases that harbour the capacity of PTHrP secretion. The exact molecular biology and genetic configuration of CCAs that display such endocrine traits is still an open matter, but humoral hypercalcaemia adds to the overall disease burden. Full article
(This article belongs to the Special Issue Biology of Liver Diseases)
Show Figures

Figure 1

10 pages, 246 KB  
Article
Occupational and Environmental Asbestos Exposure and Survival of Patients with Asbestos-Related Cancer: A Follow-Up Study on Patients with Malignant Mesothelioma and Asbestos-Related Lung Cancer in Korea
by Min-Sung Kang, Woo-Ri Chae, Yong-Jin Lee and Kyong Whan Moon
Toxics 2024, 12(1), 20; https://doi.org/10.3390/toxics12010020 - 25 Dec 2023
Cited by 7 | Viewed by 3698
Abstract
Malignant mesothelioma and asbestos-related lung cancer are typically associated with a poor prognosis. However, it has been observed that some patients with these cancers survive significantly longer than the average survival period. While many preliminary studies have investigated factors influencing patient survival, the [...] Read more.
Malignant mesothelioma and asbestos-related lung cancer are typically associated with a poor prognosis. However, it has been observed that some patients with these cancers survive significantly longer than the average survival period. While many preliminary studies have investigated factors influencing patient survival, the specific impact of asbestos exposure has not been thoroughly explored. We followed up with 546 patients with malignant mesothelioma and 902 patients with asbestos-related lung cancer, all identified as asbestos victims between 2009 and 2021. In both malignant mesothelioma and asbestos-related lung cancer, patients with occupational asbestos exposure exhibited not only shorter median survival times but also lower 3- and 5-year survival rates compared to those with environmental exposure. Additionally, a longer duration of occupational exposure and closer proximity to the source of asbestos were linked to shorter survival times and lower survival rates. Among the patients with occupational asbestos exposure, the highest hazard ratios (HRs) were observed in those who worked in the production of asbestos-containing products across both cancer types. In contrast, significant HRs were only noted in mesothelioma patients who lived near asbestos industries, slate houses, and redevelopment areas, within the environmentally exposed group. Full article
(This article belongs to the Section Exposome Analysis and Risk Assessment)
8 pages, 1883 KB  
Article
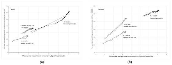
A Comparative Analysis of Lung Cancer Incidence and Tobacco Consumption in Canada, Norway and Sweden: A Population-Based Study
by Jing Chen
Int. J. Environ. Res. Public Health 2023, 20(20), 6930; https://doi.org/10.3390/ijerph20206930 - 17 Oct 2023
Cited by 8 | Viewed by 4457
Abstract
Risk factors for developing lung cancer include tobacco smoking, exposure to second-hand smoke, radon gas, asbestos and other carcinogens, as well as air pollution and aging. Canada, Norway and Sweden are three Arctic countries that are very similar in socioeconomic status, similar in [...] Read more.
Risk factors for developing lung cancer include tobacco smoking, exposure to second-hand smoke, radon gas, asbestos and other carcinogens, as well as air pollution and aging. Canada, Norway and Sweden are three Arctic countries that are very similar in socioeconomic status, similar in the social determinants of health and many environmental factors, including current smoking rates. However, lung cancer incidence rates differ significantly among the three countries. Since tobacco smoking is the principal risk factor for developing lung cancer, and there is a long lag time between tobacco consumption and lung cancer incidence at the population average level, a comparative analysis is conducted with historical data available publicly in the three countries to demonstrate how tobacco consumption in the past impacts lung cancer incidence decades late. The analysis shows that lung cancer incidence rates increase proportionally with the increasing tobacco consumption rates with a lag time of 20–30 years. On average, one more cigarette smoked per person per day can increase lung cancer cases by 2 to 5 per 100,000 population. Full article
(This article belongs to the Section Environmental Health)
Show Figures

Figure 1

32 pages, 2124 KB  
Review
Vaping, Environmental Toxicants Exposure, and Lung Cancer Risk
by Shaimaa A. Shehata, Eman A. Toraih, Ezzat A. Ismail, Abeer M. Hagras, Ekramy Elmorsy and Manal S. Fawzy
Cancers 2023, 15(18), 4525; https://doi.org/10.3390/cancers15184525 - 12 Sep 2023
Cited by 59 | Viewed by 29128
Abstract
Lung cancer (LC) is the second-most prevalent tumor worldwide. According to the most recent GLOBOCAN data, over 2.2 million LC cases were reported in 2020, with an estimated new death incident of 1,796,144 lung cancer cases. Genetic, lifestyle, and environmental exposure play an [...] Read more.
Lung cancer (LC) is the second-most prevalent tumor worldwide. According to the most recent GLOBOCAN data, over 2.2 million LC cases were reported in 2020, with an estimated new death incident of 1,796,144 lung cancer cases. Genetic, lifestyle, and environmental exposure play an important role as risk factors for LC. E-cigarette, or vaping, products (EVPs) use has been dramatically increasing world-wide. There is growing concern that EVPs consumption may increase the risk of LC because EVPs contain several proven carcinogenic compounds. However, the relationship between EVPs and LC is not well established. E-cigarette contains nicotine derivatives (e.g., nitrosnornicotine, nitrosamine ketone), heavy metals (including organometal compounds), polycyclic aromatic hydrocarbons, and flavorings (aldehydes and complex organics). Several environmental toxicants have been proven to contribute to LC. Proven and plausible environmental carcinogens could be physical (ionizing and non-ionizing radiation), chemicals (such as asbestos, formaldehyde, and dioxins), and heavy metals (such as cobalt, arsenic, cadmium, chromium, and nickel). Air pollution, especially particulate matter (PM) emitted from vehicles and industrial exhausts, is linked with LC. Although extensive environmental exposure prevention policies and smoking reduction strategies have been adopted globally, the dangers remain. Combined, both EVPs and toxic environmental exposures may demonstrate significant synergistic oncogenicity. This review aims to analyze the current publications on the importance of the relationship between EVPs consumption and environmental toxicants in the pathogenesis of LC. Full article
(This article belongs to the Special Issue Lifestyle, Environment and Respiratory Cancer Risk)
Show Figures

Figure 1

Back to TopTop