Sign in to use this feature.

Years

Between: -

Subjects

remove_circle_outline
remove_circle_outline
remove_circle_outline
remove_circle_outline
remove_circle_outline
remove_circle_outline
remove_circle_outline
remove_circle_outline
remove_circle_outline

Journals

Article Types

Countries / Regions

Search Results (81)

Search Parameters:
Keywords = entropy pair functional

Order results
Result details
Results per page
Select all
Export citation of selected articles as:
21 pages, 6628 KB  
Article
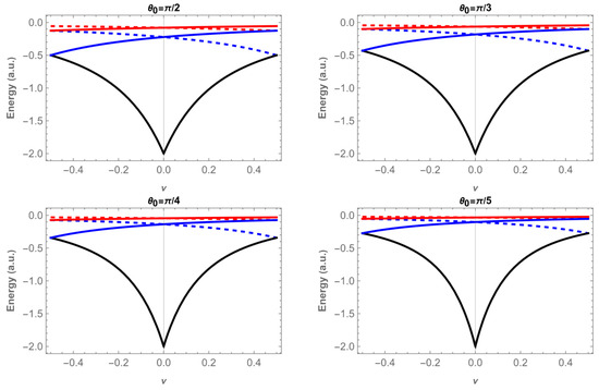
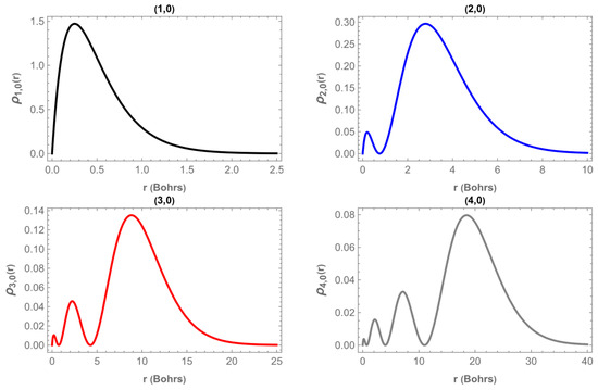
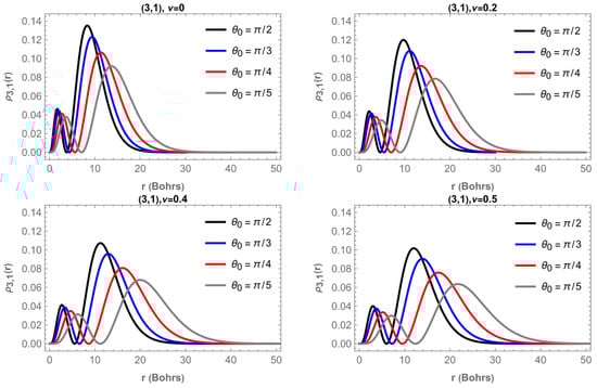
Shannon Entropy of a Hydrogenic Impurity on a Conical Surface: Confinement and Aharonov–Bohm Effects
by Luis Manuel Arvizu, Eleuterio Castaño and Norberto Aquino
Entropy 2026, 28(3), 356; https://doi.org/10.3390/e28030356 - 22 Mar 2026
Viewed by 77
Abstract
In this work, we solve the Schrödinger equation for a hydrogenic impurity located at the apex of a right circular cone, with the electron constrained to move on the conical surface of semi-aperture angle θ0 and subjected to an Aharonov–Bohm magnetic flux [...] Read more.
In this work, we solve the Schrödinger equation for a hydrogenic impurity located at the apex of a right circular cone, with the electron constrained to move on the conical surface of semi-aperture angle θ0 and subjected to an Aharonov–Bohm magnetic flux along the symmetry axis. Analytical expressions for the energy eigenvalues and normalized radial wave functions are obtained in terms of the principal quantum number n and the angular quantum number m, the magnetic flux ν, and the cone angle. The Shannon entropy is evaluated in both configuration and momentum spaces for several low-lying states, and its variation with ν and θ0 is analyzed in detail. When the magnetic flux vanishes, pairs of states n, m and n, m share the same entropic behavior; for finite flux, this degeneracy is lifted and the entropies depend explicitly on the state, the cone geometry, and the flux strength. Finally, we verify that the entropic sum Sr+Sp fulfills the Bialynicki-Birula–Mycielski bound, providing an information-theoretic consistency check for the model. Full article
Show Figures

Figure 1

16 pages, 6152 KB  
Article
DisasterReliefGPT: Multimodal AI for Autonomous Disaster Impact Assessment and Crisis Communication
by Lekshmi Chandrika Reghunath, Athikkal Sudhir Abhishek, Arjun Changat, Arjun Unnikrishnan, Ayush Kumar Rai, Christian Napoli and Cristian Randieri
Technologies 2026, 14(3), 179; https://doi.org/10.3390/technologies14030179 - 16 Mar 2026
Viewed by 209
Abstract
The work presented herein proposes DisasterReliefGPT, a multimodal AI system for automation in the areas of crisis communication and post-disaster assessment. The system integrates three tightly coupled components: a vision module called DisasterOCS for structural damage detection in satellite images, a Large Vision–Language [...] Read more.
The work presented herein proposes DisasterReliefGPT, a multimodal AI system for automation in the areas of crisis communication and post-disaster assessment. The system integrates three tightly coupled components: a vision module called DisasterOCS for structural damage detection in satellite images, a Large Vision–Language Model (LVLM) for enhanced visual understanding and contextual reasoning, and a Large Language Model (LLM) to produce detailed, clear assessment reports. DisasterOCS relies on a ResNet34-based encoder with partial weight sharing and event-specific decoders, coupled with a custom MultiCrossEntropyDiceLoss function for multi-class segmentation on pre- and post-disaster image pairs. On the benchmark xBD dataset, the developed system reaches a high score of 78.8% in identifying F1-damage, making correct identifications of destroyed buildings with 81.3% precision, while undamaged structures are found with a very high value of 90.7%. From a combination of these components, emergency responders can immediately provide reliable and readable assessments of damage that can be used to directly support urgent decision-making. Full article
Show Figures

Graphical abstract

14 pages, 3237 KB  
Article
SAF-PUF: A Strong PUF with Zero-BER, ML-Resilience and Dynamic Key Concealment Enabled by RRAM Stuck-at-Faults
by Qianwu Zhang, Bingyang Zheng, Lin-Sheng Wu and Xin Zhao
Appl. Sci. 2026, 16(6), 2817; https://doi.org/10.3390/app16062817 - 15 Mar 2026
Viewed by 147
Abstract
Targeting resource-constrained Internet of Things (IoT) devices, this paper proposes Stuck-at-Fault Physical Unclonable Function (SAF-PUF), a lightweight Resistive Random-Access Memory (RRAM)-based PUF that exploits the intrinsic addresses of manufacturing-induced SAF defects as a stable entropy source. By using the coordinates of Stuck-at-1 (SA1) [...] Read more.
Targeting resource-constrained Internet of Things (IoT) devices, this paper proposes Stuck-at-Fault Physical Unclonable Function (SAF-PUF), a lightweight Resistive Random-Access Memory (RRAM)-based PUF that exploits the intrinsic addresses of manufacturing-induced SAF defects as a stable entropy source. By using the coordinates of Stuck-at-1 (SA1) cells to seed a 32-bit Linear Feedback Shift Register (LFSR), SAF-PUF generates robust, variable-length responses with zero Bit Error Rate (BER) across a wide temperature range from −40 °C to 125 °C, without any error-correction circuitry. Experimental results based on 100,000 Challenge–Response Pairs (CRPs) demonstrate strong resilience against machine learning (ML) attacks, with prediction accuracies of logistic regression (LR), support vector machines (SVM), neural networks (NN) and convolutional neural networks (CNNs) remaining close to 50%. Moreover, a “use-then-conceal” mechanism is introduced to enhance post-authentication security, enabling response obfuscation with minimal cell reconfiguration. These features make SAF-PUF a high-security, low-overhead hardware root of trust suitable for IoT applications. Full article
(This article belongs to the Section Electrical, Electronics and Communications Engineering)
Show Figures

Figure 1

86 pages, 2463 KB  
Review
Through Massage to the Brain—Neuronal and Neuroplastic Mechanisms of Massage Based on Various Neuroimaging Techniques (EEG, fMRI, and fNIRS)
by James Chmiel and Donata Kurpas
J. Clin. Med. 2026, 15(2), 909; https://doi.org/10.3390/jcm15020909 - 22 Jan 2026
Viewed by 1546
Abstract
Introduction: Massage therapy delivers structured mechanosensory input that can influence brain function, yet the central mechanisms and potential for neuroplastic change have not been synthesized across neuroimaging modalities. This mechanistic review integrates evidence from electroencephalography (EEG), functional MRI (fMRI), and functional near-infrared [...] Read more.
Introduction: Massage therapy delivers structured mechanosensory input that can influence brain function, yet the central mechanisms and potential for neuroplastic change have not been synthesized across neuroimaging modalities. This mechanistic review integrates evidence from electroencephalography (EEG), functional MRI (fMRI), and functional near-infrared spectroscopy (fNIRS) to map how massage alters human brain activity acutely and over time and to identify signals of longitudinal adaptation. Materials and Methods: We conducted a scoping, mechanistic review informed by PRISMA/PRISMA-ScR principles. PubMed/MEDLINE, Cochrane Library, Google Scholar, and ResearchGate were queried for English-language human trials (January 1990–July 2025) that (1) delivered a practitioner-applied manual massage (e.g., Swedish, Thai, shiatsu, tuina, reflexology, myofascial techniques) and (2) measured brain activity with EEG, fMRI, or fNIRS pre/post or between groups. Non-manual stimulation, structural-only imaging, protocols, and non-English reports were excluded. Two reviewers independently screened and extracted study, intervention, and neuroimaging details; heterogeneity precluded meta-analysis, so results were narratively synthesized by modality and linked to putative mechanisms and longitudinal effects. Results: Forty-seven studies met the criteria: 30 EEG, 12 fMRI, and 5 fNIRS. Results: Regarding EEG, massage commonly increased alpha across single sessions with reductions in beta/gamma, alongside pressure-dependent autonomic shifts; moderate pressure favored a parasympathetic/relaxation profile. Connectivity effects were state- and modality-specific (e.g., reduced inter-occipital alpha coherence after facial massage, preserved or reorganized coupling with hands-on vs. mechanical delivery). Frontal alpha asymmetry frequently shifted leftward (approach/positive affect). Pain cohorts showed decreased cortical entropy and a shift toward slower rhythms, which tracked analgesia. Somatotopy emerged during unilateral treatments (contralateral central beta suppression). Adjuncts (e.g., binaural beats) enhanced anti-fatigue indices. Longitudinally, repeated programs showed attenuation of acute EEG/cortisol responses yet improvements in stress and performance; in one program, BDNF increased across weeks. In preterm infants, twice-daily massage accelerated EEG maturation (higher alpha/beta, lower delta) in a dose-responsive fashion; the EEG background was more continuous. In fMRI studies, in-scanner touch and reflexology engaged the insula, anterior cingulate, striatum, and periaqueductal gray; somatotopic specificity was observed for mapped foot areas. Resting-state studies in chronic pain reported normalization of regional homogeneity and/or connectivity within default-mode and salience/interoceptive networks after multi-session tuina or osteopathic interventions, paralleling symptom improvement; some task-based effects persisted at delayed follow-up. fNIRS studies generally showed increased prefrontal oxygenation during/after massage; in motor-impaired cohorts, acupressure/massage enhanced lateralized sensorimotor activation, consistent with use-dependent plasticity. Some reports paired hemodynamic changes with oxytocin and autonomic markers. Conclusions: Across modalities, massage reliably modulates central activity acutely and shows convergent signals of neuroplastic adaptation with repeated dosing and in developmental windows. Evidence supports (i) rapid induction of relaxed/analgesic states (alpha increases, network rebalancing) and (ii) longer-horizon changes—network normalization in chronic pain, EEG maturation in preterm infants, and neurotrophic up-shifts—consistent with trait-level recalibration of stress, interoception, and pain circuits. These findings justify integrating massage into rehabilitation, pain management, mental health, and neonatal care and motivate larger, standardized, multimodal longitudinal trials to define dose–response relationships, durability, and mechanistic mediators (e.g., connectivity targets, neuropeptides). Full article
(This article belongs to the Special Issue Physical Therapy in Neurorehabilitation)
Show Figures

Figure 1

22 pages, 3789 KB  
Article
Alterations in Multidimensional Functional Connectivity Architecture in Preschool Children with Autism Spectrum Disorder
by Jiannan Kang, Xiangyu Zhang, Zongbing Xiao, Zhiyuan Fan, Xiaoli Li, Tianyi Zhou and He Chen
Brain Sci. 2026, 16(1), 91; https://doi.org/10.3390/brainsci16010091 - 15 Jan 2026
Viewed by 405
Abstract
Background: Autism Spectrum Disorder (ASD) is a type of neurodevelopmental disorder, and its exact causes are currently unknown. Neuroimaging research suggests that its clinical features are closely linked to alterations in brain functional network connectivity, yet the specific patterns and mechanisms underlying these [...] Read more.
Background: Autism Spectrum Disorder (ASD) is a type of neurodevelopmental disorder, and its exact causes are currently unknown. Neuroimaging research suggests that its clinical features are closely linked to alterations in brain functional network connectivity, yet the specific patterns and mechanisms underlying these abnormalities require further clarification. Methods: We recruited 36 children with ASD and 36 age- and sex-matched typically developing (TD) controls. Resting-state EEG data were used to construct static and dynamic low- and high-order functional networks across four frequency bands (δ, θ, α, β). Graph-theoretical metrics (clustering coefficient, characteristic path length, global efficiency, local efficiency) and state entropy were applied to characterize network topology and dynamic transitions between integration and segregation. Additionally, between-frequency networks were built for six band pairs (δ-θ, δ-α, δ-β, θ-α, θ-β, α-β), and network global measures quantified cross-frequency interactions. Results: Low-order networks in ASD showed increased δ and β connectivity but decreased θ and α connectivity. High-order networks demonstrated increased δ connectivity, reduced α connectivity, and mixed alterations in θ and β. Graph-theoretical analysis revealed pronounced α-band topological disruptions in ASD, reflected by a lower clustering coefficient and efficiency and higher characteristic path length in both low- and high-order networks. Dynamic analysis showed no significant entropy changes in low-order networks, while high-order networks exhibited time- and frequency-specific abnormalities, particularly in δ and α (0.5 s window) and δ (6 s window). Between-frequency analysis showed enhanced β-related coupling in low-order networks but widespread reductions across all band pairs in high-order networks. Conclusions: Young children with ASD exhibit coexisting hypo- and hyper-connectivity, disrupted network topology, and abnormal temporal dynamics. Integrating hierarchical, dynamic, and cross-frequency analyses offers new insights into ASD neurophysiology and potential biomarkers. Full article
(This article belongs to the Section Neural Engineering, Neuroergonomics and Neurorobotics)
Show Figures

Figure 1

24 pages, 2708 KB  
Review
Berberine: A Negentropic Modulator for Multi-System Coordination
by Xiaolian Tian, Qingbo Chen, Yingying He, Yangyang Cheng, Mengyu Zhao, Yuanbin Li, Meng Yu, Jiandong Jiang and Lulu Wang
Int. J. Mol. Sci. 2026, 27(2), 747; https://doi.org/10.3390/ijms27020747 - 12 Jan 2026
Viewed by 1074
Abstract
Berberine (BBR), a protoberberine alkaloid with a long history of medicinal use, has consistently demonstrated benefits in glucose–lipid metabolism and inflammatory balance across both preclinical and human studies. These diverse effects are not mediated by a single molecular target but by BBR’s capacity [...] Read more.
Berberine (BBR), a protoberberine alkaloid with a long history of medicinal use, has consistently demonstrated benefits in glucose–lipid metabolism and inflammatory balance across both preclinical and human studies. These diverse effects are not mediated by a single molecular target but by BBR’s capacity to restore network coordination among metabolic, immune, and microbial systems. At the core of this regulation is an AMP-activated Protein Kinase (AMPK)-centered mechanistic hub, integrating signals from insulin and nutrient sensing, Sirtuin 1/3 (SIRT1/3)-mediated mitochondrial adaptation, and inflammatory pathways such as nuclear Factor Kappa-light-chain-enhancer of Activated B cells (NF-κB) and NOD-, LRR- and Pyrin Domain-containing Protein 3 (NLRP3). This hub is dynamically regulated by system-level inputs from the gut, mitochondria, and epigenome, which in turn strengthen intestinal barrier function, reshape microbial and bile-acid metabolites, improve redox balance, and potentially reverse the epigenetic imprint of metabolic stress. These interactions propagate through multi-organ axes, linking the gut, liver, adipose, and vascular systems, thus aligning local metabolic adjustments with systemic homeostasis. Within this framework, BBR functions as a negentropic modulator, reducing metabolic entropy by fostering a coordinated balance among these interconnected systems, thereby restoring physiological order. Combination strategies, such as pairing BBR with metformin, Sodium-Glucose Cotransporter 2 (SGLT2) inhibitors, and agents targeting the microbiome or inflammation, have shown enhanced efficacy and substantial translational potential. Berberine ursodeoxycholate (HTD1801), an ionic-salt derivative of BBR currently in Phase III trials and directly compared with dapagliflozin, exemplifies the therapeutic promise of such approaches. Within the hub–axis paradigm, BBR emerges as a systems-level modulator that recouples energy, immune, and microbial circuits to drive multi-organ remodeling. Full article
(This article belongs to the Special Issue Role of Natural Compounds in Human Health and Disease)
Show Figures

Figure 1

29 pages, 3634 KB  
Article
Human–AI Complementarity in Peer Review: Empirical Analysis of PeerJ Data and Design of an Efficient Collaborative Review Framework
by Zhihe Yang, Xiaoyu Zhou, Yuxin Jiang, Xinjie Zhang, Qihui Gao, Yanzhu Lu and Anqi Yang
Publications 2026, 14(1), 1; https://doi.org/10.3390/publications14010001 - 19 Dec 2025
Viewed by 1546
Abstract
In response to the persistent imbalance between the rapid expansion of scholarly publishing and the constrained availability of qualified reviewers, an empirical investigation was conducted to examine the feasibility and boundary conditions of employing Large Language Models (LLMs) in journal peer review. A [...] Read more.
In response to the persistent imbalance between the rapid expansion of scholarly publishing and the constrained availability of qualified reviewers, an empirical investigation was conducted to examine the feasibility and boundary conditions of employing Large Language Models (LLMs) in journal peer review. A parallel corpus of 493 pairs of human expert reviews and GPT-4o-generated reviews was constructed from the open peer-review platform PeerJ Computer Science. Analytical techniques, including keyword co-occurrence analysis, sentiment and subjectivity assessment, syntactic complexity measurement, and n-gram distributional entropy analysis, were applied to compare cognitive patterns, evaluative tendencies, and thematic coverage between human and AI reviewers. The results indicate that human and AI reviews exhibit complementary functional orientations. Human reviewers were observed to provide integrative and socially contextualized evaluations, while AI reviews emphasized structural verification and internal consistency, especially regarding the correspondence between abstracts and main texts. Contrary to the assumption of excessive leniency, GPT-4o-generated reviews demonstrated higher critical density and functional rigor, maintaining substantial topical alignment with human feedback. Based on these findings, a collaborative human–AI review framework is proposed, in which AI systems are positioned as analytical assistants that conduct structured verification prior to expert evaluation. Such integration is expected to enhance the efficiency, consistency, and transparency of the peer-review process and to promote the sustainable development of scholarly communication. Full article
(This article belongs to the Special Issue AI in Academic Metrics and Impact Analysis)
Show Figures

Figure 1

29 pages, 536 KB  
Article
Association Between Differential Heterogeneity of Antibiotics Consumption and Share of Resistant Pathogens and Its Implication for Antibiotic Stewardship in a German Hospital Intensive Care Unit
by Hans H. Diebner, Pierre Schumacher, Tim Rahmel, Michael Adamzik, Nina Timmesfeld and Hartmuth Nowak
Antibiotics 2025, 14(12), 1266; https://doi.org/10.3390/antibiotics14121266 - 15 Dec 2025
Viewed by 468
Abstract
Background: The rapid rise in antimicrobial resistance has become one of the 10 most pressing health problems worldwide in recent years. Antibiotic stewardship offers hope in the fight against antibiotic resistance, but it is currently still falling short of expectations. A better understanding [...] Read more.
Background: The rapid rise in antimicrobial resistance has become one of the 10 most pressing health problems worldwide in recent years. Antibiotic stewardship offers hope in the fight against antibiotic resistance, but it is currently still falling short of expectations. A better understanding of the dynamics of the interaction between antibiotic consumption and the emergence and spread of resistance is urgently needed. Methods: We discuss a simple dynamic model based on a differential equation to describe the increase in the proportion of a pathogen’s antimicrobial resistance to an antibiotic as a function of the time-dependent consumption of that antibiotic. Furthermore, we investigate the association of heterogeneity in the consumption of antibiotics with the rate of resistant pathogens. Data basis is the hospital information system and the patient data-management system of a German hospital, restricted to the intensive care unit. To quantify heterogeneity, we discuss and compare different entropy measures. Results: For some pathogen–antibiotic pairs, the consumption-dependent dynamic model for the growth in the proportion of antimicrobial resistance provides acceptable predictions, while for others, the model is less suitable. Cross-resistance and complex interactions with other pathogens and antibiotics may be responsible for this, suggesting that the observed dynamic behavior should be complementary, described using heterogeneity models. Time courses of Shannon entropy, the Antibiotic Heterogeneity Index, and the negative Gini Index correlate positively with the time series of the resistance rate. Thus, an increase in heterogeneity correlates with a decreasing resistance rate. However, a time-delayed cross-correlation of a differential entropy measure with resistance share suggests a functional dependence that can be utilized for antibiotic stewardship. Conclusions: Evidence is provided that the amount of consumption of certain antibiotics drives the corresponding proportions of pathogens’ resistance to these antibiotics; however, the model predictions of these univariable models are generally not sufficiently good, pointing to a more complex interaction dynamics. Therefore, we switch to the level of structural features and show that the degree of constantly mixing of the shares of antibiotic consumption has a control function regarding the incidence of resistance. Controlling differential consumption heterogeneity, therefore, appears to be a feasible operational basis for antibiotic stewardship. Experimental studies are demanded to identify functional dependencies; however, the integration of clinical expertise with model-based prediction appears to be a feasible antibiotic stewardship strategy. Full article
Show Figures

Figure 1

18 pages, 307 KB  
Article
Identity Extension for Function on Three Intervals and Application to Csiszar Divergence, Levinson and Ky Fan Inequalities
by Josip Pečarić, Jinyan Miao and Ðilda Pečarić
AppliedMath 2025, 5(4), 136; https://doi.org/10.3390/appliedmath5040136 - 5 Oct 2025
Cited by 1 | Viewed by 776
Abstract
Using Taylor-type expansions, we obtain identity expressions for functions on three intervals and differences for two pairs of Csiszár ϕ-divergence. With some more assumptions in these identities, inequalities for functions on three intervals and Csiszár ϕ-divergence can be obtained as special [...] Read more.
Using Taylor-type expansions, we obtain identity expressions for functions on three intervals and differences for two pairs of Csiszár ϕ-divergence. With some more assumptions in these identities, inequalities for functions on three intervals and Csiszár ϕ-divergence can be obtained as special cases. They can also deduce the known generalized trapezoid type inequality. Furthermore, we use the identity to obtain a new extension for Levinson inequality; thus, new refinements and reverses for Ky Fan-type inequalities are established, which can be used to compare or estimate the yields in investments. Special cases of Csiszár ϕ-divergence are given, and we obtain new inequalities concerning different pairs of Kullback–Leibler distance, Hellinger distance, α-order entropy and χ2-distance. Full article
17 pages, 2148 KB  
Article
Impact of Urban Building-Integrated Photovoltaics on Local Air Quality
by Le Chang, Yukuan Dong, Yichao Zhang, Jiatong Liu, Juntong Cui and Xin Liu
Buildings 2025, 15(19), 3445; https://doi.org/10.3390/buildings15193445 - 23 Sep 2025
Viewed by 516
Abstract
Amidst the global energy structure transition and intensification of climate warming, the temperature control targets of the Paris Agreement and China’s “dual carbon” goals have driven the rapid development of building-integrated photovoltaics (BIPVs). However, solar cells in BIPV systems may produce exhaust gases [...] Read more.
Amidst the global energy structure transition and intensification of climate warming, the temperature control targets of the Paris Agreement and China’s “dual carbon” goals have driven the rapid development of building-integrated photovoltaics (BIPVs). However, solar cells in BIPV systems may produce exhaust gases that affect local urban air quality if exposed to extreme environmental conditions such as high temperatures during operation. In this study, eight air quality monitoring points were established around the BIPV system at Shenyang Jianzhu University as the experimental group, along with one additional air quality monitoring point serving as a control group. The concentrations of four air pollutant indicators (PM2.5, PM10, SO2, and NO2) were monitored continuously for 14 days. The weight of each indicator was calculated using the principle of information entropy, and the air quality evaluation grades were determined by combining the homomorphic inverse correlation function. The Entropy-Weighted Set Pair Analysis model was applied to evaluate the air quality of the BIPV system at Shenyang Jianzhu University. The results indicated that due to the high concentrations of SO2 and NO2, the Air Quality Index (AQI) grade at Shenyang Jianzhu University was classified as “light pollution.” Corresponding recommendations were proposed to promote the sustainable development of urban BIPV. Simultaneously, the evaluation results of the Entropy-Weighted Set Pair Analysis model were similar to those obtained using other methods, demonstrating the feasibility of this evaluation model for assessing the impact on air quality. Full article
Show Figures

Figure 1

30 pages, 15717 KB  
Article
Channel Amplitude and Phase Error Estimation of Fully Polarimetric Airborne SAR with 0.1 m Resolution
by Jianmin Hu, Yanfei Wang, Jinting Xie, Guangyou Fang, Huanjun Chen, Yan Shen, Zhenyu Yang and Xinwen Zhang
Remote Sens. 2025, 17(15), 2699; https://doi.org/10.3390/rs17152699 - 4 Aug 2025
Cited by 2 | Viewed by 1051
Abstract
In order to achieve 0.1 m resolution and fully polarimetric observation capabilities for airborne SAR systems, the adoption of stepped-frequency modulation waveform combined with the polarization time-division transmit/receive (T/R) technique proves to be an effective technical approach. Considering the issue of range resolution [...] Read more.
In order to achieve 0.1 m resolution and fully polarimetric observation capabilities for airborne SAR systems, the adoption of stepped-frequency modulation waveform combined with the polarization time-division transmit/receive (T/R) technique proves to be an effective technical approach. Considering the issue of range resolution degradation and paired echoes caused by multichannel amplitude–phase mismatch in fully polarimetric airborne SAR with 0.1 m resolution, an amplitude–phase error estimation algorithm based on echo data is proposed in this paper. Firstly, the subband amplitude spectrum correction curve is obtained by the statistical average of the subband amplitude spectrum. Secondly, the paired-echo broadening function is obtained by selecting high-quality sample points after single-band imaging and the nonlinear phase error within the subbands is estimated via Sinusoidal Frequency Modulation Fourier Transform (SMFT). Thirdly, based on the minimum entropy criterion of the synthesized compressed pulse image, residual linear phase errors between subbands are quickly acquired. Finally, two-dimensional cross-correlation of the image slice is utilized to estimate the positional deviation between polarization channels. This method only requires high-quality data samples from the echo data, then rapidly estimates both intra-band and inter-band amplitude/phase errors by using SMFT and the minimum entropy criterion, respectively, with the characteristics of low computational complexity and fast convergence speed. The effectiveness of this method is verified by the imaging results of the experimental data. Full article
Show Figures

Graphical abstract

12 pages, 340 KB  
Article
Quantitative Study of Swin Transformer and Loss Function Combinations for Face Anti-Spoofing
by Liang Yu Gong and Xue Jun Li
Electronics 2025, 14(3), 448; https://doi.org/10.3390/electronics14030448 - 23 Jan 2025
Cited by 4 | Viewed by 2626
Abstract
Face anti-spoofing (FAS) has always been a hidden danger in network security, especially with the widespread application of facial recognition systems. However, some current FAS methods are not effective at detecting different forgery types and are prone to overfitting, which means they cannot [...] Read more.
Face anti-spoofing (FAS) has always been a hidden danger in network security, especially with the widespread application of facial recognition systems. However, some current FAS methods are not effective at detecting different forgery types and are prone to overfitting, which means they cannot effectively process unseen spoof types. Different loss functions significantly impact the classification effect based on the same feature extraction without considering the quality of the feature extraction. Therefore, it is necessary to find a loss function or a combination of different loss functions for spoofing detection tasks. This paper mainly aims to compare the effects of different loss functions or loss function combinations. We selected the Swin Transformer as the backbone of our training model to extract facial features to ensure the accuracy of the ablation experiment. For the application of loss functions, we adopted four classical loss functions: cross-entropy loss (CE loss), semi-hard triplet loss, L1 loss and focal loss. Finally, this work proposed combinations of Swin Transformers and different loss functions (pairs) to test through in-dataset experiments with some common FAS datasets (CelebA-Spoofing, CASIA-MFSD, Replay attack and OULU-NPU). We conclude that using a single loss function cannot produce the best results for the FAS task, and the best accuracy is obtained when applying triplet loss, cross-entropy loss and Smooth L1 loss as a loss combination. Full article
(This article belongs to the Special Issue AI Synergy: Vision, Language, and Modality)
Show Figures

Figure 1

32 pages, 26255 KB  
Article
Multimodal Optical Imaging of Ex Vivo Fallopian Tubes to Distinguish Early and Occult Tubo-Ovarian Cancers
by Jeanie Malone, Adrian S. Tanskanen, Chloe Hill, Allan Zuckermann Cynamon, Lien Hoang, Calum MacAulay, Jessica N. McAlpine and Pierre M. Lane
Cancers 2024, 16(21), 3618; https://doi.org/10.3390/cancers16213618 - 26 Oct 2024
Cited by 1 | Viewed by 2374
Abstract
Background: There are currently no effective screening measures to detect early or occult tubo-ovarian cancers, resulting in late-stage detection and high mortality. This work explores whether an optical imaging catheter can detect early-stage tubo-ovarian cancers or precursor lesions where they originate in the [...] Read more.
Background: There are currently no effective screening measures to detect early or occult tubo-ovarian cancers, resulting in late-stage detection and high mortality. This work explores whether an optical imaging catheter can detect early-stage tubo-ovarian cancers or precursor lesions where they originate in the fallopian tubes. Methods: This device collects co-registered optical coherence tomography (OCT) and autofluorescence imaging (AFI). OCT provides three-dimensional assessment of underlying tissue structures; autofluorescence imaging provides functional contrast of endogenous fluorophores. Ex vivo fallopian tubes (n = 28; n = 7 cancer patients) are imaged; we present methods for the calculation of and analyze eleven imaging biomarkers related to fluorescence, optical attenuation, and OCT texture for their potential to detect tubo-ovarian cancers and other lesions of interest. Results: We visualize folded plicae, vessel-like structures, tissue layering, hemosiderin deposits, and regions of fibrotic change. High-grade serous ovarian carcinoma appears as reduced autofluorescence paired with homogenous OCT and reduced mean optical attenuation. Specimens containing cancerous lesions demonstrate a significant increase in median autofluorescence intensity and decrease in Shannon entropy compared to specimens with no lesion. Non-cancerous specimens demonstrate an increase in optical attenuation in the fimbriae when compared to the isthmus or the ampulla. Conclusions: We conclude that this approach shows promise and merits further investigation of its diagnostic potential. Full article
Show Figures

Graphical abstract

15 pages, 33532 KB  
Article
Multiloss Joint Gradient Control Knowledge Distillation for Image Classification
by Wei He, Jianchen Pan, Jianyu Zhang, Xichuan Zhou, Jialong Liu, Xiaoyu Huang and Yingcheng Lin
Electronics 2024, 13(20), 4102; https://doi.org/10.3390/electronics13204102 - 17 Oct 2024
Viewed by 1910
Abstract
Knowledge distillation (KD) techniques aim to transfer knowledge from complex teacher neural networks to simpler student networks. In this study, we propose a novel knowledge distillation method called Multiloss Joint Gradient Control Knowledge Distillation (MJKD), which functions by effectively combining feature- and logit-based [...] Read more.
Knowledge distillation (KD) techniques aim to transfer knowledge from complex teacher neural networks to simpler student networks. In this study, we propose a novel knowledge distillation method called Multiloss Joint Gradient Control Knowledge Distillation (MJKD), which functions by effectively combining feature- and logit-based knowledge distillation methods with gradient control. The proposed knowledge distillation method discretely considers the gradients of the task loss (cross-entropy loss), feature distillation loss, and logit distillation loss. The experimental results suggest that logits may contain more information and should, consequently, be assigned greater weight during the gradient update process in this work. The empirical findings on the CIFAR-100 and Tiny-ImageNet datasets indicate that MJKD generally outperforms traditional knowledge distillation methods, significantly enhancing the generalization ability and classification accuracy of student networks. For instance, MJKD achieves a 63.53% accuracy on Tiny-ImageNet for the ResNet18 MobileNetV2 pair. Furthermore, we present visualizations and analyses to explore its potential working mechanisms. Full article
(This article belongs to the Special Issue Knowledge Information Extraction Research)
Show Figures

Figure 1

10 pages, 2796 KB  
Article
The Thermodynamic and Kinetic Properties of the dA-rU DNA-RNA Hybrid Base Pair Investigated via Molecular Dynamics Simulations
by Taigang Liu, Lei Bao and Yujie Wang
Molecules 2024, 29(20), 4920; https://doi.org/10.3390/molecules29204920 - 17 Oct 2024
Viewed by 2258
Abstract
DNA-RNA hybrid duplexes play essential roles during the reverse transcription of RNA viruses and DNA replication. The opening and conformation changes of individual base pairs are critical to their biological functions. However, the microscopic mechanisms governing base pair closing and opening at the [...] Read more.
DNA-RNA hybrid duplexes play essential roles during the reverse transcription of RNA viruses and DNA replication. The opening and conformation changes of individual base pairs are critical to their biological functions. However, the microscopic mechanisms governing base pair closing and opening at the atomic level remain poorly understood. In this study, we investigated the thermodynamic and kinetic parameters of the dA-rU base pair in a DNA-RNA hybrid duplex using 4 μs all-atom molecular dynamics (MD) simulations at different temperatures. Our results showed that the thermodynamic parameters of the dA-rU base pair aligned with the predictions of the nearest-neighbor model and were close to those of the AU base pair in RNA. The temperature dependence of the average lifetimes of both the open and the closed states, as well as the transition path times, were obtained. The free-energy barrier for a single base pair opening and closing arises from an increase in enthalpy due to the disruption of the base-stacking interactions and hydrogen bonding, along with an entropy loss attributed to the accompanying restrictions, such as torsional angle constraints and solvent viscosity. Full article
(This article belongs to the Special Issue Advances in Computational and Theoretical Chemistry—2nd Edition)
Show Figures

Figure 1

Back to TopTop