Sign in to use this feature.

Years

Between: -

Subjects

remove_circle_outline
remove_circle_outline
remove_circle_outline
remove_circle_outline
remove_circle_outline
remove_circle_outline
remove_circle_outline
remove_circle_outline

Journals

Article Types

Countries / Regions

Search Results (19)

Search Parameters:
Keywords = endothelial hyperinflammation

Order results
Result details
Results per page
Select all
Export citation of selected articles as:
31 pages, 1533 KB  
Review
Immunodynamic Disruption in Sepsis: Mechanisms and Strategies for Personalized Immunomodulation
by Jhan S. Saavedra-Torres, María Virginia Pinzón-Fernández, Humberto Alejandro Nati-Castillo, Valentina Cadena Correa, Luis Carlos Lopez Molina, Juan Estaban Gaitán, Daniel Tenorio-Castro, Diego A. Lucero Guanga, Marlon Arias-Intriago, Andrea Tello-De-la-Torre, Alice Gaibor-Pazmiño and Juan S. Izquierdo-Condoy
Biomedicines 2025, 13(9), 2139; https://doi.org/10.3390/biomedicines13092139 - 2 Sep 2025
Viewed by 1105
Abstract
Sepsis is a life-threatening syndrome caused by a dysregulated host response to infection. It follows a dynamic course in which early hyperinflammation coexists and overlaps with progressive immune suppression, a process best described as immunodynamic disruption. Key mechanisms include extensive lymphocyte death, expansion [...] Read more.
Sepsis is a life-threatening syndrome caused by a dysregulated host response to infection. It follows a dynamic course in which early hyperinflammation coexists and overlaps with progressive immune suppression, a process best described as immunodynamic disruption. Key mechanisms include extensive lymphocyte death, expansion of regulatory T cells, impaired antigen presentation, and persistent activation of inhibitory checkpoints such as programmed cell death protein 1 (PD-1) and cytotoxic T lymphocyte–associated protein 4 (CTLA-4). These changes reduce immune competence and increase vulnerability to secondary infections. Clinically, reduced expression of Human Leukocyte Antigen–DR (HLA-DR) on monocytes and persistent lymphopenia have emerged as robust biomarkers for patient stratification and timing of immunomodulatory therapies. Beyond the acute phase, many survivors do not achieve full immune recovery but instead develop a Persistent Immune Remnant, defined as long-lasting immune, metabolic, and endothelial dysfunction despite apparent clinical resolution. Recognizing PIR emphasizes the need for long-term monitoring and biomarker-guided interventions to restore immune balance. To integrate these observations, we propose the SIMMP–Sepsis model (Sepsis-Associated Persistent Multiorgan Immunometabolic Syndrome), which links molecular dysfunction to clinical trajectories and provides a framework for developing precision immunotherapies. This perspective reframes sepsis not only as an acute crisis but also as a chronic immunometabolic syndrome, where survival marks the beginning of active immune restoration. Full article
Show Figures

Figure 1

9 pages, 519 KB  
Review
Endothelial Protection and Improved Micro- and Macrocirculation with Hemoadsorption in Critically Ill Patients
by Marton Papp, Can Ince, Jan Bakker and Zsolt Molnar
J. Clin. Med. 2024, 13(23), 7044; https://doi.org/10.3390/jcm13237044 - 22 Nov 2024
Cited by 1 | Viewed by 2000
Abstract
A dysregulated immune response is associated with an excessive release of cytokines that can lead to systemic vasoplegia and vasoplegic shock with the development of multiorgan failure that is associated with an increased risk of dying. Under physiological circumstances, the endothelium and the [...] Read more.
A dysregulated immune response is associated with an excessive release of cytokines that can lead to systemic vasoplegia and vasoplegic shock with the development of multiorgan failure that is associated with an increased risk of dying. Under physiological circumstances, the endothelium and the glycocalyx are responsible for maintaining vascular tone, capillary permeability, and hemostasis, and controlling inflammation. In hyperinflammation, the endothelium and glycocalyx become damaged due to the excessive production of certain toxic proteins, along with an overwhelming release of cytokines. It has been shown in both in vitro animal experiments and in humans that extracorporeal hemoadsorption can reduce circulating levels of cytokines and may also remove toxic proteins that directly take part in endothelium and glycocalyx damage. The current review aims to summarize current knowledge, put recent findings into context, and introduce the hypothesis of “endothelial protection with hemoadsorption” in critically ill patients. Full article
(This article belongs to the Section Intensive Care)
Show Figures

Figure 1

20 pages, 3992 KB  
Article
Novel Small Molecules with Anti-Inflammatory and Anti-Angiogenic Activity in a Mouse Model of Oxygen-Induced Retinopathy
by Adam S. Dayoub, Eesha Acharya, Adnan Dibas, Harlan P. Jones and Suchismita Acharya
Cells 2024, 13(16), 1371; https://doi.org/10.3390/cells13161371 - 17 Aug 2024
Viewed by 2726
Abstract
Retinopathy of prematurity (ROP) has a dual-phase disease pathology; in phase 1, hyperoxia-induced vaso-obliteration occurs in the retinal vasculature due to increased oxidative stress (OS) and inflammation, followed by phase 2, where hypoxia increases the overproduction of growth factors, inducing retinal neovascularization. Toll-like [...] Read more.
Retinopathy of prematurity (ROP) has a dual-phase disease pathology; in phase 1, hyperoxia-induced vaso-obliteration occurs in the retinal vasculature due to increased oxidative stress (OS) and inflammation, followed by phase 2, where hypoxia increases the overproduction of growth factors, inducing retinal neovascularization. Toll-like receptor 2 and -4 (TLR2 and TLR4) overactivation, hyper-inflammation, macrophages, and neutrophil infiltration contribute to the developing ROP. AVR-121 and AVR-123 are novel classes of small-molecule dual inhibitors of TLR2/4 tested in a human leukemia monocytic cell line (THP-1) and cord-blood-derived mononuclear cells (CBMCs). Both compounds inhibited TLR2/4 signaling-related inflammatory cytokines in THP-1 cells and inhibited VEGF-induced neovascularization in human retinal endothelial cells (HRECs), which are hallmarks of ROP. In an oxygen-induced retinopathy (OIR) murine model, the intraperitoneal injection of AVR-123 in the hyperoxia phase (P7–P12) or a nanosuspension eyedrop of AVR-123 in the hypoxic phase (P12–P17) significantly reduced vaso-obliteration, angiogenesis, and inflammatory cytokine profiles while not inhibiting the necessary growth factor VEGF in the juvenile mouse eyes. The results are consistent with our hypothesis that targeting the dual TLR2/4 pathway will reduce inflammation, angiogenesis, and vaso-obliteration in vitro and in vivo and reduce cytotoxic immune cells. AVR-123 has the potential to be developed as a therapy for ROP. Full article
(This article belongs to the Special Issue Retinal Disorders: Cellular Mechanisms and Targeted Therapies)
Show Figures

Figure 1

14 pages, 1036 KB  
Review
The Effects of SARS-CoV-2 on the Angiopoietin/Tie Axis and the Vascular Endothelium
by Dolgormaa Janchivlamdan, Maitreyi Shivkumar and Harprit Singh
Encyclopedia 2024, 4(1), 544-557; https://doi.org/10.3390/encyclopedia4010035 - 11 Mar 2024
Cited by 1 | Viewed by 2692
Abstract
Severe acute respiratory syndrome coronavirus 2 (SARS-CoV-2) infection can cause potentially life-threatening coronavirus disease (COVID-19). COVID-19 is a multisystem disease and is associated with significant respiratory distress, systemic hyperinflammation, vasculitis, and multi-organ failure. SARS-CoV-2 causes the deterioration of numerous systems, with increasing evidence [...] Read more.
Severe acute respiratory syndrome coronavirus 2 (SARS-CoV-2) infection can cause potentially life-threatening coronavirus disease (COVID-19). COVID-19 is a multisystem disease and is associated with significant respiratory distress, systemic hyperinflammation, vasculitis, and multi-organ failure. SARS-CoV-2 causes the deterioration of numerous systems, with increasing evidence implying that COVID-19 affects the endothelium and vascular function. The endothelium is important for preserving vascular tone and homeostasis. The overactivation and dysfunction of endothelial cells are significant outcomes of severity in patients with COVID-19. The Angiopoietin 1/Tie 2 pathway plays an important role in endothelium quiescence and vessel stability. The disruption of Angiopoietin/Tie balance affects the vessel contact barrier and leads to vessel leakage, and this in turn causes endothelial dysfunction. Although vascular instability through SARS-CoV-2 is associated with endothelial dysfunction, it is still not understood if the virus affects the Angiopoietin/Tie axis directly or via other mechanisms such as cytokine storm and/or immune response associated with the infection. This review provides an overview of the impact SARS-CoV-2 has on endothelial function and more specifically on the Angiopoietin/Tie pathway. Full article
(This article belongs to the Collection Encyclopedia of COVID-19)
Show Figures

Figure 1

18 pages, 930 KB  
Review
Role of Endothelium in Cardiovascular Sequelae of Long COVID
by Luca Santoro, Vincenzo Zaccone, Lorenzo Falsetti, Vittorio Ruggieri, Martina Danese, Chiara Miro, Angela Di Giorgio, Antonio Nesci, Alessia D’Alessandro, Gianluca Moroncini and Angelo Santoliquido
Biomedicines 2023, 11(8), 2239; https://doi.org/10.3390/biomedicines11082239 - 9 Aug 2023
Cited by 29 | Viewed by 3954
Abstract
The global action against coronavirus disease 2019 (COVID-19), caused by SARS-CoV-2 infection, shed light on endothelial dysfunction. Although SARS-CoV-2 primarily affects the pulmonary system, multiple studies have documented pan-vascular involvement in COVID-19. The virus is able to penetrate the endothelial barrier, damaging it [...] Read more.
The global action against coronavirus disease 2019 (COVID-19), caused by SARS-CoV-2 infection, shed light on endothelial dysfunction. Although SARS-CoV-2 primarily affects the pulmonary system, multiple studies have documented pan-vascular involvement in COVID-19. The virus is able to penetrate the endothelial barrier, damaging it directly or indirectly and causing endotheliitis and multi-organ injury. Several mechanisms cooperate to development of endothelial dysfunction, including endothelial cell injury and pyroptosis, hyperinflammation and cytokine storm syndrome, oxidative stress and reduced nitric oxide bioavailability, glycocalyx disruption, hypercoagulability, and thrombosis. After acute-phase infection, some patients reported signs and symptoms of a systemic disorder known as long COVID, in which a broad range of cardiovascular (CV) disorders emerged. To date, the exact pathophysiology of long COVID remains unclear: in addition to the persistence of acute-phase infection mechanisms, specific pathways of CV damage have been postulated, such as persistent viral reservoirs in the heart or an autoimmune response to cardiac antigens through molecular mimicry. The aim of this review is to provide an overview of the main molecular patterns of enduring endothelial activation following SARS-CoV-2 infection and to offer the latest summary of CV complications in long COVID. Full article
(This article belongs to the Special Issue Role of Endothelial Cells in Cardiovascular Disease)
Show Figures

Figure 1

57 pages, 2888 KB  
Review
Atherosclerosis and Inflammation: Insights from the Theory of General Pathological Processes
by Evgenii Gusev and Alexey Sarapultsev
Int. J. Mol. Sci. 2023, 24(9), 7910; https://doi.org/10.3390/ijms24097910 - 26 Apr 2023
Cited by 170 | Viewed by 15508
Abstract
Recent advances have greatly improved our understanding of the molecular mechanisms behind atherosclerosis pathogenesis. However, there is still a need to systematize this data from a general pathology perspective, particularly with regard to atherogenesis patterns in the context of both canonical and non-classical [...] Read more.
Recent advances have greatly improved our understanding of the molecular mechanisms behind atherosclerosis pathogenesis. However, there is still a need to systematize this data from a general pathology perspective, particularly with regard to atherogenesis patterns in the context of both canonical and non-classical inflammation types. In this review, we analyze various typical phenomena and outcomes of cellular pro-inflammatory stress in atherosclerosis, as well as the role of endothelial dysfunction in local and systemic manifestations of low-grade inflammation. We also present the features of immune mechanisms in the development of productive inflammation in stable and unstable plaques, along with their similarities and differences compared to canonical inflammation. There are numerous factors that act as inducers of the inflammatory process in atherosclerosis, including vascular endothelium aging, metabolic dysfunctions, autoimmune, and in some cases, infectious damage factors. Life-critical complications of atherosclerosis, such as cardiogenic shock and severe strokes, are associated with the development of acute systemic hyperinflammation. Additionally, critical atherosclerotic ischemia of the lower extremities induces paracoagulation and the development of chronic systemic inflammation. Conversely, sepsis, other critical conditions, and severe systemic chronic diseases contribute to atherogenesis. In summary, atherosclerosis can be characterized as an independent form of inflammation, sharing similarities but also having fundamental differences from low-grade inflammation and various variants of canonical inflammation (classic vasculitis). Full article
Show Figures

Figure 1

5 pages, 11631 KB  
Interesting Images
Obliterative Endotheliitis Leading to Cystic Lung Necrosis in Severe COVID-19 during the First Wave of the Pandemic
by Clémence Delteil, Julien Carvelli, Lionel Velly, Laurent Daniel, Caroline Capuani, Julia Torrents, Marc Gainnier, Nicolas Bruder, Marie-Dominique Piercecchi-Marti and Pierre Simeone
BioMed 2023, 3(2), 202-206; https://doi.org/10.3390/biomed3020017 - 23 Mar 2023
Cited by 1 | Viewed by 1994
Abstract
In the early months of the outbreak (2020–2022), COVID-19 was responsible for acute respiratory distress syndrome (ARDS) and an exceptional number of intensive care unit (ICU) admissions. Weaning difficulties from invasive mechanical ventilation (IMV) and many deaths related to COVID-19 were associated with [...] Read more.
In the early months of the outbreak (2020–2022), COVID-19 was responsible for acute respiratory distress syndrome (ARDS) and an exceptional number of intensive care unit (ICU) admissions. Weaning difficulties from invasive mechanical ventilation (IMV) and many deaths related to COVID-19 were associated with persistent pulmonary hyperinflammation leading to pulmonary fibrosis and sometimes, in the first wave of the pandemic and before the use of dexamethasone was introduced, pulmonary cystic necrosis. A 72-year-old man hospitalized with severe COVID-19 required IMV and died on day 31 of refractory ARDS. Postmortem examination of the lungs found obliterative endotheliitis proximal to pulmonary cystic necrosis. The presence of SARS-CoV-2 envelope and complement/lectin (MASP-2) deposits near the endotheliitis lesions suggested that the virus acted directly on vascular involvement by a complement-mediated mechanism. Together with classic features of ARDS (epithelial lesions and diffuse alveolar damage), endothelial involvement with endotheliitis was the hallmark of severe COVID-19. Corticosteroids and complement blockade were sometimes beneficial for treating severe COVID-19, perhaps by preventing microvascular damage. Full article
Show Figures

Figure 1

9 pages, 1410 KB  
Article
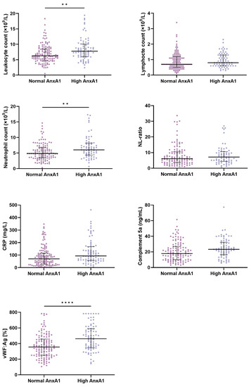
Annexin A1 Is Associated with Adverse Clinical Outcomes in Patients with COVID-19
by Matthias H. Busch, Sjoerd A. M. E. G. Timmermans, Joop P. Aendekerk, Renée Ysermans, Jean Amiral, Jan G. M. C. Damoiseaux, Chris P. Reutelingsperger and Pieter van Paassen
J. Clin. Med. 2022, 11(24), 7486; https://doi.org/10.3390/jcm11247486 - 17 Dec 2022
Cited by 6 | Viewed by 2431
Abstract
Severe coronavirus disease 2019 (COVID-19) is characterized by hyperinflammation, vascular damage, and hypercoagulability. Insufficient responses of Annexin A1 (AnxA1), a pro-resolving inhibitor of neutrophil infiltration and activation, might contribute to a severe course of the disease. We longitudinally evaluated AnxA1′s role in terms [...] Read more.
Severe coronavirus disease 2019 (COVID-19) is characterized by hyperinflammation, vascular damage, and hypercoagulability. Insufficient responses of Annexin A1 (AnxA1), a pro-resolving inhibitor of neutrophil infiltration and activation, might contribute to a severe course of the disease. We longitudinally evaluated AnxA1′s role in terms of inflammation, vascular damage, and clinical outcomes in a large prospective cohort of patients with COVID-19. AnxA1 was measured at presentation and during follow-up in the sera of 220 consecutive patients who presented at our hospital during the first wave. AnxA1 was significantly higher in the moderate and severe cases of COVID-19 compared to the healthy controls. Elevated AnxA1 was associated with markers of inflammation and endothelial damage. AnxA1 was significantly higher in patients with thrombotic events and ICU admission. Multivariable logistic regression indicated baseline AnxA1 (per ten units) as a predictor of thrombotic events. Linear mixed models predicted that AnxA1 tended to increase more steeply over time in patients without adverse events, with a statistically significant rise in patients without thrombotic events. These findings might reflect an insufficient increase in AnxA1 as a response to the excessive hyperinflammation in COVID-19. Future studies should evaluate whether hyperinflammation could be reduced through the administration of human recombinant AnxA1 or Ac2-26 peptide. Full article
(This article belongs to the Section Infectious Diseases)
Show Figures

Figure 1

13 pages, 2475 KB  
Article
Elevated Serum Amyloid A Levels Contribute to Increased Platelet Adhesion in COVID-19 Patients
by Ronen Siman-Tov, Rulla Shalabi, Amir Shlomai, Elad Goldberg, Wesam Essa, Eden Shusterman, Jacob N. Ablin, Michal Caspi, Rina Rosin-Arbesfeld and Ella H. Sklan
Int. J. Mol. Sci. 2022, 23(22), 14243; https://doi.org/10.3390/ijms232214243 - 17 Nov 2022
Cited by 5 | Viewed by 2263
Abstract
Coronavirus disease-19 (COVID-19) patients are prone to thrombotic complications that may increase morbidity and mortality. These complications are thought to be driven by endothelial activation and tissue damage promoted by the systemic hyperinflammation associated with COVID-19. However, the exact mechanisms contributing to these [...] Read more.
Coronavirus disease-19 (COVID-19) patients are prone to thrombotic complications that may increase morbidity and mortality. These complications are thought to be driven by endothelial activation and tissue damage promoted by the systemic hyperinflammation associated with COVID-19. However, the exact mechanisms contributing to these complications are still unknown. To identify additional mechanisms contributing to the aberrant clotting observed in COVID-19 patients, we analyzed platelets from COVID-19 patients compared to those from controls using mass spectrometry. We identified increased serum amyloid A (SAA) levels, an acute-phase protein, on COVID-19 patients’ platelets. In addition, using an in vitro adhesion assay, we showed that healthy platelets adhered more strongly to wells coated with COVID-19 patient serum than to wells coated with control serum. Furthermore, inhibitors of integrin aIIbβ3 receptors, a mediator of platelet–SAA binding, reduced platelet adhesion to recombinant SAA and to wells coated with COVID-19 patient serum. Our results suggest that SAA may contribute to the increased platelet adhesion observed in serum from COVID-19 patients. Thus, reducing SAA levels by decreasing inflammation or inhibiting SAA platelet-binding activity might be a valid approach to abrogate COVID-19-associated thrombotic complications. Full article
(This article belongs to the Section Molecular Microbiology)
Show Figures

Figure 1

8 pages, 714 KB  
Article
Biomarkers of Endothelial Damage in Distinct Phases of Multisystem Inflammatory Syndrome in Children
by Monica Gelzo, Antonietta Giannattasio, Marco Maglione, Stefania Muzzica, Carolina D’Anna, Filippo Scialò, Thaililja Gagliardo, Michela Grieco, Vincenzo Tipo and Giuseppe Castaldo
Metabolites 2022, 12(8), 680; https://doi.org/10.3390/metabo12080680 - 24 Jul 2022
Cited by 12 | Viewed by 2307
Abstract
Endothelial hyperinflammation and vasculitis are known hallmarks of acute COVID-19 and multisystem inflammatory syndrome in children (MIS-C). They are due to the direct effect of the virus on endothelial cells enhanced by pro-inflammatory modulators and may cause venous/arterial thrombosis. Therefore, it is essential [...] Read more.
Endothelial hyperinflammation and vasculitis are known hallmarks of acute COVID-19 and multisystem inflammatory syndrome in children (MIS-C). They are due to the direct effect of the virus on endothelial cells enhanced by pro-inflammatory modulators and may cause venous/arterial thrombosis. Therefore, it is essential to identify patients with endothelial damage early in order to establish specific therapies. We studied the monocyte chemoattractant protein 1 (MCP-1), the perinuclear anti-neutrophil cytoplasmic antibodies (pANCA), and the vascular endothelial growth factor A (VEGF-A) in serum from 45 MIS-C patients at hospital admission and 24 healthy controls (HC). For 13/45 MIS-C patients, we measured the three serum biomarkers also after one week from hospitalization. At admission, MIS-C patients had significantly higher levels of MCP-1 and VEGF-A than the HC, but no significant differences were observed for pANCA. While after one week, MCP-1 was significantly lower, pANCA was higher and VEGF-A levels were not significantly different from the admission values. These findings suggest an involvement of epithelium in MIS-C with an acute phase, showing high MCP-1 and VEGF-A, followed by an increase in pANCA that suggests a vasculitis development. The serum biomarker levels may help to drive personalized therapies in these phases with anticoagulant prophylaxis, immunomodulators, and/or anti-angiogenic drugs. Full article
(This article belongs to the Special Issue Advances in Understanding Altered Metabolism in SARS-CoV-2 Infection)
Show Figures

Graphical abstract

8 pages, 760 KB  
Article
Indications of Persistent Glycocalyx Damage in Convalescent COVID-19 Patients: A Prospective Multicenter Study and Hypothesis
by Richard Vollenberg, Phil-Robin Tepasse, Kevin Ochs, Martin Floer, Markus Strauss, Florian Rennebaum, Iyad Kabar, Alexandros Rovas and Tobias Nowacki
Viruses 2021, 13(11), 2324; https://doi.org/10.3390/v13112324 - 21 Nov 2021
Cited by 34 | Viewed by 5004
Abstract
The COVID-19 pandemic is caused by the SARS CoV-2 virus and can lead to severe lung damage and hyperinflammation. In the context of COVID-19 infection, inflammation-induced degradation of the glycocalyx layer in endothelial cells has been demonstrated. Syndecan-1 (SDC-1) is an established parameter [...] Read more.
The COVID-19 pandemic is caused by the SARS CoV-2 virus and can lead to severe lung damage and hyperinflammation. In the context of COVID-19 infection, inflammation-induced degradation of the glycocalyx layer in endothelial cells has been demonstrated. Syndecan-1 (SDC-1) is an established parameter for measuring glycocalyx injury. This prospective, multicenter, observational, cross-sectional study analyzed SDC-1 levels in 24 convalescent patients that had been infected with SARS-CoV-2 with mild disease course without need of hospitalization. We included 13 age-matched healthy individuals and 10 age-matched hospitalized COVID-19 patients with acute mild disease course as controls. In convalescent COVID-19 patients, significantly elevated SDC-1 levels were detected after a median of 88 days after symptom onset compared to healthy controls, whereas no difference was found when compared to SDC-1 levels of hospitalized patients undergoing acute disease. This study is the first to demonstrate signs of endothelial damage in non-pre-diseased, convalescent COVID-19 patients after mild disease progression without hospitalization. The data are consistent with studies showing evidence of persistent endothelial damage after severe or critical disease progression. Further work to investigate endothelial damage in convalescent COVID-19 patients should follow. Full article
(This article belongs to the Special Issue COVID-19—Advances in Clinical and Epidemiological Aspects)
Show Figures

Figure 1

13 pages, 295 KB  
Article
From Anti-SARS-CoV-2 Immune Response to the Cytokine Storm via Molecular Mimicry
by Darja Kanduc
Antibodies 2021, 10(4), 36; https://doi.org/10.3390/antib10040036 - 24 Sep 2021
Cited by 17 | Viewed by 6746
Abstract
The aim of this study was to investigate the role of molecular mimicry in the cytokine storms associated with severe acute respiratory syndrome coronavirus 2 (SARS-CoV-2). Human proteins endowed with anti-inflammatory activity were assembled and analyzed for peptide sharing with the SARS-CoV-2 spike [...] Read more.
The aim of this study was to investigate the role of molecular mimicry in the cytokine storms associated with severe acute respiratory syndrome coronavirus 2 (SARS-CoV-2). Human proteins endowed with anti-inflammatory activity were assembled and analyzed for peptide sharing with the SARS-CoV-2 spike glycoprotein (gp) using public databases. It was found that the SARS-CoV-2 spike gp shares numerous pentapeptides with anti-inflammatory proteins that, when altered, can lead to cytokine storms characterized by diverse disorders such as systemic multiorgan hyperinflammation, macrophage activation syndrome, ferritinemia, endothelial dysfunction, and acute respiratory syndrome. Immunologically, many shared peptides are part of experimentally validated epitopes and are also present in pathogens to which individuals may have been exposed following infections or vaccinal routes and of which the immune system has stored memory. Such an immunologic imprint might trigger powerful anamnestic secondary cross-reactive responses, thus explaining the raging of the cytokine storm that can occur following exposure to SARS-CoV-2. In conclusion, the results support molecular mimicry and the consequent cross-reactivity as a potential mechanism in SARS-CoV-2-induced cytokine storms, and highlight the role of immunological imprinting in determining high-affinity, high-avidity, autoimmune cross-reactions as a pathogenic sequela associated with anti-SARS-CoV-2 vaccines. Full article
19 pages, 1687 KB  
Article
Increased Autotaxin Levels in Severe COVID-19, Correlating with IL-6 Levels, Endothelial Dysfunction Biomarkers, and Impaired Functions of Dendritic Cells
by Ioanna Nikitopoulou, Dionysios Fanidis, Konstantinos Ntatsoulis, Panagiotis Moulos, George Mpekoulis, Maria Evangelidou, Alice G. Vassiliou, Vasiliki Dimakopoulou, Edison Jahaj, Stamatios Tsipilis, Stylianos E. Orfanos, Ioanna Dimopoulou, Emmanouil Angelakis, Karolina Akinosoglou, Niki Vassilaki, Argyrios Tzouvelekis, Anastasia Kotanidou and Vassilis Aidinis
Int. J. Mol. Sci. 2021, 22(18), 10006; https://doi.org/10.3390/ijms221810006 - 16 Sep 2021
Cited by 25 | Viewed by 4579
Abstract
Autotaxin (ATX; ENPP2) is a secreted lysophospholipase D catalyzing the extracellular production of lysophosphatidic acid (LPA), a pleiotropic signaling phospholipid. Genetic and pharmacologic studies have previously established a pathologic role for ATX and LPA signaling in pulmonary injury, inflammation, and fibrosis. Here, [...] Read more.
Autotaxin (ATX; ENPP2) is a secreted lysophospholipase D catalyzing the extracellular production of lysophosphatidic acid (LPA), a pleiotropic signaling phospholipid. Genetic and pharmacologic studies have previously established a pathologic role for ATX and LPA signaling in pulmonary injury, inflammation, and fibrosis. Here, increased ENPP2 mRNA levels were detected in immune cells from nasopharyngeal swab samples of COVID-19 patients, and increased ATX serum levels were found in severe COVID-19 patients. ATX serum levels correlated with the corresponding increased serum levels of IL-6 and endothelial damage biomarkers, suggesting an interplay of the ATX/LPA axis with hyperinflammation and the associated vascular dysfunction in COVID-19. Accordingly, dexamethasone (Dex) treatment of mechanically ventilated patients reduced ATX levels, as shown in two independent cohorts, indicating that the therapeutic benefits of Dex include the suppression of ATX. Moreover, large scale analysis of multiple single cell RNA sequencing datasets revealed the expression landscape of ENPP2 in COVID-19 and further suggested a role for ATX in the homeostasis of dendritic cells, which exhibit both numerical and functional deficits in COVID-19. Therefore, ATX has likely a multifunctional role in COVID-19 pathogenesis, suggesting that its pharmacological targeting might represent an additional therapeutic option, both during and after hospitalization. Full article
Show Figures

Figure 1

17 pages, 1352 KB  
Review
Cellular and Exosomal Regulations of Sepsis-Induced Metabolic Alterations
by Michael G. Appiah, Eun Jeong Park, Yuichi Akama, Yuki Nakamori, Eiji Kawamoto, Arong Gaowa and Motomu Shimaoka
Int. J. Mol. Sci. 2021, 22(15), 8295; https://doi.org/10.3390/ijms22158295 - 2 Aug 2021
Cited by 14 | Viewed by 6913
Abstract
Sepsis is a sustained systemic inflammatory condition involving multiple organ failures caused by dysregulated immune response to infections. Sepsis induces substantial changes in energy demands at the cellular level leading to metabolic reprogramming in immune cells and stromal cells. Although sepsis-associated organ dysfunction [...] Read more.
Sepsis is a sustained systemic inflammatory condition involving multiple organ failures caused by dysregulated immune response to infections. Sepsis induces substantial changes in energy demands at the cellular level leading to metabolic reprogramming in immune cells and stromal cells. Although sepsis-associated organ dysfunction and mortality have been partly attributed to the initial acute hyperinflammation and immunosuppression precipitated by a dysfunction in innate and adaptive immune responses, the late mortality due to metabolic dysfunction and immune paralysis currently represent the major problem in clinics. It is becoming increasingly recognized that intertissue and/or intercellular metabolic crosstalk via endocrine factors modulates maintenance of homeostasis, and pathological events in sepsis and other inflammatory diseases. Exosomes have emerged as a novel means of intercellular communication in the regulation of cellular metabolism, owing to their capacity to transfer bioactive payloads such as proteins, lipids, and nucleic acids to their target cells. Recent evidence demonstrates transfer of intact metabolic intermediates from cancer-associated fibroblasts via exosomes to modify metabolic signaling in recipient cells and promote cancer progression. Here, we review the metabolic regulation of endothelial cells and immune cells in sepsis and highlight the role of exosomes as mediators of cellular metabolic signaling in sepsis. Full article
(This article belongs to the Special Issue Molecular Research on Sepsis)
Show Figures

Figure 1

15 pages, 1594 KB  
Article
Diagnostic Significance of Serum Galectin-3 in Hospitalized Patients with COVID-19—A Preliminary Study
by Beata Kuśnierz-Cabala, Barbara Maziarz, Paulina Dumnicka, Marcin Dembiński, Maria Kapusta, Monika Bociąga-Jasik, Marek Winiarski, Aleksander Garlicki, Tomasz Grodzicki and Michał Kukla
Biomolecules 2021, 11(8), 1136; https://doi.org/10.3390/biom11081136 - 1 Aug 2021
Cited by 27 | Viewed by 4379
Abstract
Severe coronavirus disease 2019 (COVID-19) is associated with hyperinflammation leading to organ injury, including respiratory failure. Galectin-3 was implicated in innate immunological response to infections and in chronic fibrosis. The aim of our preliminary study was the assessment of the diagnostic utility of [...] Read more.
Severe coronavirus disease 2019 (COVID-19) is associated with hyperinflammation leading to organ injury, including respiratory failure. Galectin-3 was implicated in innate immunological response to infections and in chronic fibrosis. The aim of our preliminary study was the assessment of the diagnostic utility of serum galectin-3 in patients with COVID-19. The prospective observational study included adult patients admitted with active COVID-19 and treated in tertiary hospital between June and July 2020. The diagnosis was confirmed by the quantitative detection of nucleic acid of severe acute respiratory syndrome coronavirus 2 in nasopharyngeal swabs. Galectin-3 was measured by enzyme immunoassay in serum samples obtained during the first five days of hospital stay. We included 70 patients aged 25 to 73 years; 90% had at least one comorbidity. During the hospital stay, 32.9% were diagnosed with COVID-19 pneumonia and 12.9% required treatment in the intensive care unit (ICU). Serum galectin-3 was significantly increased in patients who developed pneumonia, particularly those who required ICU admission. Positive correlations were found between galectin-3 and inflammatory markers (interleukin-6, C-reactive protein, ferritin, pentraxin-3), a marker of endothelial injury (soluble fms-like tyrosine kinase-1), and a range of tissue injury markers. Serum galectin-3 enabled the diagnosis of pneumonia with moderate diagnostic accuracy and the need for ICU treatment with high diagnostic accuracy. Our findings strengthen the hypothesis that galectin-3 may be involved in severe COVID-19. Further studies are planned to confirm the preliminary results and to verify possible associations of galectin-3 with long-term consequences of COVID-19, including pulmonary fibrosis. Full article
Show Figures

Figure 1

Back to TopTop