Sign in to use this feature.

Years

Between: -

Subjects

remove_circle_outline
remove_circle_outline
remove_circle_outline
remove_circle_outline
remove_circle_outline

Journals

Article Types

Countries / Regions

Search Results (30)

Search Parameters:
Keywords = endochitinases

Order results
Result details
Results per page
Select all
Export citation of selected articles as:
18 pages, 2756 KB  
Article
Characterization and Optimization of Fermentation Conditions of Roseateles sp. L2-2, a Novel Chitin-Degrading Bacterium from the Intestine of Odorrana margaretae
by Yanmei Cai, Xinyu Li, Shuang Chen, Qichao Liu, Hongxiang Lu, Jiahui Xie, Wei Li and Guiying Chen
Microorganisms 2025, 13(9), 2033; https://doi.org/10.3390/microorganisms13092033 - 30 Aug 2025
Viewed by 1115
Abstract
Microorganisms with chitin-degrading capabilities play a crucial role in the biological control of crop pests and diseases as well as in the treatment of organic waste. In this study, a chitin-degrading bacterium, designated L2-2, was isolated from the intestine of Odorrana margaretae collected [...] Read more.
Microorganisms with chitin-degrading capabilities play a crucial role in the biological control of crop pests and diseases as well as in the treatment of organic waste. In this study, a chitin-degrading bacterium, designated L2-2, was isolated from the intestine of Odorrana margaretae collected in Mount Emei, Sichuan, China. Based on physiological and biochemical characteristics, 16S rRNA gene sequencing, and phylogenetic analysis of 31 conserved housekeeping genes in the whole genome, strain L2-2 was identified as a member of the genus Roseateles, named Roseateles sp. L2-2. This strain is able to grow on agar medium with colloidal chitin as the sole carbon source and form clear hydrolysis zones. After optimizing fermentation conditions (including concentrations of nitrogen and carbon sources, culture time, and pH), the enzyme activity was increased to 3.46 U/mL, which was 24 times higher than the initial enzyme activity. Functional genome annotation showed that the strain contains genes encoding endochitinases of the GH18, GH23, and GH46 families, as well as genes encoding β-glucosidases of the GH1, GH2, GH3, and GH109 families, indicating its genetic basis for chitin-degrading potential. This study expands the diversity of known chitin-degrading bacteria and provides a promising microbial resource for the bioremediation of chitinous waste and sustainable pest control in agriculture. Full article
(This article belongs to the Section Gut Microbiota)
Show Figures

Figure 1

20 pages, 2737 KB  
Article
Natural Nanoparticles for Drug Delivery: Proteomic Insights and Anticancer Potential of Doxorubicin-Loaded Avocado Exosomes
by Dina Salem, Shaimaa Abdel-Ghany, Eman Mohamed, Nada F. Alahmady, Amany Alqosaibi, Ibtesam S. Al-Dhuayan, Mashael Mashal Alnamshan, Rebekka Arneth, Borros Arneth and Hussein Sabit
Pharmaceuticals 2025, 18(6), 844; https://doi.org/10.3390/ph18060844 - 4 Jun 2025
Cited by 3 | Viewed by 2706
Abstract
Background: Exosomes have recently attracted significant attention for their potential in drug delivery. Plant-derived exosomes, in particular, may serve as direct anticancer agents due to their unique characteristics, including immunogenicity, biocompatibility, safety, cell-free nature, and nanoscale structure. Methods: This study characterizes [...] Read more.
Background: Exosomes have recently attracted significant attention for their potential in drug delivery. Plant-derived exosomes, in particular, may serve as direct anticancer agents due to their unique characteristics, including immunogenicity, biocompatibility, safety, cell-free nature, and nanoscale structure. Methods: This study characterizes Persea americana (avocado)-derived exosomes, exploring their anticancer properties, proteomic profile, and therapeutic potential. Results: Isolated exosomes exhibited a diameter of 99.58 ± 5.09 nm (non-loaded) and 151.2 ± 6.36 nm (doxorubicin (DOX)-loaded), with zeta potentials of −17 mV and −28 mV, respectively. Proteomic analysis identified 47 proteins, including conserved exosome markers (GAPDH, tubulin) and stress-response proteins (defensin, endochitinase). Functional enrichment revealed roles in photosynthesis, glycolysis, ATP synthesis, and transmembrane transport, supported by protein–protein interaction networks highlighting energy metabolism and cellular trafficking. DOX encapsulation efficiency was 18%, with sustained release (44.4% at 24 h). In vitro assays demonstrated reduced viability in breast cancer (MCF-7, T47D, 4T1) and endothelial (C166) cells, enhanced synergistically by DOX (Av+DOX). Gene expression analysis revealed cell-specific modulation: Av+DOX upregulated TP53 and STAT in T47D but suppressed both in 4T1/C166, suggesting context-dependent mechanisms. Conclusions: These findings underscore avocado exosomes as promising nanovehicles for drug delivery, combining biocompatibility, metabolic functionality, and tunable cytotoxicity. Their plant-derived origin offers a scalable, low-cost alternative to mammalian exosomes, with potential applications in oncology and targeted therapy. Further optimization of loading efficiency and in vivo validation are warranted to advance translational prospects. Full article
Show Figures

Figure 1

18 pages, 1939 KB  
Article
Root-Knot Nematode Early Infection Suppresses Immune Response and Elicits the Antioxidant System in Tomato
by Sergio Molinari, Anna Carla Farano and Paola Leonetti
Int. J. Mol. Sci. 2024, 25(23), 12602; https://doi.org/10.3390/ijms252312602 - 23 Nov 2024
Cited by 3 | Viewed by 2819
Abstract
The immune response in plants is regulated by several phytohormones and involves the overexpression of defense genes, including the pathogenesis-related (PR-) genes. The data reported in this paper indicate that nematodes can suppress the immune response by inhibiting the expression of [...] Read more.
The immune response in plants is regulated by several phytohormones and involves the overexpression of defense genes, including the pathogenesis-related (PR-) genes. The data reported in this paper indicate that nematodes can suppress the immune response by inhibiting the expression of defense genes. Transcripts from nine defense genes were detected by qRT-PCR in the roots of tomato plants at three and seven days post-inoculation (dpi) with living juveniles (J2s) of Meloidogyne incognita (root-knot nematodes, RKNs). All the salicylic acid (SA)-responsive genes tested (PR-1, PR-2, PR-4b, PR-5) were down-regulated in response to nematode infection. On the contrary, the expression of jasmonic acid (JA)-responsive genes, including ACO (encoding the enzyme 1-aminocyclopropane-1-carboxylic acid oxidase, which catalyzes the last step of ethylene (ET) biosynthesis) and JERF3 (Jasmonate Ethylene Response Factor 3), was unaffected by the infection. Conversely, the effect of nematode attack on the activities of the defense enzymes endoglucanase and endochitinase, encoded by PR-2 and PR-3, respectively, changed depending on the tested dpi. At 5 dpi, both enzymes were inhibited in inoculated plants compared to healthy controls. The genes encoding glutathione peroxidase (GPX) and catalase (CAT), both part of the antioxidant plant system, were highly overexpressed. Additionally, the activity of the antioxidant enzymes superoxide dismutase (SOD), CAT, and ascorbate peroxidase (APX) was enhanced in infected roots. Isoelectrofocusing of root extracts revealed novel SOD isoforms in samples from inoculated plants. Furthermore, plants were pre-treated with an array of key compounds, including hormone generators, inhibitors of SA or JA-mediated defense pathways, reactive oxygen species (ROS) scavengers and generators, inhibitors of ROS generation, and compounds that interfere with calcium-mediated metabolism. After treatments, plants were inoculated with RKNs, and nematodes were allowed to complete their life cycle. Factors of plant growth and infection level in treated plants were compared with those from untreated inoculated plants. Generally, compounds that decreased SA and/or ROS levels increased infection severity, while those that reduced JA/ET levels did not affect infection rates. ROS generators induced resistance against the pests. Compounds that silence calcium signaling by preventing its intake augmented infection symptoms. The data shown in this paper indicate that SA-mediated plant immune responses are consistently suppressed during the early stages of nematode infection, and this restriction is associated with the activation of the antioxidant ROS-scavenging system. Full article
(This article belongs to the Special Issue Molecular Interactions between Plants and Pests)
Show Figures

Figure 1

14 pages, 2998 KB  
Article
Planctomycetes of the Genus Singulisphaera Possess Chitinolytic Capabilities
by Anastasia A. Ivanova, Daniil G. Naumoff, Irina S. Kulichevskaya, Andrey L. Rakitin, Andrey V. Mardanov, Nikolai V. Ravin and Svetlana N. Dedysh
Microorganisms 2024, 12(7), 1266; https://doi.org/10.3390/microorganisms12071266 - 22 Jun 2024
Cited by 7 | Viewed by 2053
Abstract
Planctomycetes of the genus Singulisphaera are common inhabitants of soils and peatlands. Although described members of this genus are characterized as possessing hydrolytic capabilities, the ability to degrade chitin has not yet been reported for these bacteria. In this study, a novel Singulisphaera [...] Read more.
Planctomycetes of the genus Singulisphaera are common inhabitants of soils and peatlands. Although described members of this genus are characterized as possessing hydrolytic capabilities, the ability to degrade chitin has not yet been reported for these bacteria. In this study, a novel Singulisphaera representative, strain Ch08, was isolated from a chitinolytic enrichment culture obtained from a boreal fen in Northern European Russia. The 16S rRNA gene sequence of this isolate displayed 98.2% similarity to that of Singulisphaera acidiphila MOB10T. Substrate utilization tests confirmed that strain Ch08 is capable of growth on amorphous chitin. The complete genome of strain Ch08 determined in this study was 10.85 Mb in size and encoded two predicted chitinases, which were only distantly related to each other and affiliated with the glycoside hydrolase family GH18. One of these chitinases had a close homologue in the genome of S. acidiphila MOB10T. The experimental verification of S. acidiphila MOB10T growth on amorphous chitin was also positive. Transcriptome analysis performed with glucose- and chitin-growth cells of strain Ch08 showed upregulation of the predicted chitinase shared by strain Ch08 and S. acidiphila MOB10T. The gene encoding this protein was expressed in Escherichia coli, and the endochitinase activity of the recombinant enzyme was confirmed. The ability to utilize chitin, a major constituent of fungal cell walls and arthropod exoskeletons, appears to be one of the previously unrecognized ecological functions of Singulisphaera-like planctomycetes. Full article
Show Figures

Figure 1

17 pages, 9295 KB  
Article
Insights into Chitin-Degradation Potential of Shewanella khirikhana JW44 with Emphasis on Characterization and Function of a Chitinase Gene SkChi65
by Ling Wang, Ming Xue, Rui Yan, Jiawei Xue, Zhipeng Lu and Chongqing Wen
Microorganisms 2024, 12(4), 774; https://doi.org/10.3390/microorganisms12040774 - 11 Apr 2024
Cited by 6 | Viewed by 2336
Abstract
Chitin, a polymer of β-1,4-linked N-acetylglucosamine (GlcNAc), can be degraded into valuable oligosaccharides by various chitinases. In this study, the genome of Shewanella khirikhana JW44, displaying remarkable chitinolytic activity, was investigated to understand its chitin-degradation potential. A chitinase gene SkChi65 from this [...] Read more.
Chitin, a polymer of β-1,4-linked N-acetylglucosamine (GlcNAc), can be degraded into valuable oligosaccharides by various chitinases. In this study, the genome of Shewanella khirikhana JW44, displaying remarkable chitinolytic activity, was investigated to understand its chitin-degradation potential. A chitinase gene SkChi65 from this strain was then cloned, expressed, and purified to characterize its enzymatic properties and substrate hydrolysis. Genome analysis showed that, of the 14 genes related to chitin utilization in JW44, six belonged to glycoside hydrolase (GH) families because of their functional domains for chitin binding and catalysis. The recombinant chitinase SkChi65, consisting of 1129 amino acids, was identified as a member of the GH18 family and possessed two chitin-binding domains with a typical motif of [A/N]KWWT[N/S/Q] and one catalytic domain with motifs of DxxDxDxE, SxGG, YxR, and [E/D]xx[V/I]. SkChi65 was heterologously expressed as an active protein of 139.95 kDa best at 37 °C with 1.0 mM isopropyl-β-d-thiogalactopyranoside induction for 6 h. Purified SkChi65 displayed high stability over the ranges of 30–50 °C and pH 5.5–8.0 with optima at 40 °C and pH 7.0. The kinetic parameters Km, Vmax, and kcat of SkChi65 towards colloidal chitin were 27.2 μM, 299.2 μMs−1, and 10,203 s−1, respectively. In addition to colloidal chitin, SkChi65 showed high activity towards glycol chitosan and crystalline chitin. After analysis by thin-layer chromatography, the main products were N,N’-diacetylchitobiose, and GlcNAc with (GlcNAc)2–6 used as substrates. Collectively, SkChi65 could exhibit both exo- and endochitinase activities towards diverse substrates, and strain JW44 has a high potential for industrial application with an excellent capacity for chitin bioconversion. Full article
Show Figures

Figure 1

18 pages, 5173 KB  
Article
Functional Comparison of Three Chitinases from Symbiotic Bacteria of Entomopathogenic Nematodes
by Da-Jeong Son, Geun-Gon Kim, Ho-Yul Choo, Nam-Jun Chung and Young-Moo Choo
Toxins 2024, 16(1), 26; https://doi.org/10.3390/toxins16010026 - 3 Jan 2024
Cited by 6 | Viewed by 3380
Abstract
Xenorhabdus and Photorhabdus, bacterial symbionts of entomopathogenic nematodes Steinernema and Heterorhabditis, respectively, have several biological activities including insecticidal and antimicrobial activities. Thus, XnChi, XhChi, and PtChi, chitinases of X. nematophila, X. hominickii, and P. temperata isolated from Korean indigenous EPNs [...] Read more.
Xenorhabdus and Photorhabdus, bacterial symbionts of entomopathogenic nematodes Steinernema and Heterorhabditis, respectively, have several biological activities including insecticidal and antimicrobial activities. Thus, XnChi, XhChi, and PtChi, chitinases of X. nematophila, X. hominickii, and P. temperata isolated from Korean indigenous EPNs S. carpocapsae GJ1-2, S. monticolum GJ11-1, and H. megidis GJ1-2 were cloned and expressed in Escherichia coli BL21 to compare their biological activities. Chitinase proteins of these bacterial symbionts purified using the Ni-NTA system showed different chitobiosidase and endochitinase activities, but N-acetylglucosamidinase activities were not shown in the measuring of chitinolytic activity through N-acetyl-D-glucosarmine oligomers. In addition, the proteins showed different insecticidal and antifungal activities. XnChi showed the highest insecticidal activity against Galleria mellonella, followed by PtChi and XhChi. In antifungal activity, XhChi showed the highest half-maximal inhibitory concentration (IC50) against Fusarium oxysporum with 0.031 mg/mL, followed by PtChi with 0.046 mg/mL, and XnChi with 0.072 mg/mL. XhChi also showed the highest IC50 against F. graminearum with 0.040 mg/mL, but XnChi was more toxic than PtChi with 0.055 mg/mL and 0.133 mg/mL, respectively. This study provides an innovative approach to the biological control of insect pests and fungal diseases of plants with the biological activity of symbiotic bacterial chitinases of entomopathogenic nematodes. Full article
(This article belongs to the Section Bacterial Toxins)
Show Figures

Figure 1

24 pages, 16739 KB  
Article
Potential of Trichoderma virens HZA14 in Controlling Verticillium Wilt Disease of Eggplant and Analysis of Its Genes Responsible for Microsclerotial Degradation
by Ali Athafah Tomah, Iman Sabah Abd Alamer, Arif Ali Khattak, Temoor Ahmed, Ashraf Atef Hatamleh, Munirah Abdullah Al-Dosary, Hayssam M. Ali, Daoze Wang, Jingze Zhang, Lihui Xu and Bin Li
Plants 2023, 12(21), 3761; https://doi.org/10.3390/plants12213761 - 3 Nov 2023
Cited by 16 | Viewed by 3356
Abstract
Verticillium dahliae is a soilborne fungal pathogen that causes vascular wilt diseases in a wide range of economically important crops, including eggplant. Trichoderma spp. are effective biological control agents that suppress a wide range of plant pathogens through a variety of mechanisms, including [...] Read more.
Verticillium dahliae is a soilborne fungal pathogen that causes vascular wilt diseases in a wide range of economically important crops, including eggplant. Trichoderma spp. are effective biological control agents that suppress a wide range of plant pathogens through a variety of mechanisms, including mycoparasitism. However, the molecular mechanisms of mycoparasitism of Trichoderma spp. in the degradation of microsclerotia of V. dahliae are not yet fully understood. In this study, the ability of 15 isolates of Trichoderma to degrade microsclerotia of V. dahliae was evaluated using a dual culture method. After 15 days, isolate HZA14 showed the greatest potential for microsclerotial degradation. The culture filtrate of isolate HZA14 also significantly inhibited the mycelial growth and conidia germination of V. dahliae at different dilutions. Moreover, this study showed that T. virens produced siderophores and indole-3-acetic acid (IAA). In disease control tests, T. virens HZA14 reduced disease severity in eggplant seedlings by up to 2.77%, resulting in a control efficacy of 96.59% at 30 days after inoculation. Additionally, inoculation with an HZA14 isolate increased stem and root length and fresh and dry weight, demonstrating plant growth promotion efficacy. To further investigate the mycoparasitism mechanism of T. virens HZA14, transcriptomics sequencing and real-time fluorescence quantitative PCR (RT-qPCR) were used to identify the differentially expressed genes (DEGs) of T. virens HZA14 at 3, 6, 9, 12, and 15 days of the interaction with microsclerotia of V. dahliae. In contrast to the control group, the mycoparasitic process of T. virens HZA14 exhibited differential gene expression, with 1197, 1758, 1936, and 1914 genes being up-regulated and 1191, 1963, 2050, and 2114 genes being down-regulated, respectively. Among these genes, enzymes associated with the degradation of microsclerotia, such as endochitinase A1, endochitinase 3, endo-1,3-beta-glucanase, alpha-N-acetylglucosaminidase, laccase-1, and peroxidase were predicted based on bioinformatics analysis. The RT-qPCR results confirmed the RNA-sequencing data, showing that the expression trend of the genes was consistent. These results provide important information for understanding molecular mechanisms of microsclerotial degradation and integrated management of Verticillium wilt in eggplant and other crops. Full article
(This article belongs to the Special Issue Pathogenesis and Disease Control in Crops)
Show Figures

Figure 1

17 pages, 2716 KB  
Article
Resistance to Plant Parasites in Tomato Is Induced by Soil Enrichment with Specific Bacterial and Fungal Rhizosphere Microbiome
by Sergio Molinari and Paola Leonetti
Int. J. Mol. Sci. 2023, 24(20), 15416; https://doi.org/10.3390/ijms242015416 - 21 Oct 2023
Cited by 9 | Viewed by 2339
Abstract
Commercial formulations of beneficial microbes have been used to enrich the rhizosphere microbiome of tomato plants grown in pots located in a glasshouse. These plants have been subjected to attacks by soil-borne parasites, such as root-knot nematodes (RKNs), and herbivores, such as the [...] Read more.
Commercial formulations of beneficial microbes have been used to enrich the rhizosphere microbiome of tomato plants grown in pots located in a glasshouse. These plants have been subjected to attacks by soil-borne parasites, such as root-knot nematodes (RKNs), and herbivores, such as the miner insect Tuta absoluta. The development of both parasites and the symptoms of their parasitism were restricted in these plants with respect to plants left untreated. A mixture, named in the text as Myco, containing plant growth-promoting rhizobacteria (PGPR), opportunistic biocontrol fungi (BCF), and arbuscular mycorrhizal fungi (AMF) was more effective in limiting pest damage than a formulation containing the sole AMF (Ozor). Therefore, Myco-treated plants inoculated with RKNs were taken as a model for further studies. The PGPR contained in Myco were not able to reduce nematode infection; rather, they worsened symptoms in plants compared with those observed in untreated plants. Therefore, it was argued that both BCF and AMF were the microorganisms that colonized roots and stimulated the plant immune system against RKNs. Beneficial fungi colonized the roots by lowering the activities of the defense supporting enzymes endochitinases and β-1,3-glucanase. However, as early as three days after nematode inoculation, these enzyme activities and the expression of the encoding pathogenesis-related genes (PR-2, PR-3) were found to be enhanced in roots with respect to non-inoculated plants, thus indicating that plants had been primed against RKNs. The addition of paclobutrazol, which reduces salicylic acid (SA) levels in cells, and diphenyliodonium chloride, which inhibits superoxide generation, completely abolished the repressive effect of Myco on nematode infection. Inhibitors of copper enzymes and the alternative cyanide-resistant respiration did not significantly alter resistance induction by Myco. When Myco-treated plants were subjected to moderate water stress and inoculated with nematodes, they retained numbers of developed individuals in the roots similar to those present in regularly watered plants, in contrast to what occurred in roots of untreated stressed plants that hosted very few individuals because of poor nutrient availability. Full article
(This article belongs to the Section Molecular Plant Sciences)
Show Figures

Figure 1

14 pages, 5237 KB  
Article
Untargeted UHPLC-MS Metabolomics Reveals the Metabolic Perturbations of Helicoverpa armigera under the Stress of Novel Insect Growth Regulator ZQ-8
by Caiyue Liu, Lin Yang, Fuqiang Jin, Yuelan Yin, Zizheng Xie, Longfei Yang, Sifeng Zhao, Guoqiang Zhang, Desong Yang and Xiaoqiang Han
Agronomy 2023, 13(5), 1315; https://doi.org/10.3390/agronomy13051315 - 8 May 2023
Cited by 5 | Viewed by 3125
Abstract
According to the previous research of our group, we found compound ZQ-8 ((1S,2R,4S)-1,3,3-trimethylbicyclo [2.2.1]heptan-2-yl-4-(tert-butyl)benzoate). This compound showed a strong growth inhibitory effect on Helicoverpa armigera by inhibiting chitinase 2 and endochitinase. To further understand the mechanism of [...] Read more.
According to the previous research of our group, we found compound ZQ-8 ((1S,2R,4S)-1,3,3-trimethylbicyclo [2.2.1]heptan-2-yl-4-(tert-butyl)benzoate). This compound showed a strong growth inhibitory effect on Helicoverpa armigera by inhibiting chitinase 2 and endochitinase. To further understand the mechanism of ZQ-8 interfering with the growth and development of H. armigera, ultra-high performance liquid chromatography-mass spectrometry (UHPLC-MS) was utilized to analyze the metabolomics of the epidermis and viscera of H. armigera after ZQ-8 stress. The results revealed that the content of most metabolites was down-regulated after ZQ-8 treatment. Through the analysis of metabolic pathways, it was found that ZQ -8 mainly interfered with energy metabolism and amino acid biosynthesis pathways, which may be one of the important factors in which ZQ-8 caused the death of H. armigera larvae. Furthermore, ZQ-8 not only inhibits chitin degradation but also inhibits chitin synthesis in vivo. These findings provide new insights into a better understanding of the mechanism of action of ZQ-8. Full article
(This article belongs to the Special Issue Insecticide Resistance and Novel Insecticides)
Show Figures

Figure 1

15 pages, 1698 KB  
Article
Endochitinase and Chitobiosidase Production by Marine Aeromonas caviae CHZ306: Establishment of Nitrogen Supplementation
by Flavio Cardozo, Valker Feitosa, Omar Pillaca-Pullo and Adalberto Pessoa
Bioengineering 2023, 10(4), 431; https://doi.org/10.3390/bioengineering10040431 - 29 Mar 2023
Cited by 3 | Viewed by 3071
Abstract
Aeromonas caviae CHZ306, a marine-derived bacterium isolated from zooplankton, can use chitin (a polymer of a β-(1,4)-linked N-acetyl-D-glucosamine) as a carbon source. The chitin is hydrolyzed by chitinolytic enzymes, namely endochitinases and exochitinases (chitobiosidase and N-acetyl-glucosaminidase). Indeed, the chitinolytic pathway is [...] Read more.
Aeromonas caviae CHZ306, a marine-derived bacterium isolated from zooplankton, can use chitin (a polymer of a β-(1,4)-linked N-acetyl-D-glucosamine) as a carbon source. The chitin is hydrolyzed by chitinolytic enzymes, namely endochitinases and exochitinases (chitobiosidase and N-acetyl-glucosaminidase). Indeed, the chitinolytic pathway is initiated by the coexpression of the enzymes endochitinase (EnCh) and chitobiosidase (ChB); however, few studies, including biotechnological production of these enzymes, have been reported, although chitosaccharide are helpful in several industries, such as cosmetics. This study demonstrates the potential to maximize the simultaneous EnCh and ChB production by nitrogen supplementation on culture media. Twelve different nitrogen supplementation sources (inorganic and organic) previously analyzed in elemental composition (carbon and nitrogen) were tested and evaluated in the Erlenmeyer flask culture of A. caviae CHZ306 for EnCh and ChB expression. None of the nutrients inhibited bacterial growth, and the maximum activity in both EnCh and ChB was observed at 12 h, using corn-steep solids and peptone A. Corn-steep solids and peptone A were then combined at three ratios (1:1, 1:2, and 2:1) to maximize the production. The high activities for EnCh (30.1 U.L−1) and ChB (21.3 U.L−1) were obtained with 2:1 corn-steep solids and peptone A, corresponding to more than 5- and 3-fold enhancement, respectively, compared to the control condition. Full article
(This article belongs to the Special Issue Biological Production of Value-Added Products)
Show Figures

Graphical abstract

13 pages, 2975 KB  
Article
MaCts1, an Endochitinase, Is Involved in Conidial Germination, Conidial Yield, Stress Tolerances and Microcycle Conidiation in Metarhizium acridum
by Yuneng Zou, Chan Li, Shuqin Wang, Yuxian Xia and Kai Jin
Biology 2022, 11(12), 1730; https://doi.org/10.3390/biology11121730 - 29 Nov 2022
Cited by 6 | Viewed by 2313
Abstract
Entomopathogenic fungi are promising biocontrol agents of insect-mediated crop damage. Microcycle conidiation has shown great potential in enhancing the conidial yield and quality of entomopathogenic fungi. Homologs of Cts1, an endochitinase of Saccharomyces cerevisiae, participate in cell separation in several fungal spp. [...] Read more.
Entomopathogenic fungi are promising biocontrol agents of insect-mediated crop damage. Microcycle conidiation has shown great potential in enhancing the conidial yield and quality of entomopathogenic fungi. Homologs of Cts1, an endochitinase of Saccharomyces cerevisiae, participate in cell separation in several fungal spp. and may contribute to the morphological differences that occur during the shift to microcycle conidiation. However, the precise functions of Cts1 in entomopathogenic fungi remain unclear. Herein, the endochitinase gene, MaCts1, was characterized in the model entomopathogen, Metarhizium acridum. A loss of function line for MaCts1 led to a delay of 1 h in the median germination time, a 28% reduction in conidial yield and significant defects in fungal resistances to UV-irradiation (18%) and heat-shock (15%), while fungal tolerances to cell wall stressors, oxidative and hyperosmotic stresses and virulence remained unchanged. The MaCts1-disruption strain displayed typical conidiation on the microcycle conidiation induction medium, SYA. In contrast, deletion of key genes in the morphogenesis-related NDR kinase network (MOR pathway)/regulation of Ace2 and morphogenesis (RAM pathway) did not affect the SYA-induction of microcycle conidiation. This indicates that MaCts1 makes contributions to the microcycle conidiation, which may not be dependent on the MOR/RAM pathway in M. acridum. Full article
(This article belongs to the Section Microbiology)
Show Figures

Figure 1

14 pages, 2417 KB  
Article
The Disease Progression and Molecular Defense Response in Chenopodium Quinoa Infected with Peronospora Variabilis, the Causal Agent of Quinoa Downy Mildew
by Oscar M. Rollano-Peñaloza, Valeria Palma-Encinas, Susanne Widell, Patricia Mollinedo and Allan G. Rasmusson
Plants 2022, 11(21), 2946; https://doi.org/10.3390/plants11212946 - 1 Nov 2022
Cited by 8 | Viewed by 3955
Abstract
Downy mildew disease, caused by the biotrophic oomycete Peronospora variabilis, is the largest threat to the cultivation of quinoa (Chenopodium quinoa Willd.) in the Andean highlands, and occurs worldwide. However, so far, no molecular study of the quinoa–Peronospora interaction has [...] Read more.
Downy mildew disease, caused by the biotrophic oomycete Peronospora variabilis, is the largest threat to the cultivation of quinoa (Chenopodium quinoa Willd.) in the Andean highlands, and occurs worldwide. However, so far, no molecular study of the quinoa–Peronospora interaction has been reported. Here, we developed tools to study downy mildew disease in quinoa at the gene expression level. P. variabilis was isolated and maintained, allowing the study of downy mildew disease progression in two quinoa cultivars under controlled conditions. Quinoa gene expression changes induced by P. variabilis were analyzed by qRT-PCR, for quinoa homologues of A. thaliana pathogen-associated genes. Overall, we observed a slower disease progression and higher tolerance in the quinoa cultivar Kurmi than in the cultivar Maniqueña Real. The quinoa orthologs of putative defense genes such as the catalase CqCAT2 and the endochitinase CqEP3 showed no changes in gene expression. In contrast, quinoa orthologs of other defense response genes such as the transcription factor CqWRKY33 and the chaperone CqHSP90 were significantly induced in plants infected with P. variabilis. These genes could be used as defense response markers to select quinoa cultivars that are more tolerant to P. variabilis infection. Full article
(This article belongs to the Section Plant Protection and Biotic Interactions)
Show Figures

Figure 1

11 pages, 1576 KB  
Article
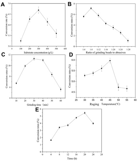
Mechano-Enzymatic Degradation of the Chitin from Crustacea Shells for Efficient Production of N-acetylglucosamine (GlcNAc)
by Xinjun Yu, Zengchao Jiang, Xiaodan Xu, Changyi Huang, Zheyi Yao, Xiao Yang, Yinjun Zhang, Dongsheng Wang, Chun Wei and Xuwei Zhuang
Molecules 2022, 27(15), 4720; https://doi.org/10.3390/molecules27154720 - 23 Jul 2022
Cited by 15 | Viewed by 2851
Abstract
Chitin, the second richest polymer in nature, is composed of the monomer N-acetylglucosamine (GlcNAc), which has numerous functions and is widely applied in the medical, food, and chemical industries. However, due to the highly crystalline configuration and low accessibility in water of the [...] Read more.
Chitin, the second richest polymer in nature, is composed of the monomer N-acetylglucosamine (GlcNAc), which has numerous functions and is widely applied in the medical, food, and chemical industries. However, due to the highly crystalline configuration and low accessibility in water of the chitin resources, such as shrimp and crab shells, the chitin is difficult utilize, and the traditional chemical method causes serious environment pollution and a waste of resources. In the present study, three genes encoding chitinolytic enzymes, including the N-acetylglucosaminidase from Ostrinia furnacalis (OfHex1), endo-chitinase from Trichoderma viride (TvChi1), and multifunctional chitinase from Chitinolyticbacter meiyuanensis (CmChi1), were expressed in the Pichia pastoris system, and the positive transformants with multiple copies were isolated by the PTVA (post-transformational vector amplification) method, respectively. The three recombinants OfHex1, TvChi1, and CmChi1 were induced by methanol and purified by the chitin affinity adsorption method. The purified recombinants OfHex1 and TvChi1 were characterized, and they were further used together for degrading chitin from shrimp and crab shells to produce GlcNAc through liquid-assisted grinding (LAG) under a water-less condition. The substrate chitin concentration reached up to 300 g/L, and the highest yield of the product GlcNAc reached up to 61.3 g/L using the mechano-enzymatic method. A yield rate of up to 102.2 g GlcNAc per 1 g enzyme was obtained. Full article
Show Figures

Figure 1

15 pages, 3311 KB  
Article
Structure–Function Insights into the Fungal Endo-Chitinase Chit33 Depict its Mechanism on Chitinous Material
by Elena Jiménez-Ortega, Peter Elias Kidibule, María Fernández-Lobato and Julia Sanz-Aparicio
Int. J. Mol. Sci. 2022, 23(14), 7599; https://doi.org/10.3390/ijms23147599 - 9 Jul 2022
Cited by 19 | Viewed by 3830
Abstract
Chitin is the most widespread amino renewable carbohydrate polymer in nature and the second most abundant polysaccharide. Therefore, chitin and chitinolytic enzymes are becoming more importance for biotechnological applications in food, health and agricultural fields, the design of effective enzymes being a paramount [...] Read more.
Chitin is the most widespread amino renewable carbohydrate polymer in nature and the second most abundant polysaccharide. Therefore, chitin and chitinolytic enzymes are becoming more importance for biotechnological applications in food, health and agricultural fields, the design of effective enzymes being a paramount issue. We report the crystal structure of the plant-type endo-chitinase Chit33 from Trichoderma harzianum and its D165A/E167A-Chit33-(NAG)4 complex, which showed an extended catalytic cleft with six binding subsites lined with many polar interactions. The major trait of Chit33 is the location of the non-conserved Asp117 and Arg274 acting as a clamp, fixing the distorted conformation of the sugar at subsite –1 and the bent shape of the substrate, which occupies the full catalytic groove. Relevant residues were selected for mutagenesis experiments, the variants being biochemically characterized through their hydrolytic activity against colloidal chitin and other polymeric substrates with different molecular weights and deacetylation percentages. The mutant S118Y stands out, showing a superior performance in all the substrates tested, as well as detectable transglycosylation capacity, with this variant providing a promising platform for generation of novel Chit33 variants with adjusted performance by further design of rational mutants’. The putative role of Tyr in binding was extrapolated from molecular dynamics simulation. Full article
(This article belongs to the Special Issue State-of-the-Art Materials Science in Spain)
Show Figures

Graphical abstract

18 pages, 1897 KB  
Article
Full-Length Transcriptome Comparison Provides Novel Insights into the Molecular Basis of Adaptation to Different Ecological Niches of the Deep-Sea Hydrothermal Vent in Alvinocaridid Shrimps
by Aiyang Wang, Zhongli Sha and Min Hui
Diversity 2022, 14(5), 371; https://doi.org/10.3390/d14050371 - 7 May 2022
Cited by 9 | Viewed by 4313
Abstract
The deep-sea hydrothermal vent ecosystem is one of the extreme chemoautotrophic environments. Shinkaicaris leurokolos Kikuchi and Hashimoto, 2000, and Alvinocaris longirostris Kikuchi and Ohta, 1995, are typically co-distributed and closely related alvinocaridid shrimps in hydrothermal vent areas with different ecological niches, providing an [...] Read more.
The deep-sea hydrothermal vent ecosystem is one of the extreme chemoautotrophic environments. Shinkaicaris leurokolos Kikuchi and Hashimoto, 2000, and Alvinocaris longirostris Kikuchi and Ohta, 1995, are typically co-distributed and closely related alvinocaridid shrimps in hydrothermal vent areas with different ecological niches, providing an excellent model for studying the adaptive evolution mechanism of animals in the extreme deep-sea hydrothermal vent environment. The shrimp S. leurokolos lives in close proximity to the chimney vent discharging high-temperature fluid, while A. longirostris inhabits the peripheral areas of hydrothermal vents. In this study, full-length transcriptomes of S. leurokolos and A. longirostris were generated using a combination of single-molecule real-time (SMRT) and Illumina RNA-seq technology. Expression analyses of the transcriptomes showed that among the top 30% of highly expressed genes of each species, more genes related to sulfide and heavy metal metabolism (sulfide: quinone oxidoreductase, SQR; persulfide dioxygenase, ETHE1; thiosulfate sulfurtransferase, TST, and ferritin, FRI) were specifically highly expressed in S. leurokolos, while genes involved in maintaining epibiotic bacteria or pathogen resistance (beta-1,3-glucan-binding protein, BGBP; endochitinase, CHIT; acidic mammalian chitinase, CHIA, and anti-lipopolysaccharide factors, ALPS) were highly expressed in A. longirostris. Gene family expansion analysis revealed that genes related to anti-oxidant metabolism (cytosolic manganese superoxide dismutase, SODM; glutathione S-transferase, GST, and glutathione peroxidase, GPX) and heat stress (heat shock cognate 70 kDa protein, HSP70 and heat shock 70 kDa protein cognate 4, HSP7D) underwent significant expansion in S. leurokolos, while CHIA and CHIT involved in pathogen resistance significantly expanded in A. longirostris. Finally, 66 positively selected genes (PSGs) were identified in the vent shrimp S. leurokolos. Most of the PSGs were involved in DNA repair, antioxidation, immune defense, and heat stress response, suggesting their function in the adaptive evolution of species inhabiting the extreme vent microhabitat. This study provides abundant genetic resources for deep-sea invertebrates, and is expected to lay the foundation for deep decipherment of the adaptive evolution mechanism of shrimps in a deep-sea chemosynthetic ecosystem based on further whole-genome comparison. Full article
Show Figures

Figure 1

Back to TopTop