Sign in to use this feature.

Years

Between: -

Subjects

remove_circle_outline
remove_circle_outline
remove_circle_outline
remove_circle_outline
remove_circle_outline
remove_circle_outline
remove_circle_outline
remove_circle_outline
remove_circle_outline

Journals

remove_circle_outline
remove_circle_outline
remove_circle_outline
remove_circle_outline

Article Types

Countries / Regions

remove_circle_outline
remove_circle_outline
remove_circle_outline

Search Results (486)

Search Parameters:
Keywords = electromagnetic-shielding effectiveness

Order results
Result details
Results per page
Select all
Export citation of selected articles as:
16 pages, 9492 KB  
Article
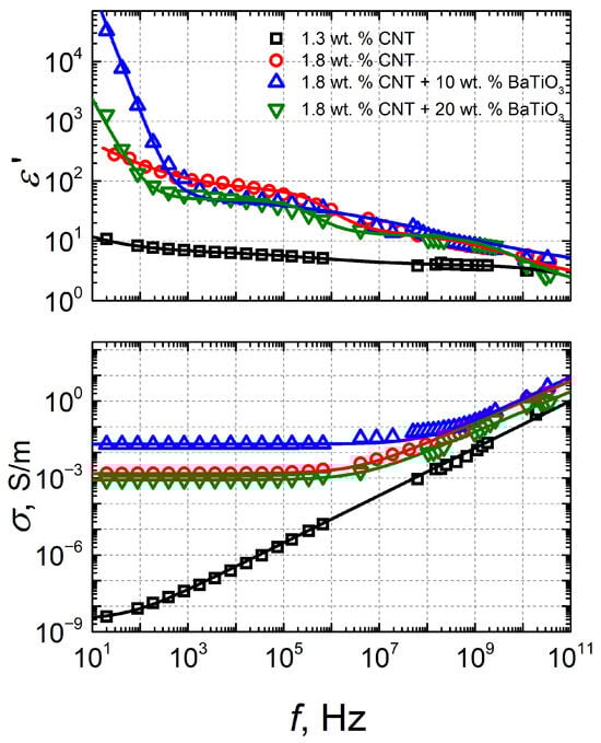
3D-Printed Composites Filled with Carbon Nanotubes and Barium Titanate for Electromagnetic Applications
by Juta Varnytė, Edita Palaimienė, Jan Macutkevič, Pauline Blyweert, Aušra Selskiene, Jūras Banys, Vanessa Fierro and Alain Celzard
Polymers 2026, 18(8), 944; https://doi.org/10.3390/polym18080944 (registering DOI) - 12 Apr 2026
Abstract
Electromagnetic (EM) radiation emitted by various sources can cause malfunctions or damage to other electronic devices. Composite materials are widely used for EM field shielding. This work presents and analyzes the dielectric properties of 3D-printed composites containing carbon nanotubes (CNTs) and barium titanate [...] Read more.
Electromagnetic (EM) radiation emitted by various sources can cause malfunctions or damage to other electronic devices. Composite materials are widely used for EM field shielding. This work presents and analyzes the dielectric properties of 3D-printed composites containing carbon nanotubes (CNTs) and barium titanate (BaTiO3) over a broad frequency range. The analyzed 3D structures included a fully filled plate (PL), a basic honeycomb (BH), a honeycomb with re-entrant auxetic features (HREA), and a hierarchical honeycomb (HH). It was found that the composite material containing 1.8 wt.% CNTs and 20 wt.% BaTiO3 exhibits the highest absorption coefficient in the frequency range from 25 GHz to 53 GHz for all investigated 3D structures. A high concentration of BaTiO3 increases dielectric loss and interfacial polarization, while providing a CNT network. The synergy of these mechanisms results in the highest absorption of EM waves in the 25–53 GHz range. Moreover, all samples containing BaTiO3 inclusions exhibited a distinctive electrical conductivity behavior, attributed to the high complex dielectric permittivity of barium titanate, which enhances interfacial polarization. The highest conductivity and dielectric permittivity values were measured in samples containing 1.8 wt.% CNTs and 10 wt.% BaTiO3, while a further increase in BaTiO3 concentration caused a decline in dielectric performance. This effect is due to the dispersion and agglomeration of filler particles in composites with higher BaTiO3 concentrations. Full article
(This article belongs to the Section Polymer Composites and Nanocomposites)
Show Figures

Figure 1

20 pages, 5882 KB  
Article
Analysis of High-Power Electromagnetic Pulses Effect on Unmanned Aerial Vehicles
by Kyoung Joo Lee, Sung-Man Kang, Dong-Wook Park, Ji-Hun Kim and Jeong Min Woo
Drones 2026, 10(4), 272; https://doi.org/10.3390/drones10040272 - 9 Apr 2026
Viewed by 87
Abstract
This study investigates the “soft-kill” mechanism of unmanned aerial vehicles (UAVs) under high-power electromagnetic pulse (EMP) exposure. Unlike previous research focused on hardware destruction, we identify flight control paralysis caused by Pulse Width Modulation (PWM) signal logic threshold violation as the primary failure [...] Read more.
This study investigates the “soft-kill” mechanism of unmanned aerial vehicles (UAVs) under high-power electromagnetic pulse (EMP) exposure. Unlike previous research focused on hardware destruction, we identify flight control paralysis caused by Pulse Width Modulation (PWM) signal logic threshold violation as the primary failure mode. To resolve discrepancies between theory and experiment, a 1 × 1 m loop antenna model was implemented in CST Studio Suite. Results demonstrate that EMP coupling in drone arm wiring predominantly generates differential mode (DM) noise. This explains why conventional ferrite beads fail while full-body shielding remains effective. Our findings provide a theoretical basis for low-power anti-drone system optimization and hardened UAV design guides. Full article
Show Figures

Figure 1

31 pages, 14424 KB  
Article
Correlating Fouling Corrosion in Naval Steels with Magnetic Barkhausen Noise Under Real Marine Conditions
by Polyxeni Vourna, Pinelopi P. Falara, Aphrodite Ktena, Evangelos V. Hristoforou and Nikolaos D. Papadopoulos
Metals 2026, 16(4), 402; https://doi.org/10.3390/met16040402 - 5 Apr 2026
Viewed by 243
Abstract
The correlation between fouling-driven corrosion and magnetic Barkhausen noise (MBN) in AH36 naval steel was investigated under real Mediterranean seawater conditions over a 12-month immersion period. A custom-designed MBN analyzer was used to monitor four MBN parameters at monthly intervals: RMS amplitude (MBN [...] Read more.
The correlation between fouling-driven corrosion and magnetic Barkhausen noise (MBN) in AH36 naval steel was investigated under real Mediterranean seawater conditions over a 12-month immersion period. A custom-designed MBN analyzer was used to monitor four MBN parameters at monthly intervals: RMS amplitude (MBNRMS), peak amplitude (MBNpeak), peak field position (MBNpeak pos.), and full width at half maximum (MBNFWHM). Complementary characterization included pit morphology analysis, X-ray diffraction (XRD) of corrosion products, and quantitative biofouling community profiling. Three distinct MBN evolution regimes were identified, corresponding to active pitting (T0–T3), transitional oxide formation (T3–T6), and mature corrosion equilibrium (T6–T12). Over the full exposure period, MBNRMS decreased by 50.4% and MBNpeak pos. increased by 83.3%, consistent with domain wall pinning at pit stress concentrations and electromagnetic shielding by paramagnetic corrosion product layers (γ-FeOOH, β-FeOOH, α-FeOOH). Pearson correlation analysis revealed near-unity relationships between MBNRMS and maximum pit depth (r = −0.982, p < 0.01), supporting its potential use as a quantitative non-destructive indicator of corrosion severity under comparable exposure conditions. Biofouling, particularly sulfate-reducing bacteria (SRB)-dominated communities and biogenic iron sulfides (mackinawite, greigite), was identified as a statistically significant secondary correlate of MBN signal intensity (r = −0.944 vs. SRB fraction). A composite diagnostic threshold of (MBNRMS × MBNpeak)/MBNFWHM ≈ 0.015 effectively discriminated active pitting from passive rusting. These findings provide a physically grounded framework for multiparametric MBN analysis as a non-destructive condition monitoring tool, with the caveat that the reported correlations are descriptive and require independent validation before deployment in regulatory inspection protocols. Full article
Show Figures

Figure 1

25 pages, 7545 KB  
Article
Air-Core PCB Toroid for Switching Converters: Design and Comparison with Other Inductor Topologies
by Ondrej Ruzicka, Pavel Krysl, Patrik Kucera, Jiri Svarny, Zdenek Kubik and Petr Burian
Electronics 2026, 15(7), 1451; https://doi.org/10.3390/electronics15071451 - 31 Mar 2026
Viewed by 317
Abstract
This study examines the design, manufacturing, and testing of planar PCB inductors (spiral and toroid), including multilayer PCB toroid configurations. These inductors are intended for environments with strong magnetic fields, such as high-energy physics experiments and medical applications, where traditional inductors with ferromagnetic [...] Read more.
This study examines the design, manufacturing, and testing of planar PCB inductors (spiral and toroid), including multilayer PCB toroid configurations. These inductors are intended for environments with strong magnetic fields, such as high-energy physics experiments and medical applications, where traditional inductors with ferromagnetic cores are unsuitable. Twelve inductor samples were manufactured and tested. The focus was on maximizing inductance and evaluating performance in a high-frequency DC-DC step-down converter. Key parameters measured included inductance, resistance, thermal performance, electromagnetic interference (EMI), and frequency-dependent behavior in multilayer PCB implementations. The results showed that planar spiral inductors handled higher currents and achieved better efficiency, reaching up to 74.86%. Planar toroid inductors were more tolerant of added shielding, maintaining their inductance, while multilayer toroid designs exhibited reduced DC resistance but increased frequency dependence and sensitivity to parasitic effects. Overall, planar inductors were found to be viable for applications where ferromagnetic cores are unsuitable. Further optimization of geometry, layer configuration, and manufacturing processes could enhance their performance. Full article
Show Figures

Figure 1

13 pages, 4919 KB  
Article
Enhancing the Electromagnetic Interference Shielding Effectiveness of a AZ61 Magnesium Alloy by Deformation and Subsequent Heat Treatment
by Minhyeok Kang, Kyengtaek Kim, Seongje Kim, Jose Victoria-Hernandez, Dietmar Letzig and Sangbong Yi
Materials 2026, 19(7), 1383; https://doi.org/10.3390/ma19071383 - 31 Mar 2026
Viewed by 223
Abstract
The rapid advancement and widespread application of telecommunication technologies have significantly increased human exposure to electromagnetic waves, thereby intensifying the demand for effective electromagnetic shielding materials. Beyond potential health concerns, ensuring the stable performance of highly integrated electronic devices also necessitates protection against [...] Read more.
The rapid advancement and widespread application of telecommunication technologies have significantly increased human exposure to electromagnetic waves, thereby intensifying the demand for effective electromagnetic shielding materials. Beyond potential health concerns, ensuring the stable performance of highly integrated electronic devices also necessitates protection against electromagnetic interference (EMI). In this study, the effects of processing conditions on the EMI shielding effectiveness (SE) of AZ61 magnesium alloy sheets were systematically investigated. Aging treatment of rolled AZ61 alloy promoted the formation of Mg17Al12 lamellae. Transmission Kikuchi diffraction analysis revealed that plate-like Mg17Al12 precipitates preferentially formed on the (0001) planes of the Mg matrix, contributing to improved EMI shielding. The rolled AZ61 sheet exhibited the highest SE in both the as-rolled state (83.1 dB at 900 MHz) and after aging for 131 h at 250 °C (76.2 dB at 900 MHz). The superior shielding performance of the as-rolled sheet is attributed to its high density of deformation-induced defects such as dislocations and twins, which induce lattice distortions and impede wave propagation. Meanwhile, the enhanced SE from the 131 h-aged condition results from multiple reflections of incident electromagnetic waves facilitated by the matrix–precipitate lamellar microstructure. Full article
Show Figures

Graphical abstract

19 pages, 3061 KB  
Article
Enhanced Absorption Dominated Electromagnetic Interference Shielding Enabled by Carbon Nanotube and Graphene Reinforced Electrospun PVDF Nanocomposite
by Hisham Bamufleh, Usman Saeed, Abdulrahim Alzahrani, Aqeel Ahmad Taimoor, Sami-ullah Rather, Hesham Alhumade, Walid M. Alalayah and Hamad AlTuraif
Polymers 2026, 18(7), 789; https://doi.org/10.3390/polym18070789 - 25 Mar 2026
Viewed by 413
Abstract
The increasing density of wireless and wearable electronic devices necessitates the development of lightweight, flexible, and absorption-dominated electromagnetic interference (EMI) shielding materials. In this study, electrospun poly(vinylidene fluoride) (PVDF) composite mats reinforced with carbon nanotubes (CNTs) and graphene nanosheets at low filler loadings [...] Read more.
The increasing density of wireless and wearable electronic devices necessitates the development of lightweight, flexible, and absorption-dominated electromagnetic interference (EMI) shielding materials. In this study, electrospun poly(vinylidene fluoride) (PVDF) composite mats reinforced with carbon nanotubes (CNTs) and graphene nanosheets at low filler loadings (1–3 wt.%) were fabricated and systematically investigated for X-band (8.0–12.5 GHz) EMI shielding performance. Raman, FTIR, and thermal analyses confirm enhanced electroactive β-phase formation and improved thermal stability upon nanofiller incorporation. The formation of interconnected conductive networks within the electrospun fibrous architecture leads to a significant increase in electrical conductivity from 10−7 S·cm−1 for pure PVDF to 10−2 S·cm−1 and 10−1 S·cm−1 for CNT/PVDF and Graphene/PVDF composites, respectively, at 3 wt.% loading. Consequently, the total EMI shielding effectiveness (SET) increases from 2.5 dB for pure PVDF to 40 dB for CNT/PVDF and 42 dB for graphene/PVDF composites at 3 wt.%. The shielding effectiveness arising from absorption (SEA) dominates the overall EMI shielding performance, contributing more than 85% of the total shielding effectiveness (SET), which clearly indicates an absorption-controlled shielding mechanism. The combination of high absorption-dominated EMI shielding, low filler content, and mechanical flexibility highlights these electrospun CNT/PVDF and graphene/PVDF composites as promising candidates for next-generation flexible, wearable, and biomedical EMI shielding applications. Full article
Show Figures

Graphical abstract

13 pages, 3188 KB  
Article
Pulse Electrodeposition-Assisted Ni Catalysts for Methane-Derived Carbon Nanostructure Growth on Woven Carbon Fabrics
by Mei-Hsueh Nien and Shinn-Shyong Tzeng
Coatings 2026, 16(3), 357; https://doi.org/10.3390/coatings16030357 - 12 Mar 2026
Viewed by 271
Abstract
Engineering carbon nanostructures directly on carbon fiber fabrics offers an effective route to constructing hierarchical multifunctional coating systems. In this study, methane-based chemical vapor deposition (CVD) was employed to investigate nanocarbon coating formation on woven carbon fabrics supported by electrodeposited Ni catalysts. Catalyst [...] Read more.
Engineering carbon nanostructures directly on carbon fiber fabrics offers an effective route to constructing hierarchical multifunctional coating systems. In this study, methane-based chemical vapor deposition (CVD) was employed to investigate nanocarbon coating formation on woven carbon fabrics supported by electrodeposited Ni catalysts. Catalyst morphology was systematically engineered through surface pretreatment, electric-field configuration, and pulse electrodeposition. At 700 °C, methane activation was insufficient to sustain continuous nanocarbon growth, indicating a temperature-dependent activation threshold. Raising the growth temperature to 900 °C enabled sustained methane decomposition and produced dense nanocarbon coatings; hydrogen assistance suppressed amorphous deposition and promoted more ordered nanofilament features. Pulse electrodeposition refined Ni catalyst dispersion and nucleation density, improving coating uniformity compared with direct-current deposition. Structural ordering was further supported by Raman spectroscopy (D and G bands with an average ID/IG of 0.678 ± 0.068 for methane-grown samples versus 0.798 ± 0.011 for electrodeposition-only controls) and by HRTEM revealing multi-layer graphitic walls (~0.34 nm interlayer spacing). Together, the results support a methane-derived dissolution–diffusion–precipitation growth pathway governed by catalyst morphology, temperature, and gas composition. This controllable, textile-compatible catalyst engineering approach provides a scalable route to hierarchical graphitic coatings for carbon-fabric-based composites, electromagnetic interference shielding, and thermal management applications. Full article
(This article belongs to the Section Surface Characterization, Deposition and Modification)
Show Figures

Figure 1

13 pages, 4900 KB  
Article
Biochar-Coated Drywall Panels for Electromagnetic Shielding Applications in the K-Band
by Giuseppe Ruscica, Patrizia Savi, Michele Perotti and Isabella Natali Sora
Electronics 2026, 15(5), 1073; https://doi.org/10.3390/electronics15051073 - 4 Mar 2026
Viewed by 320
Abstract
With the rise of telecommunication systems in recent decades, the implications for human health have prompted a search for ways to reduce the impact of electromagnetic waves in buildings when necessary. A viable and promising solution to realize electromagnetic shielding could be the [...] Read more.
With the rise of telecommunication systems in recent decades, the implications for human health have prompted a search for ways to reduce the impact of electromagnetic waves in buildings when necessary. A viable and promising solution to realize electromagnetic shielding could be the use of drywall panels coated with a biochar paste, as proposed in this study. Biochar (bio-charcoal), a low-cost and carbon-based material, can be obtained by the thermochemical conversion of different biomass sources. A commercial wood-based biochar thermally treated at 750 °C is considered in this work. Transmission coefficients of several gypsum board elements with a biochar coating are measured in the frequency K-band (18–27 GHz). In addition, the SE of a double panel configuration, obtained by joining two coated boards to form a multilayer structure, is evaluated. The results show that the biochar coating significantly enhances the SE compared to uncoated drywall. At the highest biochar loading investigated (0.20 g/cm2), the shielding effectiveness consistently exceeds 27 dB for single panels and 46 dB for double panels across the entire frequency band. These findings indicate that biochar-coated drywall systems offer a practical and sustainable solution for integrating electromagnetic shielding into building envelopes, paving the way for innovative applications in indoor exposure control. Full article
Show Figures

Figure 1

10 pages, 2400 KB  
Article
Electromagnetic Interference Shielding Material from Grape Seeds: A Sustainable Pyrolysis Route
by Stefano Dicorato, Chiara Ingrosso, Pasquale Crupi, Giovanni Bruno, Angela Dibenedetto, Antonella D’Orazio, Giovanni Magno, Giuseppe Valerio Bianco and Francesco Nocito
Catalysts 2026, 16(3), 226; https://doi.org/10.3390/catal16030226 - 2 Mar 2026
Viewed by 455
Abstract
Grape marcs represent one of the most effectively exploited biowaste resources through cascade valorization approaches, in which byproducts are processed via multiple sequential steps such as extraction, bio-treatment, and pyrolysis. In this study, we present a novel route for producing graphitic carbon (GC) [...] Read more.
Grape marcs represent one of the most effectively exploited biowaste resources through cascade valorization approaches, in which byproducts are processed via multiple sequential steps such as extraction, bio-treatment, and pyrolysis. In this study, we present a novel route for producing graphitic carbon (GC) from grape seeds derived from exhausted marc via pyrolysis. We integrate hydropyrolysis and CO2 methanation in a one-pot methodology to valorize both bio-oil and gaseous pyrolysis byproducts. The GC obtained through pyrolysis is evaluated in GC/Polytetrafluoroethylene (PTFE) composites as an electromagnetic interference (EMI) shielding material across the X-band frequency range (8–12 GHz). This work demonstrates a viable and eco-friendly pathway to upcycle abundant biomass into a lightweight, sustainable, and highly tunable material, which represents a promising candidate for effective EMI shielding while simultaneously mitigating process emissions. Full article
(This article belongs to the Section Biomass Catalysis)
Show Figures

Graphical abstract

19 pages, 2086 KB  
Article
Modified MWCNT Dispersed in Polymeric Matrices as High-Performance Inks for Functional Fabrics with EMI-Shielding Properties
by José R. M. Barbosa, Ana Rita Sousa, João Ferreira, Ana L. Gonçalves, Gilda Santos, Augusta Silva, José Morgado, Patrícia Soares, Sergey A. Bunyaev, Gleb N. Kakazei, Cristina Freire, André M. Pereira, Clara Rodrigues Pereira, Olívia S. G. P. Soares and Manuel F. R. Pereira
Processes 2026, 14(5), 788; https://doi.org/10.3390/pr14050788 - 28 Feb 2026
Viewed by 321
Abstract
The widespread use of wireless technologies raises concerns about health effects and electromagnetic interference (EMI). This study aims to investigate the EMI-shielding properties of functional textiles using modified multi-walled carbon nanotubes (MWCNT) dispersed in different polymeric matrices as coating inks. Poly(3,4-ethylenedioxythiophene):polystyrene sulfonate (PEDOT:PSS) [...] Read more.
The widespread use of wireless technologies raises concerns about health effects and electromagnetic interference (EMI). This study aims to investigate the EMI-shielding properties of functional textiles using modified multi-walled carbon nanotubes (MWCNT) dispersed in different polymeric matrices as coating inks. Poly(3,4-ethylenedioxythiophene):polystyrene sulfonate (PEDOT:PSS) combined with MWCNT showed promise. For instance, a textile coated with a PEDOT:PSS-based ink containing 5 wt.% of N-doped MWCNT with a thickness of 140 µm achieved a shielding effectiveness (SE) of 31.0 dB (221 dB µm−1) in the 5.85–18 GHz range. This fabric is classified as ‘excellent’ for general use and may be suitable for EMI-protective clothing. Some tests using silicone as a polymer matrix demonstrated improved SE through resonance phenomena. Full article
(This article belongs to the Section Materials Processes)
Show Figures

Graphical abstract

19 pages, 5373 KB  
Article
Time-Domain Electromagnetic Instrument for Onshore and Offshore Petroleum Resource Prospecting
by Qingle Zhang, Zhiqiang Li, Guangming Li, Jigen Xia, Fangong Li, Kegong Huang, Xiaodong Yang and Xiaoping Wu
J. Mar. Sci. Eng. 2026, 14(5), 407; https://doi.org/10.3390/jmse14050407 - 24 Feb 2026
Viewed by 266
Abstract
Currently, marine and land oil resources have entered the high-water extraction stage. The remaining oil is dispersed, and the oil–water relationship is complex, making it increasingly difficult to extract. However, traditional electrical logging techniques are limited by the shielding effect of highly conductive [...] Read more.
Currently, marine and land oil resources have entered the high-water extraction stage. The remaining oil is dispersed, and the oil–water relationship is complex, making it increasingly difficult to extract. However, traditional electrical logging techniques are limited by the shielding effect of highly conductive steel casing, rendering them unsuitable for formation resistivity measurement in casing wells. Time-domain electromagnetic method overcomes the constraints of downhole push-off systems and casing conditions, enabling continuous measurement and acquisition of formation resistivity parameters. To overcome these limitations, this paper proposes an active compensation method based on differential measurements between specially configured coils, enabling the early response of the formation to be identified, the method enhances weak signal detection capabilities in casing formations. The coils offset part of the casing influence, while the casing background serves as baseline information. A time-domain electromagnetic instrument for metal casing resistivity measurement was developed, along with a ground water tank resistivity calibration device. The experimental results show that the instrument can effectively suppress casing response, obtain formation resistivity signals, and provide effective guidance methods for measuring formation resistivity of casing wells in the ocean and land. Full article
(This article belongs to the Topic Advanced Technology for Oil and Nature Gas Exploration)
Show Figures

Figure 1

16 pages, 17031 KB  
Article
Simulation-Based Analysis of Polarization Effects on the Shielding Effectiveness of a Metal Enclosure with an Aperture Exposed to High-Power Subnanosecond Electromagnetic Pulse
by Jerzy Mizeraczyk and Magdalena Budnarowska
Energies 2026, 19(4), 1026; https://doi.org/10.3390/en19041026 - 15 Feb 2026
Viewed by 357
Abstract
Intentional high-power electromagnetic (EM) interference poses a serious threat to sensitive electronic systems and often manifests as ultra-wideband (UWB) sub- and nanosecond pulses. Metallic shielding enclosures with technological apertures are commonly used for protection; however, apertures enable electromagnetic coupling into the enclosure and [...] Read more.
Intentional high-power electromagnetic (EM) interference poses a serious threat to sensitive electronic systems and often manifests as ultra-wideband (UWB) sub- and nanosecond pulses. Metallic shielding enclosures with technological apertures are commonly used for protection; however, apertures enable electromagnetic coupling into the enclosure and limit shielding performance. While most existing studies focus on transient disturbances with durations exceeding the enclosure transit time, this work addresses an ultrashort high-power subnanosecond UWB plane-wave pulse whose duration is significantly shorter than the enclosure transit time, a regime that remains insufficiently explored. A time-domain numerical analysis is performed for a low-profile rectangular metallic enclosure with a front-wall aperture, focusing on internal EM field evolution, internal pulse formation, and polarization-dependent shielding effectiveness. Three-dimensional full-wave simulations were carried out using CST Microwave Studio over a 90 ns observation window. The results show that the incident pulse excites primary subnanosecond EM waves inside the enclosure, which subsequently generate secondary waves through multiple reflections from the enclosure walls. Their interaction produces complex, long-lasting, time-varying internal field patterns. Although attenuated, the resulting internal subnanosecond pulses repeatedly traverse the enclosure interior, forming a pulse train-like sequence that may pose a cumulative electromagnetic threat to internal electronics. A key contribution of this work is the quantification of time-dependent local shielding effectiveness for both electric and magnetic fields, derived directly from the internal pulse train-like series obtained in the time domain. The concept of local, time-dependent shielding effectiveness provides physical insight that cannot be obtained from a single globally averaged SE value. In the case of ultrashort electromagnetic pulse excitation, the internal field response of an enclosure is strongly non-stationary and highly non-uniform in space, with local field maxima occurring at specific times and locations despite good average shielding performance. Time-dependent local SE enables identification of worst-case temporal conditions, repeated high-amplitude internal exposures, and critical regions inside the enclosure where shielding is significantly weaker than suggested by global metrics. Therefore, while conventional SE remains useful as a summary measurand, local time-dependent SE is essential for assessing the actual electromagnetic risk to sensitive electronics under ultrashort pulse disturbances. In addition, a global shielding effectiveness metric mapped over selected enclosure cross-sections is introduced to enable rapid visual assessment of shielding performance. The analysis demonstrates a strong dependence of internal wave propagation, internal pulse formation, and both local and global shielding effectiveness on the polarization of the incident subnanosecond EM pulse. These findings provide new physical insight into aperture coupling and shielding behavior in the ultrashort-pulse regime and offer practical guidance for the assessment and design of compact shielding enclosures exposed to high-power UWB EM threats. Full article
(This article belongs to the Special Issue Advanced Power Electronics for Renewable Integration)
Show Figures

Figure 1

20 pages, 3426 KB  
Article
Enhanced Absorption-Dominant EMI Shielding Performance of Pyramidal Cementitious Composites Incorporating Recycled Plastics and Magnetite Minerals for 5G Applications
by Mehmet Cakir, Mustafa Alptekin Engin and Murat Camuzcuoglu
Sustainability 2026, 18(4), 1875; https://doi.org/10.3390/su18041875 - 12 Feb 2026
Viewed by 300
Abstract
In this study, waste polypropylene (PP) and magnetite (Fe3O4) mineral-reinforced cement-based pyramidal composite structures were designed, manufactured, and experimentally characterized to reduce electromagnetic interference (EMI) problems in the 3.3–4.9 GHz frequency band for 5G communication systems. Unlike traditional planar [...] Read more.
In this study, waste polypropylene (PP) and magnetite (Fe3O4) mineral-reinforced cement-based pyramidal composite structures were designed, manufactured, and experimentally characterized to reduce electromagnetic interference (EMI) problems in the 3.3–4.9 GHz frequency band for 5G communication systems. Unlike traditional planar concrete surfaces, the aim was to minimize surface reflections and obtain an absorption-dominant shielding mechanism by providing gradient impedance matching through the pyramidal geometry. Although the use of carbon-based nanomaterials is common in the current literature, their high cost and corrosion risks limit their large-scale applications. This study involves the evaluation of waste polypropylene disposal and self-enriching magnetite mineral together. Theoretical analyses were supported by the Lichtenecker Logarithmic Mixing Rule and the Maxwell–Garnett model, and seven different mixing scenarios (S1–S7) were measured using the free-space method with a Libre vector network analyzer. Experimental results showed that the pure concrete sample exhibited predominantly reflective behaviour, with shielding performance improving significantly as the filler ratio increased. The S4 sample, containing 15% PP and 10% magnetite, offered broadband and balanced absorption performance, while the S7 sample, containing 25% PP and 25% magnetite, provided the highest shielding effectiveness with reflection below −10 dB across the entire band and transmission loss reaching −65 dB. Full article
(This article belongs to the Special Issue Advanced Concrete- and Cement-Based Composite Materials)
Show Figures

Figure 1

19 pages, 5711 KB  
Article
Direct-Write Printed Epoxy Composites with Layered Gradient Structure: Shape Memory and Electromagnetic Shielding Performance
by Junyao Zhou, Xianglong Zhu, Pan Deng, Yuzhe Ding, Zhenrong Zhang, Hao Cai, Jianke Du and Minghua Zhang
Polymers 2026, 18(4), 437; https://doi.org/10.3390/polym18040437 - 9 Feb 2026
Viewed by 501
Abstract
To address the growing problem of electromagnetic pollution, the development of intelligent, multifunctional electromagnetic shielding materials is essential. The objective of this work is to fabricate an intelligent, low-reflection and high-absorption electromagnetic shielding composite via direct ink writing. In this study, epoxy resin [...] Read more.
To address the growing problem of electromagnetic pollution, the development of intelligent, multifunctional electromagnetic shielding materials is essential. The objective of this work is to fabricate an intelligent, low-reflection and high-absorption electromagnetic shielding composite via direct ink writing. In this study, epoxy resin (EP) was employed as the matrix, with nickel powder (Ni), multi-walled carbon nanotubes (MWCNTs), and silver powder (Ag) serving as functional fillers. Direct-ink printing enabled the fabrication of uniformly structured composites and layered gradient-structured composites. By precisely varying the filler content through layer-by-layer printing, the gradient-structured composite exhibited an increasing electrical conductivity gradient and a decreasing magnetic permeability gradient along the direction of electromagnetic wave incidence. Comprehensive characterization of microstructure, electrical, magnetic, and dielectric properties, and electromagnetic shielding effectiveness revealed that the uniformly structured composites exhibited higher total shielding effectiveness (SET) and reflection coefficient (R) with increased electrical conductivity. The layered gradient-structured composite achieved an electrical conductivity of 5.44 S/m and an SET of 17.74 dB, with the R value reduced to 0.53. Compared to the highly conductive homogeneous composite used in the bottom layer (R = 0.87), this represents a reduction in reflectivity of approximately 39.1%, thereby mitigating secondary pollution from excessive reflection. Under a DC voltage of 200 V, all composites recovered their original shape within 63 s, with shape fixity (Rf) and recovery (Rr) ratios exceeding 92%. This strong shape memory capability supports conformal coating on complex devices and facilitates material recycling, offering a practical foundation for next-generation multifunctional electromagnetic shielding materials. Full article
(This article belongs to the Section Polymer Composites and Nanocomposites)
Show Figures

Figure 1

15 pages, 48160 KB  
Article
Design and Analysis of Dual-Polarized Frequency-Selective Metasurface for X-Band Notch Applications
by Muhammad Idrees, Sai-Wai Wong and Yejun He
Sensors 2026, 26(3), 867; https://doi.org/10.3390/s26030867 - 28 Jan 2026
Viewed by 450
Abstract
This paper presents a miniaturized, polarization-insensitive frequency-selective metasurface (FSMS) with stopband behavior for RF shielding applications. The FSMS is designed to suppress communication at 10 GHz frequency in the X-band. The design comprises a circular metallic patch with a staircase slot engraved in [...] Read more.
This paper presents a miniaturized, polarization-insensitive frequency-selective metasurface (FSMS) with stopband behavior for RF shielding applications. The FSMS is designed to suppress communication at 10 GHz frequency in the X-band. The design comprises a circular metallic patch with a staircase slot engraved in the center. The FSMS achieves an attenuation of 38.5 dB at the resonant frequency with a 10 dB suppression fractional bandwidth of more than 46%. The physical geometry of the unit cell makes it polarization-independent, and the angle of incidence has no effect on the stopband. The FSMS cell has overall dimensions of 0.3λo × 0.3λo × 0.05λo, where λo is free-space wavelength at the resonant frequency. Moreover, an equivalent circuit model (ECM) of the FSMS filter is developed to analyze its operation principle. An FSMS prototype is fabricated and tested for its performance, and the simulated and measured results show good agreement, making it suitable for selective electromagnetic interference (EMI) shielding applications. Full article
(This article belongs to the Section Communications)
Show Figures

Figure 1

Back to TopTop