Enhanced Absorption-Dominant EMI Shielding Performance of Pyramidal Cementitious Composites Incorporating Recycled Plastics and Magnetite Minerals for 5G Applications
Abstract
1. Introduction
2. Materials and Methods
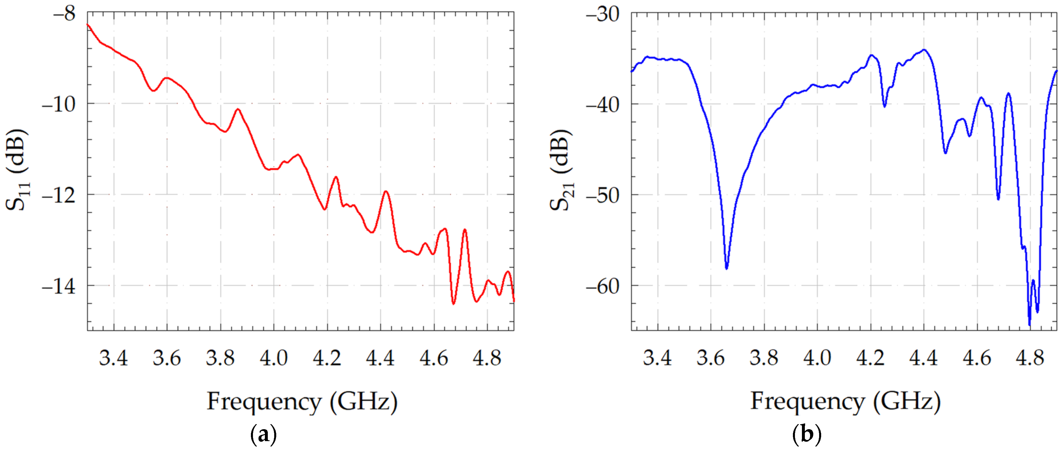
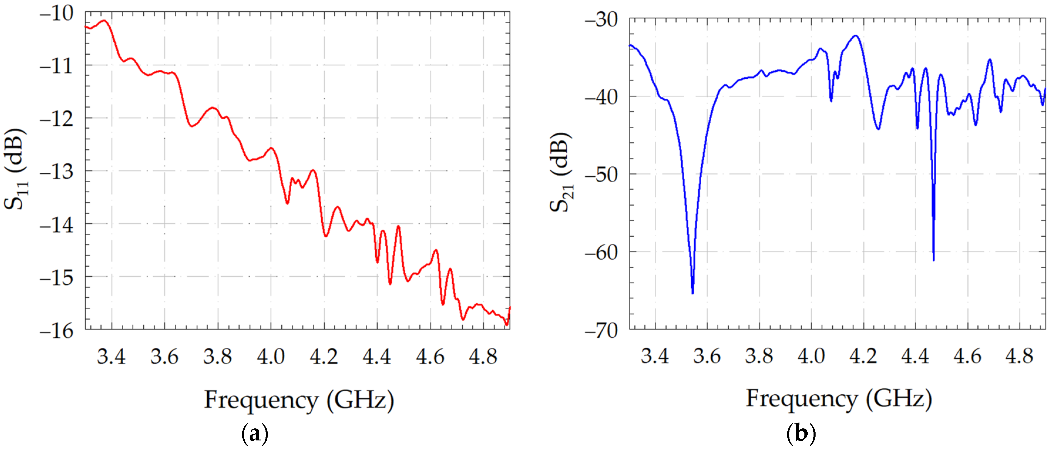
3. Results and Discussion
4. Conclusions
Author Contributions
Funding
Institutional Review Board Statement
Informed Consent Statement
Data Availability Statement
Conflicts of Interest
References
- Rappaport, T.S.; Sun, S.; Mayzus, R.; Zhao, H.; Azar, Y.; Wang, K.; Wong, G.N.; Schulz, J.K.; Samimi, M.; Gutierrez, F. Millimeter Wave Mobile Communications for 5G Cellular: It Will Work! IEEE Access 2013, 1, 335–349. [Google Scholar] [CrossRef]
- Ruscica, G.; Peinetti, F.; Natali Sora, I.; Savi, P. Analysis of Electromagnetic Shielding Properties of Cement-Based Composites with Biochar and PVC as Fillers. C 2024, 10, 21. [Google Scholar] [CrossRef]
- Tong, X.C. Advanced Materials and Design for Electromagnetic Interference Shielding; CRC Press: Boca Raton, FL, USA, 2009. [Google Scholar]
- Çağlar, S. Enhancing Structural, Mechanical, and Radiation-Shielding Properties of Al-B4C Hybrid Composites. Sustainability 2025, 17, 7249. [Google Scholar] [CrossRef]
- Emerson, W. Electromagnetic Wave Absorbers and Anechoic Chambers through the Years. IEEE Trans. Antennas Propag. 1973, 21, 484–490. [Google Scholar] [CrossRef]
- Micheli, D.; Vricella, A.; Pastore, R.; Marchetti, M. Synthesis and Electromagnetic Characterization of Frequency-Selective Radar Absorbing Materials Using Carbon Nanopowders. Carbon 2014, 77, 756–774. [Google Scholar] [CrossRef]
- Ye, X.; Yang, C.; He, E.; Yang, P.; Gao, Q.; Yan, T.; Ye, Y.; Wu, H. Optimization Design of 3D-Printed Pyramid Structure for Broadband Electromagnetic Wave Absorption. J. Alloys Compd. 2023, 963, 171258. [Google Scholar] [CrossRef]
- Kenion, T.; Yang, N.; Xu, C. Dielectric and Mechanical Properties of Hypersonic Radome Materials and Metamaterial Design: A Review. J. Eur. Ceram. Soc. 2022, 42, 1–17. [Google Scholar] [CrossRef]
- Cheng, Z.; Cao, Y.; Wang, R.; Xia, L.; Ma, S.; Li, Z.; Cai, Z.; Zhang, Z.; Huang, Y. Hierarchical Surface Engineering of Carbon Fiber for Enhanced Composites Interfacial Properties and Microwave Absorption Performance. Carbon 2021, 185, 669–680. [Google Scholar] [CrossRef]
- Kumari, S.; Dalal, J.; Kumar, V.; Kumar, A.; Ohlan, A. Emerging Two-Dimensional Materials for Electromagnetic Interference Shielding Application. Int. J. Mol. Sci. 2023, 24, 12267. [Google Scholar] [CrossRef] [PubMed]
- Nornikman, H.; Soh, P.J.; Azremi, A.A.H.; Anuar, M.S. Performance Simulation of Pyramidal and Wedge Microwave Absorbers. In Proceedings of the 2009 Third Asia International Conference on Modelling & Simulation, Bundang, Indonesia, 25–29 May 2009; IEEE: Washington, DC, USA, 2009. [Google Scholar]
- Naito, Y.; Suetake, K. Application of Ferrite to Electromagnetic Wave Absorber and Its Characteristics. IEEE Trans. Microw. Theory Tech. 1971, 19, 65–72. [Google Scholar] [CrossRef]
- Yu, H.; Liu, H.; Yao, Y.; Xiong, Z.; Gao, L.; Yang, Z.; Zhou, W.; Zhang, Z. A Highly Efficient Electromagnetic Wave Absorption System with Graphene Embedded in Hybrid Perovskite. Micromachines 2023, 14, 1611. [Google Scholar] [CrossRef]
- Sharma, S.; Parne, S.R.; Panda, S.S.S.; Gandi, S. Progress in Microwave Absorbing Materials: A Critical Review. Adv. Colloid Interface Sci. 2024, 327, 103143. [Google Scholar] [CrossRef] [PubMed]
- Yao, L.; Liang, Y.; Wen, K.; Xu, Y.; Liu, J.; Liu, P.; Huang, X. Demonstration of Tunable Shielding Effectiveness in GHz and THz Bands for Flexible Graphene/Ion Gel/Graphene Film. Appl. Sci. 2021, 11, 5133. [Google Scholar] [CrossRef]
- Tekin, İ.; Pekgöz, M. Effect of Different Fiber Reinforcements on the Electromagnetic Performance and Mechanical Properties of Zeolitic Tuff/Calcite-Based Geopolymer Composites. J. Build. Eng. 2025, 108, 112874. [Google Scholar] [CrossRef]
- Sarabandi, K.; Behdad, N. A Frequency Selective Surface with Miniaturized Elements. IEEE Trans. Antennas Propag. 2007, 55, 1239–1245. [Google Scholar] [CrossRef]
- Mayer, A.; Bi, H.; Griesse-Nascimento, S.; Hackens, B.; Loicq, J.; Mazur, E.; Deparis, O.; Lobet, M. Genetic-Algorithm-Aided Ultra-Broadband Perfect Absorbers Using Plasmonic Metamaterials. Opt. Express 2022, 30, 1167–1181. [Google Scholar] [CrossRef]
- Kiani, G.I.; Karlsson, A.; Olsson, L.; Esselle, K.P. Glass Characterization for Designing Frequency Selective Surfaces to Improve Transmission through Energy Saving Glass Windows. In Proceedings of the 2007 Asia-Pacific Microwave Conference, Melaka, Malaysia, 4–6 December 2007; IEEE: Washington, DC, USA, 2007. [Google Scholar]
- Roshan, M.J.; Gomes Correia, A. Multifunctional Cementitious Composites from Fabrication to Their Application in Pavement: A Comprehensive Review. Appl. Sci. 2025, 15, 3451. [Google Scholar] [CrossRef]
- Januszkiewicz, Ł. Analysis of Shielding Properties of Head Covers Made of Conductive Materials in Application to 5G Wireless Systems. Energies 2021, 14, 7004. [Google Scholar] [CrossRef]
- Huang, Y.; Chen, M.; Xie, A.; Wang, Y.; Xu, X. Recent Advances in Design and Fabrication of Nanocomposites for Electromagnetic Wave Shielding and Absorbing. Materials 2021, 14, 4148. [Google Scholar] [CrossRef]
- Vrdoljak, I.; Miličević, I.; Romić, O.; Bušić, R. Effect of High Carbon Nanotube Content on Electromagnetic Shielding and Mechanical Properties of Cementitious Mortars. J. Compos. Sci. 2025, 9, 664. [Google Scholar] [CrossRef]
- Wang, Q.; Wei, T.; Wang, R.; Zhu, D.; Liu, F.; Li, H. Preparation and Electromagnetic-Wave-Absorption Properties of Cement-Based Materials with Graphite Tailings and Steel Fiber. Buildings 2024, 14, 3685. [Google Scholar] [CrossRef]
- Lleshi, X.; Van Hoang, T.Q.; Loiseaux, B.; Lippens, D. Design and Full Characterization of a 3-D-Printed Hyperbolic Pyramidal Wideband Microwave Absorber. IEEE Antennas Wirel. Propag. Lett. 2021, 20, 28–32. [Google Scholar] [CrossRef]
- Moaref, R.; Shajari, S.; Sundararaj, U. From Waste to Value Added Products: Manufacturing High Electromagnetic Interference Shielding Composite from End-of-Life Vehicle (ELV) Waste. Polymers 2023, 16, 120. [Google Scholar] [CrossRef]
- Li, R.; Lin, H.; Lan, P.; Gao, J.; Huang, Y.; Wen, Y.; Yang, W. Lightweight Cellulose/Carbon Fiber Composite Foam for Electromagnetic Interference (EMI) Shielding. Polymers 2018, 10, 1319. [Google Scholar] [CrossRef]
- Wang, Y.; Liu, X.; Liao, X.; Yu, Z.; Wang, G.; Zhang, J. Complex Permittivity Extraction of Building Materials from Transmission/Reflection Measurements at Sub-THz Band. In Proceedings of the 2023 IEEE Globecom Workshops (GC Wkshps), Kuala Lumpur, Malaysia, 4–8 December 2023; pp. 1934–1939. [Google Scholar]
- Yu, Z.; Savinov, R.; Matura, M.; Zhang, P.; Shi, J. Current Research Status on Advanced Lattice Structures for Impact and Energy Absorption Applications: A Systematic Review. Thin-Walled Struct. 2025, 215, 113490. [Google Scholar] [CrossRef]
- Jung, M.; Lee, Y.-S.; Hong, S.-G. Effect of Incident Area Size on Estimation of EMI Shielding Effectiveness for Ultra-High Performance Concrete with Carbon Nanotubes. IEEE Access 2019, 7, 183105–183117. [Google Scholar] [CrossRef]
- Walter, S.; Schwanzer, P.; Steiner, C.; Hagen, G.; Rabl, H.-P.; Dietrich, M.; Moos, R. Mixing Rules for an Exact Determination of the Dielectric Properties of Engine Soot Using the Microwave Cavity Perturbation Method and Its Application in Gasoline Particulate Filters. Sensors 2022, 22, 3311. [Google Scholar] [CrossRef] [PubMed]
- Caramitu, A.R.; Lungu, M.V.; Ciobanu, R.C.; Ion, I.; Marin, M.; Marinescu, V.; Pintea, J.; Aradoaei, S.; Schreiner, O.D. Recycled Polypropylene/Strontium Ferrite Polymer Composite Materials with Electromagnetic Shielding Properties. Polymers 2024, 16, 1129. [Google Scholar] [CrossRef] [PubMed]
- Pavlík, M.; Bereš, M.; Beňa, Ľ. The Influence of Various Commonly Used Building Materials on the Shielding Effectiveness, Reflection and Absorption of the Electromagnetic Wave. Appl. Sci. 2024, 14, 2521. [Google Scholar] [CrossRef]
- Kaidar, B.; Imash, A.; Smagulova, G.; Keneshbekova, A.; Kazhdanbekov, R.; Yensep, E.; Akalim, D.; Lesbayev, A. Magnetite-Incorporated 1D Carbon Nanostructure Hybrids for Electromagnetic Interference Shielding. Nanomaterials 2024, 14, 1291. [Google Scholar] [CrossRef]
- Cakir, M.; Kockal, N.U.; Ozen, S.; Kocakusak, A.; Helhel, S. Investigation of Electromagnetic Shielding and Absorbing Capabilities of Cementitious Composites with Waste Metallic Chips. J. Microw. Power Electromagn. Energy 2017, 51, 31–42. [Google Scholar] [CrossRef]
- Sihvola, A. Electromagnetic Mixing Formulas and Applications; IEE Electromagnetic Waves Series; IEE: London, UK, 1999. [Google Scholar]
- Garnett, J.C.M. XII. Colours in Metal Glasses and in Metallic Films. Philos. Trans. A Math Phys. Eng. Sci. 1904, 203, 385–420. [Google Scholar] [CrossRef]
- Guan, B.; Ding, D.; Wang, L.; Wu, J.; Xiong, R. The Electromagnetic Wave Absorbing Properties of Cement-Based Composites Using Natural Magnetite Powders as Absorber. Mater. Res. Express 2017, 4, 056103. [Google Scholar] [CrossRef]
- Rosli, N.S.; Abdullah, H.; Kasim, L.M.; Abdullah, S.; Taib, M.N.; Kasim, S.M.; Noor, N.M.; Ahmad, A. Pyramidal Microwave Absorbers: Leveraging Ceramic Materials for Improved Electromagnetic Interference Shielding. Int. J. Electr. Comput. Eng. 2025, 15, 435. [Google Scholar] [CrossRef]














| Scenario | Concrete (vvol %) | Plastic (vvol %) | Fe3O4 (vvol %) | ||
|---|---|---|---|---|---|
| S1 | 100 | 0 | 0 | 5.50 | 1.00 |
| S2 | 85 | 10 | 5 | 5.34 | 1.08 |
| S3 | 80 | 10 | 10 | 5.67 | 1.16 |
| S4 | 75 | 15 | 10 | 5.42 | 1.16 |
| S5 | 70 | 15 | 15 | 5.74 | 1.25 |
| S6 | 60 | 20 | 20 | 5.84 | 1.35 |
| S7 | 50 | 25 | 25 | 5.93 | 1.46 |
| Reference | Matrix | Filling Material | Geometry | Frequency | Max.SE (dB) |
|---|---|---|---|---|---|
| [2] | Cement | Biochar + PVC | Flat Plate | 1–3 GHz | −16 |
| [23] | Mortar | Carbon Nanotube (MWCNT) | Flat Plate | X-Band | −27.6 |
| [38] | Cement | Magnetite (%15) | Flat Plate | S-Band | −28 |
| [39] | Cement | Silicon Carbide (SiC) | Pyramid | C-Band | −55.2 |
| Proposed (S7) | Concrete | Waste PP + Magnetite | Pyramid | Sub-6 GHz | −65.0 |
Disclaimer/Publisher’s Note: The statements, opinions and data contained in all publications are solely those of the individual author(s) and contributor(s) and not of MDPI and/or the editor(s). MDPI and/or the editor(s) disclaim responsibility for any injury to people or property resulting from any ideas, methods, instructions or products referred to in the content. |
© 2026 by the authors. Licensee MDPI, Basel, Switzerland. This article is an open access article distributed under the terms and conditions of the Creative Commons Attribution (CC BY) license.
Share and Cite
Cakir, M.; Engin, M.A.; Camuzcuoglu, M. Enhanced Absorption-Dominant EMI Shielding Performance of Pyramidal Cementitious Composites Incorporating Recycled Plastics and Magnetite Minerals for 5G Applications. Sustainability 2026, 18, 1875. https://doi.org/10.3390/su18041875
Cakir M, Engin MA, Camuzcuoglu M. Enhanced Absorption-Dominant EMI Shielding Performance of Pyramidal Cementitious Composites Incorporating Recycled Plastics and Magnetite Minerals for 5G Applications. Sustainability. 2026; 18(4):1875. https://doi.org/10.3390/su18041875
Chicago/Turabian StyleCakir, Mehmet, Mustafa Alptekin Engin, and Murat Camuzcuoglu. 2026. "Enhanced Absorption-Dominant EMI Shielding Performance of Pyramidal Cementitious Composites Incorporating Recycled Plastics and Magnetite Minerals for 5G Applications" Sustainability 18, no. 4: 1875. https://doi.org/10.3390/su18041875
APA StyleCakir, M., Engin, M. A., & Camuzcuoglu, M. (2026). Enhanced Absorption-Dominant EMI Shielding Performance of Pyramidal Cementitious Composites Incorporating Recycled Plastics and Magnetite Minerals for 5G Applications. Sustainability, 18(4), 1875. https://doi.org/10.3390/su18041875

