Sign in to use this feature.

Years

Between: -

Subjects

remove_circle_outline
remove_circle_outline
remove_circle_outline
remove_circle_outline
remove_circle_outline
remove_circle_outline
remove_circle_outline
remove_circle_outline
remove_circle_outline

Journals

Article Types

Countries / Regions

Search Results (25)

Search Parameters:
Keywords = electrically tunable lens

Order results
Result details
Results per page
Select all
Export citation of selected articles as:
14 pages, 12078 KB  
Article
Extended-Aperture Shape Measurements Using Spatially Partially Coherent Illumination (ExASPICE)
by Mostafa Agour, Claas Falldorf and Ralf B. Bergmann
Sensors 2024, 24(10), 3072; https://doi.org/10.3390/s24103072 - 12 May 2024
Cited by 1 | Viewed by 1779
Abstract
We have recently demonstrated that the 3D shape of micro-parts can be measured using LED illumination based on speckle contrast evaluation in the recently developed SPICE profilometry (shape measurements based on imaging with spatially partially coherent illumination). The main advantage of SPICE is [...] Read more.
We have recently demonstrated that the 3D shape of micro-parts can be measured using LED illumination based on speckle contrast evaluation in the recently developed SPICE profilometry (shape measurements based on imaging with spatially partially coherent illumination). The main advantage of SPICE is its improved robustness and measurement speed compared to confocal or white light interferometry. The limited spatial coherence of the LED illumination is used for depth discrimination. An electrically tunable lens in a 4f-configuration is used for fast depth scanning without mechanically moving parts. The approach is efficient, takes less than a second to capture required images, is eye-safe and offers a depth of focus of a few millimeters. However, SPICE’s main limitation is its assumption of a small illumination aperture. Such a small illumination aperture affects the axial scan resolution, which dominates the measurement uncertainty. In this paper, we propose a novel method to overcome the aperture angle limitation of SPICE by illuminating the object from different directions with several independent LED sources. This approach reduces the full width at half maximum of the contrast envelope to one-eighth, resulting in a twofold improvement in measurement accuracy. As a proof of concept, shape measurements of various metal objects are presented. Full article
(This article belongs to the Section Sensing and Imaging)
Show Figures

Figure 1

18 pages, 1648 KB  
Article
Focus Estimation Methods for Use in Industrial SFF Imaging Systems
by Andrzej Sioma and Bartosz Lenty
Appl. Sci. 2024, 14(4), 1374; https://doi.org/10.3390/app14041374 - 7 Feb 2024
Cited by 3 | Viewed by 1975
Abstract
A Shape-From-Focus (SFF) is a three-dimensional imaging method based on focus information. It is not yet widely used for in-line industrial inspection or measurement tasks. The main reasons are the time it takes to capture a 3D image of the inspected product and [...] Read more.
A Shape-From-Focus (SFF) is a three-dimensional imaging method based on focus information. It is not yet widely used for in-line industrial inspection or measurement tasks. The main reasons are the time it takes to capture a 3D image of the inspected product and the presence of interference affecting image quality. This paper compares operators for estimating focus in source images in the scope of their use in constructing an industrial 3D scanner. Interferences were introduced by using additional illuminators and changing the acquisition parameters. The use of industrial-grade cameras, industrial-grade illuminators, and electrically controlled optics are discussed. A novel approach in the research is using an electrically tunable lens to move the position of the image plane during 3D image acquisition. The research was conducted on various surfaces found on typical industrial products. The research showed which focus estimation operators can be applied to SFF imaging within the range of interference considered. It was also confirmed that using the centre of gravity method for scene reconstruction allows for an increase in resolution compared to the maximum method. Full article
(This article belongs to the Section Applied Industrial Technologies)
Show Figures

Figure 1

17 pages, 5509 KB  
Article
Colorful 3D Reconstruction and an Extended Depth of Field for a Monocular Biological Microscope Using an Electrically Tunable Lens
by Yang Cheng, Mengyao Liu, Yangqi Ou, Lin Liu and Qun Hao
Biomimetics 2024, 9(1), 49; https://doi.org/10.3390/biomimetics9010049 - 12 Jan 2024
Cited by 2 | Viewed by 3200
Abstract
This paper presents a monocular biological microscope with colorful 3D reconstruction and an extended depth of field using an electrically tunable lens. It is based on a 4f optical system with an electrically tunable lens at the confocal plane. Rapid and extensive [...] Read more.
This paper presents a monocular biological microscope with colorful 3D reconstruction and an extended depth of field using an electrically tunable lens. It is based on a 4f optical system with an electrically tunable lens at the confocal plane. Rapid and extensive depth scanning while maintaining consistent magnification without mechanical movement is achieved. We propose an improved Laplacian operator that considers pixels in diagonal directions to provide enhanced fusion effects and obtain more details of the object. Accurate 3D reconstruction is achieved using the shape-from-focus method by tuning the focal power of the electrically tunable lens. We validate the proposed method by performing experiments on biological samples. The 3D reconstructed images obtained from the biological samples match the actual shrimp larvae and bee antenna samples. Two standard gauge blocks are used to evaluate the 3D reconstruction performance of the proposed method. The experimental results show that the extended depth of fields are 120 µm, 240 µm, and 1440 µm for shrimp larvae, bee tentacle samples, and gauge blocks, respectively. The maximum absolute errors are −39.9 μm and −30.6 μm for the first and second gauge blocks, which indicates 3D reconstruction deviations are 0.78% and 1.52%, respectively. Since the procedure does not require any custom hardware, it can be used to transform a biological microscope into one that effectively extends the depth of field and achieves highly accurate 3D reconstruction results, as long as the requirements are met. Such a microscope presents a broad range of applications, such as biological detection and microbiological diagnosis, where colorful 3D reconstruction and an extended depth of field are critical. Full article
(This article belongs to the Special Issue Bionic Imaging and Optical Devices)
Show Figures

Graphical abstract

15 pages, 3568 KB  
Article
Real-Time Wavefront Sensing at High Resolution with an Electrically Tunable Lens
by Ricardo Oliva-García, Carlos Cairós, Juan M. Trujillo-Sevilla, Miriam Velasco-Ocaña and José Manuel Rodríguez-Ramos
Sensors 2023, 23(15), 6651; https://doi.org/10.3390/s23156651 - 25 Jul 2023
Cited by 5 | Viewed by 4110
Abstract
We have designed, assembled, and evaluated a compact instrument capable of capturing the wavefront phase in real time, across various scenarios. Our approach simplifies the optical setup and configuration, which reduces the conventional capture and computation time when compared to other methods that [...] Read more.
We have designed, assembled, and evaluated a compact instrument capable of capturing the wavefront phase in real time, across various scenarios. Our approach simplifies the optical setup and configuration, which reduces the conventional capture and computation time when compared to other methods that use two defocused images. We evaluated the feasibility of using an electrically tunable lens in our camera by addressing its issues and optimizing its performance. Additionally, we conducted a comparison study between our approach and a Shack–Hartmann sensor. The camera was tested on multiple targets, such as deformable mirrors, lenses with aberrations, and a liquid lens in movement. Working at the highest resolution of the CMOS sensor with a small effective pixel size enables us to achieve the maximum level of detail in lateral resolution, leading to increased sensitivity to high-spatial-frequency signals. Full article
(This article belongs to the Section Optical Sensors)
Show Figures

Figure 1

20 pages, 5426 KB  
Article
Design and Metrological Analysis of a Backlit Vision System for Surface Roughness Measurements of Turned Parts
by Alessia Baleani, Nicola Paone, Jona Gladines and Steve Vanlanduit
Sensors 2023, 23(3), 1584; https://doi.org/10.3390/s23031584 - 1 Feb 2023
Cited by 3 | Viewed by 3134
Abstract
The focus of this study is to design a backlit vision instrument capable of measuring surface roughness and to discuss its metrological performance compared to traditional measurement instruments. The instrument is a non-contact high-magnification imaging system characterized by short inspection time which opens [...] Read more.
The focus of this study is to design a backlit vision instrument capable of measuring surface roughness and to discuss its metrological performance compared to traditional measurement instruments. The instrument is a non-contact high-magnification imaging system characterized by short inspection time which opens the perspective of in-line implementation. We combined the use of the modulation transfer function to evaluate the imaging conditions of an electrically tunable lens to obtain an optimally focused image. We prepared a set of turned steel samples with different roughness in the range Ra 2.4 µm to 15.1 µm. The layout of the instrument is presented, including a discussion on how optimal imaging conditions were obtained. The paper describes the comparison performed on measurements collected with the vision system designed in this work and state-of-the-art instruments. A comparison of the results of the backlit system depends on the values of surface roughness considered; while at larger values of roughness the offset increases, the results are compatible with the ones of the stylus at lower values of roughness. In fact, the error bands are superimposed by at least 58% based on the cases analyzed. Full article
Show Figures

Figure 1

19 pages, 9461 KB  
Review
Electrically Tunable Lenses for Imaging and Light Manipulation
by Lijun Chen, Shijie Liang, Zhenshi Chen, Xifa Liang and Qingming Chen
Micromachines 2023, 14(2), 319; https://doi.org/10.3390/mi14020319 - 26 Jan 2023
Cited by 13 | Viewed by 4943
Abstract
Optofluidics seamlessly combines optics and microfluidics together to construct novel devices for microsystems, providing flexible reconfigurability and high compatibility. By taking advantage of mature electronic fabrication techniques and flexible regulation of microfluidics, electrically actuated optofluidics has achieved fantastic optical functions. Generally, the optical [...] Read more.
Optofluidics seamlessly combines optics and microfluidics together to construct novel devices for microsystems, providing flexible reconfigurability and high compatibility. By taking advantage of mature electronic fabrication techniques and flexible regulation of microfluidics, electrically actuated optofluidics has achieved fantastic optical functions. Generally, the optical function is achieved by electrically modulating the interfaces or movements of microdroplets inside a small chamber. The high refractive index difference (~0.5) at the interfaces between liquid/air or liquid/liquid makes unprecedented optical tunability a reality. They are suitable for optical imaging devices, such as microscope and portable electronic. This paper will review the working principle and recent development of electrical optofluidic devices by electrowetting and dielectrophoresis, including optical lens/microscope, beam steering and in-plane light manipulation. Some methods to improve the lens performance are reviewed. In addition, the applications of electrical microfluidics are also discussed. In order to stimulate the development of electrically controlled liquid lens, two novel designs derived from electrowetting and dielectrophoresis are introduced in this paper. Full article
(This article belongs to the Special Issue Micro/Nano-Structure Based Optoelectronics and Photonics Devices)
Show Figures

Figure 1

15 pages, 6195 KB  
Article
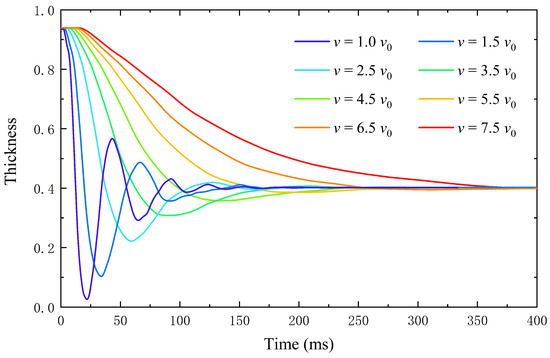
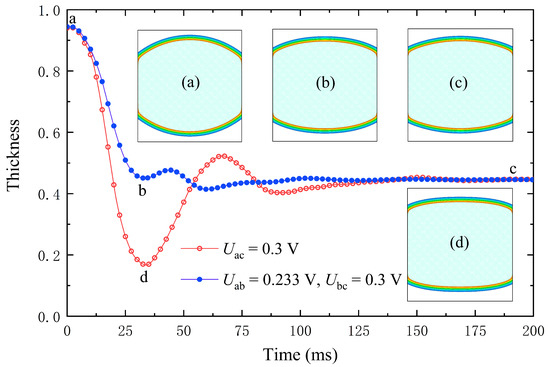
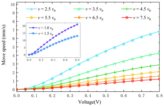
Movable and Focus-Tunable Lens Based on Electrically Controllable Liquid: A Lattice Boltzmann Study
by Fei Wang, Zijian Zhuang, Zhangrong Qin and Binghai Wen
Entropy 2022, 24(12), 1714; https://doi.org/10.3390/e24121714 - 24 Nov 2022
Cited by 4 | Viewed by 3048
Abstract
Adjusting the focal length by changing the liquid interface of the liquid lens has become a potential method. In this paper, the lattice-Boltzmann-electrodynamic (LB-ED) method is used to numerically investigate the zooming process of a movable and focus-tunable electrowetting-on-dielectrics (EWOD) liquid lens by [...] Read more.
Adjusting the focal length by changing the liquid interface of the liquid lens has become a potential method. In this paper, the lattice-Boltzmann-electrodynamic (LB-ED) method is used to numerically investigate the zooming process of a movable and focus-tunable electrowetting-on-dielectrics (EWOD) liquid lens by combining the LBM chemical potential model and the electrodynamic model. The LB method is used to solve the Navier–Stokes equation, and the Poisson–Boltzmann (PB) equation is introduced to solve the electric field distribution. The experimental results are consistent with the theoretical results of the Lippmann–Young equation. Through the simulation of a liquid lens zoom driven by EWOD, it is found that the lens changes from a convex lens to a concave lens with the voltage increases. The focal length change rate in the convex lens stage gradually increases with voltage. In the concave lens stage, the focal length change rate is opposite to that in the convex lens stage. During the zooming process, the low-viscosity liquid exhibits oscillation, and the high-viscosity liquid appears as overdamping. Additionally, methods were proposed to accelerate lens stabilization at low and high viscosities, achieving speed improvements of about 30% and 50%, respectively. Simulations of lens motion at different viscosities demonstrate that higher-viscosity liquids require higher voltages to achieve the same movement speed. Full article
(This article belongs to the Section Complexity)
Show Figures

Figure 1

13 pages, 5019 KB  
Article
Piezoelectric MEMS Mirror with Lissajous Scanning for Automobile Adaptive Laser Headlights
by Bin Xu, Yao Ji, Kai Liu and Jinhua Li
Micromachines 2022, 13(7), 996; https://doi.org/10.3390/mi13070996 - 25 Jun 2022
Cited by 17 | Viewed by 6261
Abstract
The emergence of smart headlights with reconfigurable light distributions that provide optimal illumination, highlight road objects, and project symbols to communicate with traffic participants further enhances road safety. Integrating all these functions in a single headlight usually suffers from issues of bulky multi-functional [...] Read more.
The emergence of smart headlights with reconfigurable light distributions that provide optimal illumination, highlight road objects, and project symbols to communicate with traffic participants further enhances road safety. Integrating all these functions in a single headlight usually suffers from issues of bulky multi-functional add-on modules with high cost or the use of conventional spatial light modulators with low optical efficiency and complex thermal design requirements. This paper presents a novel laser headlight prototype based on biaxially resonant microelectromechanical systems (MEMS) mirror light modulator for mapping blue laser patterns on phosphor plate to create structured white illumination and tunable road projection. The proposed headlight prototype system enables reconfigurable light distribution by leveraging laser beam scanning with fewer back-end lens and simple thermal design requirements. Built with thin-film lead zirconate titanate oxide (PbZrTiO3) actuators, the MEMS mirror achieved high-frequency biaxial resonance of 17.328 kHz, 4.81 kHz, and optical scan angle of 12.9°. The large mirror design of 2.0 mm facilitates more refined resolvable projection pixels, delivers more optical power, and provides moderate optical aperture to possibly serve as the common spatial light modulator of headlight and the light detection and ranging (LiDAR) towards all-in-one integration. The carefully designed bi-axial resonant frequency improves the device’s robustness by offsetting the lowest eigenmode away from the vehicle vibration. By establishing the laser headlight prototype systems of both 1D and 2D scanning modes, a mathematical model of laser modulation and MEMS electrical control principles of Lissajous scanning are proposed to tune the projection pattern density and shapes. It laid the foundation for developing a laser scanning control system with more complex project functions and prompting the application of MEMS for compact headlight system that addresses night driving visibility, eliminates glare effect, and renders interactive projection capabilities. Full article
(This article belongs to the Section A:Physics)
Show Figures

Figure 1

15 pages, 5245 KB  
Article
Electrically Tunable Lens (ETL)-Based Variable Focus Imaging System for Parametric Surface Texture Analysis of Materials
by Jorabar Singh Nirwan, Shan Lou, Saqib Hussain, Muhammad Nauman, Tariq Hussain, Barbara R. Conway and Muhammad Usman Ghori
Micromachines 2022, 13(1), 17; https://doi.org/10.3390/mi13010017 - 23 Dec 2021
Cited by 3 | Viewed by 5067
Abstract
Electrically tunable lenses (ETLs) are those with the ability to alter their optical power in response to an electric signal. This feature allows such systems to not only image the areas of interest but also obtain spatial depth perception (depth of field, DOF). [...] Read more.
Electrically tunable lenses (ETLs) are those with the ability to alter their optical power in response to an electric signal. This feature allows such systems to not only image the areas of interest but also obtain spatial depth perception (depth of field, DOF). The aim of the present study was to develop an ETL-based imaging system for quantitative surface analysis. Firstly, the system was calibrated to achieve high depth resolution, warranting the accurate measurement of the depth and to account for and correct any influences from external factors on the ETL. This was completed using the Tenengrad operator which effectively identified the plane of best focus as demonstrated by the linear relationship between the control current applied to the ETL and the height at which the optical system focuses. The system was then employed to measure amplitude, spatial, hybrid, and volume surface texture parameters of a model material (pharmaceutical dosage form) which were validated against the parameters obtained using a previously validated surface texture analysis technique, optical profilometry. There were no statistically significant differences between the surface texture parameters measured by the techniques, highlighting the potential application of ETL-based imaging systems as an easily adaptable and low-cost alternative surface texture analysis technique to conventional microscopy techniques. Full article
(This article belongs to the Special Issue Micro/Nanophotonic Devices in Europe)
Show Figures

Figure 1

9 pages, 17685 KB  
Article
Formation of Millimeter Waves with Electrically Tunable Orbital Angular Momentum
by Andrey Altynnikov, Roman Platonov, Andrey Tumarkin, Peter K. Petrov and Andrey Kozyrev
Coatings 2021, 11(5), 569; https://doi.org/10.3390/coatings11050569 - 13 May 2021
Cited by 6 | Viewed by 3567
Abstract
A method for forming electromagnetic waves with a tunable nonzero orbital angular momentum (OAM) is proposed. The approach is based on transforming an incident plane wave into a helical one using an electrically tunable ferroelectric lens. It uses high-resistive thin/thick film electrodes with [...] Read more.
A method for forming electromagnetic waves with a tunable nonzero orbital angular momentum (OAM) is proposed. The approach is based on transforming an incident plane wave into a helical one using an electrically tunable ferroelectric lens. It uses high-resistive thin/thick film electrodes with a special discrete topology. The correlation between film electrodes topology and the highest order of OAM modes that the lens can form is described. A lens prototype based on Ba0.55Sr0.45TiO3 ferroelectric material and operating at a frequency of 60 GHz was designed, manufactured, and tested. The amplitude and phase distribution of the OAM wave with l = +1 formed by prototype were measured to confirm the effectiveness of the proposed method. The proposed lens has a combination of advantages such as low dimensions, electrical control over the OAM modes, and the possibility to operate in the millimeter wavelength range. Full article
(This article belongs to the Special Issue Ferroelectric Thin Films and Devices)
Show Figures

Figure 1

7 pages, 1723 KB  
Article
Electrically Tunable Terahertz Focusing Modulator Enabled by Liquid Crystal Integrated Dielectric Metasurface
by Yanchun Shen, Zhixiong Shen, Yuye Wang, Degang Xu and Wei Hu
Crystals 2021, 11(5), 514; https://doi.org/10.3390/cryst11050514 - 6 May 2021
Cited by 10 | Viewed by 4158
Abstract
Active lenses with focal tunable properties are highly desired in the modern imaging systems from the visible to the microwaves. In this paper, we demonstrate a terahertz (THz) lens with electrically switchable focal length. It is composed of a large-birefringence liquid crystal (LC) [...] Read more.
Active lenses with focal tunable properties are highly desired in the modern imaging systems from the visible to the microwaves. In this paper, we demonstrate a terahertz (THz) lens with electrically switchable focal length. It is composed of a large-birefringence liquid crystal (LC) layer infiltrating a dielectric metasurface. When the birefringence of LC is tuned with an external bias, the phase shift of a single meta-unit will change. With parameter sweep using the finite-different time-domain (FDTD) simulation method, meta-units with varying geometries are optimized to achieve a focal length switchable metalens. The numerical results show that the focal length can be switched between 8.3 mm and 10.5 mm at bias OFF and ON states, respectively, which is consistent with the design. A feasible fabrication procedure of the lens is further discussed. Such a device can be designed beyond the THz band to the visible or the microwaves, and may be widely applied in integrated imaging systems. Full article
(This article belongs to the Special Issue Liquid Crystals in China)
Show Figures

Figure 1

8 pages, 3518 KB  
Communication
Simulation of Monolithically Integrated Meta-Lens with Colloidal Quantum Dot Infrared Detectors for Enhanced Absorption
by Yan Ning, Shuo Zhang, Yao Hu, Qun Hao and Xin Tang
Coatings 2020, 10(12), 1218; https://doi.org/10.3390/coatings10121218 - 14 Dec 2020
Cited by 11 | Viewed by 3291
Abstract
Colloidal quantum dots (CQDs) have been intensively investigated over the past decades in various fields for both light detection and emission applications due to their advantages like low cost, large-scale production, and tunable spectral absorption. However, current infrared CQD detectors still suffer from [...] Read more.
Colloidal quantum dots (CQDs) have been intensively investigated over the past decades in various fields for both light detection and emission applications due to their advantages like low cost, large-scale production, and tunable spectral absorption. However, current infrared CQD detectors still suffer from one common problem, which is the low absorption rate limited by CQD film thickness. Here, we report a simulation study of CQD infrared detectors with monolithically integrated meta-lenses as light concentrators. The design of the meta-lens for 4 μm infrared was investigated and simulation results show that light intensity in the focused region is ~20 times higher. Full device stacks were also simulated, and results show that, with a meta-lens, high absorption of 80% can be achieved even when the electric area of the CQD detectors was decreased by a factor of 64. With higher absorption and a smaller detector area, the employment of meta-lenses as optical concentrators could possibly improve the detectivity by a factor of 32. Therefore, we believe that integration of CQD infrared detectors with meta-lenses could serve as a promising route towards high performance infrared optoelectronics. Full article
(This article belongs to the Special Issue Application of Advanced Quantum Dots Films in Optoelectronics)
Show Figures

Figure 1

10 pages, 2573 KB  
Proceeding Paper
Multifunctional Smart Window Based on Dielectric Elastomer Actuator
by Milan Shrestha, Gih-Keong Lau, Anand Asundi and Zhenbo Lu
Proceedings 2020, 64(1), 32; https://doi.org/10.3390/IeCAT2020-08509 - 21 Nov 2020
Cited by 7 | Viewed by 2104
Abstract
Soft actuators are compliant material-based devices capable of producing large deformations upon external stimuli. Dielectric elastomer actuators (DEAs) are a type of soft actuators that operate on voltage stimuli. Apart from soft robotics, these actuators can serve many novel applications, such as tunable [...] Read more.
Soft actuators are compliant material-based devices capable of producing large deformations upon external stimuli. Dielectric elastomer actuators (DEAs) are a type of soft actuators that operate on voltage stimuli. Apart from soft robotics, these actuators can serve many novel applications, such as tunable optical gratings, lens, diffusers, smart windows and so on. This article presents our current work on tunable smart windows which can regulate light transmittance and sound absorption. This smart window can promote daylighting while maintaining privacy by electrically switching between being transparent and opaque. As a tunable optical surface scatters, it turns transparent with smooth surfaces like a flat glass; however, it turns opaque (translucent) with the micro-rough surface. The surface roughness is varied, employing surface microwrinkling or unfolding by using dielectric elastomer actuation. In addition, this smart window is equipped with another layer of transparent microperforated dielectric elastomer actuators (DEAs), which act like Helmholtz resonators, serving as a tunable and broader sound absorber. It can electrically tune its absorption spectrum to match the noise frequency for maximum acoustic absorption. The membrane tension and perforation size are tuned using DEA activation to tune its acoustic resonant frequency. Such a novel smart window can be made as cheap as glass due to its simple, all-solid-state construction. In the future, they might be used in smart green building and could potentially enhance urban livability. Full article
Show Figures

Figure 1

15 pages, 7684 KB  
Review
Photoaligning and Photopatterning: New LC Technology
by Vladimir Chigrinov, Jiatong Sun and Xiaoqian Wang
Crystals 2020, 10(4), 323; https://doi.org/10.3390/cryst10040323 - 20 Apr 2020
Cited by 51 | Viewed by 8352
Abstract
We demonstrate a physical model of photoalignment and photopatterning based on rotational diffusion in solid azo-dye nanolayers. We also highlight the new applications of photoalignment and photopatterning in display and photonics such as: (i) liquid crystal (LC) E-paper devices, including optically rewritable LC [...] Read more.
We demonstrate a physical model of photoalignment and photopatterning based on rotational diffusion in solid azo-dye nanolayers. We also highlight the new applications of photoalignment and photopatterning in display and photonics such as: (i) liquid crystal (LC) E-paper devices, including optically rewritable LC E-paper on flexible substrates as 3D E-paper, as well as optically rewritable technology for photonics devices; (ii) photonics LC devices, such as LC Switches, polarization controllers and polarization rotators, variable optical attenuators, LC filled photonic crystal fiber, switchable diffraction grating; (iii) patterned micro-polarizer array using photo-alignment technology for image sensor; (iv) electrically tunable liquid crystal q-plates; (v) electrically switchable liquid crystal Fresnel lens; (vi) liquid crystal optical elements with integrated Pancharatnam-Berry phases. We are sure, that in the field of (LC), the main point is no longer display research, but new photonic applications of LC are emerging in telecommunication, fiber optical communication systems, sensors, switchable lenses, LC light converters and other LC photonics devices. Full article
Show Figures

Figure 1

7 pages, 2123 KB  
Article
Electrically-Tunable Blue Phase Liquid Crystal Microlens Array Based on a Photoconductive Film
by Bing-Yau Huang, Shuan-Yu Huang, Chia-Hsien Chuang and Chie-Tong Kuo
Polymers 2020, 12(1), 65; https://doi.org/10.3390/polym12010065 - 2 Jan 2020
Cited by 9 | Viewed by 3796
Abstract
This paper proposes an effective approach to fabricate a blue phase liquid crystal (BPLC) microlens array based on a photoconductive film. Owing to the characteristics of photo-induced conducting polymer polyvinylcarbazole (PVK), in which conductivity depends on the irradiation of UV light, a progressive [...] Read more.
This paper proposes an effective approach to fabricate a blue phase liquid crystal (BPLC) microlens array based on a photoconductive film. Owing to the characteristics of photo-induced conducting polymer polyvinylcarbazole (PVK), in which conductivity depends on the irradiation of UV light, a progressive mask resulting in the variation of conductivity is adopted to produce the gradient distribution of the electric field. The reorientations of liquid crystals according to the gradient distribution of the electric field induce the variation of the refractive index. Thus, the incident light experiences the gradient distribution of the refractive index and results in the focusing phenomenon. The study investigates the dependence of lens performance on UV exposure time, the focal length of the lens, and focusing intensities with various incident polarizations. The BPLC microlens array exhibits advantages such as electrically tunability, polarization independence, and fast response time. Full article
(This article belongs to the Special Issue Polymer-Based Materials in Liquid Crystals)
Show Figures

Graphical abstract

Back to TopTop