Sign in to use this feature.

Years

Between: -

Subjects

remove_circle_outline
remove_circle_outline
remove_circle_outline
remove_circle_outline
remove_circle_outline
remove_circle_outline
remove_circle_outline
remove_circle_outline
remove_circle_outline

Journals

Article Types

Countries / Regions

Search Results (44)

Search Parameters:
Keywords = eigenvector spatial filter

Order results
Result details
Results per page
Select all
Export citation of selected articles as:
14 pages, 3005 KB  
Article
A Multilevel Spatial Survival Analysis of Patients in Texas with End-Stage Renal Disease
by Dongeun Kim, Yongwan Chun and Daniel A. Griffith
Healthcare 2025, 13(23), 3028; https://doi.org/10.3390/healthcare13233028 - 24 Nov 2025
Viewed by 539
Abstract
Background/Objectives: This study investigates end-stage renal disease cases in Texas using a multilevel spatial survival modeling framework. The objective is to evaluate a multilevel model specification that incorporates regional as well as individual factors, and that can be extended with random effects capturing [...] Read more.
Background/Objectives: This study investigates end-stage renal disease cases in Texas using a multilevel spatial survival modeling framework. The objective is to evaluate a multilevel model specification that incorporates regional as well as individual factors, and that can be extended with random effects capturing unexplained variation in the independent variables; these random effects can be partitioned into simultaneous spatially structured and spatially unstructured components. Methods: The analysis uses data from 109,018 adult patients who initiated end-stage renal disease treatment between 2009 and 2018, obtained from the United States Renal Data System. This paper presents this model structure for survival analysis using Moran eigenvector spatial filtering, providing an alternative way to conduct advanced spatial survival analysis. Results: Clinical variables, particularly age, cardiovascular comorbidities, and transplant status, are dominant predictors of survival. Racial disparities are observable, with Asian and Black patients exhibiting lower mortality risk relative to White patients. Socioeconomic indicators (poverty, urbanicity, and unemployment rate) show attenuated significance after adjusting for spatial and aspatial random effects, indicating their impact is partly mediated through unobserved regional heterogeneity and spatial autocorrelation. Conclusions: These findings underscore the necessity of accounting for spatial dependencies and multilevel structures in survival analysis to avoid potentially biased inferences. The devised approach can offer a robust framework for guiding geographically targeted health interventions and resource allocation aimed at improving end-stage renal disease patient outcomes and reducing health disparities across diverse regions. Full article
(This article belongs to the Section Digital Health Technologies)
Show Figures

Figure 1

15 pages, 1199 KB  
Article
Diversity and Metacommunity Structure of Aquatic Macrophytes: A Study in Mediterranean Mountain Wetlands
by Francisco Guerrero, Fernando Ortega, Gema García-Rodríguez and Juan Diego Gilbert
Sustainability 2025, 17(13), 6103; https://doi.org/10.3390/su17136103 - 3 Jul 2025
Cited by 3 | Viewed by 3608
Abstract
This study investigated the mechanisms determining macrophyte species composition in 23 Andalusian Mediterranean mountain wetlands (southern Spain). We employed a methodology combining two approaches: a pattern-based approach utilizing Elements of Metacommunity Structure (EMS) and a mechanistic approach involving Redundancy Analysis (RDA) and variance [...] Read more.
This study investigated the mechanisms determining macrophyte species composition in 23 Andalusian Mediterranean mountain wetlands (southern Spain). We employed a methodology combining two approaches: a pattern-based approach utilizing Elements of Metacommunity Structure (EMS) and a mechanistic approach involving Redundancy Analysis (RDA) and variance partitioning. This allowed us to identify the relevance of interactions between environmental and spatial factors. Data collection in these wetlands included macrophyte samples and physicochemical variables, alongside spatial variables generated using Moran’s Eigenvector Maps (MEMs). To refine the analysis of metacommunity structuring, the species matrix was partitioned based on macrophyte dispersal strategy (charophytes by spores and macrophyte vascular plants by seeds). Our results reveal that the macrophyte metacommunity in these wetlands exhibits quasi-clumped species loss for the total community, while charophytes and vascular plants showed quasi-random species loss. In conclusion, this study demonstrates that macrophyte communities in Mediterranean mountain wetlands do not follow a simple species replacement pattern. Instead, they are organized in a quasi-nested pattern, strongly shaped by environmental filters and, to a lesser extent, by spatial connectivity, with a prominent role for random processes. Understanding these mechanisms is crucial for predicting species responses to environmental changes and for designing effective conservation strategies within these vulnerable ecosystems. Full article
Show Figures

Figure 1

17 pages, 2611 KB  
Perspective
Emerging Trends and Issues in Geo-Spatial Environmental Health: A Critical Perspective
by Daniel A. Griffith
Int. J. Environ. Res. Public Health 2025, 22(2), 286; https://doi.org/10.3390/ijerph22020286 - 14 Feb 2025
Cited by 1 | Viewed by 1240
Abstract
This opinion piece postulates that quantitative environmental research and public health spatial analysts unknowingly tolerate certain spatial statistical model specification errors, whose remedies constitute some of the urgent emerging trends and issues in this subfield (e.g., forecasting disease spreading). Within this context, this [...] Read more.
This opinion piece postulates that quantitative environmental research and public health spatial analysts unknowingly tolerate certain spatial statistical model specification errors, whose remedies constitute some of the urgent emerging trends and issues in this subfield (e.g., forecasting disease spreading). Within this context, this paper addresses misspecifications affiliated with omitted variable bias complications arising from ignoring, and hence abandoning, negative spatial autocorrelation latent in georeferenced disease data, and/or being ill-informed about reigning teledependencies (i.e., long-distance spatial correlations). As imperative academic challenges, it advances elegant and convincing arguments to do otherwise. Its two particular themes are positive–negative spatial autocorrelation mixtures, and hierarchical autocorrelation generated by hegemonic urban systems. Comprehensive interpretations and implementations of these two conjectures constitute future research directions. Important conceptualizations for treatments reported in this paper include confounding variables and Moran eigenvector spatial filtering. This paper’s fundamental implication is an advocacy for a prodigious paradigm shift, a marked change in the collective mindsets and applications of spatial epidemiologists when specifying spatial regression equations to describe either environmental health data, or a publicly transparent geographic diffusion of diseases. Full article
(This article belongs to the Special Issue Trends in Modern Environmental Health)
Show Figures

Figure 1

14 pages, 4390 KB  
Article
Spatial Disparities in Access to Dialysis Facilities in Texas: An Analysis of End-Stage Renal Data in 1974–2020
by Dongeun Kim, Yongwan Chun and Daniel A. Griffith
Healthcare 2024, 12(22), 2284; https://doi.org/10.3390/healthcare12222284 - 15 Nov 2024
Cited by 1 | Viewed by 1875
Abstract
Background/Objectives: This study investigates the spatial disparities in access to dialysis facilities across Texas. The objective is to analyze how urbanization and socio-economic/demographic factors influence these disparities, with a focus on differences between urban and rural areas. Methods: The enhanced two-step floating catchment [...] Read more.
Background/Objectives: This study investigates the spatial disparities in access to dialysis facilities across Texas. The objective is to analyze how urbanization and socio-economic/demographic factors influence these disparities, with a focus on differences between urban and rural areas. Methods: The enhanced two-step floating catchment area method is employed to calculate accessibility scores to dialysis facilities across the state. Additionally, Moran eigenvector spatial filtering is utilized to analyze the influence of urbanization and socio-economic/demographic factors on accessibility disparities. Results: The Moran eigenvector spatial filtering analysis revealed a significant level of spatial autocorrelation in accessibility scores, particularly highlighting disparities between urban and rural areas. Urban regions, especially major metropolitan areas, achieved higher accessibility scores due to the dense concentration of dialysis facilities. In contrast, rural areas, notably in western and northern Texas, exhibited lower accessibility, underscoring the challenges faced by residents in these regions. The model further identified urbanization and the percentage of the elderly population as critical covariates affecting accessibility, with urban counties showing higher accessibility and elderly populations in rural areas facing significant challenges. Conclusions: These findings emphasize the importance of considering spatial dependencies in healthcare accessibility studies. They suggest the need for targeted policy interventions to address the identified disparities, particularly in underserved rural regions, to improve access to dialysis facilities for vulnerable populations. Full article
(This article belongs to the Special Issue Implementation of GIS (Geographic Information Systems) in Health Care)
Show Figures

Figure 1

23 pages, 14734 KB  
Article
Improvement of Spatio-Temporal Inconsistency of Time Series Land Cover Products
by Ling Zhu, Jun Liu, Shuyuan Jiang and Jingyi Zhang
Sustainability 2024, 16(18), 8127; https://doi.org/10.3390/su16188127 - 18 Sep 2024
Cited by 2 | Viewed by 1714
Abstract
In recent years, time series land cover products have been developed rapidly. However, the traditional classification strategy rarely considers time continuity and spatial consistency, which leads to the existence of unreasonable changes among the multi-period products. In order to solve the existing problems, [...] Read more.
In recent years, time series land cover products have been developed rapidly. However, the traditional classification strategy rarely considers time continuity and spatial consistency, which leads to the existence of unreasonable changes among the multi-period products. In order to solve the existing problems, this paper proposes a matrix decomposition model and an optimized hidden Markov model (HMM) to improve the consistency of the time series land cover maps. It also compares the results with the spatio-temporal window filtering model. The spatial weight information is introduced into the singular value decomposition (SVD) model, and the regression model is constructed by combining the eigenvalues and eigenvectors of the image to predict the unreasonable variable pixels and complete the construction of the matrix decomposition model. To solve the two problems of reliance on expert experience and lack of spatial relationships, this paper optimizes the model and proposes the HMM Land Cover Transition (HMM_LCT) model. The overall accuracy of the matrix decomposition model and the HMM_LCT model is 90.74% and 89.87%, respectively. It is found that the matrix decomposition model has a better effect on consistency adjustment than the HMM_LCT model. The matrix decomposition model can also adjust the land cover trajectory to better express the changing trend of surface objects. After consistent adjustment by the matrix decomposition model, the cumulative proportion of the first 15 types of land cover trajectories reached 99.47%, of which 83.01% were stable land classes that had not changed for three years. Full article
(This article belongs to the Special Issue Sustainable Land Use and Management, 2nd Edition)
Show Figures

Figure 1

20 pages, 37546 KB  
Article
Incorporating Spatial Autocorrelation into GPP Estimation Using Eigenvector Spatial Filtering
by Rui Xu, Yumin Chen, Ge Han, Meiyu Guo, John P. Wilson, Wankun Min and Jianshen Ma
Forests 2024, 15(7), 1198; https://doi.org/10.3390/f15071198 - 10 Jul 2024
Cited by 1 | Viewed by 1547
Abstract
Terrestrial gross primary productivity (GPP) is a critical part of land carbon fluxes. Accurately quantifying GPP in terrestrial ecosystems and understanding its spatiotemporal dynamics are essential for assessing the capability of vegetation to absorb carbon from the atmosphere. Nevertheless, traditional remote sensing estimation [...] Read more.
Terrestrial gross primary productivity (GPP) is a critical part of land carbon fluxes. Accurately quantifying GPP in terrestrial ecosystems and understanding its spatiotemporal dynamics are essential for assessing the capability of vegetation to absorb carbon from the atmosphere. Nevertheless, traditional remote sensing estimation models often require complex parameters and data inputs, and they do not account for spatial effects resulting from the distribution of monitoring sites. This can lead to biased parameter estimation and unstable results. To address these challenges, we have raised a spatial autocorrelation light gradient boosting machine model (SA-LGBM) to enhance GPP estimation. SA-LGBM combines reflectance information from remote sensing observations with eigenvector spatial filtering (ESF) methods to create a set of variables that capture continuous spatiotemporal variations in plant functional types and GPP. SA-LGBM demonstrates promising results when compared to existing GPP products. With the inclusion of eigenvectors, we observed an 8.5% increase in R2 and a 20.8% decrease in RMSE. Furthermore, the residuals of the model became more random, reducing the inherent spatial effects within them. In summary, SA-LGBM represents the first attempt to quantify the impact of spatial autocorrelation and addresses the limitations of underestimation present in existing GPP products. Moreover, SA-LGBM exhibits favorable applicability across various vegetation types. Full article
(This article belongs to the Section Forest Inventory, Modeling and Remote Sensing)
Show Figures

Figure 1

12 pages, 1611 KB  
Article
Some Comments about the p-Generalized Negative Binomial (NBp) Model
by Daniel A. Griffith
AppliedMath 2024, 4(2), 731-742; https://doi.org/10.3390/appliedmath4020039 - 11 Jun 2024
Cited by 1 | Viewed by 1623
Abstract
This paper describes various selected properties and features of negative binomial (NB) random variables, with special reference to NB2 (i.e., p = 2), and some generalizations to NBp (i.e., p ≥ 2), specifications. It presents new results (e.g., the NBp moment-generating function) with [...] Read more.
This paper describes various selected properties and features of negative binomial (NB) random variables, with special reference to NB2 (i.e., p = 2), and some generalizations to NBp (i.e., p ≥ 2), specifications. It presents new results (e.g., the NBp moment-generating function) with regard to the relationship between a sample mean and its accompanying variance, as well as spatial statistical/econometric numerical and empirical examples, whose parameter estimators are maximum likelihood or method of moment ones. Finally, it highlights the Moran eigenvector spatial filtering methodology within the context of generalized linear modeling, demonstrating it in terms of spatial negative binomial regression. Its overall conclusion is a bolstering of important findings the literature already reports with a newly recognized empirical example of an NB3 phenomenon. Full article
Show Figures

Figure 1

14 pages, 399 KB  
Article
A New Perspective on Moran’s Coefficient: Revisited
by Hiroshi Yamada
Mathematics 2024, 12(2), 253; https://doi.org/10.3390/math12020253 - 12 Jan 2024
Cited by 6 | Viewed by 2945
Abstract
Moran’s I (Moran’s coefficient) is one of the most prominent measures of spatial autocorrelation. It is well known that Moran’s I has a representation that is similar to a Fourier series and is therefore useful for characterizing spatial data. However, the representation needs [...] Read more.
Moran’s I (Moran’s coefficient) is one of the most prominent measures of spatial autocorrelation. It is well known that Moran’s I has a representation that is similar to a Fourier series and is therefore useful for characterizing spatial data. However, the representation needs to be modified. This paper contributes to the literature by showing the necessary modification and presenting some further results. In addition, we provide the required MATLAB/GNU Octave and R user-defined functions. Full article
(This article belongs to the Special Issue Advances in Graph Theory: Algorithms and Applications)
Show Figures

Figure 1

22 pages, 9268 KB  
Article
Improved Main Lobe Cancellation Method for Suppression Directional Noise in HFSWR Systems
by Dezhu Xiao, Xin Zhang, Qiang Yang and Jiaming Li
Remote Sens. 2024, 16(2), 254; https://doi.org/10.3390/rs16020254 - 9 Jan 2024
Cited by 3 | Viewed by 2366
Abstract
High frequency surface wave radar (HFSWR) has been successfully developed for early warning, especially for vessel target detection. However, the system’s performance is consistently constrained by external environmental noise, particularly directional noise, which presents a new problem for HFSWR. Anisotropic directional noise has [...] Read more.
High frequency surface wave radar (HFSWR) has been successfully developed for early warning, especially for vessel target detection. However, the system’s performance is consistently constrained by external environmental noise, particularly directional noise, which presents a new problem for HFSWR. Anisotropic directional noise has complex behavior, and its noise level is generally increased by 10 to 15 dB compared to traditional noise floor level. Suppressing varying directional noise and exploring obscured targets are challenging tasks for HFSWR. In this paper, a novel algorithm based on angle-Doppler joint multi-eigenvector synthesis, which considers the angle-Doppler map of radar echoes, is adopted to analyze the characteristics of the directional noise. Given the measured data set, we first analyze the directional noise-spatial correlation. Then, an algorithm based on sliding main lobe cancellation (SL-MLC) based on a sliding single-notch space filter (SSNSF) is proposed to block target components and get training data that contains precise directional noise information. Finally, the method is examined by measured data, and the results indicate the method has better performance for directional noise than the compared method. Full article
(This article belongs to the Special Issue Innovative Applications of HF Radar)
Show Figures

Graphical abstract

14 pages, 1050 KB  
Article
Supply–Demand Imbalance in School Land: An Eigenvector Spatial Filtering Approach
by Wenwen Sun, Daisuke Murakami, Xin Hu, Zhuoran Li, Akari Nakai Kidd and Chunlu Liu
Sustainability 2023, 15(17), 12935; https://doi.org/10.3390/su151712935 - 28 Aug 2023
Cited by 2 | Viewed by 1654
Abstract
The spatial flows of school-age children and educational resources have been driven by such factors as regional differences in population migration and the uneven development of the education quality and living standards of residents in urban and rural areas. This phenomenon further leads [...] Read more.
The spatial flows of school-age children and educational resources have been driven by such factors as regional differences in population migration and the uneven development of the education quality and living standards of residents in urban and rural areas. This phenomenon further leads to a supply–demand imbalance between the area of school land and the number of school-age children in the geographical location of China. The georeferenced data characterizing supply–demand imbalance presents an obvious spatial autocorrelation. Therefore, a spatial data analysis technique named the Eigenvector Spatial Filtering (ESF) approach was employed to identify the driving factors of the supply–demand imbalance of school land. The eigenvectors generated by the geographical coordinates of all primary schools were selected and added into the ESF model to filter the spatial autocorrelation of the datasets to identify the driving factors of the supply–demand imbalance. To verify the performance of the technique, it was applied to a county in the southwest of Shandong Province, China. The results from this study showed that all the georeferenced indicators representing population migration and education quality were statistically significant, but no indicator of the living standards of residents showed statistical significance. The eigenvector spatial filtering approach can effectively filter out the positive spatial autocorrelation of the datasets. The findings of this research suggest that a sustainable school-land-allocation scheme should consider population migration and the possible preference for high-quality education. Full article
Show Figures

Figure 1

27 pages, 7104 KB  
Article
A Multifactor Eigenvector Spatial Filtering-Based Method for Resolution-Enhanced Snow Water Equivalent Estimation in the Western United States
by Yuejun Chen, Yumin Chen, John P. Wilson, Jiaxin Yang, Heng Su and Rui Xu
Remote Sens. 2023, 15(15), 3821; https://doi.org/10.3390/rs15153821 - 31 Jul 2023
Cited by 2 | Viewed by 2026
Abstract
Accurate snow water equivalent (SWE) products are vital for monitoring hydrological processes and managing water resources effectively. However, the coarse spatial resolution (typically at 25 km from passive microwave remote sensing images) of the existing SWE products cannot meet the needs of explicit [...] Read more.
Accurate snow water equivalent (SWE) products are vital for monitoring hydrological processes and managing water resources effectively. However, the coarse spatial resolution (typically at 25 km from passive microwave remote sensing images) of the existing SWE products cannot meet the needs of explicit hydrological modeling. Linear regression ignores the spatial autocorrelation (SA) in the variables, and the measure of SA in the data assimilation algorithm is not explicit. This study develops a Resolution-enhanced Multifactor Eigenvector Spatial Filtering (RM-ESF) method to estimate daily SWE in the western United States based on a 6.25 km enhanced-resolution passive microwave record. The RM-ESF method is based on a brightness temperature gradience algorithm, incorporating not only factors including geolocation, environmental, topographical, and snow features but also eigenvectors generated from a spatial weights matrix to take SA into account. The results indicate that the SWE estimation from the RM-ESF method obviously outperforms other SWE products given its overall highest correlation coefficient (0.72) and lowest RMSE (56.70 mm) and MAE (43.88 mm), compared with the AMSR2 (0.33, 131.38 mm, and 115.45 mm), GlobSnow3 (0.50, 100.03 mm, and 83.58 mm), NCA-LDAS (0.48, 98.80 mm, and 81.94 mm), and ERA5 (0.65, 67.33 mm, and 51.82 mm), respectively. The RM-ESF model considers SA effectively and estimates SWE at a resolution of 6.25 km, which provides a feasible and efficient approach for SWE estimation with higher precision and finer spatial resolution. Full article
(This article belongs to the Section Environmental Remote Sensing)
Show Figures

Figure 1

15 pages, 8120 KB  
Article
Analysis of the Model Characteristics in the North Atlantic Simulated by the NEMO Model with Data Assimilation
by Konstantin Belyaev, Andrey Kuleshov and Ilya Smirnov
J. Mar. Sci. Eng. 2023, 11(5), 1078; https://doi.org/10.3390/jmse11051078 - 19 May 2023
Viewed by 1767
Abstract
The main aim of this work is to study the spatial–temporal variability of the model’s physical and spectral characteristics in the process of assimilation of observed ocean surface height data from the AVISO (Archiving, Validating and Interpolation Satellite Observation) archive in combination with [...] Read more.
The main aim of this work is to study the spatial–temporal variability of the model’s physical and spectral characteristics in the process of assimilation of observed ocean surface height data from the AVISO (Archiving, Validating and Interpolation Satellite Observation) archive in combination with the NEMO (Nucleus for European Modeling of the Ocean) ocean circulation model for a period of two months. For data assimilation, the GKF (Generalized Kalman filter) method, previously developed by the authors, is used. The purpose of this work is to study the spatial–temporal structure of the simulated characteristics using decomposition into eigenvalues and eigenvectors (Karhunen–Loeve decomposition method). The feature of the GKF method is the fact that the constructed Kalman weight matrix multiplied by the vector of observational data can be represented as a weighted sum of eigenvectors and eigenvalues (spectral characteristics of the matrix), which describe the spatial and temporal structure of corrections to the model. The main investigations are focused on the North Atlantic. Their variability in time and space is estimated in this study. Calculations of the main ocean characteristics, such as the surface height, temperature, salinity, and the current velocities on the surface and in the depths, both with and without assimilation of observational data, over a time interval of 60 days, were performed by using a high-performance computing system. The calculation results have shown that the main spatial variability of characteristics after data assimilation is consistent with the localization of the currents in the North Atlantic. Full article
(This article belongs to the Section Physical Oceanography)
Show Figures

Figure 1

17 pages, 4198 KB  
Article
A Method for Merging Multi-Source Daily Satellite Precipitation Datasets and Gauge Observations over Poyang Lake Basin, China
by Na Zhao
Remote Sens. 2023, 15(9), 2407; https://doi.org/10.3390/rs15092407 - 4 May 2023
Cited by 6 | Viewed by 3216
Abstract
Obtaining precipitation estimates with high resolution and high accuracy is critically important for regional meteorological, hydrological, and other applications. Although satellite precipitation products can provide precipitation fields at various scales, their applications are limited by the relatively coarse spatial resolution and low accuracy. [...] Read more.
Obtaining precipitation estimates with high resolution and high accuracy is critically important for regional meteorological, hydrological, and other applications. Although satellite precipitation products can provide precipitation fields at various scales, their applications are limited by the relatively coarse spatial resolution and low accuracy. In this study, we propose a multi-source merging approach for generating accurate and high-resolution precipitation fields on a daily time scale. Specifically, a random effects eigenvector spatial filtering (RESF) method was first applied to downscale satellite precipitation datasets. The RESF method, together with Kriging, was then applied to merge the downscaled satellite precipitation products with station observations. The results were compared against observations and a data fusion dataset, the Multi-Source Weighted-Ensemble Precipitation (MSWEP). It was shown that the estimates of the proposed method significantly outperformed the individual satellite precipitation product, reducing the average value of mean absolute error (MAE) by 52%, root mean square error (RMSE) by 63%, and improving the mean value of Kling–Gupta efficiency (KGE) by 157%, respectively. Daily precipitation estimates exhibited similar spatial patterns to the MSWEP products, and were more accurate in almost all cases, with a 42% reduction in MAE, 46% reduction in RMSE, and 79% improvement in KGE. The proposed approach provides a promising solution to generate accurate daily precipitation fields with high spatial resolution. Full article
Show Figures

Figure 1

19 pages, 3989 KB  
Article
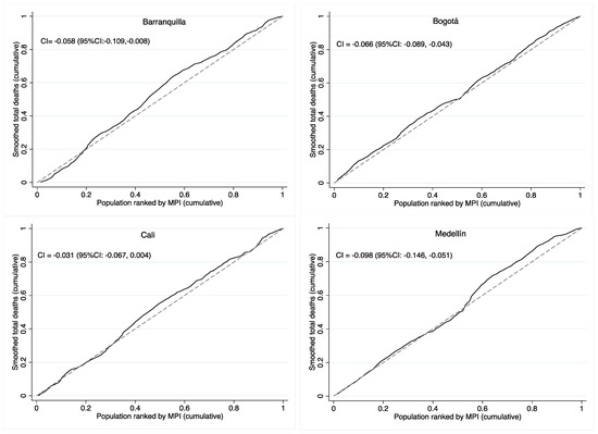
Intraurban Geographic and Socioeconomic Inequalities of Mortality in Four Cities in Colombia
by Laura A. Rodriguez-Villamizar, Diana Marín, Juan Gabriel Piñeros-Jiménez, Oscar Alberto Rojas-Sánchez, Jesus Serrano-Lomelin and Victor Herrera
Int. J. Environ. Res. Public Health 2023, 20(2), 992; https://doi.org/10.3390/ijerph20020992 - 5 Jan 2023
Cited by 5 | Viewed by 3304
Abstract
Mortality inequalities have been described across Latin American countries, but less is known about inequalities within cities, where most populations live. We aimed to identify geographic and socioeconomic inequalities in mortality within the urban areas of four main cities in Colombia. We analyzed [...] Read more.
Mortality inequalities have been described across Latin American countries, but less is known about inequalities within cities, where most populations live. We aimed to identify geographic and socioeconomic inequalities in mortality within the urban areas of four main cities in Colombia. We analyzed mortality due to non-violent causes of diseases in adults between 2015 and 2019 using census sectors as unit of analysis in Barranquilla, Bogotá, Cali, and Medellín. We calculated smoothed Bayesian mortality rates as main health outcomes and used concentration indexes (CInd) for assessing inequalities using the multidimensional poverty index (MPI) as the socioeconomic measure. Moran eigenvector spatial filters were calculated to capture the spatial patterns of mortality and then used in multivariable models of the association between mortality rates and quintiles of MPI. Social inequalities were evident but not consistent across cities. The most disadvantaged groups showed the highest mortality rates in Cali. Geographic inequalities in mortality rates, regardless of the adults and poverty distribution, were identified in each city, suggesting that other social, environmental, or individual conditions are impacting the spatial distribution of mortality rates within the four cities. Full article
(This article belongs to the Section Public Health Statistics and Risk Assessment)
Show Figures

Figure 1

17 pages, 2462 KB  
Article
Applying the Geostatistical Eigenvector Spatial Filter Approach into Regularized Regression for Improving Prediction Accuracy for Mass Appraisal
by Michael McCord, Daniel Lo, Peadar Davis, John McCord, Luc Hermans and Paul Bidanset
Appl. Sci. 2022, 12(20), 10660; https://doi.org/10.3390/app122010660 - 21 Oct 2022
Cited by 11 | Viewed by 2936
Abstract
Prediction accuracy for mass appraisal purposes has evolved substantially over the last few decades, facilitated by the evolution in big data, data availability and open source software. Accompanying these advances, newer forms of geo-spatial approaches and machine learning (ML) algorithms have been shown [...] Read more.
Prediction accuracy for mass appraisal purposes has evolved substantially over the last few decades, facilitated by the evolution in big data, data availability and open source software. Accompanying these advances, newer forms of geo-spatial approaches and machine learning (ML) algorithms have been shown to help improve house price prediction and mass appraisal assessment. Nonetheless, the adoption a of ML within mass appraisal has been protracted and subject to scrutiny by assessment jurisdictions due to their failure to account for spatial autocorrelation and limited practicality in terms of value significant estimates needed for tribunal defense and explainability. Existing research comparing traditional regression approaches has tended to examine unsupervised ML methods such as Random Forest (RF) models which remain more esoteric and less transparent in producing value significant estimates necessary for mass appraisal explainability and defense. Therefore, the purpose of this study is to apply the supervised Regularized regression technique which offers a more transparent alternative, and integrate this with a more nuanced geo-statistical technique, the Eigenvector Spatial Filter (ESF) approach, to more accurately account for spatial autocorrelation and enhance prediction accuracy whilst improving explainability needed for mass appraisal exercises. By undertaking such an approach, the research demonstrates the application of this method can be easily adopted for property tax jurisdictions in a framework which is more interpretable, transparent and useable within mass appraisal given its simple and appealing approach. The findings reveal that the integration of the ESFs improves model explainability, prediction accuracy and spatial residual error compared to baseline classical regression and Elastic-net regularized regression architectures, whilst offering the necessary ‘front-facing’ and flexible structure for in-sample and out-of-sample assessment needed by the assessment community for valuing the unsold housing stock. In terms of policy and practice, the study demonstrates some important considerations for mass appraisal tax assessment and for the improvement of taxation assessment and the alleviation of horizontal and vertical inequity. Full article
Show Figures

Figure 1

Back to TopTop