Next Article in Journal
The Issue of Land Subsidence in Coastal and Alluvial Plains: A Bibliometric Review
Previous Article in Journal
The Use of Regional Data Assimilation to Improve Numerical Simulations of Diurnal Characteristics of Precipitation during an Active Madden–Julian Oscillation Event over the Maritime Continent
 
 
Font Type:
Arial Georgia Verdana
Font Size:
Aa Aa Aa
Line Spacing:
Column Width:
Background:
Article

A Method for Merging Multi-Source Daily Satellite Precipitation Datasets and Gauge Observations over Poyang Lake Basin, China

1
State Key Laboratory of Resources and Environmental Information System, Institute of Geographic Sciences and Natural Resources Research, Chinese Academy of Sciences, Beijing 100101, China
2
College of Resources and Environment, University of Chinese Academy of Sciences, Beijing 100101, China
3
Jiangsu Center for Collaborative Innovation in Geographic Information Resource Development and Application, Nanjing 210023, China
Remote Sens. 2023, 15(9), 2407; https://doi.org/10.3390/rs15092407
Submission received: 3 March 2023 / Revised: 26 April 2023 / Accepted: 3 May 2023 / Published: 4 May 2023

Abstract

Obtaining precipitation estimates with high resolution and high accuracy is critically important for regional meteorological, hydrological, and other applications. Although satellite precipitation products can provide precipitation fields at various scales, their applications are limited by the relatively coarse spatial resolution and low accuracy. In this study, we propose a multi-source merging approach for generating accurate and high-resolution precipitation fields on a daily time scale. Specifically, a random effects eigenvector spatial filtering (RESF) method was first applied to downscale satellite precipitation datasets. The RESF method, together with Kriging, was then applied to merge the downscaled satellite precipitation products with station observations. The results were compared against observations and a data fusion dataset, the Multi-Source Weighted-Ensemble Precipitation (MSWEP). It was shown that the estimates of the proposed method significantly outperformed the individual satellite precipitation product, reducing the average value of mean absolute error (MAE) by 52%, root mean square error (RMSE) by 63%, and improving the mean value of Kling–Gupta efficiency (KGE) by 157%, respectively. Daily precipitation estimates exhibited similar spatial patterns to the MSWEP products, and were more accurate in almost all cases, with a 42% reduction in MAE, 46% reduction in RMSE, and 79% improvement in KGE. The proposed approach provides a promising solution to generate accurate daily precipitation fields with high spatial resolution.

1. Introduction

Accurate predictions of precipitation play a critical role in water resources management, hydrologic cycles, and ecosystem applications [1,2,3]. Currently, three methods are mainly used to obtain precipitation information: ground observations, numerical model simulations, and remote sensing retrieval. Stations provide relatively accurate point precipitation estimates, which are often used as ground truth in precipitation comparison studies [4]. However, they only provide limited point values and are unable to supply the spatial structure of precipitation in large areas. In addition, gauge-based observations are frequently prone to errors caused by instruments, spatial sampling, and weather conditions [5,6]. Numerical models can produce high-quality continuous precipitation information by assimilating observations and physical processes, but are still less skillful, especially over local complex topographical regions due to the parameterization [7,8]. Remote sensing estimates can provide continuous precipitation fields at local and global scales. However, precipitation fields obtained from remote sensing are susceptible to multiple sources of error from satellite sensors, retrieval algorithms, and weather conditions [9,10,11].
Recently, many satellite precipitation datasets have been released, such as the Precipitation Estimation from Remotely Sensed Information using Artificial Neural Networks-Cloud Classification System-Climate Data Record (PERSIANN-CCS-CDR) [12], the Climate Hazards Group InfraRed Precipitation with Station Data (CHIRPS) [13], the Integrated Multi-satellitE Retrievals for Global Precipitation Measurement (IMERG) [14], the Climate Prediction Center Morphing technique product (CMORPH) [15], the Global Satellite Mapping of Precipitation (GSMaP) [16], and the Multi-Source Weighted-Ensemble Precipitation (MSWEP) [17]. Remote sensing precipitation simulations are valuable for assessing global and regional climate variability and have been widely applied in many fields [18,19,20]. However, to date, there is no optimal precipitation dataset for all times and regions. Many attempts have been made to compare precipitation datasets at various scales [7,21,22]. These studies demonstrated that each dataset has its advantage and disadvantage, and the performance of the dataset varies across regions. In addition, studies have also shown that satellite-based products still suffer from some biases and relatively coarse resolution that is not sufficient for local studies [5,22,23], which restricts their widespread practical applications. To further minimize uncertainties in precipitation fields and improve their spatial resolution, this study identifies a promising direction in the integration of gauge observations with multi-source precipitation estimations.
By blending station measurements and satellite precipitation products, previous studies have developed many data fusion approaches, including conditional merging [24], weighted fusion [17], geographically weighted regression [25,26,27], optimal interpolation techniques [28], Bayesian estimation [29], and machine learning models [30,31]. Despite the improvements in spatial patterns of precipitation obtained by these approaches, most of them were proposed based on gauge observations and only a single remote sensing precipitation dataset [32,33], ignoring valuable information captured by other satellite datasets. It is still quite challenging to acquire high-quality spatial precipitation estimates because heterogenous precipitation fields generally cannot be well captured by a single satellite dataset [34,35]. Although there exist some weighting methods to combine multiple satellite datasets, the high spatial heterogeneity of precipitation poses a significant challenge in estimating high-quality precipitation. Therefore, the necessity remains to enhance the precipitation field’s resolution and accuracy by combining multiple data sources [36].
Poyang Lake (PL) is the largest freshwater lake in China, and the Poyang Lake Basin (PLB) suffers severe periodic flooding due to the local heterogeneous precipitation patterns. The PLB wetland is one of the typical global silted freshwater wetlands and is crucially important for maintaining ecosystem functions in China [37]. Precipitation plays a critical role in the stability of PL wetlands [38]. Previous studies have shown that significantly low precipitation led to a severe drought that affected the lake in 2011 [37]. It was reported that in 2020, compared to previous years, precipitation increased significantly, expanding the wetland area and water surface, and improving the wetland habitat quality. Studies have also shown that water exchange processes between the Yangtze River and PL are mainly determined by precipitation variations in the PLB [39]. Accurate estimations of precipitation are critically important for maintaining the PL wetland ecosystem. However, to the best of our knowledge, the literature on precipitation estimates in the PLB, especially on a daily scale, is still limited. This research aims to propose a new data fusion approach to generate accurate and high spatial resolution daily precipitation fields in the PLB by using precipitation information from multiple sources. The proposed approach was based on a modification of a spatial varying coefficient method, an eigenvector-based spatial filtering (ESF) model, which was then improved by considering random effects (RESF) [40]. Four promising remote sensing daily precipitation products were first downscaled individually using RESF, and the downscaled results were then merged again using the RESF approach. The results of the developed downscaling and merging framework were validated using station observations and a promising precipitation fusion dataset, the MSWEP, generated by merging gauge, satellite, and reanalysis data. Final precipitation estimates were expected to have significant improvements in spatial resolution and accuracy.

2. Materials and Methods

2.1. Materials

PLB is located in the central part of eastern China and the middle-lower reaches of the Yangtze River, covering a drainage area of approximately 162,000 km2 (Figure 1). PLB is a globally important ecological and economic zone, playing a vital role in preserving the ecological function in China. The terrain of the PLB varies from highly mountainous areas in the south, east, and west to plains around PL in the north. The varied topography, combined with the location, results in heterogeneous climatic conditions. PLB is characterized by rainy summers, dry springs, winters, and autumns. The spatiotemporal patterns of precipitation in the PLB change largely among seasons and regions [41]. Annual precipitation ranges from 1300 mm to 1800 mm, and rain occurs mainly between April and July, accounting for up to 70% of the annual precipitation amount [8]. Precipitation is an important factor affecting water resources, floods and droughts, the lake’s inundation area, and the ecosystem of the PLB. Previous studies have shown that the PLB has always suffered from frequent floods and droughts, and the PL’s water level varies significantly, causing large damage to natural and social systems [41]. It has also been shown that increased flood and drought events can be attributed to increased precipitation fluctuations in the PLB [42]. Under global warming and intensified human activity, the precipitation varies greatly at both spatial and temporal scales, increasing the risk of floods and droughts [8,43]. Accurate estimates of daily precipitation are essential for water resource management and policy making in the PLB.
In this study, we used daily precipitation observations from 144 monitoring stations located in the PLB and its surrounding areas, which passed through quality control consisting of extreme values check, and spatial and internal consistency check by using RHtests software version 4 [44,45]. The spatial consistency check compares the time series of precipitation at the target station with those from nearby stations, while the internal consistency check is designed to identify erroneous reports caused by incorrect units, reading, or coding. These stations are relatively evenly distributed throughout the region, with 91 stations located in the PLB; we took the daily observations of the most recent year, 2022, as examples for calibration. In addition, four satellite precipitation products, i.e., the IMERG, CMORPH, GSMaP and PERSIANN, were applied together with the station observations to generate highly accurate precipitation fields.
The CMORPH is a remote sensing precipitation dataset with the finest resolution of 8 km [15]. The CMORPH-RAW and CMORPH-CRT are two bias-corrected products of CMORPH v1.0. The CMORPH-CRT, obtained from the daily CMORPH-RAW and daily gauge analysis, generates relatively high-quality spatial precipitation estimates and was used in this study.
The IMERG is an updated multi-satellite merged precipitation retrieval product of Global Precipitation Measurement and is widely used in many applications [46,47]. The latest IMERG version (V06B) includes IMERG-E, IMERG-L, and IMERG-F, which are retrieved by different algorithms; the IMERG-F performs best in most cases [48]. The daily calibrated products of IMERG-F with a spatial resolution of 0.1° was used in this study.
The GSMaP is a high-resolution global precipitation dataset, and three products, including near-real-time product (GSMaP_NRT), microwave-IR combined product (GSMaP_MVK), and gauge-calibrated rainfall product (GSMaP_Gauge), are given in GSMaP V7. Calibrated by global daily gauge data [49], the GSMaP_Gauge with a spatial resolution of 0.1° was applied in this study.
The PERSIANN-CCS-CDR, released in 2021, was designed to address the limitations of short-term duration that exist in most available remote sensing data [44]. The PERSIANN-CCS-CDR, with a spatial resolution of 0.04°, shows a good performance, especially for daily precipitation [50]. This precipitation product was used to further improve precipitation fields in the PLB.
As demonstrated by many previous studies, the behavior of precipitation is a consequence of some predictors. One of the critical steps in the estimations of precipitation is to identify the most reliable explanatory variables for precipitation [51]. Following some previous studies [26,27,50,52,53], the dominant explanatory variables were selected from altitude, slope, aspect, relief, latitude, longitude, and the European Centre for Medium-Range Weather Forecasts (ECMWF) Reanalysis V5 (EAR5) predictors at 500, 600, 700, 800, 900 and 100 hPa pressure levels, and at single levels with a spatial resolution of 0.25° (https://cds.climate.copernicus.eu/cdsapp#!/search?type=dataset, accessed on 24 January 2023). The first ten important covariates were finally identified using the random forest (RF) method.

2.2. Methods

In this research, we used the RESF-based two-step framework to merge four satellite daily precipitation datasets and station observations in the PLB. The flowchart of the approach is illustrated in Figure 2. Since station measurements use Beijing time while satellite data use UTC time, first, the original satellite precipitation datasets, including the CMORPH, IMERG, GSMaP, and PERSIANN, and the gauge observations were time matched. The original satellite precipitation products were then downscaled individually using RESF by combining explanatory variables selected from ERA5 reanalysis datasets and geographic variables using RF. The downscaled precipitation products were then merged again using the RESF–Kriging method.

2.2.1. RESF Model

The ESF based on the Moran index is one of the spatially coefficient varying methods, which has been successfully applied in spatial econometrics [54]. Followed by Griffith and Chun [55], the spatial dependence of the ESF method uses the eigenvectors of a centralized weight matrix,
C = I 11 T n C 0 I 11 T n
where n represents point number; I is an n-dimension identity matrix and 1 is a vector with all the elements of one and the length of n . In this study, the ( i , j ) -th element of the spatial weight matrix C 0 is c i j = exp ( d ( s i , s j ) / r ) , where d ( s i , s j ) is the Euclidean distance between sample points s i and s j , and r refers to the maximum d ( s i , s j ) .
The spatial varying coefficient model of ESF is as follows [40]:
y = p = 1 P x p α p E S F + ε ,   ε N ( 0 , σ 2 I ) α p E S F = α p 1 + D p β p
where x p denotes the p -th explanatory variable; D p is a N × L p matrix composed of a subset of L p eigenvectors obtained from C ; α p E S F , α p and β p are regression coefficients; represents Hadamard product; and ε represents disturbances.
Previous studies have found that the random effects of ESF tend to yield improved accuracy of results [56], which assumes β p to be random, such that,
β N ( 0 L , σ β 2 Λ ( α ) ) ,
where 0 L is a zero vector; Λ ( α ) is a diagonal matrix with l -th element of λ l ( α ) = l λ l l λ l α λ l α ; α is a multiplier determining the degree of the spatial dependence; and σ β 2 represents the spatial variance.
Therefore, Equation (2) can be expressed as:
y = X α + D ˜ β ˜ + ε ,   ε N ( 0 , σ 2 I )
where D ˜ = x 1 D x p D x 1 2 D x 1 x 2 D x p 2 D ,
β ˜ = β 1 β p N 0 L 0 L , σ 1 ( β ) 2 Λ ( ς 1 ) σ P ( β ) 2 Λ ( ς P ) .
0 L is a k × 1 zero vector, and Λ ( ς i ) is a diagonal matrix with l -th element of λ l ( ς i ) = l λ l l λ l ς i λ l ς i , ς i and σ i ( β ) 2 are estimated parameters. The residual maximum likelihood (REML) method is applied to estimate the parameters in Equation (3).

2.2.2. RESF-Based Downscaling

An RESF-based downscaling approach was first developed to individually downscale the four original satellite precipitation products to a spatial resolution of 0.01°. The explanatory variables, including topographical and geographic factors and atmospheric variables, were selected from the ERA5 datasets by using the RF method. The RESF-based downscaling assumes that the relationship between precipitation and predictors established at the original coarse resolution still held when predicting precipitation at a finer spatial resolution.
For the original satellite daily precipitation P i , d s at location i and day d , the RESF model for downscaling can be formulated as:
P i , d s = ( i = 1 x i , d E R A 5 ) α i , d R E S F + ε i , d
where represents Hadamard product, and x denotes the explanatory variable selected from the ERA5 dataset. The coefficient α i , d R E S F = α i , d 1 + D i , d β i , d , β i , d N ( 0 L , σ i ( β ) 2 Λ ( ς i ) ) , D i , d is a matrix composed of a subset of L eigenvectors from a matrix obtained from eigen-decomposition. The vector 1 is a vector with all the elements of one, and α i , d and β i , d are vectors of coefficients. Λ ( ς i ) is a diagonal matrix; ς i determines the degree of the spatial dependence; and σ i ( β ) 2 denotes the spatial variance.
We estimate the 0.01° resolution precipitation field P i , d 0.01 o for the i -th location and d -th day using the resampled explanatory variables and the regression coefficients obtained from Equation (4):
P i , d 0.01 o , s = ( i = 1 x i , d 0.01 o ) α i , d 0.01 o + ε i , d 0.01 o
where P i , d 0.01 o , s denotes the downscaled precipitation from the original satellite precipitation product s at location i for day d . The Kriging method was used to interpolate the residual ε i , d 0.01 o . We finally yield the precipitation fields by adding the modified residuals back into the RESF-based downscaling results.

2.2.3. RESF-Based Data Fusion

The traditional data fusion method mainly focuses on merging one or two precipitation information sources. Although a growing number of studies have focused on multiple sources in data merging, most of them limit themselves to the weighting method. In this study, the fusion was performed based on the RESF method with the relationship between station observations and multiple remote sensing precipitation products. The RESF-based data fusion method can be expressed as,
P i , d g a u g e = ( i = 1 P i , d 0.01 o , s ) μ i , d 0.01 o + τ i , d 0.01 o
where P i , d g a u g e refers to the precipitation observation at location i for day d . μ i , d 0.01 o is the corresponding regression coefficient.
Using the regression coefficients obtained by Equation (6), the daily merged precipitation data P i , d 0.01 o , m s can be yielded by,
P i , d 0.01 o , m s = ( i = 1 P i , d 0.01 o , s ) μ i , d 0.01 o + τ i , d 0.01 o
The residual τ i , d 0.01 o was then interpolated using the ordinary Kriging method. Finally, the daily precipitation estimates P i , d 0.01 o can be obtained as,
P i , d 0.01 o = P i , d 0.01 o , m s + τ i , d 0.01 o .

2.2.4. Model Validation

We use the ten-fold cross-validation method to evaluate the performance of the RESF–Kriging approach, following established procedures [26,53,56]. Using this method, the dataset is randomly partitioned into ten equal subsets, with nine subsets used for training the RESF–Kriging and the remaining single subset used for testing. The estimates were compared with station observations and a widely used merging dataset, MSWEP [17], by resampling our estimates from 0.01° to 0.1° (the spatial resolution of the original MSWEP) using the simple bilinear interpolator. By averaging the errors calculated from the ten cross-validation procedures, the performance of the RESF–Kriging is quantified using commonly used statistical metrics: correlation coefficient (CC), mean absolute error (MAE), root mean square error (RMSE), Pbias, and Kling–Gupta efficiency (KGE) [57]. These metrics are defined by the following Equations (9)–(13), respectively.
C C = i = 1 m ( y i y ¯ ) ( y i * y ¯ * ) i = 1 m ( y i y ¯ ) 2 i = 1 m ( y i * y ¯ i * ) 2
M A E = i = 1 m y i y i * m
R M S E = i = 1 m ( y i y i * ) 2 m
P b i a s = i = 1 m y i y i * i = 1 m y i *
K G E = 1 ( C C 1 ) 2 + ( y ¯ y ¯ * 1 ) 2 + ( σ y y ¯ * σ y * y ¯ 1 ) 2
where, m is the data number; y i and y i * are precipitation estimate and observation at the ith point, respectively; y ¯ and y ¯ * are the average of y i and y i * , and σ y and σ y * are the standard deviation of y i and y i * , respectively.

3. Results

The spatial pattern of errors is presented in Figure 3. The results show that the accuracy of daily precipitation estimates varies spatially with lower MAE values in the southern PLB compared to the northern region. The accuracy of the merged result (Figure 3j) is higher than the individual remote sensing precipitation datasets (Figure 3a–d) and the downscaling results (Figure 3e–h), and it is also higher than the RESF estimates (Figure 3i). Most MAE values of the downscaled satellite precipitation products range between 8~16 mm, with some MAEs exceeding 16 mm, and the accuracy of the downscaling results is not significantly improved when compared with the original satellite precipitation products. The RESF-based merging results show high accuracy, with most MAE values below 6 mm. As shown in Figure 3k,l, the accuracy of daily precipitation estimates using the RESF–Kriging method tends to be higher than that of the MSWEP products. Most MAE values of the RESF–Kriging are below 4 mm at the spatial resolution of 0.1°, and compared to the MSWEP, almost all the stations exhibit lower MAE when using the RESF–Kriging. The advantage of the RESF–Kriging is more pronounced in the southern PLB than in the northern PLB.
In addition, we randomly took four days from four seasons (Day 1: 22 January; Day 2: 12 April; Day 3: 1 July; Day 4: 20 October) as examples to compare different precipitation estimates. Figure 4 gives the estimated value of precipitation for each validation station (No. a-n) on different days. Results indicate that the performance of different satellite precipitation estimates, their downscaling results, and the merging results vary significantly between locations and days. The largest differences can be observed in July during the wet season. The accuracy of the downscaled remote sensing precipitation dataset was not obviously improved compared to the original product. The PERSIANN showed the worst performance in almost all cases, and the other three satellite precipitation products, including the GSMaP, IMERG, and CMORPH, performed the worst in some individual cases. For each satellite product, overestimation and underestimation are also significantly different among the sites and times. For example, the IMERG exhibits a large overestimation on 1 July at station (c), while a large underestimation on 12 April at the same location. A large underestimation was observed at station (f) for the IMERG, while a large overestimation was observed on 12 April at this site. Overall, the estimates of the RESF–Kriging are closest to station observations, followed by the RESF-based data fusion method.
The comparison of our merging results with the MSWEP at a spatial resolution of 0.1° is shown in Figure 5. We compared the two products at different stations on different days. The results show that, in most cases, the RESF–Kriging estimates are closer to the station observations compared to the MSWEP. At stations (e), (g), (h), and (k), the MSWEP performs better than the RESF–Kriging on 1 July, possibly due to the resampling process of the RESF–Kriging.
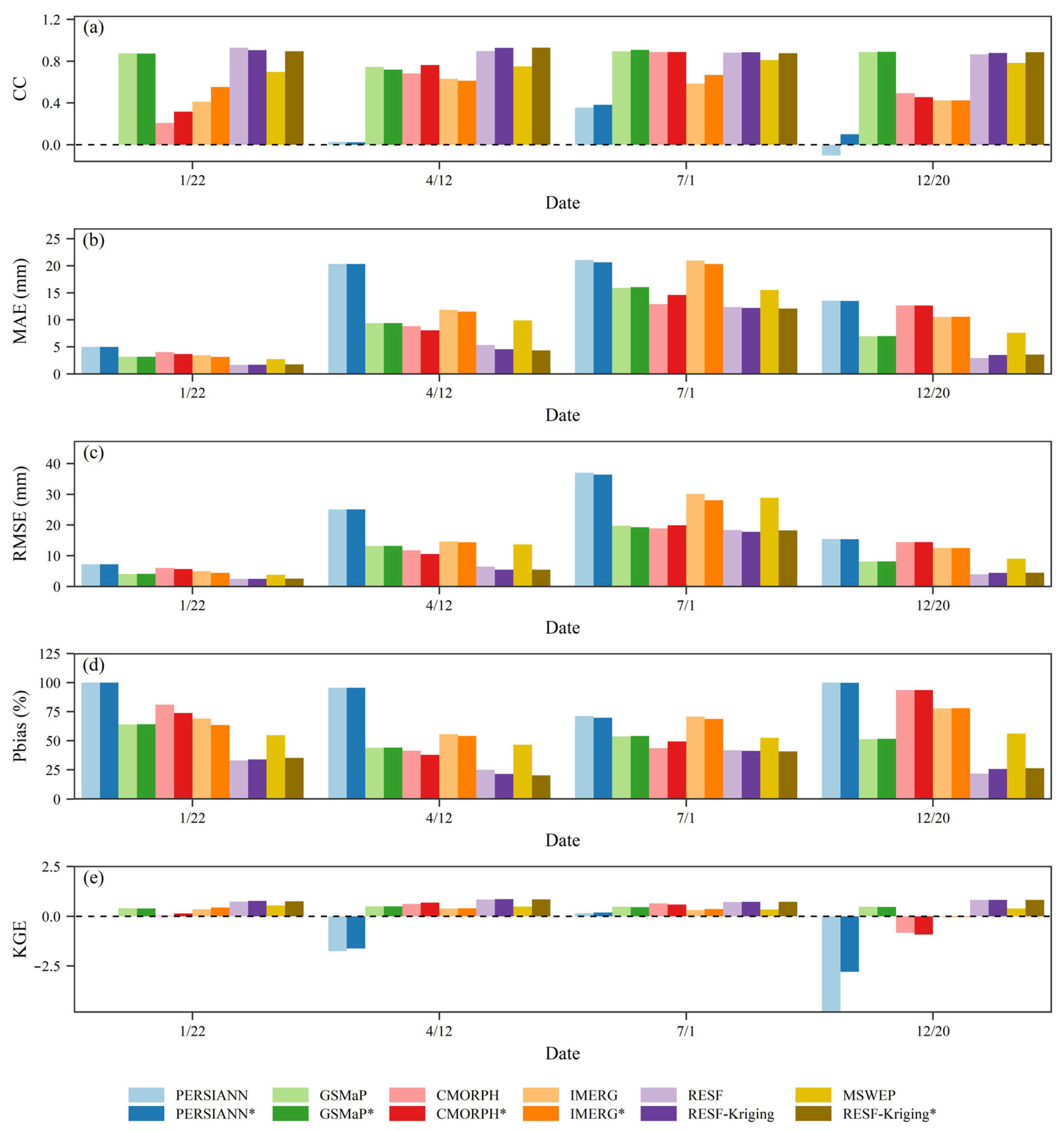
Figure 6 displays the basin-average errors of different estimates. We found that the downscaling results always showed higher accuracy than the original satellite-based precipitation products, but there were no significant improvements before and after downscaling. Hence, here we just focused on the RESF-based estimates and the downscaled satellite precipitation datasets (denoted with an asterisk in Figure 6). On 22 January, the correlation coefficient between the observations and estimates from the RESF–Kriging was 0.97, an improvement of 22% compared to the GSMaP. The CC values of the CMORPH and IMERG were just 0.15 and 0.004, respectively. Compared to the MSWEP, the CC value of the RESF–Kriging improved by 46%. Based on MAE, the accuracy of the RESF–Kriging improved by 78%, 69%, 76%, 81%, and 32%, compared to the PERSIANN, GSMaP, COMRPH, IMERG, and RESF. The MAE value of the resampled RESF–Kriging estimates was 0.85 mm, which was improved by 65% compared to the MSWEP products. The RMSE value of the RESF–Kriging is 1.22 mm, reduced by 80%, 64%, 79%, 81%, and 24% compared to the PERSIANN, GSMaP, COMRPH, IMERG, and RESF. In addition, the RESF–Kriging showed better performance than the MSWEP based on RMSE, with values of 1.28 mm and 3.72 mm, respectively. Based on the Pbias, the accuracy of the RESF–Kriging improved by 46~66% compared to the four downscaled satellite precipitation datasets. The RESF–Kriging achieved higher KGE values (0.76) than the downscaled SSPs (<0.4). Compared to the MSWEP, the KGE value of the RESF–Kriging improved by 36%. On 12 April, the CC value of the RESF–Kriging was 0.96, larger than those of any individual satellite precipitation product. The RESF–Kriging estimates and MSWEP datasets exhibited similar performance based on CC values. The RESF–Kriging showed better performance than other estimates, with MAE values improved by 76%, 46%, 47%, and 62% compared to the PERSIANN, GSMaP, COMRPH, and IMERG on April 12. Based on the RMSE, the accuracy of the RESF–Kriging was higher than that of the individual satellite precipitation product, with RMSE values reduced by 40~72%. The Pbias of the RESF–Kriging decreased by 78%, 51%, 43%, and 60%, while the KGE improved by 152%, 69%, 26%, and 106%, respectively, compared to the PERSIANN, GSMaP, COMRPH, and IMERG. The residual correction improved precipitation fields with higher CCs and Pbiases, and lower MAEs, RMSEs, and KGEs. The accuracy of the RESF–Kriging was higher than the MSWEP based on these five statistical metrics on 12 April. On 1 July, the accuracy of the RESF–Kriging was higher than any individual satellite product, with CC values improved by 2~101%, MAE values reduced by 34~76%, RMSE values reduced by 43~81%, Pbias values decreased by 16~41%, and KGE values improved by 25~265%. At a spatial resolution of 0.1°, the RESF–Kriging also performed better than the MSWEP products, with CC improved by 10%, MAE reduced by 54%, RMSE values reduced by 62%, Pbias reduced by 56%, and KGE improved by 70%. On 20 October, the PERSIANN was still the worst precipitation product in the PLB, and the RESF–Kriging performed the best based on the five statistical measurements, with CC values improved by 3~147%, MAE values improved by 54~68%, RMSE values improved by 49~64%, Pbias reduced by 50~75%, and KGE improved by 34~188% compared to the individual downscaling satellite precipitation product. The RESF–Kriging has a higher KGE (0.81) than MSWEP (0.39). In summary, the residual correction improved the final estimates for these four example days. The GSMaP and IMERG always showed similar performance and performed better than the CMORPH and PERSIANN in the PLB. Our results indicated that the RESF–Kriging estimate is the best precipitation product compared to PERSIANN, GSMaP, COMRPH, IMERG, and another merged product, MSWEP.
The spatial distribution of precipitation products is displayed in Figure 7. The spatial patterns vary largely among the remote sensing precipitation products. Over the four example days (Figure 7a–d), the precipitation fields among the PERSIANN, GSMaP, CMORPH, and IMERG are significantly different. The PERSIANN tends to underestimate the daily precipitation over these four days, and the four satellite precipitation products tend to exhibit a larger difference in the dry season (Figure 7a,d) than in the wet season (Figure 7b,c). Preserving the consistent spatial pattern with the original satellite precipitation products overall, the merged results provide more details with higher accuracy (Figure 1 and Figure 7).
Furthermore, the spatial patterns of the MSWEP and the resampled RESF–Kriging results were compared and displayed in Figure 8 at a spatial resolution of 0.1°. The merged results obtained from the RESF–Kriging showed similar spatial patterns with the MSWEP precipitation products, indicating that the RESF–Kriging can well capture the daily precipitation fields.

4. Discussion

The satellite-based remote sensing technique offers a promising solution to yield continuous precipitation fields at local and global scales [12,21,23]. However, the coarse resolution and large uncertainties limit its wide application, especially for local studies. A growing number of studies have focused on the acquisition of high-resolution and high-accuracy precipitation fields using fusion approaches, and many studies have concentrated on the fusion of precipitation from two or three sources [25,28,29,30,31,32]. Few studies have attempted to use more than three precipitation sources in the merging process to fully incorporate valuable precipitation information from different sources. The weighting method is a common approach for merging multiple precipitation sources; however, this technique depends largely on the weight and the results vary largely among weights. It is necessary to develop a new and improved method for merging precipitation data from multiple sources.
The purpose of this paper is to provide a novel data fusion approach for merging multiple satellite precipitation products and gauge observations. To accurately acquire precipitation fields at high spatial resolution, a two-step downscaling-merging framework was developed by applying the RESF method, which is a spatial varying coefficient regression method widely used in spatial econometrics but not yet fully employed before in Earth science. Previous studies have found that the regression-based method, together with the residual correction process, can yield better estimates than regression alone [58,59,60,61]. The final precipitation fields were thus obtained by summing RESF estimates and modified residuals using Kriging. Given the limited related work in the Poyang Lake Basin, the proposed approach was applied to generate daily precipitation in the PLB, which is an important step in estimating daily precipitation in the PLB, and the results were critically important for the Poyang Lake wetland ecosystem, water resource management, and other related studies.
Estimates of the RESF–Kriging method were compared with station observations and another data fusion dataset, the MSWEP. The results show that the developed method performs better than any individual satellite precipitation product in both spatial resolution and accuracy. The RESF–Kriging estimates exhibited similar spatial patterns and better accuracy than the MSWEP. The precipitation accuracy was further enhanced by using the residual modification process, which was in line with several previous studies [26,60,61,62]. Comparison results (Figure 4, Figure 5 and Figure 6) indicated that the performance of satellite precipitation datasets varied significantly among locations and days. Although there are many comparisons and assessments of different satellite products carried out at global and local scales, site-based comparisons and the merging process were both necessary, as revealed by our findings. The results showed that the PERSIANN performs the worst in the PLB. The GSMaP and IMERG consistently show similar performance and both perform better than the CMORPH and PERSIANN in the PLB. The four satellite precipitation products tend to exhibit larger differences in the dry season compared to the wet season (Figure 4, Figure 5 and Figure 6). The proposed approach was demonstrated to have a good ability to produce high spatial resolution and high accuracy daily precipitation fields, which could offer great potential in relevant applications of existing downscaling and merging methods, such as land surface temperature, PM 2.5, soil moisture, and other environmental variables.
Despite the improved estimates, there are still some uncertainties in the final results, due to the density and location of stations, the uncertainty of original remote sensing precipitation products, and the relationship between precipitation and predictors. It was found that residual modification using station observations consistently improved the precipitation estimates, highlighting the importance of incorporating more station observations for further improvement. In addition, the identification of reliable explanatory variables for daily precipitation is critically important in the RESF–Kriging method. Generally, more predictors could generate more accurate estimates. In this study, we applied the RF method to select the first ten important atmospheric and geographic variables as dominant predictors. Previous studies have shown that the ability of selection methods varies significantly among different applications [54]. Different selection methods together with a different number of explanatory variables could result in large differences in precipitation estimates, which will be further investigated.

5. Conclusions

In this study, a novel method for combining multi-source daily satellite precipitation datasets and gauge observations was developed using a spatial varying coefficient method together with Kriging. The RESF method was first applied to individually downscale daily satellite precipitation products by incorporating some atmospheric and environmental variables identified from ERA5 reanalysis datasets and geographic factors using RF. The downscaled satellite products were then combined with station observations using RESF and Kriging. The proposed method was applied in the PLB on a daily scale. Results show that the accuracy of the downscaled satellite precipitation products does not yield a large improvement compared to the original satellite dataset. The merging results exhibit large improvement in both spatial resolution and accuracy. By comparing the RESF–Kriging results with stations and MSWEP at different sites and on different days, the results show that in almost all cases, the RESF–Kriging results performed better than any individual downscaled and original satellite precipitation products, with average CCs improved by 335%, MAEs reduced by 52%, RMSEs reduced by 63%, Pbias reduced by 52%, and KGE improved by 157%. The proposed method provides a promising way to acquire high-quality daily precipitation fields and can be applied in other areas with more precipitation sources.

Funding

This study was supported by the Major Program of National Natural Science Foundation of China (No. 42293270), the National Program of National Natural Science Foundation of China (No. 42071374), and the Key Project of Innovation LREIS (KPI001).

Data Availability Statement

Data and additional information can be provided by directly contacting the author.

Conflicts of Interest

The author declares no conflict of interest.

References

  1. Ma, Z.; Zhou, Y.; Hu, B.; Liang, Z.; Shi, Z. Downscaling annual precipitation with TMPA and land surface characteristics in China. Int. J. Climatol. 2017, 37, 5107–5119. [Google Scholar] [CrossRef]
  2. Navas, R.; Delrieu, G. Distributed hydrological modeling of floods in the Cévennes-Vivarais region, France: Impact of uncertainties related to precipitation estimation and model parameterization. J. Hydrol. 2018, 565, 276–288. [Google Scholar] [CrossRef]
  3. Loritz, R.; Hrachowitz, M.; Neuper, M.; Zehe, E. The role and value of distributed precipitation data in hydrological models. Hydrol. Earth Syst. Sci. 2021, 25, 147–167. [Google Scholar] [CrossRef]
  4. Upton, G.J.G.; Rahimi, A.R. On-line detection of errors in tipping-bucket raingauges. J. Hydrol. 2003, 278, 197–212. [Google Scholar] [CrossRef]
  5. Yang, Z.W.; Hsu, K.L.; Sorooshian, S.; Xu, X.Y.; Braithwaite, D.; Zhang, Y.; Verbist, M.J. Merging high-resolution satellite-based precipitation fields and point-scale rain gauge measurements-A case study in Chile. J. Geophys. Res. Atmos. 2017, 122, 5267–5284. [Google Scholar] [CrossRef]
  6. Looper, J.P.; Vieux, B.E. An assessment of distributed flash flood forecasting accuracy using radar and rain gauge input for a physics-based distributed hydrologic model. J. Hydrol. 2012, 412–413, 114–132. [Google Scholar] [CrossRef]
  7. Pan, X.; Li, X.; Yang, K.; He, J.; Zhang, Y.; Han, X. Comparison of downscaled precipitation data over a mountainous watershed: A case study in the Heihe River Basin. J. Hydrometeorol. 2014, 15, 1560–1574. [Google Scholar] [CrossRef]
  8. Zhang, L.; Chen, X.L.; Lu, J.Z.; Fu, X.K.; Zhang, Y.F.; Liang, D.; Xu, Q.Q. Precipitation projections using a spatiotemporally distributed method: A case study in the Poyang Lake watershed based on the MRI-CGCM3. Hydrol. Earth Syst. Sci. 2019, 23, 1649–1666. [Google Scholar] [CrossRef]
  9. Bardossy, A.; Pegram, G. Combination of radar and daily precipitation data to estimate meaningful sub-daily point precipitation etremes. J. Hydrol. 2017, 544, 397–406. [Google Scholar] [CrossRef]
  10. Huffman, G.J.; Huffman, G.J.; Bolvin, D.T.; Braithwaite, D.; Hsu, K.; Joyce, R.; Kidd, C.; Nelkin, E.J.; Sorooshian, S.; Tan, J.; et al. NASA Global Precipitation Measurement (GPM) Integrated Multi-Satellite Retrievals for GPM (IMERG). NASA Algorithm Theoretical Basis Document, version 06, 38p. 2019. Available online: https://pmm.nasa.gov/sites/default/files/document_files/IMERG_ATBD_V06.pdf (accessed on 12 December 2022).
  11. Tang, G.Q.; Martyn, P.C.; Simon, M.P.; Ma, Z.Q.; Yang, H. Have satellite precipitation products improved over last two decades? A comprehensive comparison of GPM IMERG with nine satellite and reanalysis datasets. Remote Sens. Environ. 2020, 240, 111697. [Google Scholar] [CrossRef]
  12. Sadeghi, M.; Nguyen, P.; Naeini, M.R.; Hsu, K.; Braithwaite, D.; Sorooshian, S. PERSIANN-CCS-CDR, a 3-hourly 0.04 degrees global precipitation climate data record for heavy precipitation studies. Sci. Data 2021, 8, 157. [Google Scholar] [CrossRef] [PubMed]
  13. Shen, Z.; Yong, B.; Gourley, J.J.; Qi, W.; Lu, D.; Liu, J.; Ren, L.; Hong, Y.; Zhang, J. Recent global performance of the Climate Hazards group Infrared Precipitation (CHIRP) with Stations (CHIRPS). J. Hydrol. 2020, 591, 125284. [Google Scholar] [CrossRef]
  14. Okamoto, K.; Ushio, T.; Iguchi, T.; Takahashi, N.; Iwanami, K. The global satellite mapping of precipitation (GSMaP) project. In Proceedings of the 25th IEEE International Geoscience and Remote Sensing Symposium (IGARSS 2005), Seoul, Republic of Korea, 25–29 July 2005; pp. 3414–3416. [Google Scholar]
  15. Li, Y.L.; Tao, H.; Yao, J.; Zhang, Q. Application of a distributed catchment model to investigate hydrological impacts of climate change within Poyang Lake catchment (China). Hydrol. Res. 2016, 47, 120–135. [Google Scholar] [CrossRef]
  16. Huffman, G.J.; Bolvin, D.T.; Braithwaite, D.; Hsu, K.; Joyce, R.; Xie, P.; Yoo, S.-H. NASA Global Precipitation Measurement (GPM) Integrated Multi-Satellite Retrievals for GPM (IMERG); Algorithm Theoretical Basis Document (ATBD) Version 2015, 4; NASA: Washington, DC, USA, 2015. [Google Scholar]
  17. Beck, H.E.; van Dijk, A.I.J.M.; Levizzani, V.; Schellekens, J.; Miralles, D.G.; Martens, B.; de Roo, A. MSWEP: 3-hourly 0.25 degrees global gridded precipitation (1979–2015) by merging gauge, satellite, and reanalysis data. Hydrol. Earth Syst. Sci. 2017, 21, 589–615. [Google Scholar] [CrossRef]
  18. Canedo-Rosso, C.; Hochrainer-Stigler, S.; Pflug, G.; Condori, B.; Berndtsson, R. Drought impact in the Bolivian Altiplano agriculture associated with the El Nino-Southern Oscillation using satellite imagery data. Nat. Hazards Earth Syst. Sci. 2021, 21, 995–1010. [Google Scholar] [CrossRef]
  19. Zhong, R.; Chen, X.; Lai, C.; Wang, Z.; Lian, Y.; Yu, H.; Wu, X. Drought monitoring utility of satellite-based precipitation products across mainland China. J. Hydrol. 2019, 568, 343–359. [Google Scholar] [CrossRef]
  20. Brodeur, Z.P.; Steinschneider, S. Spatial Bias in Medium-Range Forecasts of Heavy Precipitation in the Sacramento River Basin: Implications for Water Management. J. Hydrometeorol. 2020, 21, 1405–1423. [Google Scholar] [CrossRef]
  21. Duan, Z.; Liu, J.; Tuo, Y.; Chiogna, G.; Disse, M. Evaluation of eight high spatial resolution gridded precipitation products in Adige Basin (Italy) at multiple temporal and spatial scales. Sci. Total Environ. 2016, 573, 1536–1553. [Google Scholar] [CrossRef]
  22. Hinge, G.; Hamouda, M.A.; Long, D.; Mohamed, M.M. Hydrologic utility of satellite precipitation products in flood prediction: A meta-data analysis and lessons learnt. J. Hydrol. 2022, 612, 128103. [Google Scholar] [CrossRef]
  23. Islam, A.; Yu, B.; Cartwright, N. Assessment and comparison of five satellite precipitation products in Australia. J. Hydrol. 2020, 590, 125474. [Google Scholar] [CrossRef]
  24. Sinclair, S.; Pegram, G. Combining radar and rain gauge rainfall estimates using conditional merging. Atmos. Sci. Lett. 2005, 6, 19–22. [Google Scholar] [CrossRef]
  25. Chen, S.; Xiong, L.; Ma, Q.; Kim, J.S.; Chen, J.; Xu, C.Y. Improving daily spatial precipitation estimates by merging gauge observation with multiple satellite-based precipitation products based on the geographically weighted ridge regression method. J. Hydrol. 2020, 589, 125156. [Google Scholar] [CrossRef]
  26. Chen, Y.Y.; Huang, J.F.; Sheng, S.X.; Mansaray, L.R.; Liu, Z.X.; Wu, H.Y.; Wang, X.Z. A new downscaling-integration framework for high-resolution monthly precipitation estimates: Combining rain gauge observations, satellite-derived precipitation data and geographical ancillary data. Remote Sens. Environ. 2018, 214, 154–172. [Google Scholar] [CrossRef]
  27. Arshad, A.; Zhang, W.C.; Zhang, Z.J.; Wang, S.H.; Zhang, B.; Cheema, M.J.M.; Shalamzari, M.J. Reconstructing high-resolution gridded precipitation data using an improved downscaling approach over the high altitude mountain regions of Upper Indus Basin (UIB). Sci. Total Environ. 2021, 784, 147140. [Google Scholar] [CrossRef] [PubMed]
  28. Shen, J.M.; Liu, P.; Xia, J.; Zhao, Y.J.; Dong, Y. Merging multisatellite and gauge precipitation based on geographically weighted regression and long-short-term memory network. Remote Sens. 2022, 14, 3939. [Google Scholar] [CrossRef]
  29. Yumnam, K.; Guntu, R.K.; Rathinasamy, M.; Agarwal, A. Quantile-based Bayesian model averaging approach towards merging of precipitation products. J. Hydrol. 2022, 604, 127206. [Google Scholar] [CrossRef]
  30. Wu, H.C.; Yang, Q.L.; Liu, J.M.; Wang, G.Q. A spatiotemporal deep fusion model for merging satellite and gauge precipitation in China. J. Hydrol. 2020, 584, 124664. [Google Scholar] [CrossRef]
  31. Zhang, L.L.; Li, X.; Zheng, D.H.; Zhang, K.; Ma, Q.M.; Zhao, Y.B. Merging multiple satellite-based precipitation products and gauge observations using a novel double machine learning approach. J. Hydrol. 2021, 594, 125969. [Google Scholar] [CrossRef]
  32. Li, M.; Shao, Q. An improved statistical approach to merge satellite rainfall estimates and rain gauge data. J. Hydrol. 2010, 385, 51–64. [Google Scholar] [CrossRef]
  33. Verdin, A.; Funk, C.; Rajagopalan, B.; Kleiber, W. Kriging and local polynomial methods for blending satellite-derived and gauge precipitation estimates to support hydrologic early warning systems. IEEE Trans. Geosci. Remote Sens. 2016, 54, 2552–2562. [Google Scholar] [CrossRef]
  34. Bharti, V.; Singh, C. Evaluation of error in TRMM 3B42V7 precipitation estimates over the Himalayan region. J. Geophys. Res. Atmos. 2015, 120, 12458–12473. [Google Scholar] [CrossRef]
  35. Hussain, S.T.; Lei, S.; Akram, T.; Haider, M.J.; Hussain, S.H.; Ali, M. Kurt Lewin’s change model: A critical review of the role of leadership and employee involvement in organizational change. J. Innov. Knowl. 2018, 3, 123–127. [Google Scholar] [CrossRef]
  36. Xie, P.; Xiong, A.Y. A conceptual model for constructing high-resolution gaugesatellite merged precipitation analyses. J. Geophys. 2011, 116, D21106. [Google Scholar] [CrossRef]
  37. Wang, Y.Y.; Molinos, J.G.; Shi, L.L.; Zhang, M.; Wu, Z.S.; Zhang, H.; Xu, J. Divers and changes of the Poyang Lake wetland ecosystem. Wetland 2019, 39, S35–S344. [Google Scholar] [CrossRef]
  38. Hu, Q.; Feng, S.; Guo, H.; Chen, G.Y.; Jiang, T. Interactions of the Yangtze river flow and hydrologic processes of the Poyang Lake, China. J. Hydrol. 2007, 347, 90–100. [Google Scholar] [CrossRef]
  39. Gao, J.H.; Jia, J.J.; Kettner, A.J.; Xing, F.; Wang, Y.P.; Xu, X.N.; Yang, Y.; Zou, X.Q.; Gao, S.; Qi, S.H.; et al. Changes in water and sediment exchange between the Changjiang River and Poyang Lake under natural and anthropogenix conditions, China. Sci. Total Environ. 2014, 481, 542–553. [Google Scholar] [CrossRef]
  40. Murakami, D.; Yoshida, T.; Seya, H.; Griffith, D.A.; Yamagata, Y. A Moran coefficient-based mixed effects approach to investigate spatially varying relationships. Spat. Stat. 2017, 19, 68–89. [Google Scholar] [CrossRef]
  41. Zhao, N.; Jiao, Y.M.; Zhang, L.L. Projections of precipitation change from CMIP6 based on a new downscaling method in the Poyang Lake basin, China. J. Hydrol.-Reg. Stud. 2022, 42, 101138. [Google Scholar] [CrossRef]
  42. Li, X.H.; Zhang, Q.; Ye, X.C. Dry/wet conditions monitoring based on TRMM rainfall data and its reliability validation over Poyang Lake Basin, China. Water 2013, 5, 1848–1864. [Google Scholar] [CrossRef]
  43. Su, J.; Lu, H.; Ryu, D.; Zhu, Y. The Assessment and Comparison of TMPA and IMERG Products Over the Major Basins of Mainland China. Earth Space Sci. 2019, 6, 2461–2479. [Google Scholar] [CrossRef]
  44. Shen, Y.; Xiong, A.Y.; Wang, Y.; Xie, P.P. Performance of high-resolution precipitation products. J. Geophys. Res. 2010, 115, D02114. [Google Scholar]
  45. Ning, S.W.; Song, F.; Udmale, P.; Jin, J.L.; Thapa, B.R.; Ishidaira, H. Error analysis and evaluation of the latest GSMap and IMERG precipitation products over eastern China. Adv. Meteorol. 2017, 2017, 1803492. [Google Scholar] [CrossRef]
  46. Yang, T.; Li, Q.; Chen, X.; De Maeyer, P.; Yan, X.; Liu, Y.; Zhao, T.; Li, L. Spatiotemporal variability of the precipitation concentration and diversity in Central Asia. Atmos. Res. 2020, 241, 104954. [Google Scholar] [CrossRef]
  47. Arshad, M.; Ma, X.; Yin, J.; Ullah, W.; Ali, G.; Ullah, S.; Liu, M.; Shahzaman, M.; Ullah, I. Evaluation of GPM-IMERG and TRMM-3B42 precipitation products over Pakistan. Atmos. Res. 2021, 249, 105341. [Google Scholar] [CrossRef]
  48. Mega, T.; Ushio, T.; Matsuda, T.; Kubota, T.; Kachi, M.; Oki, R. Gauge-Adjusted Global Satellite Mapping of Precipitation. IEEE Trans. Geosci. Remote Sens. 2019, 57, 1928–1935. [Google Scholar] [CrossRef]
  49. Kubota, T.K.; Aonashi, T.; Ushio, S.; Shige, Y.N.; Takayabu, M.; Kachi, Y.; Arai, T.; Tashima, T.; Masaki, N.; Kawamoto, T.; et al. Satellite Precipitation Measurement; Springer: Cham, Switzerland, 2020; Volume 67, pp. 355–373. [Google Scholar]
  50. Jafarzadeh, A.; Pourreza-Bilondi, M.; Siuki, A.K.; Moghadam, J.R. Examination of Various Feature Selection Approaches for Daily Precipitation Downscaling in Different Climates. Water Resour. Manag. 2021, 35, 407–427. [Google Scholar] [CrossRef]
  51. Anselin, L.; Rey, S.J. Modern Spatial Econometrics in Practice: A Guide to GeoDa, GeoDaSpace and PySAL; GeoDa Press LLC: Chicago, IL, USA, 2014. [Google Scholar]
  52. Ullah, S.; Zuo, Z.K.; Zhang, F.Z.; Zheng, J.H.; Huang, S.F.; Lin, Y.; Iqbal, I.; Sun, Y.Y.; Yang, M.; Yan, L. GPM-based multitemporal weighted precipitation analysis using GPM_IMERGDF product and ASTER DEM in EDBF algorithm. Remote Sens. 2020, 12, 3162. [Google Scholar] [CrossRef]
  53. Chorbanpour, A.K.; Hessels, T.; Moghim, S.; Afshar, A. Comparison and assessment of spatial downscaling methods for enhancing the accuracy of satellite-based precipitation over Lake Urmia Basin. J. Hydrol. 2021, 596, 126055. [Google Scholar]
  54. Griffith, D.A. Spatial-filtering-based contributions to a critique of geographically weighted regression (GWR). Environ. Plan. A 2008, 40, 2751–2769. [Google Scholar] [CrossRef]
  55. Griffith, D.; Chun, Y. Spatial Autocorrelation and Spatial Filtering. In Handbook of Regional Science; Fischer, M.M., Nijkamp, P., Eds.; Springer: Berlin/Heidelberg, Germany, 2014; pp. 1477–1507. [Google Scholar] [CrossRef]
  56. Chen, F.G.; Gao, Y.Q.; Wang, Y.G.; Li, X. A downscaling-merging method for high-resolution daily precipitation estimation. J. Hydrol. 2020, 581, 124414. [Google Scholar] [CrossRef]
  57. Gupta, H.V.; Kling, H.; Yilmaz, K.K.; Martinez, G.F. Decomposition of the mean squared error and NSE performance criteria: Implications for improving hydrological modelling. J. Hydrol. 2009, 377, 80–91. [Google Scholar] [CrossRef]
  58. Zhao, N.; Yue, T.X.; Chen, C.F.; Zhao, M.W.; Fan, Z.M. An improved statistical downscaling scheme of tropical rainfall measuring mission precipitation in the Heihe River basin, China. Int. J. Climatol. 2018, 38, 3309–3322. [Google Scholar] [CrossRef]
  59. Gao, Z.; Huang, B.S.; Ma, Z.Q.; Chen, X.H.; Qiu, J.; Liu, D. Comprehensive comparisons of state-of the art gridded precipitation estimated for hydrological applications over southern China. Remote Sens. 2020, 12, 3997. [Google Scholar] [CrossRef]
  60. Duan, Z.; Bastiaanssen, W.G.M. First results from version 7 TRMM 3B43 precipitation product in combination with a new downscaling-calibration procedure. Remote Sens. Environ. 2013, 131, 1–13. [Google Scholar] [CrossRef]
  61. Liu, Z.F.; Xu, Z.X.; Charles, S.P.; Liu, L. Evaluation of two statistical downscaling models for daily precipitation over an arid basin in China. Int. J. Climatol. 2011, 31, 2006–2020. [Google Scholar] [CrossRef]
  62. Jing, W.L.; Yang, Y.P.; Yue, X.F.; Zhao, X.D. A spatial downscaling algorithm for satellite-based precipitation over the Tibetan Platetu based on NDVI, DEM and land surface temperature. Remote Sens. 2016, 8, 655. [Google Scholar] [CrossRef]
Figure 1. Study area and meteorological stations.
Figure 1. Study area and meteorological stations.
Remotesensing 15 02407 g001
Figure 2. The flowchart of the merging framework.
Figure 2. The flowchart of the merging framework.
Remotesensing 15 02407 g002
Figure 3. Spatial patterns of average error for different precipitation estimates (RESF-Kriging* means the result of RESF-Kriging at a spatial resolution of 10 km).
Figure 3. Spatial patterns of average error for different precipitation estimates (RESF-Kriging* means the result of RESF-Kriging at a spatial resolution of 10 km).
Remotesensing 15 02407 g003
Figure 4. Daily precipitation estimates at different stations ((an) mean the different stations that selected randomly from the total available stations).
Figure 4. Daily precipitation estimates at different stations ((an) mean the different stations that selected randomly from the total available stations).
Remotesensing 15 02407 g004
Figure 5. Comparison between the RESF–Kriging estimates and the MSWEP ((an) mean the different stations that selected randomly from the total available stations).
Figure 5. Comparison between the RESF–Kriging estimates and the MSWEP ((an) mean the different stations that selected randomly from the total available stations).
Remotesensing 15 02407 g005
Figure 6. The basin-average error over four example days ((a): CC; (b): MAE; (c): RMSE; (d): Pbias; (e): KGE).
Figure 6. The basin-average error over four example days ((a): CC; (b): MAE; (c): RMSE; (d): Pbias; (e): KGE).
Remotesensing 15 02407 g006
Figure 7. The spatial distributions of daily precipitation estimates on: (a) 22 January; (b) 12 April; (c) 1 July; (d) 20 October.
Figure 7. The spatial distributions of daily precipitation estimates on: (a) 22 January; (b) 12 April; (c) 1 July; (d) 20 October.
Remotesensing 15 02407 g007
Figure 8. Spatial distributions of daily precipitation estimates based on MSWEP ((a) 22 January; (b) 12 April; (c) 1 July; (d) 20 October) and RESF–Kriging ((e) 22 January; (f) 12 April; (g) 1 July; (h) 20 October).
Figure 8. Spatial distributions of daily precipitation estimates based on MSWEP ((a) 22 January; (b) 12 April; (c) 1 July; (d) 20 October) and RESF–Kriging ((e) 22 January; (f) 12 April; (g) 1 July; (h) 20 October).
Remotesensing 15 02407 g008
Disclaimer/Publisher’s Note: The statements, opinions and data contained in all publications are solely those of the individual author(s) and contributor(s) and not of MDPI and/or the editor(s). MDPI and/or the editor(s) disclaim responsibility for any injury to people or property resulting from any ideas, methods, instructions or products referred to in the content.

Share and Cite

MDPI and ACS Style

Zhao, N. A Method for Merging Multi-Source Daily Satellite Precipitation Datasets and Gauge Observations over Poyang Lake Basin, China. Remote Sens. 2023, 15, 2407. https://doi.org/10.3390/rs15092407

AMA Style

Zhao N. A Method for Merging Multi-Source Daily Satellite Precipitation Datasets and Gauge Observations over Poyang Lake Basin, China. Remote Sensing. 2023; 15(9):2407. https://doi.org/10.3390/rs15092407

Chicago/Turabian Style

Zhao, Na. 2023. "A Method for Merging Multi-Source Daily Satellite Precipitation Datasets and Gauge Observations over Poyang Lake Basin, China" Remote Sensing 15, no. 9: 2407. https://doi.org/10.3390/rs15092407

APA Style

Zhao, N. (2023). A Method for Merging Multi-Source Daily Satellite Precipitation Datasets and Gauge Observations over Poyang Lake Basin, China. Remote Sensing, 15(9), 2407. https://doi.org/10.3390/rs15092407

Note that from the first issue of 2016, this journal uses article numbers instead of page numbers. See further details here.

Article Metrics

Back to TopTop