Sign in to use this feature.

Years

Between: -

Subjects

remove_circle_outline
remove_circle_outline
remove_circle_outline
remove_circle_outline
remove_circle_outline
remove_circle_outline
remove_circle_outline
remove_circle_outline
remove_circle_outline

Journals

remove_circle_outline
remove_circle_outline
remove_circle_outline
remove_circle_outline
remove_circle_outline
remove_circle_outline

Article Types

Countries / Regions

remove_circle_outline
remove_circle_outline
remove_circle_outline
remove_circle_outline
remove_circle_outline

Search Results (396)

Search Parameters:
Keywords = dynamic SNR

Order results
Result details
Results per page
Select all
Export citation of selected articles as:
22 pages, 1119 KB  
Article
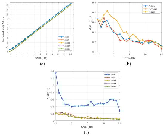
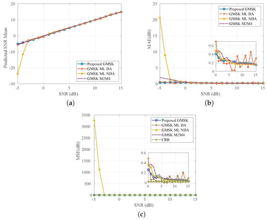
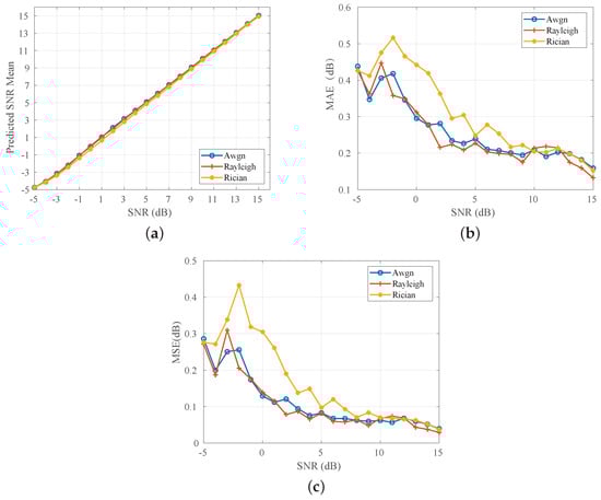
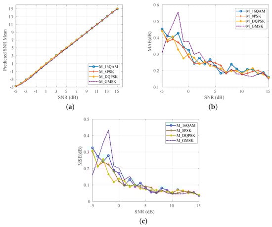
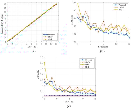
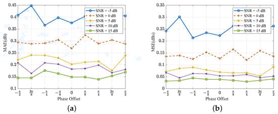
Robust SNR Estimation Based on Time–Frequency Analysis and Residual Blocks
by Longqing Li, Wenjun Xie, Deming Hu, Jingke Nie, Fei Xie, Zhiping Huang and Yongjie Zhao
Signals 2026, 7(2), 23; https://doi.org/10.3390/signals7020023 - 4 Mar 2026
Abstract
Signal-to-noise ratio (SNR) estimation plays a crucial role in communication systems, directly impacting the quality and reliability of signal transmission. This paper proposes a novel deep learning framework aimed at enhancing the accuracy and robustness of SNR estimation. The framework converts received signals [...] Read more.
Signal-to-noise ratio (SNR) estimation plays a crucial role in communication systems, directly impacting the quality and reliability of signal transmission. This paper proposes a novel deep learning framework aimed at enhancing the accuracy and robustness of SNR estimation. The framework converts received signals into time–frequency matrices as feature inputs, effectively capturing both temporal and spectral characteristics through time–frequency analysis. Extensive experimental results across an SNR range of −5 dB to 15 dB demonstrate that our method achieves a mean squared error (MSE) that closely approaches the theoretical Cramér–Rao bound (CRB), comparable to data-aided (DA) maximum likelihood methods. A quantitative analysis reveals that, even under challenging conditions, such as a low SNR of −5 dB, the model maintains superior accuracy with a mean absolute error (MAE) as low as 0.352, significantly outperforming traditional M2M4 and NDA estimators. The model’s performance was systematically evaluated in a wide range of scenarios, encompassing various signal modulation formats, upsampling factors, multipath fading channels, frequency offsets, phase shifts, and roll-off factors. The evaluation highlights its exceptional generalization capability and robustness, with high performance and stability maintained even in challenging and dynamic environments. Full article
Show Figures

Figure 1

27 pages, 827 KB  
Article
Deep Learning-Enabled LoRa-JSCC for Efficient and Reliable Multivariate Sensor Data Transmission in IoT Environments
by Fatimah Alghamdi and Fuad Bajaber
Electronics 2026, 15(5), 1040; https://doi.org/10.3390/electronics15051040 - 2 Mar 2026
Abstract
Integrating Joint Source–Channel Coding (JSCC) with the LoRa Chirp Spread Spectrum (CSS) physical layer (PHY) presents a significant challenge due to the complexity of joint optimization, which remains underexplored despite the known advantages of JSCC. Traditional LoRa systems rely on decoupled source and [...] Read more.
Integrating Joint Source–Channel Coding (JSCC) with the LoRa Chirp Spread Spectrum (CSS) physical layer (PHY) presents a significant challenge due to the complexity of joint optimization, which remains underexplored despite the known advantages of JSCC. Traditional LoRa systems rely on decoupled source and channel coding, resulting in redundant overhead and limited adaptability under dynamic Wireless Body Area Network (WBAN) conditions. To address these limitations, we propose a novel LoRa–JSCC framework: a fully learned, end-to-end differentiable architecture that jointly optimizes source compression and channel redundancy. The proposed system integrates a Denoising Autoencoder (DAE) for non-linear source compression with learned neural channel encoder and decoder modules, trained via backpropagation to minimize reconstruction distortion under noisy channel conditions. Rigorous Monte Carlo simulations conducted under unified and reproducible channel conditions demonstrate consistent performance improvements across LoRa configurations. The proposed approach achieves an average 25–30% improvement in goodput across moderate-to-high SNR regimes, with gains exceeding 100% under noise-limited conditions. It further reduces Time on Air (ToA) by approximately 30–35%, enhancing spectral efficiency and lowering effective energy cost per delivered bit. In the transitional Bit Error Rate (BER) region, the proposed LoRa–JSCC framework exhibits an effective SNR gain of approximately 18–20 dB relative to conventional LoRa, corresponding to multiple orders-of-magnitude reduction in BER. These results indicate substantial improvements in reliability, coverage robustness, and energy efficiency for WBAN and IoT deployments. Full article
Show Figures

Figure 1

28 pages, 6243 KB  
Article
Research on Control Strategy of Electromagnetic Pneumatic System Based on Fuzzy PID and Exploration of Flow Estimation Method for IWT
by Yitong Qin, Fangping Huang, Zongcai Ma, Zhenyu Fan, Jiayong Xia and Hongbai Yin
Actuators 2026, 15(3), 141; https://doi.org/10.3390/act15030141 - 2 Mar 2026
Abstract
Accurate real-time pneumatic flow estimation offers a cost-effective alternative to expensive, bulky flow meters, yet persistent challenges stem from complex valve environments, high nonlinearity, and stringent precision requirements. This paper introduces a novel control framework integrating fuzzy PID dynamic tuning with adaptive wavelet [...] Read more.
Accurate real-time pneumatic flow estimation offers a cost-effective alternative to expensive, bulky flow meters, yet persistent challenges stem from complex valve environments, high nonlinearity, and stringent precision requirements. This paper introduces a novel control framework integrating fuzzy PID dynamic tuning with adaptive wavelet threshold denoising, synergistically optimizing fuzzy PID and improved wavelet transform (IWT) to simultaneously enhance control accuracy and signal quality. Experimental validation demonstrates a 35% reduction in spool displacement overshoot versus conventional PID control. IWT integration improves flow estimation signal-to-noise ratio (SNR) by 65% relative to hard/soft thresholding methods while reducing root mean square error (RMSE) by 49%. The approach significantly outperforms mainstream techniques in dynamic response and noise immunity, enabling precise proportional valve flow measurement. This algorithm-driven strategy replaces high-cost sensors, reducing industrial maintenance requirements. Especially applicable to electromagnetic pneumatic systems in harsh environments, it establishes a reliable framework for proportional valve flow control. Full article
(This article belongs to the Section Control Systems)
Show Figures

Figure 1

20 pages, 11664 KB  
Article
A Rolling Bearing Fault Diagnosis Method Based on the STRN-CM Model
by Shiyou Xu, Wei Zhang, Shan Pang, Shenglin Wu, Rongzhen Zhao, Yijuan Qin and Pinshuo Guo
Machines 2026, 14(3), 279; https://doi.org/10.3390/machines14030279 - 2 Mar 2026
Abstract
The operational safety of rotating machinery heavily relies on the condition of its rolling bearings. However, under strong background noise and variable operating conditions, weak fault-induced impact responses are easily overwhelmed. To address these challenges, this paper proposes a dual-branch cross-modal fault diagnosis [...] Read more.
The operational safety of rotating machinery heavily relies on the condition of its rolling bearings. However, under strong background noise and variable operating conditions, weak fault-induced impact responses are easily overwhelmed. To address these challenges, this paper proposes a dual-branch cross-modal fault diagnosis framework (STRN-CM) that integrates a Swin Transformer with a one-dimensional wide-kernel deep residual network (1D ResNet). The model develops a complementary structure of heterogeneous features. The enhanced 1D ResNet branch responds directly to the passage of volatile impulse features, which can detect early errors through raw vibrations. The Swin Transformer branch captures long-term periodic texture windows by using time–frequency images, which have an important dependence on time. Also, a Cross-Modal Attention Fusion (CMAF) scheme is introduced. Using high signal-to-noise ratio (SNR) temporal impulse features as query probes, the mechanism dynamically calibrates the response weights of time–frequency features, thereby achieving adaptive denoising and enhancement at the feature level. Experimental results demonstrate that STRN-CM achieves a diagnostic accuracy of 93.04% in harsh −6 dB noise conditions on the Case Western Reserve University (CWRU) dataset. Furthermore, it achieves a 97.99% accuracy on the Paderborn University (PU) dataset, showcasing superior generalization in cross-load and real fatigue damage transfer tasks. It also demonstrates significantly better generalization performance than single-modal networks in cross-load and real fatigue damage transfer tasks. Full article
(This article belongs to the Section Machines Testing and Maintenance)
16 pages, 3216 KB  
Article
Chaotic Fiber Laser-Based Distributed Fiber Sensing for Weak Vibration Detection Using Machine Learning
by Weicheng Zheng, Yiwei Chen, Haoran Pan, Xiangkun Ma, Jiahua Xu, Junmin Liu and Chunxiang Zhang
Photonics 2026, 13(3), 243; https://doi.org/10.3390/photonics13030243 - 2 Mar 2026
Viewed by 87
Abstract
To address the challenge of weak vibration signal detection, we propose a chaotic fiber laser-based distributed sensing system integrated with machine learning-assisted signal extraction. The system combines a chaotic fiber laser with a linear non-balanced Sagnac interferometer, enabling high sensitivity to external perturbations [...] Read more.
To address the challenge of weak vibration signal detection, we propose a chaotic fiber laser-based distributed sensing system integrated with machine learning-assisted signal extraction. The system combines a chaotic fiber laser with a linear non-balanced Sagnac interferometer, enabling high sensitivity to external perturbations while effectively suppressing reciprocal effects of traditional ring interferometer systems. A convolutional neural network (CNN) is employed to directly learn and extract discriminative vibration features from the chaotic sensing signals, facilitated by phase space reconstruction (PSR), which preserves the system’s intrinsic dynamics under extreme noise. By jointly exploiting the broadband, noise-like characteristics of chaotic laser sensing, and the nonlinear feature extraction capability of CNNs, the proposed system enables reliable detection of weak vibration signals under ultra-low signal-to-noise ratio (SNR) conditions, down to −22 dB. Experimental results demonstrate a weak frequency detection ranging from 0.1 Hz to 10 kHz, with significantly enhanced sensitivity and bandwidth compared with conventional signal processing-based methods. Full article
(This article belongs to the Special Issue Fiber Optics and Fiber Lasers)
Show Figures

Figure 1

34 pages, 8585 KB  
Article
A Hybrid Intelligent Fault Diagnosis Framework for Rolling Bearings and Gears Based on BAYES-ICEEMDAN-SNR Feature Enhancement and ITOC-LSSVM
by Xiaoxu He, Xingwei Ge, Zhe Wu, Qiang Zhang, Yiying Yang and Yachao Cao
Sensors 2026, 26(5), 1543; https://doi.org/10.3390/s26051543 - 28 Feb 2026
Viewed by 167
Abstract
To address the challenges of difficult feature extraction for rolling bearing vibration signals, low efficiency in optimizing diagnostic model parameters, and the tendency to get trapped in local optima, this paper proposes an improved ICEEMDAN feature extraction method based on Bayesian optimization and [...] Read more.
To address the challenges of difficult feature extraction for rolling bearing vibration signals, low efficiency in optimizing diagnostic model parameters, and the tendency to get trapped in local optima, this paper proposes an improved ICEEMDAN feature extraction method based on Bayesian optimization and adaptive noise signal ratio enhancement (BAYES-ICEEMDAN-SNR) and combines it with the improved Coriolis force optimization algorithm (ITOC) to optimize the least squares support vector machine (LSSVM) fault diagnosis model. Firstly, Bayesian optimization is used to adaptively determine the noise parameters and introduce a dynamic signal-to-noise ratio adjustment mechanism to enhance the robustness of feature extraction; secondly, Chebyshev chaotic mapping, Cauchy mutation, and dynamic reverse learning strategies are applied to enhance the global search and local escape capabilities of ITOC, thereby optimizing the hyperparameters of LSSVM; and finally, the Keesey-Chestnut University bearing dataset and Huazhong University of Science and Technology gear dataset are used for verification. The experimental results show that the average fault identification accuracy of the proposed method reaches over 97%, which is superior to that of the comparison models, and the effectiveness of each core improvement module of the proposed model is verified through ablation experiments, providing an effective solution for intelligent fault diagnosis of rolling bearings and gears. Full article
(This article belongs to the Section Fault Diagnosis & Sensors)
Show Figures

Figure 1

19 pages, 4992 KB  
Article
Research on Denoising Methods for Laser Doppler Blood Flow Signals Based on Time-Domain Noise Perception and DWT
by Quanxin Sun, Jie Duan, Hui Guo and Aoyan Guo
Sensors 2026, 26(5), 1500; https://doi.org/10.3390/s26051500 - 27 Feb 2026
Viewed by 129
Abstract
Addressing the challenges of composite noise (speckle noise, thermal noise, and random pulse interference) and non-stationarity in laser Doppler flow (LDF) signal processing, as well as the technical limitation of traditional threshold methods in balancing noise suppression and signal fidelity, this study proposes [...] Read more.
Addressing the challenges of composite noise (speckle noise, thermal noise, and random pulse interference) and non-stationarity in laser Doppler flow (LDF) signal processing, as well as the technical limitation of traditional threshold methods in balancing noise suppression and signal fidelity, this study proposes an adaptive denoising algorithm integrating temporal noise perception and discrete wavelet transform (DWT). A composite noise model is first established to characterize the interference. The signal undergoes a five-level DWT decomposition, where a local energy detection mechanism distinguishes signal-dominant from noise-dominant regions. An SNR-driven dynamic thresholding strategy is generated by combining inter-layer adaptive allocation with coefficient-level local weighting, followed by processing with an improved smoothing function to effectively suppress reconstruction artifacts. Simulations at a 1 dB input signal-to-noise ratio (SNR) yielded a 15.45 dB output SNR and a 0.05634 root mean square error (RMSE), outperforming traditional wavelet methods and modern benchmarks such as local variance and variational mode decomposition (VMD). Applied to a practical signal from an isolated vascular phantom with an initial SNR of 1.04 dB, the algorithm achieved a 13.86 dB output SNR and a 0.00258 RMSE. Results confirm the algorithm’s effectiveness for high-fidelity waveform capture in complex noise environments, offering a robust solution for vascular hemodynamic monitoring Full article
(This article belongs to the Special Issue Advanced Biomedical Imaging and Signal Processing)
Show Figures

Figure 1

19 pages, 6736 KB  
Article
Eigenbased Multi-Antenna Spectrum Sensing: Experimental Validation on a Software-Defined Radio Testbed
by Daniel Gaetano Riviello and Giusi Alfano
Sensors 2026, 26(5), 1406; https://doi.org/10.3390/s26051406 - 24 Feb 2026
Viewed by 210
Abstract
Spectrum Sensing (SS) is expected to play a crucial role in forthcoming 6G Cognitive Radio Networks (CRNs), where unlicensed users will be able to dynamically access the spectrum and perform opportunistic transmissions without generating interference for licensed users. In this work, we investigate [...] Read more.
Spectrum Sensing (SS) is expected to play a crucial role in forthcoming 6G Cognitive Radio Networks (CRNs), where unlicensed users will be able to dynamically access the spectrum and perform opportunistic transmissions without generating interference for licensed users. In this work, we investigate multiple-antenna SS techniques by analyzing the performance of several widely used detection schemes—namely, Roy’s Largest Root Test (RLRT), the Generalized Likelihood Ratio Test (GLRT), the Eigenvalue Ratio Detector (ERD), and the Energy Detector (ED)—under varying false-alarm probabilities and signal-to-noise ratios (SNRs). We assume there are a fixed number of sensors at the secondary-user receiver, namely, four. To evaluate the behavior of these detectors in realistic conditions, we developed a software-defined radio (SDR) testbed using Universal Software Radio Peripherals (USRPs), enabling both primary-user signal transmission and secondary-user data acquisition. The experimental results, illustrated through Receiver Operating Characteristic (ROC) and performance curves, are compared with simulation outcomes. The analysis is complemented by a detailed state-of-the-art listing of the available analytical characterizations of the false-alarm probabilities for the considered SS schemes. In particular, the GLRT false-alarm probability, previously unavailable in explicit form for a four-antenna equipped receiver, is computed as well. These results validate the superior detection capability of RLRT over the other schemes tested, confirming its effectiveness not only in theoretical analysis but also in practical SDR-based implementations. Full article
(This article belongs to the Special Issue Wireless Propagation in Integrated Sensing and Communication Systems)
Show Figures

Figure 1

20 pages, 13517 KB  
Article
Dual-Readout Self-Resetting CMOS Image Sensor for Resolving Sub-Percent Optical Contrast in Biomedical Imaging
by Kiyotaka Sasagawa, Subaru Iwaki, Kenji Morimoto, Ryoma Okada, Hironari Takehara, Makito Haruta, Hiroyuki Tashiro and Jun Ohta
Sensors 2026, 26(4), 1396; https://doi.org/10.3390/s26041396 - 23 Feb 2026
Viewed by 350
Abstract
We report a dual-readout self-resetting CMOS image sensor that achieves a signal-to-noise ratio (SNR) exceeding 70 dB and resolves sub-percent optical contrast variations by effectivly suppressing reset artifacts. The proposed sensor employs a Dual-Readout architecture with two independent scanners operating with a temporal [...] Read more.
We report a dual-readout self-resetting CMOS image sensor that achieves a signal-to-noise ratio (SNR) exceeding 70 dB and resolves sub-percent optical contrast variations by effectivly suppressing reset artifacts. The proposed sensor employs a Dual-Readout architecture with two independent scanners operating with a temporal offset; while one readout system is in the self-reset “dead time”, the other remains active, thereby physically ensuring continuous data acquisition. To minimize pixel area while achieving high reconstruction accuracy, a minimum frame-to-frame difference algorithm is utilized for signal restoration without requiring in-pixel counters. A prototype chip fabricated in a 0.35-μm process demonstrated SNR characteristics near the shot-noise limit, with a peak SNR exceeding 70 dB. Vascular phantom experiments using a carbon black suspension successfully visualized ±0.25% contrast fluctuations—dynamic signals previously undetectable by conventional sensors. This device provides a powerful platform for high-precision bio-imaging applications, including brain surface blood flow monitoring, where both wide dynamic range and high SNR are essential. Full article
(This article belongs to the Section Optical Sensors)
Show Figures

Figure 1

20 pages, 2667 KB  
Article
AEFSNN: Adaptive Filtering Spiking Neural Network for Event-Based Sensors
by Yue Xu, Ye Zhao, Yumeng Ren, Long Chen, Liang Chen, Yulin Zhang and Shushan Qiao
Appl. Sci. 2026, 16(4), 2073; https://doi.org/10.3390/app16042073 - 20 Feb 2026
Viewed by 236
Abstract
Dynamic Vision Sensor (DVS) is an event-based imaging technology inspired by biological photoreceptors, which holds great promise for edge computing. The event streams produced by DVS are often contaminated by Background Activity (BA) noise and hot-pixel noise, which degrade downstream processing. Existing filters [...] Read more.
Dynamic Vision Sensor (DVS) is an event-based imaging technology inspired by biological photoreceptors, which holds great promise for edge computing. The event streams produced by DVS are often contaminated by Background Activity (BA) noise and hot-pixel noise, which degrade downstream processing. Existing filters typically use fixed parameters, resulting in poor adaptability to changing illumination. In this paper, we propose a lightweight Adaptive Event-based Filtering Spiking Neural Network (AEFSNN) to address these limitations. Inspired by homeostatic plasticity, AEFSNN dynamically adjusts neuronal thresholds by monitoring the input-to-output spike ratio, allowing the network to autonomously converge to an optimal operating point across different lighting conditions. Furthermore, we introduce a novel neuronal wake-up mechanism that inhibits processing neurons until triggered by valid input, which effectively suppresses redundant events generated by neighboring activity. Experiments show that AEFSNN is more robust under varying illumination. Compared with current filters, our method increases the Signal-to-Noise Ratio (SNR) of the output data by 1.42–2.33 dB. Additionally, the filtered data improves classification accuracy on downstream tasks, validating its practical value for neuromorphic vision systems. Full article
Show Figures

Figure 1

25 pages, 6684 KB  
Article
Physics-Guided Dynamic Sparse Attention Network for Gravitational Wave Detection Across Ground and Space-Based Observatories
by Tiancong Zhang and Wei Bian
Electronics 2026, 15(4), 838; https://doi.org/10.3390/electronics15040838 - 15 Feb 2026
Viewed by 233
Abstract
Ground-based and space-based gravitational wave (GW) detectors cover complementary frequency bands, laying the foundation for future multi-band collaborative observations. Detecting weak signals within non-stationary noise remains challenging. To address this, we propose a Physics-Guided Dynamic Sparse Attention (PGDSA) framework. The framework introduces a [...] Read more.
Ground-based and space-based gravitational wave (GW) detectors cover complementary frequency bands, laying the foundation for future multi-band collaborative observations. Detecting weak signals within non-stationary noise remains challenging. To address this, we propose a Physics-Guided Dynamic Sparse Attention (PGDSA) framework. The framework introduces a differentiable wavelet layer to explicitly embed sensitive frequency bands and time–frequency priors while utilizing intra-block Top-K sparse attention for efficient long-range temporal modeling. Training is performed on space-based simulation data with joint optimization for signal detection and waveform reconstruction. We then evaluate detection performance and zero-shot transfer capability on ground-based data. Experimental results show that PGDSA achieves an ROC-AUC of 0.886 on the Kaggle G2Net private leaderboard. On GWOSC O3 real data, the model yields high confidence scores for confirmed binary black hole events. On LISA simulation data, the framework achieves detection rates exceeding 99% for multiple signal types (SNR = 50, FAR = 1%) with waveform reconstruction Overlap comparable to baseline methods. These results demonstrate that PGDSA enables unified modeling across both space-based and ground-based scenarios. Full article
Show Figures

Figure 1

15 pages, 4202 KB  
Article
State of Health Evaluation of Lithium-Ion Batteries Using the Statistical Properties of the Voltage
by Abdelilah Hammou, Raffaele Petrone, Demba Diallo, Claude Delpha and Hamid Gualous
Entropy 2026, 28(2), 221; https://doi.org/10.3390/e28020221 - 14 Feb 2026
Viewed by 260
Abstract
Conventional indicators of battery health, such as capacity and energy, are difficult to measure directly and are therefore often estimated. This article proposes assessing lithium-ion battery health using the statistical properties of the voltage across the battery terminals, a measurement already available in [...] Read more.
Conventional indicators of battery health, such as capacity and energy, are difficult to measure directly and are therefore often estimated. This article proposes assessing lithium-ion battery health using the statistical properties of the voltage across the battery terminals, a measurement already available in battery management systems. The evolution of the voltage probability density function during the cycle is assessed using Kullback–Leibler divergence (KLD) as a health indicator. It is studied for two battery chemistries (Lithium iron Phosphate (LFP) and Nickel Manganese Cobalt (NMC)). The batteries are subjected to cycles with a dynamic current profile derived from globally harmonised test cycles for light vehicles (WLTC). Spearman’s correlation coefficients, above 86% for NMC cells and 74% for LFP cells, also indicate that this new health indicator is strongly correlated with conventional measurements of battery health (capacity or energy). The analysis also shows that the divergence not only closely follows the degradation trend even at high noise levels (SNR = 10 dB) but is also insensitive to noise levels higher than 30 dB. Full article
Show Figures

Figure 1

29 pages, 8492 KB  
Article
Dual-Stream Hybrid Attention Network for Robust Intelligent Spectrum Sensing
by Bixue Song, Yongxin Feng, Fan Zhou and Peiying Zhang
Computers 2026, 15(2), 120; https://doi.org/10.3390/computers15020120 - 11 Feb 2026
Viewed by 187
Abstract
UAV communication, leveraging high mobility and flexible deployment, is gradually becoming an important component of 6G integrated air–ground networks. With the expansion of aerial services, air–ground spectrum resources are increasingly scarce, and spectrum sharing and opportunistic access have become key technologies for improving [...] Read more.
UAV communication, leveraging high mobility and flexible deployment, is gradually becoming an important component of 6G integrated air–ground networks. With the expansion of aerial services, air–ground spectrum resources are increasingly scarce, and spectrum sharing and opportunistic access have become key technologies for improving spectrum utilization. Spectrum sensing is the prerequisite for UAVs to perform dynamic access and avoid causing interference to primary users. However, in air–ground links, the channel time variability caused by Doppler effects, carrier frequency offset, and Rician fading can weaken feature separability, making it difficult for deep learning-based spectrum sensing methods to maintain reliable detection in complex environments. In this paper, a dual-stream hybrid-attention spectrum sensing method (DSHA) is proposed, which represents the received signal simultaneously as a time-domain I/Q sequence and an STFT time-frequency map to extract complementary features and employs a hybrid attention mechanism to model key intra-branch dependencies and achieve inter-branch interaction and fusion. Furthermore, a noise-consistent paired training strategy is introduced to mitigate the bias induced by noise randomness, thereby enhancing weak-signal discrimination capability. Simulation results show that under different false-alarm constraints, the proposed method achieves higher detection probability in low-SNR scenarios as well as under fading and CFO perturbations. In addition, compared with multiple typical baselines, DSHA exhibits better robustness and generalization; under Rician channels, its detection probability is improved by about 28.6% over the best baseline. Full article
(This article belongs to the Special Issue Wireless Sensor Networks in IoT)
Show Figures

Figure 1

24 pages, 6456 KB  
Article
Measurement-Based Modeling of Large-Scale and Time-Varying Small-Scale Fading for LoRa in Indoor Multi-Floor Environments
by Gabriel Nascimento Lira, Danilo Brito Teixeira de Almeida, Daniel da Silva Sarmento, João Victor Gadelha Cavalcante Ciraulo, Fabricio Braga Soares de Carvalho and Waslon Terllizzie Araújo Lopes
Sensors 2026, 26(4), 1152; https://doi.org/10.3390/s26041152 - 10 Feb 2026
Viewed by 405
Abstract
The deployment of robust Internet of Things (IoT) networks within smart buildings requires a thorough understanding of radio propagation in complex indoor environments. Long Range (LoRa) technology is a promising solution for such applications due to its long range and low power consumption. [...] Read more.
The deployment of robust Internet of Things (IoT) networks within smart buildings requires a thorough understanding of radio propagation in complex indoor environments. Long Range (LoRa) technology is a promising solution for such applications due to its long range and low power consumption. However, its performance in multi-floor structures is heavily influenced by site-specific propagation conditions. This paper presents an empirical characterization of LoRa signal propagation at 433 MHz within a four-story university building. Extensive measurements of Received Signal Strength Indicator (RSSI) and Signal-to-Noise Ratio (SNR) were conducted to model both large-scale and small-scale fading effects. A log-distance path loss model with a Floor Attenuation Factor (FAF) was derived, yielding a path loss exponent of n=2.53, an FAF of 5.52 dB per floor, and a log-normal shadowing standard deviation of σ=6.93 dB. Time-varying small-scale fading was successfully characterized by a Markov-modulated process (Markov Small-Scale Fading). Furthermore, a non-linear relationship between RSSI and SNR was identified and modeled using a four-parameter logistic function, revealing a dynamic range of approximately 30 dB for the transceivers and a minimum measurable RSSI of −125 dBm. The results validate the proposed models and demonstrate that LoRa can provide reliable, building-wide wireless sensor coverage, offering essential guidelines for the planning and deployment of indoor IoT infrastructure in multi-floor environments. Full article
Show Figures

Figure 1

47 pages, 2396 KB  
Article
Adaptive Multi-Stage Hybrid Localization for RIS-Aided 6G Indoor Positioning Systems: Combining Fingerprinting and Geometric Methods with Condition-Aware Fusion
by Iacovos Ioannou, Vasos Vassiliou and Marios Raspopoulos
Sensors 2026, 26(4), 1084; https://doi.org/10.3390/s26041084 - 7 Feb 2026
Viewed by 241
Abstract
Reconfigurable intelligent surfaces (RISs) represent a paradigm shift in wireless communications, offering unprecedented control over electromagnetic wave propagation for next-generation 6G networks. This paper presents a comprehensive framework for high-precision indoor localization exploiting cooperative multi-RIS deployments. We introduce the adaptive multi-stage hybrid localization [...] Read more.
Reconfigurable intelligent surfaces (RISs) represent a paradigm shift in wireless communications, offering unprecedented control over electromagnetic wave propagation for next-generation 6G networks. This paper presents a comprehensive framework for high-precision indoor localization exploiting cooperative multi-RIS deployments. We introduce the adaptive multi-stage hybrid localization (AMSHL) algorithm, a novel approach that strategically combines fingerprinting-based and geometric time-difference-of-arrival (TDoA) methods through condition-aware adaptive fusion. The proposed framework employs a 4-RIS cooperative architecture with strategically positioned panels on room walls, enabling comprehensive spatial coverage and favorable geometric diversity. AMSHL incorporates five key innovations: (1) a hybrid fingerprint database combining received signal strength indicator (RSSI) and TDoA features for enhanced location distinctiveness; (2) a multi-stage cascaded refinement process progressing from coarse fingerprinting initialization through to iterative geometric optimization; (3) an adaptive fusion mechanism that dynamically adjusts algorithm weights based on real-time channel quality assessment including signal-to-noise ratio (SNR) and geometric dilution of precision (GDOP); (4) a robust iteratively reweighted least squares (IRLS) solver with Huber M-estimation for outlier mitigation; and (5) Bayesian regularization incorporating fingerprinting estimates as informative priors. Comprehensive Monte Carlo simulations at 3.5 GHz carrier frequency with 400 MHz bandwidth demonstrate that AMSHL achieves a median localization error of 0.661 m, root-mean-squared error (RMSE) of 1.54 m, and mean-squared error (MSE) of 2.38 m2, with 87.5% probability of sub-2m accuracy, representing a 4.9× improvement over conventional hybrid fingerprinting in median error and a 7.1× reduction in MSE (from 16.83 m2 to 2.38 m2). An optional sigmoid-based fusion variant (AMSHL-S) further improves sub-2m accuracy to 89.4% by eliminating discrete switching artifacts. Furthermore, we provide theoretical analysis including Cramér–Rao lower bound (CRLB) derivation with an empirical MSE comparison to quantify the gap between practical algorithm performance and theoretical bounds (MSE-to-CRLB ratio of approximately 4.0×104), as well as a computational complexity assessment. All reported metrics have been cross-validated for internal consistency across formulas, tables, and textual descriptions; improvement factors and error statistics are verified against primary simulation outputs to ensure reproducibility. The complete simulation framework is made publicly available to facilitate reproducible research in RIS-aided positioning systems. Full article
(This article belongs to the Special Issue Indoor Localization Techniques Based on Wireless Communication)
Show Figures

Graphical abstract

Back to TopTop