Sign in to use this feature.

Years

Between: -

Subjects

remove_circle_outline
remove_circle_outline
remove_circle_outline
remove_circle_outline
remove_circle_outline
remove_circle_outline
remove_circle_outline
remove_circle_outline
remove_circle_outline

Journals

remove_circle_outline
remove_circle_outline
remove_circle_outline
remove_circle_outline
remove_circle_outline
remove_circle_outline
remove_circle_outline
remove_circle_outline
remove_circle_outline
remove_circle_outline
remove_circle_outline
remove_circle_outline
remove_circle_outline
remove_circle_outline
remove_circle_outline
remove_circle_outline
remove_circle_outline
remove_circle_outline
remove_circle_outline
remove_circle_outline
remove_circle_outline
remove_circle_outline
remove_circle_outline
remove_circle_outline
remove_circle_outline
remove_circle_outline

Article Types

Countries / Regions

remove_circle_outline
remove_circle_outline
remove_circle_outline
remove_circle_outline
remove_circle_outline
remove_circle_outline

Search Results (1,695)

Search Parameters:
Keywords = dropout

Order results
Result details
Results per page
Select all
Export citation of selected articles as:
31 pages, 7962 KB  
Article
Study on a Process Parameter-Driven Deep Learning Prediction Model for Multi-Physical Fields in Flange Shaft Welding
by Chaolong Yang, Zhiqiang Xu, Feiting Shi, Ketong Liu and Peng Cao
Materials 2026, 19(5), 995; https://doi.org/10.3390/ma19050995 (registering DOI) - 4 Mar 2026
Abstract
Large flange shafts are the core load-bearing and connecting components of high-end equipment, and their welding multi-physical fields directly affect the quality and service safety of the components. Traditional experiments and finite element methods suffer from long cycles and low efficiency, which can [...] Read more.
Large flange shafts are the core load-bearing and connecting components of high-end equipment, and their welding multi-physical fields directly affect the quality and service safety of the components. Traditional experiments and finite element methods suffer from long cycles and low efficiency, which can hardly meet the demand for rapid prediction. Aiming at the fast and accurate prediction of welding temperature, deformation and residual stress, this study combines thermal–mechanical coupled finite element simulation with machine learning to construct and compare a variety of prediction models. A dataset is built based on simulation data from 100 groups of process parameters. Overfitting is reduced through strategies including early stopping and dropout, and models such as MLP, RF, RBF-SVR, TabNet, XGBoost, and FT-Transformer are established and verified through 10-fold cross-validation. The results show that the MLP model performs best in the prediction of temperature, deformation and residual stress, and is in good agreement with the simulation values. The prediction errors of the peak temperature of the weld and base metal are below 5%, and the errors of deformation and residual stress are controlled within 10%. The average error of peak residual stress is about 6 MPa, and the deviation of most samples is less than 5 MPa. The RF model ranks second in accuracy, with an average error of about 6.5 MPa for peak residual stress, showing a satisfactory interpretability and engineering applicability. RBF-SVR and TabNet can meet basic prediction requirements. Under the small-sample condition in this work, XGBoost and FT-Transformer present relatively large errors and a weak generalization ability, making it difficult to achieve high-precision prediction. The MLP model established in this paper can effectively reproduce the evolution of welding multi-physical fields and supports the rapid prediction and process optimization of large flange shaft welding. The generalization ability and practical performance of the model can be further improved by expanding the dataset and experimental verification in the future. Full article
Show Figures

Figure 1

26 pages, 407 KB  
Review
Machine Learning and Deep Learning for Dropout Prediction in Higher Education: A Review
by Beatriz Duro, Anabela Gomes, Fernanda Brito Correia, Ana Rosa Borges and Jorge Bernardino
Computers 2026, 15(3), 164; https://doi.org/10.3390/computers15030164 - 4 Mar 2026
Abstract
Student dropout in Higher Education remains a persistent challenge with significant academic, social and economic consequences. Predictive analytics using traditional Machine Learning and Deep Learning have been increasingly explored to support early identification of students at risk. This article presents a structured literature [...] Read more.
Student dropout in Higher Education remains a persistent challenge with significant academic, social and economic consequences. Predictive analytics using traditional Machine Learning and Deep Learning have been increasingly explored to support early identification of students at risk. This article presents a structured literature review of studies published between 2018 and 2025 that apply these techniques to predict dropout in Higher Education. Unlike previous reviews, we pay particular attention to model interpretability, practical deployment and ethical considerations when analysing data types, preprocessing strategies and modelling approaches. Results show that transparent traditional models, including Decision Trees, Logistic Regression, and ensemble methods such as Random Forest and Gradient Boosting remain dominant because they perform strongly on structured data and are easier to explain. Deep Learning approaches, although less prevalent, show promise for sequential and behavioural data but face challenges in data availability, explainability, and implementation complexity. Despite frequently high reported performance, most studies rely on single-institution datasets, limiting generalisability, and only a minority address fairness, bias, or real-world integration. This analysis concludes that we must transition from accuracy-focused evaluations to transparent, accountable and actionable predictive systems that facilitate data-driven and inclusive decision-making in Higher Education. Full article
Show Figures

Figure 1

20 pages, 4390 KB  
Article
NeuroFusion-ViT: A Hybrid CNN–EVA Transformer Model with Cross-Attention Fusion for MRI-Based Alzheimer’s Stage Classification
by Derya Öztürk Söylemez and Sevinç Ay Doğru
Diagnostics 2026, 16(5), 754; https://doi.org/10.3390/diagnostics16050754 - 3 Mar 2026
Abstract
Background: Alzheimer’s disease is the most common type of dementia and a progressive neurodegenerative disease that begins with neuronal damage and leads to a reduction in brain tissue. Currently, there is no cure for this disease, and existing approaches focus on alleviating symptoms. [...] Read more.
Background: Alzheimer’s disease is the most common type of dementia and a progressive neurodegenerative disease that begins with neuronal damage and leads to a reduction in brain tissue. Currently, there is no cure for this disease, and existing approaches focus on alleviating symptoms. Methods: This study proposes NeuroFusion-ViT, a highly accurate and computationally efficient hybrid deep learning model for early-stage detection of Alzheimer’s disease. The model combines an EVA-02-based Vision Transformer (ViT) with the ConvNeXt-Small CNN architecture, providing powerful representation learning that can process both global context and local details. The proposed Gated Cross-Attention Fusion (G-CAF) mechanism dynamically combines two different features, offering high discriminative power and model stability. Results: In experiments conducted on the OASIS MRI dataset, the model achieved 99.86% accuracy, 0.9989 Macro F1, and 0.999 ROC-AUC values, demonstrating clear superiority over single-modal and hybrid models described in the literature. Furthermore, 5-fold cross-validation results also support the model’s high generalizability. Ablation studies showed that each of the components—cross-attention, gate mechanism, Dual LayerNorm, and FFN-Dropout—made a meaningful contribution to performance. Conclusions: The results demonstrate that the NeuroFusion-ViT architecture offers a reliable, stable, and clinically applicable solution for Alzheimer’s stage classification. Full article
(This article belongs to the Special Issue Alzheimer's Disease Diagnosis Based on Deep Learning)
Show Figures

Figure 1

23 pages, 985 KB  
Article
Integrating Linguistic Semantics and Sentiment for Multimodal Rumor Detection
by Yue Cheng and Zhongliang Wei
Appl. Sci. 2026, 16(5), 2424; https://doi.org/10.3390/app16052424 - 2 Mar 2026
Abstract
With the rapid development of social media, the speed and influence of rumor dissemination continue to increase, posing severe challenges to information environment governance. Existing rumor detection methods still face limitations in multimodal alignment, and emotion modeling, making them insufficient for the Weibo [...] Read more.
With the rapid development of social media, the speed and influence of rumor dissemination continue to increase, posing severe challenges to information environment governance. Existing rumor detection methods still face limitations in multimodal alignment, and emotion modeling, making them insufficient for the Weibo scenario characterized by short texts, heterogeneous modalities, and complex propagation patterns. This paper proposes a multimodal rumor detection framework tailored for Weibo, which jointly models text, image, and social features. Specifically, semantic and emotional sub-channels are designed for both text and image modalities, while social statistical features are introduced as a third modality, resulting in a three-modality, five-branch architecture. In the fusion stage, a gating mechanism combined with modality-level dropout is designed to provide more stable fusion under heterogeneous modalities. Finally, a lightweight feed-forward classifier performs the final prediction. Experimental results on the Weibo dataset demonstrate that the proposed method significantly outperforms mainstream approaches, achieving overall Accuracy = 0.883 and Macro-F1 = 0.883, compared with TRANSFAKE (Accuracy = 0.855) and MPFN (Accuracy = 0.838). In terms of class-specific performance, the model attains the best results on non-rumor detection with Recall = 0.926 and F1 = 0.888, while maintaining the highest Precision = 0.918 for rumor classification, showing a more balanced discriminative ability. Further ablation studies confirm the effectiveness of the proposed fusion mechanism in enhancing model stability and interpretability. The overall framework provides an efficient multimodal solution for rumor detection in social media contexts. Full article
15 pages, 253 KB  
Article
Which Components of Test Anxiety Predict University Dropout?
by Luca Csirmaz and Krisztian Kasos
Youth 2026, 6(1), 29; https://doi.org/10.3390/youth6010029 - 1 Mar 2026
Viewed by 66
Abstract
As test anxiety has evolved conceptually, identifying specific components contributing to educational success is essential. This study is the first to examine how different components of test anxiety are related to university dropout. Hungarian university students were recruited through the university’s website and [...] Read more.
As test anxiety has evolved conceptually, identifying specific components contributing to educational success is essential. This study is the first to examine how different components of test anxiety are related to university dropout. Hungarian university students were recruited through the university’s website and asked to complete a series of online questionnaires at three different points over two years to monitor test anxiety levels and potential dropout or graduation during this period. Of the 98 students who completed assessments at all time points, by the final measurement, 69 had already either graduated or dropped out of their studies. Test anxiety was measured using the multidimensional TAM-C-SF (Test Anxiety Measure for College Students—Short Form). Study dropout was defined as leaving a program before graduation. Task-irrelevant behaviors—a component of test anxiety that includes restless and avoidance behaviors—were significantly associated with dropout. Higher values of cognitive interference were also significantly associated with a higher likelihood of dropout. Task-irrelevant behaviors and cognitive interference might play a key role in academic persistence among university students. These findings highlight the importance of a multidimensional approach to assessing test anxiety and suggest interventional techniques that may help diminish these factors to support students in succeeding in their studies. Full article
34 pages, 463 KB  
Article
Data-Driven Ergonomic Load Dynamics for Human–Autonomy Teams
by Nikitas Gerolimos, Vasileios Alevizos and Georgios Priniotakis
Big Data Cogn. Comput. 2026, 10(3), 74; https://doi.org/10.3390/bdcc10030074 - 28 Feb 2026
Viewed by 61
Abstract
Ergonomic load in human–autonomy teams is commonly treated as a static score or a post-hoc audit, even though modern sensing and communication enable real-time regulation of operator effort. We model ergonomic load as a dissipative dynamical state inferred online from multimodal effort proxies [...] Read more.
Ergonomic load in human–autonomy teams is commonly treated as a static score or a post-hoc audit, even though modern sensing and communication enable real-time regulation of operator effort. We model ergonomic load as a dissipative dynamical state inferred online from multimodal effort proxies and task context, and couple it to autonomy through load-dependent gain moderation and compliance shaping. The method is evaluated on public human–swarm and human–robot interaction traces together with effort-proximal wearable and myographic datasets using a unified, windowed pipeline and controlled stress tests that emulate latency, downsampling, packet loss, and channel dropouts. On a large human–swarm benchmark, the estimator achieves strong discrimination and calibration for rare high-load events (up to AUROC 0.87, AUPRC 0.41, ECE 0.031 at q=0.90) and degrades predictably under delay, with a knee around 300–400ms (AUROC 0.870.80, ECE 0.0310.061 at 500ms). Embedding the estimate in the adaptation schedule reduces overload incidence and oscillatory redistribution while preserving coordination proxies in surrogate closed-loop simulation: overload time drops from 7.8% to 4.1% (relative reduction  47%) with throughput maintained near baseline (1.000.97) and oscillation power reduced (0.260.14) under nominal timing. These results provide a reproducible pathway for making ergonomics a control-relevant feedback signal, together with explicit operational constraints on estimator calibration (target ECE 0.05) and end-to-end latency (effective τ300ms) required to avoid regime switching and maintain stable, interpretable adaptation. Full article
Show Figures

Figure 1

22 pages, 2225 KB  
Article
Uncertainty Assessment of Kick Risk Based on Bayesian-Optimized Deep Learning Models
by Boyi Xia, Chenzhan Zhou, Gang Sun, Hongyu Xie, Haining Liu, Zhaopeng Zhu and Detao Zhou
Processes 2026, 14(5), 800; https://doi.org/10.3390/pr14050800 - 28 Feb 2026
Viewed by 124
Abstract
To accurately quantify pore pressure uncertainty and associated kick risk, this paper proposes a dual-phase pre-drilling risk assessment framework based on Bayesian Long Short-Term Memory (BLSTM) networks, integrating formation pressure prediction with distribution interference analysis. First, the effects of two Bayesian layer optimization [...] Read more.
To accurately quantify pore pressure uncertainty and associated kick risk, this paper proposes a dual-phase pre-drilling risk assessment framework based on Bayesian Long Short-Term Memory (BLSTM) networks, integrating formation pressure prediction with distribution interference analysis. First, the effects of two Bayesian layer optimization methods—Monte Carlo dropout and Bayes-by-Backprop—on deep learning networks were systematically evaluated. The optimized Bayes-by-Backprop-LSTM model was subsequently selected for uncertainty prediction of formation pore pressure. Finally, kick risk was quantified by analyzing the interference between predicted pressure distributions and the safety margin of designed drilling mud density. The BLSTM models uncertainty regression between well-log parameters and formation pore pressure labels. Using the Bayes-by-Backprop strategy, it generates probabilistic pressure predictions. By incorporating the designed drilling mud density of target wells, kick risk probability is calculated through distribution interference criteria, where the overlapping area between pore pressure distributions and mud density safety boundaries is mapped to risk probability. Validation experiments utilized five types of well-log parameters from three wells in EAST CHINA. Key results demonstrate: (1) The BLSTM regression model achieved a mean absolute error (MAE) of 0.037 on test wells, representing a 26.7% reduction compared to conventional LSTM, with the 95% confidence interval coverage reaching 69.6%. (2) In the 3893–4048 m interval of a test well, interference areas exceeding thresholds indicated 60% kick risk probability. Spatial correlation with actual kick events revealed risk points undetectable by conventional pore pressure prediction methods. This study establishes a comprehensive risk assessment paradigm encompassing pore pressure uncertainty regression prediction and probabilistic risk calculation, providing drilling engineering with a framework that combines physical interpretability and statistical reliability. Full article
(This article belongs to the Section Energy Systems)
Show Figures

Figure 1

20 pages, 2686 KB  
Article
Soybean Lodging Grade Classification Based on UAV Remote Sensing and Improved AlexNet Model
by Jinyang Li, Chuntao Yu, Bo Zhang, Liqiang Qi and Baojun Zhang
Agriculture 2026, 16(5), 555; https://doi.org/10.3390/agriculture16050555 - 28 Feb 2026
Viewed by 108
Abstract
Soybean lodging severely impairs yield and quality, and its precise grading is a key prerequisite for intelligent agricultural management and loss assessment in agricultural insurance. Most existing studies have focused primarily on soybean lodging identification and lodging resistance evaluation, whereas methods for the [...] Read more.
Soybean lodging severely impairs yield and quality, and its precise grading is a key prerequisite for intelligent agricultural management and loss assessment in agricultural insurance. Most existing studies have focused primarily on soybean lodging identification and lodging resistance evaluation, whereas methods for the precise differentiation of lodging grades remain to be refined. This study presents an improved AlexNet model integrated with a Local Feature Aggregation (LFA) attention mechanism and a dynamic optimization strategy for the accurate grading of soybean lodging. RGB imagery of soybean canopies during the grain-filling to early maturity stages was acquired via a multispectral unmanned aerial vehicle (UAV). A dynamic Dropout strategy was adopted to enhance model stability and mitigate overfitting, and the Particle Swarm Optimization (PSO) algorithm was employed to intelligently optimize key hyperparameters of the model. The results demonstrate that the optimized model achieved an overall accuracy of 94.23% on the test set, with an average loss of 0.0682 and an inference speed of 0.422 s/step. In independent field validation, the grading accuracies for the five lodging grades were 90.12%, 86.35%, 89.47%, 88.93%, and 92.76%, respectively, with a mean accuracy of 89.53%. The proposed model enables the rapid and precise grading of soybean lodging under field conditions, thereby providing effective technical support for intelligent field management and disaster loss assessment in soybean production. Full article
(This article belongs to the Section Artificial Intelligence and Digital Agriculture)
Show Figures

Figure 1

29 pages, 3750 KB  
Article
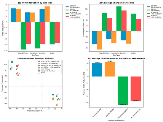
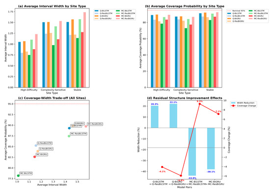
Interval Prediction of Total Nitrogen Using a Hybrid BiLSTM-Res Model and Bayesian Optimization: A Case Study in the Pearl River Delta
by Hanzhi Zhang, Guoqiang Niu, Xiaoyong Li, Mi Lin, Kai Fan, Xiaohui Yi and Mingzhi Huang
Water 2026, 18(5), 578; https://doi.org/10.3390/w18050578 - 27 Feb 2026
Viewed by 108
Abstract
This study develops a hybrid deep learning framework for point and interval prediction of Total Nitrogen (TN) concentrations in the Pearl River Delta, China. To address the inherent stochasticity of water quality systems, Bidirectional Long Short-Term Memory (BiLSTM) networks are integrated with residual [...] Read more.
This study develops a hybrid deep learning framework for point and interval prediction of Total Nitrogen (TN) concentrations in the Pearl River Delta, China. To address the inherent stochasticity of water quality systems, Bidirectional Long Short-Term Memory (BiLSTM) networks are integrated with residual learning blocks (Res) and Bayesian Optimization (BO). The resulting BiLSTM-Res-BO framework is evaluated within a comparative analysis of eight forecasting models that combine BiLSTM and BiGRU architectures with two uncertainty quantification approaches: Quantile Regression (QR) and Monte Carlo Dropout (MCD). Results from 37 monitoring stations demonstrate that the effectiveness of residual learning is highly context-dependent. For point forecasting, BiLSTM-Res achieves substantial performance gains (12.5–15% RMSE reduction) at complexity-sensitive sites, while providing negligible or slightly degraded performance under hydrologically stable conditions. For interval forecasting, QR-based residual models—particularly Q-BiLSTM-Res—produce notably narrower prediction intervals, with interval width reductions of 16.7–27.3% relative to the baseline BiLSTM model, under comparable levels of empirical coverage. In contrast, MC-dropout-based methods tend to yield wider intervals with different coverage–width trade-offs, reflecting distinct uncertainty propagation behaviors across modeling frameworks. Full article
Show Figures

Figure 1

21 pages, 20486 KB  
Article
Semantic–Physical Sensor Fusion for Safe Physical Human–Robot Interaction in Dual-Arm Rehabilitation
by Disha Zhu, Xuefeng Wang and Shaomei Shang
Sensors 2026, 26(5), 1510; https://doi.org/10.3390/s26051510 - 27 Feb 2026
Viewed by 133
Abstract
A safe physical human–robot interaction (pHRI) in rehabilitation requires reliable perception and low-latency decision making under heterogeneous and unreliable sensor inputs. This paper presents a multimodal sensor-fusion-based safety framework that integrates physical state estimation, semantic information fusion, and an edge-deployed large language model [...] Read more.
A safe physical human–robot interaction (pHRI) in rehabilitation requires reliable perception and low-latency decision making under heterogeneous and unreliable sensor inputs. This paper presents a multimodal sensor-fusion-based safety framework that integrates physical state estimation, semantic information fusion, and an edge-deployed large language model (LLM) for real-time pHRI safety control. A dynamics-based virtual sensing method is introduced to estimate internal joint torques from external force–torque measurements, achieving a normalized mean absolute error of 18.5% in real-world experiments. An asynchronous semantic state pool with a time-to-live mechanism is designed to fuse visual, force, posture, and human semantic cues while maintaining robustness to sensor delays and dropouts. Based on structured multimodal tokens, an instruction-tuned edge LLM outputs discrete safety decisions that are further mapped to continuous compliant control parameters. The framework is trained using a hybrid dataset consisting of limited real-world samples and LLM-augmented synthetic data, and evaluated on unseen real and mixed-condition scenarios. Experimental results show reliable detection of safety-critical events with a low emergency misdetection rate, while maintaining an end-to-end decision latency of approximately 223 ms on edge hardware. Real-world experiments on a rehabilitation robot demonstrate effective responses to impacts, user instability, and visual occlusions, indicating the practical applicability of the proposed approach for real-time pHRI safety monitoring. Full article
(This article belongs to the Section Biomedical Sensors)
Show Figures

Figure 1

19 pages, 899 KB  
Article
Investigating Epistemic Uncertainty in PCB Defect Detection: A Comparative Study Using Monte Carlo Dropout
by Efosa Osagie and Rebecca Balasundaram
J. Exp. Theor. Anal. 2026, 4(1), 11; https://doi.org/10.3390/jeta4010011 - 27 Feb 2026
Viewed by 111
Abstract
Deep learning models have become central to automated Printed Circuit Board (PCB) defect detection. However, recent work has raised concerns about how reliably these models express confidence in their predictions, particularly when deployed in safety-critical inspection systems. This study conducts an empirical investigation [...] Read more.
Deep learning models have become central to automated Printed Circuit Board (PCB) defect detection. However, recent work has raised concerns about how reliably these models express confidence in their predictions, particularly when deployed in safety-critical inspection systems. This study conducts an empirical investigation of epistemic uncertainty across representative architectures used in PCB inspection: the two-stage Faster R-CNN detector, the one-stage YOLOv8 detector, and their corresponding classification counterparts, ResNet-50 and YOLOv8-Cls. Monte Carlo Dropout (MCD) was applied during inference to compute predictive entropy, mutual information, softmax variance, and bounding-box variability across multiple stochastic forward passes on both multiclass and binary inspection datasets. On the multiclass SolDef_AI dataset, Faster R-CNN achieved substantially stronger detection performance (mAP = 0.7607, F1 = 0.9304) and lower predictive entropy, with more stable localisation. In contrast, YOLOv8 produced markedly weaker performance (mAP = 0.2369, F1 = 0.3130) alongside higher entropy and greater bounding-box variability. On the binary Jiafuwen datasets, the YOLOv8-Cls model achieved higher overall performance (F1 = 0.6493) compared with the ResNet-50 classifier (F1 = 0.4904), reflecting its strength in simpler binary inspection tasks. Across uncertainty metrics, predictive entropy and mutual information were more sensitive to dataset size, showing higher and more variable values in the smaller multiclass dataset, whereas softmax variance and bounding-box variability appeared more architecture-dependent. These findings demonstrate that architectural choice, dataset structure, and task formulation jointly influence both performance and uncertainty behaviour. By integrating conventional metrics with uncertainty estimates, this study provides a transparent benchmark for assessing model confidence in automated optical inspection of PCBs. Full article
Show Figures

Figure 1

34 pages, 13605 KB  
Article
BUM: Bayesian Uncertainty Minimization for Transferable Adversarial Examples in SAR Recognition
by Hongqiang Wang, Yuqing Lan, Fuzhan Yue, Zhenghuan Xia and Tao Zhang
Remote Sens. 2026, 18(5), 693; https://doi.org/10.3390/rs18050693 - 26 Feb 2026
Viewed by 139
Abstract
Adversarial examples pose a significant threat to Deep Neural Networks (DNNs) underpinning Synthetic Aperture Radar (SAR) Automatic Target Recognition (ATR) systems, as these models exhibit acute susceptibility to such malicious inputs. While white-box attacks achieve high success rates, their transferability to unknown black-box [...] Read more.
Adversarial examples pose a significant threat to Deep Neural Networks (DNNs) underpinning Synthetic Aperture Radar (SAR) Automatic Target Recognition (ATR) systems, as these models exhibit acute susceptibility to such malicious inputs. While white-box attacks achieve high success rates, their transferability to unknown black-box models—particularly across different network architectures (e.g., from CNNs to Vision Transformers)—remains a significant challenge. Existing gradient-based iterative methods often overfit the specific decision boundary of the surrogate model, resulting in poor generalization. To address this, we propose a novel generative attack framework termed BUM. Instead of merely maximizing the classification error, BUM explicitly models and minimizes the epistemic uncertainty of the surrogate model. By leveraging Monte Carlo (MC) Dropout to simulate a Bayesian ensemble, we train a generator to craft perturbations that are consistently adversarial across stochastic sub-models. This regularization forces the attack to target high-level, structure-aware semantic features shared among architectures, rather than low-level, model-specific artifacts. Extensive experiments on the MSTAR and FUSAR datasets demonstrate the superior black-box transferability of BUM. Full article
Show Figures

Figure 1

22 pages, 1996 KB  
Article
Lightweight Self-Supervised Hybrid Learning for Generalizable and Real-Time Fault Diagnosis in Photovoltaic Systems
by Ghalia Nassreddine, Obada Al-Khatib, Imran, Mohamad Nassereddine and Ali Hellany
Algorithms 2026, 19(3), 173; https://doi.org/10.3390/a19030173 - 25 Feb 2026
Viewed by 141
Abstract
Photovoltaic (PV) systems nowadays represent an essential component of renewable energy production. However, undetected faults often compromise their reliability, leading to significant energy losses and high maintenance costs. Existing deep learning approaches for PV fault diagnosis have achieved high accuracy, but they require [...] Read more.
Photovoltaic (PV) systems nowadays represent an essential component of renewable energy production. However, undetected faults often compromise their reliability, leading to significant energy losses and high maintenance costs. Existing deep learning approaches for PV fault diagnosis have achieved high accuracy, but they require massive, labeled datasets and high computational resources, which make them unsuitable for real-time applications. This paper proposes a lightweight, self-supervised hybrid learning framework for real-time PV fault diagnosis to address these limitations. First, the dataset is split into training, testing, and validation subsets. Thereafter, weighted class calculation steps are performed to overcome the issue of imbalance in the data. Then, a self-supervised pre-training phase is established to enable the encoder to produce effective internal representations prior to the implementation of a supervised fine-tuning classifier, characterized as a lightweight feed-forward network (Dense–Dropout–Dense Softmax), which will be trained using categorical cross-entropy and fault-type labels. Finally, a supervised fine-tuning stage is employed based on the pre-trained hybrid CNN–transformer encoder to perform PV fault classification. The experimental results indicate that the proposed approach outperforms existing models by achieving an overall accuracy of 99.8%, a recall of 99.6%, and an outstanding specificity of 100%. The confusion matrix demonstrates that classification is excellent on all operating types. Runtime analysis indicates that the model processes each sample in 2.78 ms and requires 0.07 MB to store weights of 19,429 parameters, confirming its suitability for real-time deployment. These findings highlight that using a hybrid CNN–Transformer encoder with self-supervised learning can improve fault detection and classification performance while significantly reducing inference time, making it an effective and efficient solution for intelligent PV system monitoring. Full article
(This article belongs to the Special Issue AI-Driven Control and Optimization in Power Electronics)
Show Figures

Graphical abstract

38 pages, 532 KB  
Article
A Novel Verifiable Functional Encryption Framework for Secure and Communication-Efficient Distributed Gradient Transmission Management
by Ziya Tan, Zijie Pan, Ying Liang and Shuyuan Yang
Electronics 2026, 15(5), 928; https://doi.org/10.3390/electronics15050928 - 25 Feb 2026
Viewed by 89
Abstract
Secure and bandwidth-conscious transmission of model updates is a central bottleneck in distributed machine learning. Existing secure aggregation and homomorphic encryption pipelines either reveal more than the task requires or incur prohibitive computation and communication costs. We introduce a verifiable functional encryption (VFE) [...] Read more.
Secure and bandwidth-conscious transmission of model updates is a central bottleneck in distributed machine learning. Existing secure aggregation and homomorphic encryption pipelines either reveal more than the task requires or incur prohibitive computation and communication costs. We introduce a verifiable functional encryption (VFE) framework that releases only the intended linear functions of client gradients while providing end-to-end integrity and privacy guarantees under standard lattice assumptions. Our instantiation, FlowAgg-FE, combines two novel components. First, KS-IPFE, a key-splittable inner-product FE scheme, supports per-round weighted aggregation, vector packing, and on-the-fly function changes without client re-encryption; function keys are distributed across two non-colluding helpers, eliminating a single point of trust and enabling lightweight, homomorphically verifiable tags on decrypted outputs. Second, PaS-Stream is a rate-adaptive encryption-and-compression pipeline that couples sketch-based gradient compression with batched FE ciphertext streaming, ensuring unbiased aggregation in the presence of stragglers and dropouts. We further bind client-side clipping to zero-knowledge range proofs and offer an optional differentially private release layer that composes with FE to yield (ε,δ)-privacy. A prototype based on LWE demonstrates practicality across cross-device and cross-silo training: client uplink is reduced by 1.9–3.4× and server CPU time by 1.6× versus state-of-practice encrypted secure aggregation, with accuracy within 0.3% of plaintext baselines and correctness preserved under up to 30% client dropout. These results show that verifiable FE can make secure, communication-efficient gradient transmission viable, as appropriate for theme of security and privacy in distributed machine learning of the Special Issue. Full article
Show Figures

Figure 1

15 pages, 561 KB  
Concept Paper
The Utilitarian Shift: Parental Withdrawal and the Dynamics of Sport Dropout in Early Adolescence
by Orr Levental and Dalit Lev-Arey
Societies 2026, 16(3), 80; https://doi.org/10.3390/soc16030080 - 25 Feb 2026
Viewed by 162
Abstract
Early adolescent sport dropout is commonly explained through individual psychological factors such as declining motivation, burnout, or identity conflict. While valuable, these accounts often assume parental logistical and financial support as a stable background condition. This conceptual article introduces the Utilitarian Shift as [...] Read more.
Early adolescent sport dropout is commonly explained through individual psychological factors such as declining motivation, burnout, or identity conflict. While valuable, these accounts often assume parental logistical and financial support as a stable background condition. This conceptual article introduces the Utilitarian Shift as a novel, family-level structural mechanism that helps explain why sport dropout peaks during early adolescence. Drawing on Social Exchange Theory, sociological perspectives on family investment, and developmental psychology, the framework conceptualizes dropout as emerging from a developmentally timed recalibration of parental investment. During childhood, parental support is largely sustained by custodial and broad developmental incentives; however, as adolescents gain functional independence and perceived developmental returns decline, continued investment becomes conditional rather than assumed. At the same time, sport system demands intensify through specialization pressures, rising costs, and selection mechanisms such as the Relative Age Effect. The convergence of declining perceived returns and escalating costs prompts rational parental withdrawal of logistical and financial support, thereby dismantling the material infrastructure required for sustained participation. Importantly, this withdrawal precedes and reshapes adolescents’ capacity to enact motivation, agency, and resilience, rather than merely responding to disengagement. The article situates early adolescent sport dropout as a relational and structurally mediated process, shifting analytic attention away from athlete-centered deficit models toward dynamic parental decision-making within marketized youth sport systems. Practically, the framework highlights the need for sport organizations and governing bodies to redesign participation pathways and value propositions that sustain parental engagement during early adolescence, even in the absence of elite performance trajectories. Full article
Show Figures

Figure 1

Back to TopTop