Sign in to use this feature.

Years

Between: -

Subjects

remove_circle_outline
remove_circle_outline
remove_circle_outline
remove_circle_outline
remove_circle_outline
remove_circle_outline
remove_circle_outline
remove_circle_outline
remove_circle_outline

Journals

remove_circle_outline
remove_circle_outline
remove_circle_outline
remove_circle_outline
remove_circle_outline
remove_circle_outline

Article Types

Countries / Regions

remove_circle_outline
remove_circle_outline
remove_circle_outline
remove_circle_outline
remove_circle_outline
remove_circle_outline
remove_circle_outline

Search Results (1,011)

Search Parameters:
Keywords = dough

Order results
Result details
Results per page
Select all
Export citation of selected articles as:
20 pages, 2573 KB  
Article
Cassava (Manihot esculenta) Hydrocolloids as a Partial Egg Substitute in Sponge Cakes: Rheological, Physicochemical, and Sensory Evaluation
by Anabela Rodriguez-Mulett, Somaris E. Quintana and Luis A. García-Zapateiro
Polysaccharides 2026, 7(1), 36; https://doi.org/10.3390/polysaccharides7010036 - 20 Mar 2026
Abstract
The rising demand for sustainable and functional ingredients necessitates the development of novel replacers for traditional food components, such as eggs, which are critical for structure and aeration in baked goods. This study investigated hydrocolloids derived from cassava (Manihot esculenta) as [...] Read more.
The rising demand for sustainable and functional ingredients necessitates the development of novel replacers for traditional food components, such as eggs, which are critical for structure and aeration in baked goods. This study investigated hydrocolloids derived from cassava (Manihot esculenta) as a partial egg substitute in sponge cakes, evaluating their effect on rheological, physicochemical, nutritional, and sensory properties. The resulting cake batter exhibited characteristic non-Newtonian, pseudoplastic, and viscoelastic fluid behavior. A microstructural analysis confirmed that the stabilized, higher-viscosity doughs successfully facilitated the formation of larger, more stable air bubbles, effectively mimicking the structural role of the egg. Physicochemical assessments demonstrated a high product equivalence; the fat content showed no significant difference (p < 0.05) compared to the control, while pH and carbohydrate levels decreased. Crucially, the optimized formula, CK-S50-H2.5 (50% egg and 2.5% hydrocolloids substitutions), exhibited a minimal color difference (ΔE) consistent with the control, preserving product appearance. Sensory evaluation confirmed that hydrocolloid substitution did not compromise consumer acceptance. Panelists preferred cakes utilizing lower egg substitution levels for their enhanced flavor and texture. These findings establish that cassava hydrocolloids serve as an effective and functional partial egg replacer, yielding a high-quality and well-accepted product and offering a valuable, sustainable solution for the food industry. Full article
Show Figures

Figure 1

20 pages, 1215 KB  
Article
Multigrain Bread: Impact of Germinated Grain Supplement on Phytochemical Profile and Technological and Nutritional Properties
by Andrej Živković, Tomaž Polak and Tomaž Požrl
Foods 2026, 15(6), 1029; https://doi.org/10.3390/foods15061029 - 16 Mar 2026
Viewed by 165
Abstract
Modern diets often provide insufficient health-promoting nutrients, prompting the development of enriched staple foods. This study investigated the impact of incorporating germinated spelt (Triticum spelta), naked oat (Avena nuda), and buckwheat (Fagopyrum esculentum) seeds at 30% and [...] Read more.
Modern diets often provide insufficient health-promoting nutrients, prompting the development of enriched staple foods. This study investigated the impact of incorporating germinated spelt (Triticum spelta), naked oat (Avena nuda), and buckwheat (Fagopyrum esculentum) seeds at 30% and 60% levels on the nutritional, technological, and sensory properties of wheat bread. Liquid chromatography–mass spectrometry (LC–MS/MS) analysis verified the successful transfer of grain-specific bioactive compounds into the dough and bread matrix—benzoxazinoids (BOA, MBOA) from spelt, avenanthramides (AVN A, B, C) from oats, and flavonoids (e.g., rutin, vitexin, orientin) from buckwheat—emphasizing both free and bound metabolite fractions. Multigrain breads exhibited a complementary phytochemical profile. The antioxidant properties of the enriched breads were markedly enhanced, with germinated buckwheat providing the most pronounced increase. Analysis confirmed a significant increase in dietary fibre content proportional to the level of germinated grain addition, with almost double the content in 60% multigrain bread. Texture analysis indicated that the control crumb exhibited the greatest relative firming over 48 h during storage. Sensory evaluation showed that all of the enriched breads received high acceptability scores (>18/20). The incorporation of germinated seeds effectively enhances the nutritional value of bread, offering a promising strategy for developing health-promoting bakery products. Full article
Show Figures

Graphical abstract

19 pages, 2160 KB  
Article
Deciphering Northeast–Northwest Differences in Steamed Bread Microbiota and Flavor via Metagenomics and Untargeted Metabolomics
by Qing Wu, Heyu Zhang, Shihua Xin, Jianhong Guo, Xiaoping Yang, Qi Wang and Haitian Fang
Fermentation 2026, 12(3), 153; https://doi.org/10.3390/fermentation12030153 - 14 Mar 2026
Viewed by 183
Abstract
The current understanding of microbiota–flavor correlations in Chinese sourdough steamed bread is predominantly derived from the central provinces, with comparatively limited investigation in northeastern and northwestern regions. This study bridges this gap by analyzing traditional starters from Heilongjiang (HLJ) and Ningxia (TX) versus [...] Read more.
The current understanding of microbiota–flavor correlations in Chinese sourdough steamed bread is predominantly derived from the central provinces, with comparatively limited investigation in northeastern and northwestern regions. This study bridges this gap by analyzing traditional starters from Heilongjiang (HLJ) and Ningxia (TX) versus an industrial starter (JM) through integrated metagenomics and untargeted metabolomics. HLJ was dominated by Limosilactobacillus fermentum (14.75%), while TX featured a synergistic Lactiplantibacillus plantarumFructilactobacillus sanfranciscensis consortium. Metabolic pathway analysis revealed enhanced glycolysis, amino acid metabolism, and glycerophospholipid transformation driving flavor biosynthesis and dough rheology improvement, supported by nitrogen-metabolizing Bradyrhizobium spp. (6.00–6.61%). Core pathway enrichment established molecular foundations for region-specific flavors: HLJ generated sulfury/pungent notes via the enzymatic conversion of pentyl glucosinolate to isothiocyanates, whereas TX developed caramel–roasted aromas through stachyose/xylose-derived Maillard reactions forming 2-(methylthiomethyl)furan. Both consortia exhibited higher bitterness and lower umami than JM, with HLJ showing marginally higher umami and lower bitterness than TX. These findings elucidate the microbial mechanisms underlying regional flavor differentiation. Full article
(This article belongs to the Section Fermentation for Food and Beverages)
Show Figures

Figure 1

16 pages, 6498 KB  
Article
Electron Beam Irradiation Modulates the Multiscale Structure and Physicochemical Properties of Wheat Starch in Dough Systems
by Yaru Yuan, Peishan Liu, Yanyan Zhang, Yingying Zhang, Mengkun Song, Hongwei Wang, Huishan Shen, Hua Zhang and Xingli Liu
Foods 2026, 15(6), 1005; https://doi.org/10.3390/foods15061005 - 12 Mar 2026
Viewed by 186
Abstract
Wheat is rich in carbohydrates and proteins but is susceptible to pest infestation and microbial contamination during storage. Owing to itself high efficiency, energy savings, and lack of chemical residues, electron beam irradiation (EBI) has been widely applied for disinfesting and sterilizing cereals [...] Read more.
Wheat is rich in carbohydrates and proteins but is susceptible to pest infestation and microbial contamination during storage. Owing to itself high efficiency, energy savings, and lack of chemical residues, electron beam irradiation (EBI) has been widely applied for disinfesting and sterilizing cereals and has been shown to influence dough quality. Notably, starch is present within complex wheat flour systems during processing, and its irradiation response may differ from that of purified systems. In this study, the effects of different EBI doses (0, 3, 6, 9 and 12 kGy) on the multiscale structure and physicochemical properties of wheat starch isolated from irradiated dough were systematically investigated, and key analytical techniques such as Fourier transform infrared spectroscopy (FTIR), X-ray diffraction (XRD), and rheological analysis were employed to elucidate the mechanisms underlying its impact on the dough thermomechanical behavior of dough. The results demonstrated that EBI weakened gluten–starch interactions and disrupted gluten network the continuity and compactness of the gluten network, resulting in significant dough farinography and pasting property changes. Compared with those of the control group, the dough development and stability time of the 12 kGy sample decreased from 3.920 and 6.465 to 0.970 and 1.290, respectively (p < 0.05). Moreover, irradiation induced cracks on the starch surface, reduced its molecular weight, and disrupted its crystallinity and short-range order. These changes resulted in decreases in the thermal stability level and swelling capacity of starch, while increasing its solubility. A correlation analysis revealed that the starch chain length distribution, molecular weight, molecular order, and pasting properties are key determinants of EBI-induced dough quality changes. This study provides theoretical insights into the applicability of EBI in the context of wheat flour storage and quality modulation. Full article
(This article belongs to the Special Issue Starch: Properties and Functionality in Food Systems)
Show Figures

Figure 1

24 pages, 3042 KB  
Article
Chemical and Rheological Modifications of White Sorghum Flour by Physical Treatments with Possible Implications for Health
by Ana Batariuc, Mădălina Ungureanu-Iuga, Anca Becze, Lacrimioara Senila, Claudiu Cobuz and Silvia Mironeasa
Molecules 2026, 31(6), 940; https://doi.org/10.3390/molecules31060940 - 11 Mar 2026
Viewed by 165
Abstract
This paper aimed to investigate the impact of dry heat treatment and fractionation on white sorghum grain’s chemical and rheological properties. For this, dry heat treatment was applied to sorghum grains of different granulations, integral (I), large (L > 300 μm), medium (200 [...] Read more.
This paper aimed to investigate the impact of dry heat treatment and fractionation on white sorghum grain’s chemical and rheological properties. For this, dry heat treatment was applied to sorghum grains of different granulations, integral (I), large (L > 300 μm), medium (200 μm < M < 250 μm), and small (S < 200 μm), at corresponding temperatures of 144 °C, 132 °C (M), and 121 °C (S). The content of amino acids, fatty acids, minerals, and volatile compounds was determined in sorghum flours, along with the dynamic rheological behavior of sorghum dough. The results indicated that dry heat treatment increased mono and polyunsaturated fatty acid content, and decreased lysine, isoleucine, and glutamic acid contents. Significant differences (p < 0.05) in amino acid and fatty acid profiles were observed between fractions. Generally, Ca and Na increased after dry heat treatment of sorghum grains, while Fe, Zn, and Cu decreased, except in the M particle size sample. The optimal fraction M is distinguished by an increase in Fe, Zn and Cu content compared to the control. Volatile compounds were affected by both fractionation and dry heat treatment, with samples with S particle size possessing a distinct volatile profile. Dry heat treatment produced a stiffer, less deformable dough, maintaining elastic dominance and slightly reducing the peak gelatinization temperature. Particle size reduction led to dough strengthening and an increase in elastic and viscous moduli. The combined use of fractionation and dry heat treatment permits precise control of sorghum’s nutritional and rheological properties. Full article
(This article belongs to the Special Issue Advances in Functional Foods, 2nd Edition)
Show Figures

Graphical abstract

23 pages, 21257 KB  
Article
Enhancing Gluten-Free Bread Quality with Whole-Grain Pearl Millet Flour: A Physicochemical and Sensory Approach
by Bárbara Amorim Silva, Jhony Willian Vargas-Solórzano, Marilia Penteado Stephan, Rosires Deliza, Inayara Beatriz Araujo Martins, Carlos Wanderlei Piler de Carvalho and José Luis Ramírez Ascheri
Foods 2026, 15(5), 926; https://doi.org/10.3390/foods15050926 - 6 Mar 2026
Viewed by 291
Abstract
(1) Background: Starch-based breads can closely mimic wheat bread in texture and appearance; however, their nutritional value must be improved while maintaining their inherent bread-like characteristics. The objective of this study was to incorporate whole-grain pearl millet flour (PMF) into a starch-based bread [...] Read more.
(1) Background: Starch-based breads can closely mimic wheat bread in texture and appearance; however, their nutritional value must be improved while maintaining their inherent bread-like characteristics. The objective of this study was to incorporate whole-grain pearl millet flour (PMF) into a starch-based bread formulation to enhance its dietary fiber and protein content. (2) Methods: The PMF was obtained using a combination of laboratory rollers and hammer mills, as well as appropriate sieves to obtain a particle size ≤ 250 µm. The incorporation of PMF affected the properties of the base flour (BF), dough, and gluten-free bread (GFB). (3) Results: In the BF, setback viscosity was significantly reduced from 6379 to 1354 mPa·s. Similarly, in the freshly kneaded dough, both the elastic and viscous moduli decreased, from 168.3 to 17.8 kPa and from 36.3 to 4.3 kPa, respectively. During fermentation, dough-specific volume increased from 0.76 to 1.73 cm3/g. In the GFB, the moisture content decreased from 47.9 to 42.2%, bread specific volume varied from 2.13 to 2.68 cm3/g, and crumb hardness increased from 12.8 to 25.3 N. PMF incorporation segmented bread consumers into two preference-based clusters, characterized by lower (1) and higher (2) PMF levels. (4) Conclusions: Incorporating 30% PMF increased the fiber and protein contents of the starch-based bread by 4.9% and 2.2%, respectively, without compromising specific volume (2.56 g/cm3) or overall acceptance, which remained comparable to that of a commercial gluten-free bread (7.30 and 6.32 for clusters (1) and (2), respectively). Full article
(This article belongs to the Section Food Engineering and Technology)
Show Figures

Figure 1

17 pages, 4531 KB  
Article
Diurnal and Phenological Modulation of Canopy Temperature in Wheat Breeding Under Mediterranean Conditions
by Jesús Flores-Olave, Hamza-Ali Khan, Isadora Pérez, Josefa Pacheco, José Cares, Carlos Araya-Riquelme, Felipe Moraga, Iván Matus, Dalma Castillo, Luis Inostroza, Manuel A. Bravo, Hanns de la Fuente-Mella, Gonzalo Ríos-Vásquez, Alejandro del Pozo and Gustavo A. Lobos
Plants 2026, 15(5), 797; https://doi.org/10.3390/plants15050797 - 5 Mar 2026
Viewed by 316
Abstract
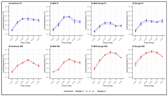
Canopy temperature (CT) is widely used to assess crop water and heat status, but it is often recorded at a single hour, implicitly treating CT as a stable trait. Here, we show that canopy cooling is a dynamic phenotype whose expression depends on [...] Read more.
Canopy temperature (CT) is widely used to assess crop water and heat status, but it is often recorded at a single hour, implicitly treating CT as a stable trait. Here, we show that canopy cooling is a dynamic phenotype whose expression depends on time of day, phenological stage, and environment. First, we monitored 184 spring wheat (Triticum aestivum L.) genotypes in two Mediterranean environments (fully irrigated vs. rainfed, contrasting atmospheric demand) using UAV-based thermal imaging. CT was measured six times per day (10:30–17:30 h) at four reproductive stages (anthesis, milk-grain, milk-dough, and dough), enabling quantification of diurnal plasticity, seasonal shifts, and environmental effects on canopy cooling. Second, repeated-measures mixed models confirmed that Location, Stage, and Time of day, and all interactions, were highly significant (p < 0.001). Variance-component analyses showed a strong genetic signal within each Stage × Environment combination, with 87.6–97.7% of total variance attributable to genotypic effects pooled across hours. Third, the optimal phenotyping window was context dependent: under rainfed conditions, genotypic discrimination consistently peaked around mid-afternoon (~15:00 h), whereas under irrigation, the optimal window shifted with stage (13:30–15:00 h). Genotype rankings were also markedly less stable across hours under rainfed conditions, indicating substantial within-day re-ranking as atmospheric demand increased. Finally, thermal exposure analyses showed that exceeding a physiologically relevant threshold (CT > 32 °C) depended strongly on time of day and stage; maximum CT captured short heat events missed by daily means. Clustering and alluvial analyses revealed frequent reclassification across stages, with only a small subset remaining consistently cooler, particularly under stress. Random regression of CT on vapor pressure deficit (VPD) indicated that CT–VPD sensitivity was largely environment-dependent and showed weak cross-environment correspondence (Spearman ρ = −0.166). Overall, single-time-point CT phenotyping provides an incomplete view of thermal status, underscoring the need for multi-temporal protocols and context-specific measurement windows for breeding and physiological interpretation under drought and heat. Full article
Show Figures

Figure 1

26 pages, 2284 KB  
Review
Key Methodologies in Characterizing the Multi-Scale Structures of Gluten Proteins in Dough: A Comparative Review
by Feifei Su, Yiyuan Zou, Zehua Zhang, Zhiling Tang, Haoran Luo, Fayin Ye and Guohua Zhao
Biomolecules 2026, 16(3), 382; https://doi.org/10.3390/biom16030382 - 3 Mar 2026
Viewed by 291
Abstract
Gluten proteins are key components in wheat flour that determine the formation of dough and the quality of flour-based products. Upon hydration and mixing, gluten proteins undergo complex structural transformations to form a gluten network, exhibiting a hierarchical multi-scale structure spanning molecular, aggregate, [...] Read more.
Gluten proteins are key components in wheat flour that determine the formation of dough and the quality of flour-based products. Upon hydration and mixing, gluten proteins undergo complex structural transformations to form a gluten network, exhibiting a hierarchical multi-scale structure spanning molecular, aggregate, and network scales. Due to the extreme complexity of gluten proteins, accurately characterizing their multi-scale structures remains challenging, requiring the combined application of multiple techniques, which are still relatively limited and thus warrant further exploration. Therefore, this review presents the principles, operational details, and result presentations of current techniques at different structural scales, including electrophoresis, high-performance liquid chromatography, proteomics, Fourier transform infrared spectroscopy, and Fourier transform Raman spectroscopy at the molecular scale; size-exclusion chromatography, asymmetrical flow field-flow fractionation, dynamic light scattering, multi-angle light scattering, differential refractive index, and ultraviolet absorbance at the aggregate scale; and confocal laser scanning microscopy, scanning electron microscopy, confocal Raman microscopy, and two-photon excitation microscopy at the network scale, among others. It further compares the advantages and disadvantages of similar techniques, facilitating their scenario-based selective utilization. Finally, it outlines the ongoing challenges and future perspectives for the development and application of techniques for the multi-scale structural characterization of gluten proteins. Full article
(This article belongs to the Section Biomacromolecules: Proteins, Nucleic Acids and Carbohydrates)
Show Figures

Figure 1

32 pages, 2405 KB  
Article
Optimization of Nutrient-Enriched Ravioli Incorporating Elephant Foot Yam Flour and Encapsulated Okra–Moringa Pearls
by Sangeetha Arunachalam, Baskar Rajoo, Harish Karthikeyan Ravi and Sowmiya Murugesan
Appl. Sci. 2026, 16(5), 2435; https://doi.org/10.3390/app16052435 - 3 Mar 2026
Viewed by 220
Abstract
The growing demand for functional and value-added foods has prompted interest in integrating nutrient-rich ingredients and novel encapsulated systems into traditional pasta products. This study aimed to develop and optimize a ravioli dough formulated with elephant foot yam flour (EFYF), wheat flour (WF) [...] Read more.
The growing demand for functional and value-added foods has prompted interest in integrating nutrient-rich ingredients and novel encapsulated systems into traditional pasta products. This study aimed to develop and optimize a ravioli dough formulated with elephant foot yam flour (EFYF), wheat flour (WF) and amaranth flour (AF) using mixture design in response surface methodology and to create an innovative filling using encapsulated edible pearls produced from okra mucilage and moringa leaf powder through ionotropic gelation. The pearls and ravioli dough were analyzed for physicochemical, textural, color and nutritional characteristics. Cooked ravioli was investigated for cooking quality and sensory attributes. The optimized dough formulation (46.67 g EFYF, 43.32 g WF, 10 g AF) exhibited desirable hardness (4.64 ± 0.28 N), chewiness (0.40 ± 0.02 N), nutritional, physicochemical and color attributes. The edible pearls demonstrated moderate moisture content (21.18 ± 0.26%), high protein (26.25 ± 0.02%), crude fiber (2.60 ± 0.01%), dietary fiber (8.60 ± 0.52%), high ash content (14 ± 0.62%) and soft gel-like texture. The cooked ravioli showed a cooking time of 8 ± 1 min, high water absorption capacity (209.9 ± 0.34%), minimal solid loss (1.30 ± 0.21%) and favorable sensory scores across appearance, taste, texture and overall acceptability. The study concludes that incorporating encapsulated pearls and nutrient-dense flours can produce a functional, nutritionally enriched ravioli with good technological performance and consumer appeal. Full article
(This article belongs to the Section Food Science and Technology)
Show Figures

Figure 1

14 pages, 1332 KB  
Article
Disease Management Maintains Adequate Chlorophyll a Fluorescence and Enhances Wheat Grain Technological Quality
by Andrea Román, Carlos Eduardo Aucique-Perez, Martha Zavariz de Miranda, Pihetra Oliveira Tatsch, Eduardo Rodríguez and Leandro José Dallagnol
Plants 2026, 15(5), 688; https://doi.org/10.3390/plants15050688 - 25 Feb 2026
Viewed by 328
Abstract
Leaf and spike diseases can significantly reduce wheat yield and grain quality. To mitigate these impacts, an integrated disease management approach can be adopted, incorporating measures such as the use of resistant cultivars, fungicides and nitrogen fertilization. This study aimed to evaluate the [...] Read more.
Leaf and spike diseases can significantly reduce wheat yield and grain quality. To mitigate these impacts, an integrated disease management approach can be adopted, incorporating measures such as the use of resistant cultivars, fungicides and nitrogen fertilization. This study aimed to evaluate the impact of these practices on chlorophyll a fluorescence, yield components, and the technological quality of wheat grains. The area under the disease progress curve (AUDPC) was correlated with the maximum efficiency of photosystem II (PSII) photochemistry (Fv/Fm), as measured at the dough development stage (ZGS80) under field conditions, which also affected quality parameters. Additionally, an increase in AUDPC values reduced the thousand kernel weight (TKW) and test weight (TW). Conversely, AUDPC values for tan spot, powdery mildew and leaf rust were positively related to ash content (affecting flour color), protein content (PC) and grain falling number. Both the recommended nitrogen rate (130 kg ha−1) and the high rate (200 kg ha−1) increased grain protein content (PC) and gluten index (GI), while maintaining dough stability and water absorption. Fungicide application increased flour lightness and yellowness. Overall, integrated disease management combining moderately resistant cultivars, fungicide applications and nitrogen fertilization reduced AUDPC values, increased Fv/Fm (indicating optimal physiological performance) and ensured yield components and maintenance of wheat technological quality. Full article
(This article belongs to the Section Plant Protection and Biotic Interactions)
Show Figures

Figure 1

20 pages, 4386 KB  
Article
Time-Dependent Effects of Ultrasonic Modification of Soy Protein Concentrate on the Mixolab Rheology of Enriched Dough
by Nataša Šekuljica, Sonja Jakovetić Tanasković, Jelena Mijalković, Neda Pavlović, Steva Lević, Alina Culetu and Zorica Knežević-Jugović
Foods 2026, 15(5), 796; https://doi.org/10.3390/foods15050796 - 24 Feb 2026
Viewed by 249
Abstract
Soy protein concentrate (SPC) often has limited food applications due to the loss of its functional properties under harsh industrial processing. This study explored the effects of exposure time to high-intensity ultrasound (HUS) on the structural properties of SPC to assess the potential [...] Read more.
Soy protein concentrate (SPC) often has limited food applications due to the loss of its functional properties under harsh industrial processing. This study explored the effects of exposure time to high-intensity ultrasound (HUS) on the structural properties of SPC to assess the potential of a single protein for multiple bakery applications. HUS treatment modified SPC free sulfhydryl group content (4.81 ± 0.03 to 1.47 ± 0.01 µmol/gprotein) and hydrophobicity (34.17 ± 0.02 to 30.56 ± 0.03 µgBPB/mgprotein) and promoted the formation of soluble and insoluble aggregates, especially with longer exposure times, as evidenced by SDS-PAGE. According to Raman analysis, SPC exposed to 0.5 min HUS exhibited an α-helical content of 33.52 ± 1.58% and β-sheet content of 56.80 ± 4.40%, while the tyrosine doublet (I850/I830) ratio was associated with dough stability and indicated intermolecular hydrogen bonding within the dough matrix. Water absorption capacity was improved upon addition of HUS-exposed SPC samples, to 58.4 ± 0.71%, compared with 52.6 ± 0.85% of SPC-enriched dough. These changes accelerated dough development time and enhanced amylase activity, resulting in a dough with desirable viscosity. HUS-exposed samples with higher α-helix content and solubility, decreased water syneresis, and hydrophobic SPC formed stabile complexes with hydrophobic regions of the amylose chain, both leading to reduced starch retrogradation (1.551 ± 0.13 to 0.855 ± 0.04). Overall, this study showed that by controlling the HUS treatment time, protein structure can be tailored for its use in diverse bakery applications, further enhancing the commercial value of protein concentrates. Full article
Show Figures

Figure 1

29 pages, 2297 KB  
Article
Integrated Nutritional, Spectroscopic and Technological Evaluation of Black Oat (Avena strigosa) and White Oat (Avena sativa L.) Cultivars
by Bogdan Cozma, Sylvestre Dossa, Antoanela Cozma, Daniela Stoin, Dacian Lalescu, Isidora Radulov, Ilinca Imbrea, Georgeta Pop, Laura Crista, Mariana Suba, Ersilia Alexa and Florin Imbrea
Molecules 2026, 31(4), 639; https://doi.org/10.3390/molecules31040639 - 12 Feb 2026
Viewed by 360
Abstract
Oat is increasingly recognized as a valuable cereal due to its favorable nutritional profile and potential application in functional foods. This study aimed to provide an integrated nutritional and technological evaluation of black oat (Avena strigosa) and white oat (Avena [...] Read more.
Oat is increasingly recognized as a valuable cereal due to its favorable nutritional profile and potential application in functional foods. This study aimed to provide an integrated nutritional and technological evaluation of black oat (Avena strigosa) and white oat (Avena sativa L.) cultivars Ovidiu, Jeremy, and Sorin, grown under uniform conditions. The chemical composition was assessed by determining proteins, lipids, total mineral and polyphenol contents. Macro- and microelement profiles (Ca, Mg, K, Na, Fe, Mn, Cu, Ni, and Zn) were quantified by atomic absorption spectrometry (AAS), while the technological suitability of black oat flour for bakery applications was evaluated using Mixolab analysis and bread quality parameters. Additionally, Fourier-transform infrared (FTIR) spectroscopy was applied to investigate structural features associated with β-glucans in the oat samples. The results showed that protein content ranged from 12.39 to 13.48%, while lipid content varied between 3.24 and 4.64%. Significant differences were observed in mineral composition among the analyzed samples. Black oat showed a balanced mineral profile, characterized by high levels of K, Mg, Mn, Zn, and Ni, confirming its classification as a mineral-rich cereal, while the Ovidiu cultivar generally presented the lowest concentrations for most elements. Mixolab results revealed that the partial substitution of wheat flour with black oat flour significantly influenced dough rheological behavior, particularly in terms of protein weakening and starch gelatinization, without severely affecting dough stability when applied at moderate inclusion levels. Bread quality evaluation demonstrated acceptable crumb elasticity, porosity, and height-to-diameter ratios, supporting the feasibility of incorporating black oat in bakery products. FTIR analysis revealed characteristic absorption bands associated with β-glucans, supporting their presence and structural integrity in both black oat and cultivated varieties. Overall, this study demonstrates that both black oat and selected oat cultivars represent valuable raw materials for functional food applications, offering enhanced nutritional profiles and suitable technological performance. The combined use of compositional, rheological, and spectroscopic analyses provides a comprehensive approach for evaluating oat-based ingredients in the context of modern cereal science. Full article
(This article belongs to the Special Issue 30th Anniversary of Molecules—Recent Advances in Food Chemistry)
Show Figures

Figure 1

20 pages, 752 KB  
Article
Contribution of Protein, Starch, and Fiber Composition to the Prediction of Dough Rheology and Baking Quality in U.S. Hard Red Spring Wheat
by Yun Zhao, Emad Karrar, Jim Peterson and Shahidul Islam
Foods 2026, 15(4), 650; https://doi.org/10.3390/foods15040650 - 11 Feb 2026
Viewed by 450
Abstract
Wheat end-product quality results from complex interactions among protein, starch, and fiber, further complicated by genetic and environmental variability, especially in commercial samples composed of multiple varieties from diverse regions. Eighteen composite samples of hard red spring wheat (HRSW) were prepared from 755 [...] Read more.
Wheat end-product quality results from complex interactions among protein, starch, and fiber, further complicated by genetic and environmental variability, especially in commercial samples composed of multiple varieties from diverse regions. Eighteen composite samples of hard red spring wheat (HRSW) were prepared from 755 field samples to simulate commercial grain blending. These composites were analyzed to evaluate the influence of flour composition on product quality. A wide range of flour compositional properties was analyzed and associated with dough and end-product quality traits, as measured by GlutoPeak, Rapid Visco Analyzer, Farinograph, Extensograph, Alveograph, and loaf baking. The results indicated that dough and bread quality are not determined by protein or gluten content alone, but that protein, starch and fiber composition and structural variations play a crucial role. Flours with higher proportions of high-molecular-weight glutenin (HMW-GS) fractions, particularly those rich in Bx and Ax subunits, exhibited greater dough resistance, mixing strength, and bread volume. In contrast, lower-performing samples were characterized by reduced HMW/LMW, polymeric/monomeric protein ratios, and HMW-Bx content. Multivariate modeling showed strong predictive performance for loaf volume (R2 > 0.860) when protein, starch and fiber quality metrics were combined with protein content. These findings provide a data-driven framework for wheat flour classification and optimizing processing formulation. Full article
Show Figures

Figure 1

22 pages, 3121 KB  
Article
Optimizing Hydroalcoholic Extraction of African Medicinal Plants for Enhanced α-Amylase Inhibition and Functional Enrichment of Hypoglycemic Bread Doughs
by Mohamed Lemine Lella, Fatma Kallel, Nouha Ben Khaled, Mohamed Vall Ould El Kebir and Mohamed Neifar
Foods 2026, 15(4), 625; https://doi.org/10.3390/foods15040625 - 9 Feb 2026
Viewed by 368
Abstract
Type 2 diabetes mellitus (T2DM) remains a global health challenge, necessitating novel therapeutic and dietary strategies. This study optimized hydroalcoholic extraction parameters to maximize α-amylase inhibitory activity from five African medicinal plants: Combretum glutinosum (CG), Ziziphus mauritiana (ZM), Gymnosporia senegalensis (GS), Boscia senegalensis [...] Read more.
Type 2 diabetes mellitus (T2DM) remains a global health challenge, necessitating novel therapeutic and dietary strategies. This study optimized hydroalcoholic extraction parameters to maximize α-amylase inhibitory activity from five African medicinal plants: Combretum glutinosum (CG), Ziziphus mauritiana (ZM), Gymnosporia senegalensis (GS), Boscia senegalensis (BS), and Citrullus colocynthis (CC). A central composite design (CCD) modeled the effects of the liquid-to-solid (L/S) ratio (5–15 mL/g) and ethanol concentration (0–100%, v/v), identifying optimal conditions at low L/S ratios (5 mL/g) and moderate-to-high ethanol concentrations (40–100%) for GS, ZM, and CG, where inhibition levels exceeded 80–98% of α-amylase activity. Extracts from CG, ZM, and GS showed the strongest inhibition (IC50 values of 3.67, 9.8, and 2.25 mg/mL, respectively). Antioxidant capacities, evaluated by DPPH and FRAP assays, correlated strongly with total phenolic content (TPC), with ZM exhibiting superior DPPH (IC50 = 1.94 ± 0.16 mg/mL) and FRAP (IC50 = 4.34 ± 0.52 mg/mL) activities. Incorporation of optimized plant powders (3%, w/v) into bread dough significantly influenced textural and colorimetric properties. Mixture design analysis revealed that CG-rich formulations (>2%) yielding hardness exceed 6 N, while ZM–GS blends maintain 3 N, offering targeted firmness control. The addition of medicinal plants significantly increased the total phenolics content by 60% of doughs and thus caused a significant improvement in antioxidant activities. These functional enrichments suggest potential for developing hypoglycemic bakery products with improved sensory attributes. This integrative approach combining extraction optimization and food formulation offers promising avenues for natural antidiabetic agents and functional food development. Full article
(This article belongs to the Section Food Engineering and Technology)
Show Figures

Figure 1

18 pages, 6198 KB  
Article
Comparative Antibacterial Activity of Cabbage Varieties Against Thermophilic Bacillus spp. Isolated from Wheat Grains
by Liliya Alashbayeva and Madina Yakiyayeva
Foods 2026, 15(3), 600; https://doi.org/10.3390/foods15030600 - 6 Feb 2026
Viewed by 431
Abstract
The microbiological safety of whole wheat flour remains a critical issue due to its susceptibility to contamination by spore-forming thermophilic bacteria. In this study, two thermophilic species, Bacillus subtilis and Bacillus mesentericus, were isolated from locally produced wheat grains and used as target [...] Read more.
The microbiological safety of whole wheat flour remains a critical issue due to its susceptibility to contamination by spore-forming thermophilic bacteria. In this study, two thermophilic species, Bacillus subtilis and Bacillus mesentericus, were isolated from locally produced wheat grains and used as target microorganisms to evaluate the antibacterial potential of freshly pressed cabbage juices. Juices obtained from five cabbage varieties—red cabbage, white cabbage, napa (Chinese) cabbage, broccoli, and cauliflower—were comparatively assessed using the broth dilution method to determine their minimum inhibitory and bactericidal effects (n = 3). The results revealed pronounced differences in antibacterial efficacy among the tested samples. White cabbage juice exhibited selective inhibitory activity against B. subtilis at a dilution of 1:4, whereas napa cabbage and broccoli juices demonstrated the highest antibacterial activity against both Bacillus species at a dilution of 1:3. Importantly, napa cabbage juice showed no inhibitory effect on Saccharomyces cerevisiae, indicating its compatibility with dough fermentation processes. Spectroscopic analysis of the bioactive fraction obtained from napa cabbage juice revealed characteristic absorption bands at 3422 cm−1 (O–H stretching), 2907–2840 cm−1 (aliphatic C–H stretching), 1740 cm−1 (ester carbonyl group), and 1641 cm−1 (C=C stretching). The predominance of lipophilic compounds, including fatty acid esters, terpenes, and sulfur-containing compounds (734 cm−1), suggests a molecular basis for the observed antibacterial activity against Bacillus spp. Overall, these findings identify napa cabbage as a promising source of selective natural antimicrobial agents capable of enhancing the microbiological safety of whole wheat flour-based bakery products without compromising yeast activity. Full article
(This article belongs to the Section Grain)
Show Figures

Figure 1

Back to TopTop