Sign in to use this feature.

Years

Between: -

Subjects

remove_circle_outline
remove_circle_outline
remove_circle_outline
remove_circle_outline

Journals

Article Types

Countries / Regions

Search Results (12)

Search Parameters:
Keywords = diterpenoid tanshinones

Order results
Result details
Results per page
Select all
Export citation of selected articles as:
29 pages, 2331 KB  
Review
Therapeutic Potential of Tanshinones in Osteolytic Diseases: From Molecular and Cellular Pathways to Preclinical Models
by Rafael Scaf de Molon
Dent. J. 2025, 13(7), 309; https://doi.org/10.3390/dj13070309 - 9 Jul 2025
Cited by 4 | Viewed by 1686
Abstract
Tanshinones are a class of lipophilic diterpenoid quinones extracted from Salvia miltiorrhiza (Dan shen), a widely used herb in traditional Chinese medicine. These compounds, particularly tanshinone IIA (T-IIA) and sodium tanshinone sulfonate (STS), have been acknowledged for their broad spectrum of biological activities, [...] Read more.
Tanshinones are a class of lipophilic diterpenoid quinones extracted from Salvia miltiorrhiza (Dan shen), a widely used herb in traditional Chinese medicine. These compounds, particularly tanshinone IIA (T-IIA) and sodium tanshinone sulfonate (STS), have been acknowledged for their broad spectrum of biological activities, including anti-inflammatory, antioxidant, anti-tumor, antiresorptive, and antimicrobial effects. Recent studies have highlighted the potential of tanshinones in the treatment of osteolytic diseases, characterized by excessive bone resorption, such as osteoporosis, rheumatoid arthritis, and periodontitis. The therapeutic effects of tanshinones in these diseases are primarily attributed to their ability to inhibit osteoclast differentiation and activity, suppress inflammatory cytokine production (e.g., tumor necrosis factor alpha (TNF-α), interleukin (IL)-1β, and IL-6), and modulate critical signaling pathways, including NF-kB, MAPK, PI3K/Akt, and the RANKL/RANK/OPG axis. Additionally, tanshinones promote osteoblast differentiation and mineralization by enhancing the expression of osteogenic markers such as Runx2, ALP, and OCN. Preclinical models have demonstrated that T-IIA and STS can significantly reduce bone destruction and inflammatory cell infiltration in arthritic joints and periodontal tissues while also enhancing bone microarchitecture in osteoporotic conditions. This review aims to provide a comprehensive overview of the pharmacological actions of tanshinones in osteolytic diseases, summarizing current experimental findings, elucidating underlying molecular mechanisms, and discussing the challenges and future directions for their clinical application as novel therapeutic agents in bone-related disorders, especially periodontitis. Despite promising in vitro and in vivo findings, clinical evidence remains limited, and further investigations are necessary to validate the efficacy, safety, and pharmacokinetics of tanshinones in human populations. Full article
(This article belongs to the Special Issue New Perspectives in Periodontology and Implant Dentistry)
Show Figures

Figure 1

24 pages, 3256 KB  
Article
Supercritical Extraction and Identification of Bioactive Compounds in Dryopteris fragrans (L.) Schott
by Mayya P. Razgonova, Zhanna M. Okhlopkova, Muhammad A. Nawaz, Polina S. Egorova and Kirill S. Golokhvast
Pharmaceuticals 2025, 18(3), 299; https://doi.org/10.3390/ph18030299 - 21 Feb 2025
Cited by 2 | Viewed by 1815
Abstract
Background: This is a comparative metabolomic study of the medicinal plant Dryopteris fragrans (L.) Schott from the family Dryopteridaceae Herter (or Aspidiaceae Mett. ex Frank) growing under cold pole conditions in the Oymyakon region of the Republic of Sakha (Yakutia). Methods: The aerial [...] Read more.
Background: This is a comparative metabolomic study of the medicinal plant Dryopteris fragrans (L.) Schott from the family Dryopteridaceae Herter (or Aspidiaceae Mett. ex Frank) growing under cold pole conditions in the Oymyakon region of the Republic of Sakha (Yakutia). Methods: The aerial parts of D. fragrans were subjected to extraction using supercritical CO2 extraction and maceration methods. Several experimental conditions were investigated, including a pressure range of 50–300 bar and a temperature range of 31–60 °C. A 1% volume of ethanol was used as a co-solvent in the liquid phase of the extraction. Results: The most effective D. fragrans extraction conditions were 200 Bar pressure and a temperature of 55 °C. Tandem mass spectrometry was used to detect the target analytes. A total of 141 bioactive compounds (86 compounds from the polyphenol group and 55 compounds from other chemical groups) were tentatively identified in extracts of aerial parts of D. fragrans. Among these, thirty chemical constituents from the polyphenol group were identified for the first time. Other compound classes that were newly identified in D. fragrans include naphthoquinones (5,8-dihydroxy-6-methyl-2,3-dihydro-1,4-naphthoquinone, 1,8-dihydroxy-anthraquinone, 1,4,8-trihydroxyanthraquinone, chrysophanol, etc.), diterpenoids (tanshinone IIa, cryptotanshinone, isocryptotanshinone II, tanshinone IIb, etc.), polysaccharides, triterpenoids, and sesquiterpenes. Conclusions: These results highlight that D. fragrans is rich in bioactive compounds and put forward several newly detected compounds for further investigation. Full article
(This article belongs to the Section Natural Products)
Show Figures

Graphical abstract

16 pages, 1767 KB  
Article
Metabolic and Transcriptomic Approaches of Chitosan and Water Stress on Polyphenolic and Terpenoid Components and Gene Expression in Salvia abrotanoides (Karl.) and S. yangii
by Farzaneh Khodadadi, Farajollah Shahriai Ahmadi, Majid Talebi, Adam Matkowski, Antoni Szumny, Mahvash Afshari and Mehdi Rahimmalek
Int. J. Mol. Sci. 2023, 24(20), 15426; https://doi.org/10.3390/ijms242015426 - 21 Oct 2023
Cited by 9 | Viewed by 2576
Abstract
In this research, a HPLC analysis, along with transcriptomics tools, was applied to evaluate chitosan and water stress for the prediction of phenolic flavonoids patterns and terpenoid components accumulation in Salvia abrotanoides Karel and S. yangii. The results indicated that the tanshinone [...] Read more.
In this research, a HPLC analysis, along with transcriptomics tools, was applied to evaluate chitosan and water stress for the prediction of phenolic flavonoids patterns and terpenoid components accumulation in Salvia abrotanoides Karel and S. yangii. The results indicated that the tanshinone contents under drought stress conditions increased 4.2-fold with increasing drought stress intensity in both species. The rosmarinic acid content in the leaves varied from 0.038 to 11.43 mg/g DW. In addition, the flavonoid content was increased (1.8 and 1.4-fold) under mild water deficit conditions with a moderate concentration of chitosan (100 mg L−1). The application of foliar chitosan at 100 and 200 mg L−1 under well-watered and mild stress conditions led to increases in hydroxyl cryptotanshinone (OH-CT) and cryptotanshinone (CT) contents as the major terpenoid components in both species. The expressions of the studied genes (DXS2, HMGR, KSL, 4CL, and TAT) were also noticeably induced by water deficit and variably modulated by the treatment with chitosan. According to our findings, both the drought stress and the application of foliar chitosan altered the expression levels of certain genes. Specifically, we observed changes in the expression levels of DXS and HMGR, which are upstream genes in the MEP and MVA pathways, respectively. Additionally, the expression level of KSL, a downstream gene involved in diterpenoid synthesis, was also affected. Finally, the present investigation confirmed that chitosan treatments and water stress were affected in both the methylerythritol phosphate pathway (MEP) and mevalonate (MVA) pathways, but their commitment to the production of other isoprenoids has to be considered and discussed. Full article
Show Figures

Figure 1

20 pages, 3157 KB  
Article
Tanshinone IIA and Cryptotanshinone Counteract Inflammation by Regulating Gene and miRNA Expression in Human SGBS Adipocytes
by Sara Carpi, Stefano Quarta, Stefano Doccini, Anella Saviano, Noemi Marigliano, Beatrice Polini, Marika Massaro, Maria Annunziata Carluccio, Nadia Calabriso, Martin Wabitsch, Filippo Maria Santorelli, Marco Cecchini, Francesco Maione, Paola Nieri and Egeria Scoditti
Biomolecules 2023, 13(7), 1029; https://doi.org/10.3390/biom13071029 - 23 Jun 2023
Cited by 11 | Viewed by 3548
Abstract
Inflammation of the adipose tissue contributes to the onset and progression of several chronic obesity-related diseases. The two most important lipophilic diterpenoid compounds found in the root of Salvia milthorrhiza Bunge (also called Danshen), tanshinone IIA (TIIA) and cryptotanshinone (CRY), have many favorable [...] Read more.
Inflammation of the adipose tissue contributes to the onset and progression of several chronic obesity-related diseases. The two most important lipophilic diterpenoid compounds found in the root of Salvia milthorrhiza Bunge (also called Danshen), tanshinone IIA (TIIA) and cryptotanshinone (CRY), have many favorable pharmacological effects. However, their roles in obesity-associated adipocyte inflammation and related sub-networks have not been fully elucidated. In the present study, we investigated the gene, miRNAs and protein expression profile of prototypical obesity-associated dysfunction markers in inflamed human adipocytes treated with TIIA and CRY. The results showed that TIIA and CRY prevented tumor necrosis factor (TNF)-α induced inflammatory response in adipocytes, by counter-regulating the pattern of secreted cytokines/chemokines associated with adipocyte inflammation (CCL2/MCP-1, CXCL10/IP-10, CCL5/RANTES, CXCL1/GRO-α, IL-6, IL-8, MIF and PAI-1/Serpin E1) via the modulation of gene expression (as demonstrated for CCL2/MCP-1, CXCL10/IP-10, CCL5/RANTES, CXCL1/GRO-α, and IL-8), as well as related miRNA expression (miR-126-3p, miR-223-3p, miR-124-3p, miR-155-5p, and miR-132-3p), and by attenuating monocyte recruitment. This is the first demonstration of a beneficial effect by TIIA and CRY on adipocyte dysfunction associated with obesity development and complications, offering a new outlook for the prevention and/or treatment of metabolic diseases. Full article
(This article belongs to the Special Issue The Value of Natural Compounds as Therapeutic Agents)
Show Figures

Figure 1

11 pages, 9507 KB  
Article
Discovery of Novel Bioactive Tanshinones and Carnosol Analogues against Breast Cancer
by Miguel A. González-Cardenete, Natalia González-Zapata, Lucinda Boyd and Fatima Rivas
Cancers 2023, 15(4), 1318; https://doi.org/10.3390/cancers15041318 - 19 Feb 2023
Cited by 10 | Viewed by 3851
Abstract
The abietane diterpenoids ferruginol (1), tanshinone IIA (3), and carnosol (4) are well-known for their interesting pharmacological properties, including antitumor, similar to other natural and semisynthetic abietanes. In this study, a pair of semisynthetic C18-functionalized analogues of [...] Read more.
The abietane diterpenoids ferruginol (1), tanshinone IIA (3), and carnosol (4) are well-known for their interesting pharmacological properties, including antitumor, similar to other natural and semisynthetic abietanes. In this study, a pair of semisynthetic C18-functionalized analogues of 3 and 4 were prepared from the commercially available (+)-dehydroabietylamine or readily obtained methyl dehydroabietate. Semisynthetic ferruginol (1) and some selected analogues, together with the synthesized analogues, were tested in vitro for the inhibition of proliferation in four breast cancer cell lines, SUM149, MDA-MB231, T47D, and MCF07. As a result, several tested abietane analogues decreased cell proliferation and enhanced cell death, with IC50 in the range 1.3–18.7 μM. This work demonstrates the antitumor activities of two tested compounds, making these molecules interesting for the development of new anticancer agents. Full article
(This article belongs to the Special Issue Advances in Anticancer Drugs and Pharmacotherapy of Cancer)
Show Figures

Figure 1

19 pages, 4451 KB  
Article
Salviolone from Salvia miltiorrhiza Roots Impairs Cell Cycle Progression, Colony Formation, and Metalloproteinase-2 Activity in A375 Melanoma Cells: Involvement of P21(Cip1/Waf1) Expression and STAT3 Phosphorylation
by Valentina Zanrè, Rachele Campagnari, Antonietta Cerulli, Milena Masullo, Alessia Cardile, Sonia Piacente and Marta Menegazzi
Int. J. Mol. Sci. 2022, 23(3), 1121; https://doi.org/10.3390/ijms23031121 - 20 Jan 2022
Cited by 17 | Viewed by 3574
Abstract
Melanoma is a highly malignant solid tumor characterized by an elevated growth and propagation rate. Since, often, melanoma treatment cannot prevent recurrences and the appearance of metastasis, new anti-melanoma agents need to be discovered. Salvia miltiorrhiza roots are a source of diterpenoid derivatives, [...] Read more.
Melanoma is a highly malignant solid tumor characterized by an elevated growth and propagation rate. Since, often, melanoma treatment cannot prevent recurrences and the appearance of metastasis, new anti-melanoma agents need to be discovered. Salvia miltiorrhiza roots are a source of diterpenoid derivatives, natural compounds with several biological activities, including antiproliferative and anticancer effects. Seven diterpenoid derivatives were purified from S. miltiorrhiza roots and identified by NMR and MS analysis. Tanshinone IIA and cryptotanshinone were detected as the main components of S. miltiorrhiza root ethanol extract. Although their antitumor activity is already known, they have been confirmed to induce a reduction in A375 and MeWo melanoma cell growth. Likewise, salviolone has been shown to impair the viability of melanoma cells without affecting the growth of normal melanocytes. The underlying anticancer activity of salviolone has been investigated and compared to that of cryptotanshinone in A375 cells, showing an increased P21 protein expression in a P53-dependent manner. In that way, salviolone, even more than cryptotanshinone, displays a multitarget effect on cell-cycle-related proteins. Besides, it modulates the phosphorylation level of the signal transducer and activator of transcription (STAT)3. Unexpectedly, salviolone and cryptotanshinone induce sustained activation of the extracellular signal-regulated kinases (ERK)1/2 and the protein kinase B (Akt). However, the blockage of ERK1/2 or Akt activities suggests that kinase activation does not hinder their ability to inhibit A375 cell growth. Finally, salviolone and cryptotanshinone inhibit to a comparable extent some crucial malignancy features of A375 melanoma cells, such as colony formation in soft agar and metalloproteinase-2 activity. In conclusion, it has been shown for the first time that salviolone, harboring a different molecular structure than tanshinone IIA and cryptotanshinone, exhibits a pleiotropic effect against melanoma by hampering cell cycle progression, STAT3 signaling, and malignant phenotype of A375 melanoma cells. Full article
(This article belongs to the Special Issue Novel Biomarkers and Therapeutic Targets for Melanoma)
Show Figures

Figure 1

26 pages, 9681 KB  
Article
In Silico, In Vitro, and In Vivo Analysis of Tanshinone IIA and Cryptotanshinone from Salvia miltiorrhiza as Modulators of Cyclooxygenase-2/mPGES-1/Endothelial Prostaglandin EP3 Pathway
by Anella Saviano, Simona De Vita, Maria Giovanna Chini, Noemi Marigliano, Gianluigi Lauro, Gian Marco Casillo, Federica Raucci, Maria Iorizzi, Robert Klaus Hofstetter, Katrin Fischer, Andreas Koeberle, Oliver Werz, Francesco Maione and Giuseppe Bifulco
Biomolecules 2022, 12(1), 99; https://doi.org/10.3390/biom12010099 - 7 Jan 2022
Cited by 9 | Viewed by 3766
Abstract
Tanshinone IIA (TIIA) and cryptotanshinone (CRY) from Salvia miltiorrhiza Bunge were investigated for their inhibitory activity against the cyclooxygenase-2 (COX-2)/microsomal prostaglandin E synthase-1 (mPGES-1)/endothelial prostaglandin 3 (EP3) pathway using in silico, in vitro, in vivo, and ex vivo assays. From the analysis of [...] Read more.
Tanshinone IIA (TIIA) and cryptotanshinone (CRY) from Salvia miltiorrhiza Bunge were investigated for their inhibitory activity against the cyclooxygenase-2 (COX-2)/microsomal prostaglandin E synthase-1 (mPGES-1)/endothelial prostaglandin 3 (EP3) pathway using in silico, in vitro, in vivo, and ex vivo assays. From the analysis of the docking poses, both diterpenoids were able to interact significantly with COX-2, 5-lipoxygenase (5-LO), platelet-activating factor receptor (PAFR), and mPGES-1. This evidence was further corroborated by data obtained from a cell-free assay, where CRY displayed a significant inhibitory potency against mPGES-1 (IC50 = 1.9 ± 0.4 µM) and 5-LO (IC50 = 7.1 µM), while TIIA showed no relevant inhibition of these targets. This was consistent with their activity to increase mice bleeding time (CRY: 2.44 ± 0.13 min, p ≤ 0.001; TIIA: 2.07 ± 0.17 min p ≤ 0.01) and with the capability to modulate mouse clot retraction (CRY: 0.048 ± 0.011 g, p ≤ 0.01; TIIA: 0.068 ± 0.009 g, p ≤ 0.05). For the first time, our results show that TIIA and, in particular, CRY are able to interact significantly with the key proteins involved not only in the onset of inflammation but also in platelet activity (and hyper-reactivity). Future preclinical and clinical investigations, together with this evidence, could provide the scientific basis to consider these compounds as an alternative therapeutic approach for thrombotic- and thromboembolic-based diseases. Full article
Show Figures

Figure 1

24 pages, 3809 KB  
Article
Metabolomics and DNA-Based Authentication of Two Traditional Asian Medicinal and Aromatic Species of Salvia subg. Perovskia
by Monika Bielecka, Bartosz Pencakowski, Marta Stafiniak, Klemens Jakubowski, Mehdi Rahimmalek, Shima Gharibi, Adam Matkowski and Sylwester Ślusarczyk
Cells 2021, 10(1), 112; https://doi.org/10.3390/cells10010112 - 9 Jan 2021
Cited by 34 | Viewed by 5053
Abstract
Subgenus Perovskia of the extended genus of Salvia comprises several Central Asian medicinal and aromatic species, of which S. yangii and S. abrotanoides are the most widespread. These plants are cultivated in Europe as robust ornamentals, and several cultivars are available. However, their [...] Read more.
Subgenus Perovskia of the extended genus of Salvia comprises several Central Asian medicinal and aromatic species, of which S. yangii and S. abrotanoides are the most widespread. These plants are cultivated in Europe as robust ornamentals, and several cultivars are available. However, their medicinal potential remains underutilized because of limited information about their phytochemical and genetic diversity. Thus, we combined an ultra-high performance liquid chromatography quadrupole time of flight mass spectrometry (UHPLC-QTOF-MS) based metabolomics with DNA barcoding approach based on trnH-psbA and ITS2 barcodes to clarify the relationships between these two taxa. Metabolomic analysis demonstrated that aerial parts are more similar than roots and none of the major compounds stand out as distinct. Sugiol in S. yangii leaves and carnosic acid quinone in S. abrotanoides were mostly responsible for their chemical differentiation, whereas in roots the distinction was supported by the presence of five norditerpenoids in S. yangii and two flavonoids and one norditerpenoid in S. abrotanoides. To verify the metabolomics-based differentiation, we performed DNA authentication that revealed S. yangii and S. abrotanoides to be very closely related but separate species. We demonstrated that DNA barcoding coupled with parallel LC-MS profiling constitutes a powerful tool in identification of taxonomically close Salvia species. Full article
(This article belongs to the Special Issue Metabolomics in Plant Research)
Show Figures

Graphical abstract

13 pages, 2201 KB  
Article
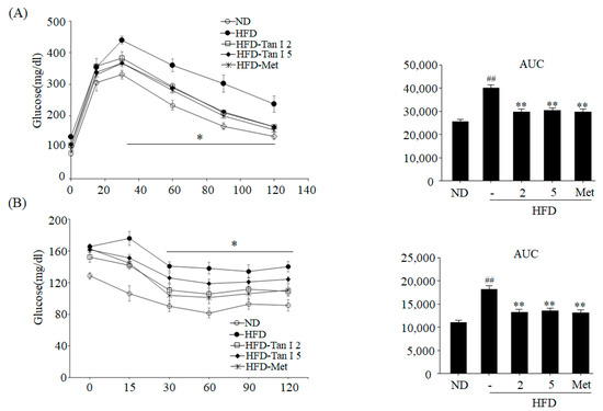
Anti-Obesity Effects of Tanshinone I from Salvia miltiorrhiza Bunge in Mice Fed a High-Fat Diet through Inhibition of Early Adipogenesis
by Dae Young Jung, Ji-Hyun Kim and Myeong Ho Jung
Nutrients 2020, 12(5), 1242; https://doi.org/10.3390/nu12051242 - 27 Apr 2020
Cited by 27 | Viewed by 4144
Abstract
Tanshinone I (Tan I) is a diterpenoid isolated from Salvia miltiorrhiza Bunge and exhibits antitumor effects in several cancers. However, the anti-obesity properties of Tan I remain unexplored. Here, we evaluated the anti-obesity effects of Tan I in high-fat-diet (HFD)-induced obese mice and [...] Read more.
Tanshinone I (Tan I) is a diterpenoid isolated from Salvia miltiorrhiza Bunge and exhibits antitumor effects in several cancers. However, the anti-obesity properties of Tan I remain unexplored. Here, we evaluated the anti-obesity effects of Tan I in high-fat-diet (HFD)-induced obese mice and investigated the underlying molecular mechanisms in 3T3-L1 cells. HFD-induced obese mice were orally administrated Tan I for eight weeks, and body weight, weight gain, hematoxylin and eosin staining and serum biological parameters were examined. The adipogenesis of 3T3-L1 preadipocytes was assessed using Oil Red O staining and measurement of intracellular triglyceride (TG) levels, and mitotic clonal expansion (MCE) and its related signal molecules were analyzed during early adipogenesis of 3T3-L1 cells. The administration of Tan I significantly reduced body weight, weight gain, and white adipocyte size, and improved obesity-induced serum levels of glucose, free fatty acid, total TG, and total cholesterol in vivo in HFD-induced obese mice. Furthermore, Tan I-administered mice demonstrated improvement of glucose metabolism and insulin sensitivity. Treatment with Tan I inhibited the adipogenesis of 3T3-L1 preadipocytes in vitro, with this inhibition mainly occurring at an early phase of adipogenesis through the attenuation of MCE via cell cycle arrest at the G1/S phase transition. Tan I inhibited the phosphorylation of p38, extracellular signal-regulated kinase (ERK), and Akt during the process of MCE, while it stimulated the phosphorylation of AMP-activated protein kinase. Furthermore, Tan I repressed the expression of CCAAT-enhancer-binding protein β (C/EBPβ), histone H3K9 demethylase JMJD2B, and subsequently cell cycle genes. Moreover, Tan I regulated the expression of early adipogenic transcription factors including GATAs and Kruppel-like factor family factors. These results indicate that Tan I prevents HFD-induced obesity via the inhibition of early adipogenesis, and thus improves glucose metabolism and insulin sensitivity. This suggests that Tan I possesses therapeutic potential for the treatment of obesity and obesity-related diseases. Full article
(This article belongs to the Section Nutrition and Public Health)
Show Figures

Graphical abstract

20 pages, 2149 KB  
Review
The Biosynthetic Pathways of Tanshinones and Phenolic Acids in Salvia miltiorrhiza
by Xiao-Hui Ma, Ying Ma, Jin-Fu Tang, Ya-Li He, Yu-Chen Liu, Xiao-Jing Ma, Ye Shen, Guang-Hong Cui, Hui-Xin Lin, Qi-Xian Rong, Juan Guo and Lu-Qi Huang
Molecules 2015, 20(9), 16235-16254; https://doi.org/10.3390/molecules200916235 - 8 Sep 2015
Cited by 128 | Viewed by 14827
Abstract
Secondary metabolites from plants play key roles in human medicine and chemical industries. Due to limited accumulation of secondary metabolites in plants and their important roles, characterization of key enzymes involved in biosynthetic pathway will enable metabolic engineering or synthetic biology to improve [...] Read more.
Secondary metabolites from plants play key roles in human medicine and chemical industries. Due to limited accumulation of secondary metabolites in plants and their important roles, characterization of key enzymes involved in biosynthetic pathway will enable metabolic engineering or synthetic biology to improve or produce the compounds in plants or microorganisms, which provides an alternative for production of these valuable compounds. Salvia miltiorrhiza, containing tanshinones and phenolic acids as its active compounds, has been widely used for the treatment of cardiovascular and cerebrovascular diseases. The biosynthetic analysis of secondary metabolites in S. miltiorrhiza has made great progress due to the successful genetic transformation system, simplified hairy roots system, and high-throughput sequencing. The cloned genes in S. miltiorrhiza had provided references for functional characterization of the post-modification steps involved in biosynthesis of tanshinones and phenolic acids, and further utilization of these steps in metabolic engineering. The strategies used in these studies could provide solid foundation for elucidation of biosynthetic pathways of diterpenoids and phenolic acids in other species. The present review systematically summarizes recent advances in biosynthetic pathway analysis of tanshinones and phenolic acids as well as synthetic biology and metabolic engineering applications of the rate-limiting genes involved in the secondary metabolism in S. miltiorrhiza. Full article
(This article belongs to the Section Metabolites)
Show Figures

Figure 1

16 pages, 768 KB  
Article
Metabolism of Tanshinone IIA, Cryptotanshinone and Tanshinone I from Radix Salvia Miltiorrhiza in Zebrafish
by Yingjie Wei, Ping Li, Changmei Wang, Yunru Peng, Luan Shu, Xiaobin Jia, Wenquan Ma and Bing Wang
Molecules 2012, 17(7), 8617-8632; https://doi.org/10.3390/molecules17078617 - 18 Jul 2012
Cited by 31 | Viewed by 7445
Abstract
The study aimed to investigate the potential of zebrafish in imitating mammal phase I metabolism of natural compounds. Three diterpenoid quinones from Radix Salvia miltiorrhiza, namely tanshinone IIA (TIIA), cryptotanshinone (Cry) and tanshinone I (TI) were selected as model compounds, and their metabolites [...] Read more.
The study aimed to investigate the potential of zebrafish in imitating mammal phase I metabolism of natural compounds. Three diterpenoid quinones from Radix Salvia miltiorrhiza, namely tanshinone IIA (TIIA), cryptotanshinone (Cry) and tanshinone I (TI) were selected as model compounds, and their metabolites mediated by zebrafish were characterized using a high-performance liquid chromatography coupled ion-trap mass spectrometry (HPLC/IT-MSn) method with electrospray ionization in positive mode. The separation was performed with a Zorbax C-18 column using a binary gradient elution of 0.05% formic acid acetonitrile/0.05% formic acid water. According to the MS spectra and after comparison with reference standards and literature reports, hydroxylation, dehydrogenation or D-ring hydrolysis metabolites of TIIA and Cry but not of TI were characterized, which coincided with those reported using regular in vivo or in vitro metabolic analysis methods, thus verifying that zebrafish can successfully imitate mammalian phase I metabolism which instills further confidence in using zebrafish as a novel and prospective metabolism model. Full article
(This article belongs to the Section Medicinal Chemistry)
Show Figures

Figure 1

9 pages, 214 KB  
Article
Diterpenoid Tanshinones and Phenolic Acids from Cultured Hairy Roots of Salvia miltiorrhiza Bunge and Their Antimicrobial Activities
by Jianglin Zhao, Jingfeng Lou, Yan Mou, Peiqin Li, Jianyong Wu and Ligang Zhou
Molecules 2011, 16(3), 2259-2267; https://doi.org/10.3390/molecules16032259 - 7 Mar 2011
Cited by 84 | Viewed by 11454
Abstract
Four diterpenoid tanshinones and three phenolic acids were isolated from the crude ethanol extract of the cultured hairy roots of Salvia miltiorrhiza Bunge by bioassay-guided fractionation. By means of physicochemical and spectrometric analysis, they were identified as tanshinone ΙΙA (1), tanshinone [...] Read more.
Four diterpenoid tanshinones and three phenolic acids were isolated from the crude ethanol extract of the cultured hairy roots of Salvia miltiorrhiza Bunge by bioassay-guided fractionation. By means of physicochemical and spectrometric analysis, they were identified as tanshinone ΙΙA (1), tanshinone Ι (2), cryptotanshinone (3), dihydrotanshinone Ι (4), rosmarinic acid (5), caffeic acid (6), and danshensu (7). These compounds were evaluated to show a broad antimicrobial spectrum of activity on test microorganisms including eight bacterial and one fungal species. Among the four tanshinones, cryptotanshinone (3) and dihydrotanshinone Ι (4) exhibited stronger antimicrobial activity than tanshinone ΙΙA (1) and tanshinone Ι (2). The results indicated that the major portion of the antimicrobial activity was due to the presence of tanshinones and phenolic acids in S. miltiorrhiza hairy roots, which could be used as the materials for producing antimicrobial agents for use in agricultural practice in the future. Full article
(This article belongs to the Collection Bioactive Compounds)
Show Figures

Figure 1

Back to TopTop