Sign in to use this feature.

Years

Between: -

Subjects

remove_circle_outline
remove_circle_outline
remove_circle_outline
remove_circle_outline
remove_circle_outline
remove_circle_outline

Journals

Article Types

Countries / Regions

Search Results (19)

Search Parameters:
Keywords = distributed steganography

Order results
Result details
Results per page
Select all
Export citation of selected articles as:
20 pages, 678 KB  
Article
Steganalysis of Adaptive Multi-Rate Speech with Unknown Embedding Rates Using Multi-Scale Transformer and Multi-Task Learning Mechanism
by Congcong Sun, Azizol Abdullah, Normalia Samian and Nuur Alifah Roslan
J. Cybersecur. Priv. 2025, 5(2), 29; https://doi.org/10.3390/jcp5020029 - 3 Jun 2025
Viewed by 949
Abstract
As adaptive multi-rate (AMR) speech applications become increasingly widespread, AMR-based steganography presents growing security risks. Conventional steganalysis methods often assume known embedding rates, limiting their practicality in real-world scenarios where embedding rates are unknown. To overcome this limitation, we introduce a novel framework [...] Read more.
As adaptive multi-rate (AMR) speech applications become increasingly widespread, AMR-based steganography presents growing security risks. Conventional steganalysis methods often assume known embedding rates, limiting their practicality in real-world scenarios where embedding rates are unknown. To overcome this limitation, we introduce a novel framework that integrates a multi-scale transformer architecture with multi-task learning for joint classification and regression. The classification task effectively distinguishes between cover and stego samples, while the regression task enhances feature representation by predicting continuous embedding values, providing deeper insights into embedding behaviors. This joint optimization strategy improves model adaptability to diverse embedding conditions and captures the underlying relationships between discrete embedding classes and their continuous distributions. The experimental results demonstrate that our approach achieves higher accuracy and robustness than existing steganalysis methods across varying embedding rates. Full article
(This article belongs to the Special Issue Cyber Security and Digital Forensics—2nd Edition)
Show Figures

Figure 1

19 pages, 1962 KB  
Article
A Two-Phase Embedding Approach for Secure Distributed Steganography
by Kamil Woźniak, Marek R. Ogiela and Lidia Ogiela
Sensors 2025, 25(5), 1448; https://doi.org/10.3390/s25051448 - 27 Feb 2025
Cited by 1 | Viewed by 1488
Abstract
Steganography serves a crucial role in secure communications by concealing information within non-suspicious media, yet traditional methods often lack resilience and efficiency. Distributed steganography, which involves fragmenting messages across multiple containers using secret sharing schemes, offers improved security but increases complexity. This paper [...] Read more.
Steganography serves a crucial role in secure communications by concealing information within non-suspicious media, yet traditional methods often lack resilience and efficiency. Distributed steganography, which involves fragmenting messages across multiple containers using secret sharing schemes, offers improved security but increases complexity. This paper introduces a novel two-phase embedding algorithm that mitigates these issues, enhancing both security and practicality. Initially, the secret message is divided into shares using Shamir’s Secret Sharing and embedded into distinct media containers via pseudo-random LSB paths determined by a unique internal stego key. Subsequently, this internal key is further divided and embedded using a shared stego key known only to the sender and receiver, adding an additional security layer. The algorithm effectively reduces key management complexity while enhancing resilience against sophisticated steganalytic attacks. Evaluation metrics, including Peak Signal-to-Noise Ratio (PSNR) and Structural Similarity Index Measure (SSIM), demonstrate that stego images maintain high quality even when embedding up to 0.95 bits per pixel (bpp). Additionally, robustness tests with StegoExpose and Aletheia confirm the algorithm’s stealthiness, as no detections are made by these advanced steganalysis tools. This research offers a secure and efficient advancement in distributed steganography, facilitating resilient information concealment in sophisticated communication environments. Full article
(This article belongs to the Special Issue Advances and Challenges in Sensor Security Systems)
Show Figures

Figure 1

11 pages, 13153 KB  
Article
Image Steganography and Style Transformation Based on Generative Adversarial Network
by Li Li, Xinpeng Zhang, Kejiang Chen, Guorui Feng, Deyang Wu and Weiming Zhang
Mathematics 2024, 12(4), 615; https://doi.org/10.3390/math12040615 - 19 Feb 2024
Cited by 8 | Viewed by 3841
Abstract
Traditional image steganography conceals secret messages in unprocessed natural images by modifying the pixel value, causing the obtained stego to be different from the original image in terms of the statistical distribution; thereby, it can be detected by a well-trained classifier for steganalysis. [...] Read more.
Traditional image steganography conceals secret messages in unprocessed natural images by modifying the pixel value, causing the obtained stego to be different from the original image in terms of the statistical distribution; thereby, it can be detected by a well-trained classifier for steganalysis. To ensure the steganography is imperceptible and in line with the trend of art images produced by Artificial-Intelligence-Generated Content (AIGC) becoming popular on social networks, this paper proposes to embed hidden information throughout the process of the generation of an art-style image by designing an image-style-transformation neural network with a steganography function. The proposed scheme takes a content image, an art-style image, and messages to be embedded as inputs, processing them with an encoder–decoder model, and finally, generates a styled image containing the secret messages at the same time. An adversarial training technique was applied to enhance the imperceptibility of the generated art-style stego image from plain-style-transferred images. The lack of the original cover image makes it difficult for the opponent learning steganalyzer to identify the stego. The proposed approach can successfully withstand existing steganalysis techniques and attain the embedding capacity of three bits per pixel for a color image, according to the experimental results. Full article
(This article belongs to the Special Issue Representation Learning for Computer Vision and Pattern Recognition)
Show Figures

Figure 1

17 pages, 1060 KB  
Article
Sensing Data Concealment in NFTs: A Steganographic Model for Confidential Cross-Border Information Exchange
by Ghassan Al-Sumaidaee and Željko Žilić
Sensors 2024, 24(4), 1264; https://doi.org/10.3390/s24041264 - 16 Feb 2024
Cited by 4 | Viewed by 2761
Abstract
In an era dominated by rapid digitalization of sensed data, the secure exchange of sensitive information poses a critical challenge across various sectors. Established techniques, particularly in emerging technologies like the Internet of Things (IoT), grapple with inherent risks in ensuring data confidentiality, [...] Read more.
In an era dominated by rapid digitalization of sensed data, the secure exchange of sensitive information poses a critical challenge across various sectors. Established techniques, particularly in emerging technologies like the Internet of Things (IoT), grapple with inherent risks in ensuring data confidentiality, integrity, and vulnerabilities to evolving cyber threats. Blockchain technology, known for its decentralized and tamper-resistant characteristics, stands as a reliable solution for secure data exchange. However, the persistent challenge lies in protecting sensitive information amidst evolving digital landscapes. Among the burgeoning applications of blockchain technology, non-fungible tokens (NFTs) have emerged as digital certificates of ownership, securely recording various types of data on a distributed ledger. Unlike traditional data storage methods, NFTs offer several advantages for secure information exchange. Firstly, their tamperproof nature guarantees the authenticity and integrity of the data. Secondly, NFTs can hold both immutable and mutable data within the same token, simplifying management and access control. Moving beyond their conventional association with art and collectibles, this paper presents a novel approach that utilizes NFTs as dynamic carriers for sensitive information. Our solution leverages the immutable NFT data to serve as a secure data pointer, while the mutable NFT data holds sensitive information protected by steganography. Steganography embeds the data within the NFT, making them invisible to unauthorized eyes, while facilitating portability. This dual approach ensures both data integrity and authorized access, even in the face of evolving digital threats. A performance analysis confirms the approach’s effectiveness, demonstrating its reliability, robustness, and resilience against attacks on hidden data. This paves the way for secure data transmission across diverse industries. Full article
(This article belongs to the Section Physical Sensors)
Show Figures

Figure 1

15 pages, 3322 KB  
Article
Pooled Steganalysis via Model Discrepancy
by Jiang Yu, Jing Zhang and Fengyong Li
Mathematics 2024, 12(4), 552; https://doi.org/10.3390/math12040552 - 11 Feb 2024
Viewed by 1380
Abstract
Pooled steganalysis aims to discover the guilty actor(s) among multiple normal actor(s). Existing techniques mainly rely on the high-dimension and time-consuming features. Moreover, the minor feature distance between cover and stego is detrimental to pooled steganalysis. To overcome these issues, this paper focuses [...] Read more.
Pooled steganalysis aims to discover the guilty actor(s) among multiple normal actor(s). Existing techniques mainly rely on the high-dimension and time-consuming features. Moreover, the minor feature distance between cover and stego is detrimental to pooled steganalysis. To overcome these issues, this paper focuses on the discrepancy of the statistical characteristics of transmitted multiple images and designs a model-based effective pooled steganalysis strategy. Facing the public and monitored channel, without using the feature extractions, pooled steganalysis collects a set of images transmitted by a suspicious actor and use the corresponding distortion values as the statistic representation of the selected image set. Specifically, the normalized distortion of the suspicious image set generated via normal/guilty actor(s) is modelled as a normal distribution, and we apply maximum likelihood estimation (MLE) to estimate the parameter (cluster center) of the distribution by which we can represent the defined model. Considering the tremendous distortion difference between normal and stego image sets, we can deduce that the constructed model can effectively discover and reveal the existence of abnormal behavior of guilty actors. To show the discrepancy of different models, employing the logistic function and likelihood ratio test (LRT), we construct a new detector by which the ratio of cluster centers is turned into a probability. Depending on the generated probability and an optimal threshold, we make a judgment on whether the dubious actor is normal or guilty. Extensive experiments demonstrate that, compared to existing pooled steganalysis techniques, the proposed scheme exhibits great detection performance on the guilty actor(s) with lower complexity. Full article
(This article belongs to the Special Issue Data Hiding, Steganography and Its Application)
Show Figures

Figure 1

19 pages, 3766 KB  
Article
Enhancing Data Security: A Cutting-Edge Approach Utilizing Protein Chains in Cryptography and Steganography
by Noura A. Mawla and Hussein K. Khafaji
Computers 2023, 12(8), 166; https://doi.org/10.3390/computers12080166 - 19 Aug 2023
Cited by 11 | Viewed by 3452
Abstract
Nowadays, with the increase in cyber-attacks, hacking, and data theft, maintaining data security and confidentiality is of paramount importance. Several techniques are used in cryptography and steganography to ensure their safety during the transfer of information between the two parties without interference from [...] Read more.
Nowadays, with the increase in cyber-attacks, hacking, and data theft, maintaining data security and confidentiality is of paramount importance. Several techniques are used in cryptography and steganography to ensure their safety during the transfer of information between the two parties without interference from an unauthorized third party. This paper proposes a modern approach to cryptography and steganography based on exploiting a new environment: bases and protein chains used to encrypt and hide sensitive data. The protein bases are used to form a cipher key whose length is twice the length of the data to be encrypted. During the encryption process, the plain data and the cipher key are represented in several forms, including hexadecimal and binary representation, and several arithmetic operations are performed on them, in addition to the use of logic gates in the encryption process to increase encrypted data randomness. As for the protein chains, they are used as a cover to hide the encrypted data. The process of hiding inside the protein bases will be performed in a sophisticated manner that is undetectable by statistical analysis methods, where each byte will be fragmented into three groups of bits in a special order, and each group will be included in one specific protein base that will be allocated to this group only, depending on the classifications of bits that have been previously stored in special databases. Each byte of the encrypted data will be hidden in three protein bases, and these protein bases will be distributed randomly over the protein chain, depending on an equation designed for this purpose. The advantages of these proposed algorithms are that they are fast in encrypting and hiding data, scalable, i.e., insensitive to the size of plain data, and lossless algorithms. The experiments showed that the proposed cryptography algorithm outperforms the most recent algorithms in terms of entropy and correlation values that reach −0.6778 and 7.99941, and the proposed steganography algorithm has the highest payload of 2.666 among five well-known hiding algorithms that used DNA sequences as the cover of the data. Full article
(This article belongs to the Special Issue Using New Technologies on Cyber Security Solutions)
Show Figures

Figure 1

14 pages, 3086 KB  
Article
Enhanced Steganography for High Dynamic Range Images with Improved Security and Capacity
by Tzung-Her Chen and Jing-Ya Yan
Appl. Sci. 2023, 13(15), 8865; https://doi.org/10.3390/app13158865 - 1 Aug 2023
Cited by 8 | Viewed by 1893
Abstract
High-dynamic-range (HDR) images are widely regarded as the ideal format for digital images due to their ability to accurately render a wider range of luminance values. Recently, research has focused on introducing data-hiding techniques to HDR images, but these studies often suffer from [...] Read more.
High-dynamic-range (HDR) images are widely regarded as the ideal format for digital images due to their ability to accurately render a wider range of luminance values. Recently, research has focused on introducing data-hiding techniques to HDR images, but these studies often suffer from a low hiding capacity. In 2011, a steganography scheme was proposed, which utilizes homogeneity in RGBE (red, green, blue, and exponent) format, a popular HDR format, and results in cover images with only slight and ignorable distortions after embedding. However, the capacity of the scheme is limited, and their steganography process may raise suspicions due to the abnormal distribution of pixel values caused by the multiplication and division in the embedding process. There is no denying that security is always the main concern for steganography. A major potential problem became clear after a careful revisiting of the scheme. This paper presents an enhanced steganography scheme that improves embedding capacity by modifying non-embeddable pixels to become embeddable in cover images and avoids potential security weaknesses by using additional random numbers to alter pixel values. The proposed scheme improves the embedding capacity of HDR images while maintaining their visual quality and security against statistical analysis attacks. The experimental result shows that the capacity increases 10 times without visual distortion. Full article
(This article belongs to the Special Issue Digital Image Security and Privacy Protection)
Show Figures

Figure 1

12 pages, 464 KB  
Communication
FedSpy: A Secure Collaborative Speech Steganalysis Framework Based on Federated Learning
by Hui Tian, Huidong Wang, Hanyu Quan, Wojciech Mazurczyk and Chin-Chen Chang
Electronics 2023, 12(13), 2854; https://doi.org/10.3390/electronics12132854 - 28 Jun 2023
Cited by 1 | Viewed by 2327
Abstract
Deep learning brings the opportunity to achieve effective speech steganalysis in speech signals. However, the speech samples used to train speech steganalysis models (i.e., steganalyzers) are usually sensitive and distributed among different agencies, making it impractical to train an effective centralized steganalyzer. Therefore, [...] Read more.
Deep learning brings the opportunity to achieve effective speech steganalysis in speech signals. However, the speech samples used to train speech steganalysis models (i.e., steganalyzers) are usually sensitive and distributed among different agencies, making it impractical to train an effective centralized steganalyzer. Therefore, in this paper, we present an effective framework, named FedSpy, using federated learning, which enables multiple agencies to securely and jointly train the speech steganalysis models without sharing their speech samples. FedSpy is a flexible and extensible framework that can work effectively in conjunction with various deep-learning-based speech steganalysis methods. We evaluate the performance of FedSpy by detecting the most widely used Quantization Index Modulation-based speech steganography with three state-of-the-art deep-learning-based steganalysis methods representatively. The results show that FedSpy significantly outperforms the local steganalyzers and achieves good detection accuracy comparable to the centralized steganalyzer. Full article
(This article belongs to the Special Issue Novel Technologies for Systems and Network Security)
Show Figures

Figure 1

19 pages, 1638 KB  
Article
Efficient Video Steganalytic Feature Design by Exploiting Local Optimality and Lagrangian Cost Quotient
by Ying Liu, Jiangqun Ni and Wenkang Su
Symmetry 2023, 15(2), 520; https://doi.org/10.3390/sym15020520 - 15 Feb 2023
Viewed by 1544
Abstract
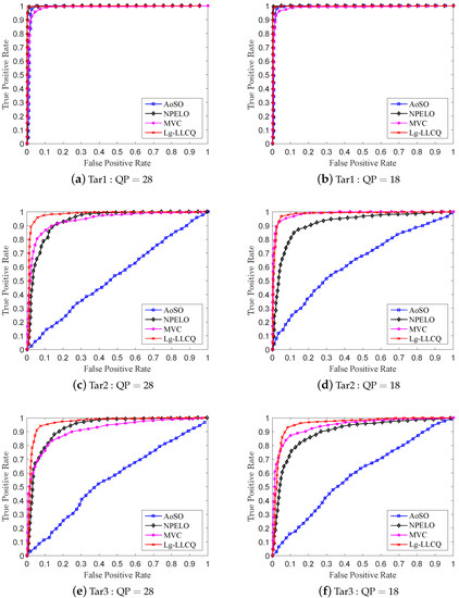
As the opponent of motion vector (MV)-based video steganography, the corresponding symmetric steganalysis has also developed a lot in recent years, among which the logic-based steganalytic schemes, e.g., AoSO, NPELO and MVC, are the most prevailing. Although currently achieving the best detection performance, [...] Read more.
As the opponent of motion vector (MV)-based video steganography, the corresponding symmetric steganalysis has also developed a lot in recent years, among which the logic-based steganalytic schemes, e.g., AoSO, NPELO and MVC, are the most prevailing. Although currently achieving the best detection performance, these steganalytic schemes are less effective in detecting some logic-maintaining steganographic schemes. In view of the fact that the distributions of covers’ local Lagrangian cost quotients are normally more concentrated in the small value ranges than those of stegos and “spread” to the large values ranges after modifying the motion vector, the local Lagrangian cost quotient would thus be an efficient indicator to reflect the difference between cover videos and stego ones. In this regard, combining the logic-based (Lg) and local Lagrangian cost quotient (LLCQ)-based feature, we finally proposed a more effective and general steganalysis feature, i.e., Lg-LLCQ, which is composed of diverse subfeatures and performs much better than the corresponding single-type feature. Extensive experimental results show that the proposed method exhibits detection performance superior to other state-of-the-art schemes and even works well under cover sources and steganographic scheme mismatch scenes, which indicates our proposed feature is more conducive to real-world applications. Full article
(This article belongs to the Section Computer)
Show Figures

Figure 1

16 pages, 4427 KB  
Article
A High-Capacity Steganography Algorithm Based on Adaptive Frequency Channel Attention Networks
by Shanqing Zhang, Hui Li, Li Li, Jianfeng Lu and Ziqian Zuo
Sensors 2022, 22(20), 7844; https://doi.org/10.3390/s22207844 - 15 Oct 2022
Cited by 10 | Viewed by 3169
Abstract
Deep learning has become an essential technique in image steganography. Most of the current deep-learning-based steganographic methods process digital images in the spatial domain. There are problems such as limited embedding capacity and unsatisfactory visual quality. To improve capacity-distortion performance, we develop a [...] Read more.
Deep learning has become an essential technique in image steganography. Most of the current deep-learning-based steganographic methods process digital images in the spatial domain. There are problems such as limited embedding capacity and unsatisfactory visual quality. To improve capacity-distortion performance, we develop a steganographic method from the frequency-domain perspective. We propose a module called the adaptive frequency-domain channel attention network (AFcaNet), which makes full use of the frequency features in each channel by a fine-grained manner of assigning weights. We apply this module to the state-of-the-art SteganoGAN, forming an Adaptive Frequency High-capacity Steganography Generative Adversarial Network (AFHS-GAN). The proposed neural network enhances the ability of high-dimensional feature extraction through overlaying densely connected convolutional blocks. In addition to this, a low-frequency loss function is introduced as an evaluation metric to guide the training of the network and thus reduces the modification of low-frequency regions of the image. Experimental results on the Div2K dataset show that our method has a better generalization capability compared to the SteganoGAN, with substantial improvement in both embedding capacity and stego-image quality. Furthermore, the embedding distribution of our method in the DCT domain is more similar to that of the traditional method, which is consistent with the prior knowledge of image steganography. Full article
(This article belongs to the Section Sensor Networks)
Show Figures

Figure 1

13 pages, 4185 KB  
Article
Quantum Steganography Based on the B92 Quantum Protocol
by Alexandru-Gabriel Tudorache, Vasile Manta and Simona Caraiman
Mathematics 2022, 10(16), 2870; https://doi.org/10.3390/math10162870 - 11 Aug 2022
Cited by 7 | Viewed by 2692
Abstract
This paper presents a communication algorithm in which a grayscale image, shared between two parties, can be used to transmit a secret message, by applying the idea introduced in the B92 quantum protocol. The least significant qubits of the pixels’ representation in certain [...] Read more.
This paper presents a communication algorithm in which a grayscale image, shared between two parties, can be used to transmit a secret message, by applying the idea introduced in the B92 quantum protocol. The least significant qubits of the pixels’ representation in certain regions of the image are used. With the help of a server, the algorithm generates a random message, which can further act as a secret key for cryptographic algorithms in order to secure the data that two parties might want to exchange later on. The chosen representation of the image is NEQR (novel enhanced quantum representation) and the platform used for testing the described idea is IBM Quantum Experience, along with the open-source Python framework called Qiskit. This solution allows users to design, implement quantum circuits (containing various quantum gates), and simulate them using real devices and local simulators. An implementation using this platform for a sample image and the corresponding results are also presented in this paper. Full article
(This article belongs to the Special Issue Quantum, Molecular and Unconventional Computing)
Show Figures

Figure 1

16 pages, 2483 KB  
Article
MTS-Stega: Linguistic Steganography Based on Multi-Time-Step
by Long Yu, Yuliang Lu, Xuehu Yan and Yongqiang Yu
Entropy 2022, 24(5), 585; https://doi.org/10.3390/e24050585 - 22 Apr 2022
Cited by 7 | Viewed by 3248
Abstract
Generative linguistic steganography encodes candidate words with conditional probability when generating text by language model, and then, it selects the corresponding candidate words to output according to the confidential message to be embedded, thereby generating steganographic text. The encoding techniques currently used in [...] Read more.
Generative linguistic steganography encodes candidate words with conditional probability when generating text by language model, and then, it selects the corresponding candidate words to output according to the confidential message to be embedded, thereby generating steganographic text. The encoding techniques currently used in generative text steganography fall into two categories: fixed-length coding and variable-length coding. Because of the simplicity of coding and decoding and the small computational overhead, fixed-length coding is more suitable for resource-constrained environments. However, the conventional text steganography mode selects and outputs a word at one time step, which is highly susceptible to the influence of confidential information and thus may select words that do not match the statistical distribution of the training text, reducing the quality and concealment of the generated text. In this paper, we inherit the decoding advantages of fixed-length coding, focus on solving the problems of existing steganography methods, and propose a multi-time-step-based steganography method, which integrates multiple time steps to select words that can carry secret information and fit the statistical distribution, thus effectively improving the text quality. In the experimental part, we choose the GPT-2 language model to generate the text, and both theoretical analysis and experiments prove the effectiveness of the proposed scheme. Full article
Show Figures

Figure 1

12 pages, 11856 KB  
Article
Meaningful Secret Image Sharing with Saliency Detection
by Jingwen Cheng, Xuehu Yan, Lintao Liu, Yue Jiang and Xuan Wang
Entropy 2022, 24(3), 340; https://doi.org/10.3390/e24030340 - 26 Feb 2022
Cited by 15 | Viewed by 3367
Abstract
Secret image sharing (SIS), as one of the applications of information theory in information security protection, has been widely used in many areas, such as blockchain, identity authentication and distributed cloud storage. In traditional secret image sharing schemes, noise-like shadows introduce difficulties into [...] Read more.
Secret image sharing (SIS), as one of the applications of information theory in information security protection, has been widely used in many areas, such as blockchain, identity authentication and distributed cloud storage. In traditional secret image sharing schemes, noise-like shadows introduce difficulties into shadow management and increase the risk of attacks. Meaningful secret image sharing is thus proposed to solve these problems. Previous meaningful SIS schemes have employed steganography to hide shares into cover images, and their covers are always binary images. These schemes usually include pixel expansion and low visual quality shadows. To improve the shadow quality, we design a meaningful secret image sharing scheme with saliency detection. Saliency detection is used to determine the salient regions of cover images. In our proposed scheme, we improve the quality of salient regions that are sensitive to the human vision system. In this way, we obtain meaningful shadows with better visual quality. Experiment results and comparisons demonstrate the effectiveness of our proposed scheme. Full article
Show Figures

Figure 1

42 pages, 823 KB  
Review
Cloud and Edge Computing-Based Computer Forensics: Challenges and Open Problems
by Vijay Prakash, Alex Williams, Lalit Garg, Claudio Savaglio and Seema Bawa
Electronics 2021, 10(11), 1229; https://doi.org/10.3390/electronics10111229 - 21 May 2021
Cited by 33 | Viewed by 16448
Abstract
In recent years, there has been a dramatic change in attitude towards computers and the use of computer resources in general. Cloud and Edge computing have emerged as the most widely used technologies, including fog computing and the Internet of Things (IoT). There [...] Read more.
In recent years, there has been a dramatic change in attitude towards computers and the use of computer resources in general. Cloud and Edge computing have emerged as the most widely used technologies, including fog computing and the Internet of Things (IoT). There are several benefits in exploiting Cloud and Edge computing paradigms, such as lower costs and higher efficiency. It provides data computation and storage where data are processed, enables better data control, faster understanding and actions, and continuous operation. However, though these benefits seem to be appealing, their effects on computer forensics are somewhat undesirable. The complexity of the Cloud and Edge environments and their key features present many technical challenges from multiple stakeholders. This paper seeks to establish an in-depth understanding of the impact of Cloud and Edge computing-based environmental factors. Software and hardware tools used in the digital forensic process, forensic methods for handling tampered sound files, hidden files, image files, or images with steganography, etc. The technical/legal challenges and the open design problems (such as distributed maintenance, multitasking and practicality) highlight the various challenges for the digital forensics process. Full article
(This article belongs to the Special Issue Recent Trends in Intelligent Systems)
Show Figures

Figure 1

12 pages, 639 KB  
Article
Distributed Steganography in PDF Files—Secrets Hidden in Modified Pages
by Katarzyna Koptyra and Marek R. Ogiela
Entropy 2020, 22(6), 600; https://doi.org/10.3390/e22060600 - 28 May 2020
Cited by 10 | Viewed by 8808
Abstract
This paper shows how to diffuse a message and hide it in multiple PDF files. Presented method uses dereferenced objects and secret splitting or sharing algorithms. It is applicable to various types of PDF files, including text documents, presentations, scanned images etc. Because [...] Read more.
This paper shows how to diffuse a message and hide it in multiple PDF files. Presented method uses dereferenced objects and secret splitting or sharing algorithms. It is applicable to various types of PDF files, including text documents, presentations, scanned images etc. Because hiding process is based on structure manipulation, the solution may be easily combined with content-dependent steganographic techniques. The hidden pages are not visible in typical application usage, which was tested with seven different programs. Full article
(This article belongs to the Section Information Theory, Probability and Statistics)
Show Figures

Figure 1

Back to TopTop