Sign in to use this feature.

Years

Between: -

Subjects

remove_circle_outline
remove_circle_outline
remove_circle_outline
remove_circle_outline
remove_circle_outline
remove_circle_outline
remove_circle_outline
remove_circle_outline
remove_circle_outline

Journals

remove_circle_outline
remove_circle_outline
remove_circle_outline
remove_circle_outline
remove_circle_outline
remove_circle_outline
remove_circle_outline
remove_circle_outline
remove_circle_outline
remove_circle_outline
remove_circle_outline
remove_circle_outline
remove_circle_outline
remove_circle_outline
remove_circle_outline
remove_circle_outline
remove_circle_outline
remove_circle_outline
remove_circle_outline
remove_circle_outline
remove_circle_outline
remove_circle_outline
remove_circle_outline
remove_circle_outline

Article Types

Countries / Regions

remove_circle_outline
remove_circle_outline
remove_circle_outline
remove_circle_outline
remove_circle_outline
remove_circle_outline
remove_circle_outline
remove_circle_outline
remove_circle_outline
remove_circle_outline

Search Results (5,418)

Search Parameters:
Keywords = deep-level learning

Order results
Result details
Results per page
Select all
Export citation of selected articles as:
30 pages, 40915 KB  
Article
A Quantitative Assessment of the Inconsistency Between Waterbody Segmentation and Shoreline Positioning in Deep Learning Models
by Wei Wang, Boyuan Lu, Yihan Li and Fujiang Ji
Geomatics 2026, 6(1), 21; https://doi.org/10.3390/geomatics6010021 (registering DOI) - 16 Feb 2026
Abstract
Accurate shoreline positioning is critical for coastal monitoring and management, yet deep learning shoreline products are often evaluated using conventional waterbody segmentation metrics that do not explicitly measure boundary alignment. Using 20,689 NAIP aerial images covering the Great Lakes shoreline from the Coastal [...] Read more.
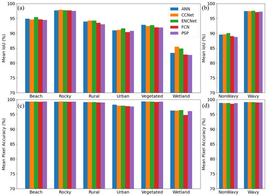
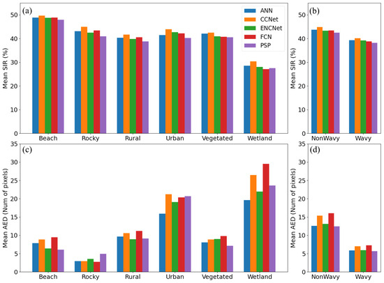
Accurate shoreline positioning is critical for coastal monitoring and management, yet deep learning shoreline products are often evaluated using conventional waterbody segmentation metrics that do not explicitly measure boundary alignment. Using 20,689 NAIP aerial images covering the Great Lakes shoreline from the Coastal Aerial Imagery Dataset (CAID), we benchmark five semantic segmentation models and quantify the inconsistency between image-level segmentation accuracy (pixel accuracy, IoU) and shoreline positioning accuracy measured by the Shoreline Intersection Ratio (SIR) and Average Eulerian Distance (AED). Although segmentation performance is consistently high (pixel accuracy typically >98% and IoU often >90%), shoreline agreement is substantially lower and strongly landscape-dependent, with the poorest results in wetlands and urban scenes. Correlation analyses across coastal types and water-surface conditions show that the correspondence between segmentation metrics and SIR varies with shoreline morphology. Multivariate regressions confirm the shoreline-to-water ratio (SWR) as the dominant predictor of both SIR and AED, while shoreline complexity (SCI) and mean water hue (MWH) have weaker, context-dependent effects. These results demonstrate that high segmentation accuracy does not guarantee precise shoreline delineation and motivate shoreline-aware evaluation protocols. Full article
Show Figures

Figure 1

16 pages, 440 KB  
Article
Signal Processing and Machine Learning for the Sustainability of the Italian Social Security System: Evidence from ISTAT Pension Data
by Gianfranco Piscopo, Chiara Marciano, Maria Longobardi and Massimiliano Giacalone
Mathematics 2026, 14(4), 690; https://doi.org/10.3390/math14040690 (registering DOI) - 15 Feb 2026
Abstract
The long-run sustainability of pay-as-you-go pension systems crucially depends on the dynamic balance between social-security contributions paid by the working population and benefits paid to retirees. In Italy, the National Social Security Institute (INPS) manages the core of the public system, whose financial [...] Read more.
The long-run sustainability of pay-as-you-go pension systems crucially depends on the dynamic balance between social-security contributions paid by the working population and benefits paid to retirees. In Italy, the National Social Security Institute (INPS) manages the core of the public system, whose financial equilibrium is increasingly challenged by demographic aging, labor market fragility, and macroeconomic shocks. In this paper, in line with the aims of the Special Issue “Signal Processing and Machine Learning in Real-Life Processes”, we reinterpret the Italian pension system as a complex stochastic signal-processing problem. Using the most recent data published in the Annuario Statistico Italiano 2024 highlighting by ISTAT—with a focus on Protection and Social Security—we construct a set of time series describing contributions, benefits, coverage ratios and pension amounts, both at the national and territorial level. On this basis, we compare classical time-series models and a recurrent neural network with Long Short-Term Memory (LSTM) architecture for multi-step forecasting of the main aggregates. The signal-processing perspective allows us to disentangle trend, cyclical and shock components, while machine learning provides flexible nonlinear forecasting tools capable of capturing structural breaks such as the COVID-19 crisis. Our empirical results suggest that (i) pension expenditure remains high and persistent as a share of GDP; (ii) the contribution coverage ratio improved in 2022 but remains below the pre-pandemic level; and (iii) regional heterogeneity in the per-capita pension deficit is substantial and stable over time, with persistent imbalances in Southern regions and Islands. Finally, we perform a scenario analysis combining LSTM-based forecasts with demographic and labor market hypotheses, and we quantify the impact of alternative policy measures on the future pension deficit signal. The proposed framework, which integrates permutation-based inference, signal decomposition and deep learning, provides a reproducible template for the real-time monitoring of pension sustainability using official open data. Full article
(This article belongs to the Special Issue Signal Processing and Machine Learning in Real-Life Processes)
28 pages, 3876 KB  
Article
A Study on the Multi-Source Remote Sensing Visibility Classification Method Based on the LF-Transformer
by Chuhan Lu, Zhiyuan Han and Xiaoni Liang
Remote Sens. 2026, 18(4), 618; https://doi.org/10.3390/rs18040618 (registering DOI) - 15 Feb 2026
Abstract
Visibility is a critical meteorological factor for ensuring the safety of maritime and bridge transportation, and accurate identification of low-visibility levels is essential for early warning and operational scheduling. Traditional methods such as Random Forest often exhibit insufficient feature-modeling capability when dealing with [...] Read more.
Visibility is a critical meteorological factor for ensuring the safety of maritime and bridge transportation, and accurate identification of low-visibility levels is essential for early warning and operational scheduling. Traditional methods such as Random Forest often exhibit insufficient feature-modeling capability when dealing with high-dimensional, multi-source remote sensing data. Meanwhile, satellite observations used for visibility recognition are characterized by strong inter-channel correlations, complex nonlinear interactions, significant observational noise and outliers, and the scarcity of low-visibility samples that are easily confused with low clouds and haze. As a result, existing general deep learning methods (e.g., the Saint model) may still exhibit unstable attention weights and limited generalization under complex meteorological conditions. To address these limitations, this study constructs a visibility classification task for the Jiaxing–Shaoxing Cross-Sea Bridge region in China based on multi-channel visible and infrared spectral observations from the Fengyun-4A (FY-4A) and Fengyun-4B (FY-4B) satellites. We propose a visibility classification method using the LF-Transformer for the Jiaxing–Shaoxing Cross-Sea Bridge region in China, and systematically compare it with the Random Forest and Saint models. Experimental results show that the Precision of the LF-Transformer increases significantly from 0.47 (Random Forest) to 0.59, achieving a 13% improvement and demonstrating stronger discriminative ability and stability under complex meteorological conditions. Furthermore, a combination input of FY4A+FY4B outperform the single FY4A, with a 25.5% increased Macro F1-score. With an additional ensemble strategy, the LF-Transformer further improves its precision on the FY4A+FY4B fused dataset to 0.61, a 3% compared to the original LF-Transformer, indicating enhanced prediction stability. Overall, the proposed method substantially strengthens visibility classification performance and highlights the strong application potential of the LF-Transformer in remote-sensing-based meteorological tasks, particularly for low-visibility monitoring, early warning, and transportation safety assurance. Full article
22 pages, 7987 KB  
Article
RioCC: Efficient and Accurate Class-Level Code Recommendation Based on Deep Code Clone Detection
by Hongcan Gao, Chenkai Guo and Hui Yang
Entropy 2026, 28(2), 223; https://doi.org/10.3390/e28020223 (registering DOI) - 14 Feb 2026
Viewed by 38
Abstract
Context: Code recommendation plays an important role in improving programming efficiency and software quality. Existing approaches mainly focus on method- or API-level recommendations, which limits their effectiveness to local code contexts. From a multi-stage recommendation perspective, class-level code recommendation aims to efficiently narrow [...] Read more.
Context: Code recommendation plays an important role in improving programming efficiency and software quality. Existing approaches mainly focus on method- or API-level recommendations, which limits their effectiveness to local code contexts. From a multi-stage recommendation perspective, class-level code recommendation aims to efficiently narrow a large candidate code space while preserving essential structural information. Objective: This paper proposes RioCC, a class-level code recommendation framework that leverages deep forest-based code clone detection to progressively reduce the candidate space and improve recommendation efficiency in large-scale code spaces. Method: RioCC models the recommendation process as a coarse-to-fine candidate reduction procedure. In the coarse-grained stage, a quick search-based filtering module performs rapid candidate screening and initial similarity estimation, effectively pruning irrelevant candidates and narrowing the search space. In the fine-grained stage, a deep forest-based analysis with cascade learning and multi-grained scanning captures context- and structure-aware representations of class-level code fragments, enabling accurate similarity assessment and recommendation. This two-stage design explicitly separates coarse candidate filtering from detailed semantic matching to balance efficiency and accuracy. Results: Experiments on a large-scale dataset containing 192,000 clone pairs from BigCloneBench and a collected code pool show that RioCC consistently outperforms state-of-the-art methods, including CCLearner, Oreo, and RSharer, across four types of code clones, while significantly accelerating the recommendation process with comparable detection accuracy. Conclusions: By explicitly formulating class-level code recommendation as a staged retrieval and refinement problem, RioCC provides an efficient and scalable solution for large-scale code recommendation and demonstrates the practical value of integrating lightweight filtering with deep forest-based learning. Full article
(This article belongs to the Section Multidisciplinary Applications)
30 pages, 61373 KB  
Article
Predicting Cropland Non-Agriculturalization Susceptibility Using Multi-Source Data and Graph Attention Networks: A Case Study of Wuhan, China
by Shiqi Wan, Lina Huang and Zhangying Xia
ISPRS Int. J. Geo-Inf. 2026, 15(2), 77; https://doi.org/10.3390/ijgi15020077 (registering DOI) - 14 Feb 2026
Viewed by 25
Abstract
Cropland non-agriculturalization (CNA) threatens food security, ecosystem services, and sustainable development amid accelerating global urbanization. However, existing monitoring methods are often retrospective and lack adequate spatial and temporal resolution for proactive management. This study proposes GS-GAT, a graph-based deep learning framework for predicting [...] Read more.
Cropland non-agriculturalization (CNA) threatens food security, ecosystem services, and sustainable development amid accelerating global urbanization. However, existing monitoring methods are often retrospective and lack adequate spatial and temporal resolution for proactive management. This study proposes GS-GAT, a graph-based deep learning framework for predicting CNA susceptibility at the meso-spatial scale. A spatial graph was constructed for the non-central districts of Wuhan, China, and multisource features were extracted across four dimensions: imagery, land cover, topography, and socioeconomics. A comprehensive intensity index is developed to compute susceptibility levels at the street-block level based on multi-year land use data from 2018 to 2022. To address class imbalance, GraphSMOTE is employed to enhance minority node representation. The key model of GS-GAT is trained across four temporal snapshots using attention-based feature aggregation and joint optimization of classification and structural reconstruction losses. Experimental results show that GS-GAT demonstrated an average AUC of 85.6% and an F1 score of 82.6%, which increased to 93% and 91%, respectively, under relaxed evaluation criteria, whereby baseline models such as SVM and XGBoost were outperformed. Ablation studies confirm the contributions of feature fusion and GraphSMOTE to model robustness and minority class detection. The proposed framework offers a scalable and interpretable approach for early identification of cropland conversion risks, supporting more targeted land-use management and cropland protection strategies. Full article
31 pages, 1964 KB  
Article
IoT Vulnerability Severity Prediction Using Lightweight Transformer Models
by Samira A. Baho and Jemal Abawajy
J. Cybersecur. Priv. 2026, 6(1), 36; https://doi.org/10.3390/jcp6010036 (registering DOI) - 14 Feb 2026
Viewed by 99
Abstract
Vulnerability severity assessment plays a critical role in cybersecurity risk management by quantifying risk based on vulnerability disclosure reports. However, interpreting these reports and assigning reliable risk levels remains challenging in Internet of Things (IoT) environments. This paper proposes an IoT vulnerability severity [...] Read more.
Vulnerability severity assessment plays a critical role in cybersecurity risk management by quantifying risk based on vulnerability disclosure reports. However, interpreting these reports and assigning reliable risk levels remains challenging in Internet of Things (IoT) environments. This paper proposes an IoT vulnerability severity prediction framework aligned with the Common Vulnerability Scoring System (CVSS). The framework is based on a lightweight transformer architecture. It uses a distilled version of Bidirectional Encoder Representations from Transformers (BERT). The model is fine-tuned using transfer learning to capture contextual semantic information from vulnerability descriptions. The lightweight design preserves computational efficiency. Experimental evaluation on an IoT vulnerability dataset shows strong and consistent performance across all severity classes. The proposed model achieves double-digit improvements across key evaluation metrics. In most cases, the improvement exceeds 20% compared with traditional machine learning and baseline deep learning approaches. These results show that lightweight transformer models are well suited for IoT security. They provide a practical and effective solution for automated vulnerability severity classification in resource- and data-constrained environments. Full article
Show Figures

Figure 1

26 pages, 5545 KB  
Article
GeoFormer: Geography-Aware Adaptive Transformer with Multi-Scale Temporal Fusion for Global Reservoir Water Level Forecasting
by Xiaobing Wu, Jinhao Guo, Yahui Shan and Guangyin Jin
Mathematics 2026, 14(4), 676; https://doi.org/10.3390/math14040676 (registering DOI) - 14 Feb 2026
Viewed by 26
Abstract
Accurate reservoir water level forecasting is essential for water resource management, flood risk mitigation, and hydropower operation. However, it remains challenging due to pronounced geographical heterogeneity and complex multi-scale temporal dynamics. Existing deep-learning approaches typically overlook explicit geographical and climatic conditioning. They struggle [...] Read more.
Accurate reservoir water level forecasting is essential for water resource management, flood risk mitigation, and hydropower operation. However, it remains challenging due to pronounced geographical heterogeneity and complex multi-scale temporal dynamics. Existing deep-learning approaches typically overlook explicit geographical and climatic conditioning. They struggle to capture temporal dependencies across multiple time scales. They also exhibit limited transferability across reservoirs with similar hydrological characteristics. To address these limitations, this paper proposes GeoFormer, a geography-aware adaptive Transformer framework designed for reservoir water level forecasting across diverse geographical contexts. GeoFormer integrates three key innovations. First, a Geography-Aware Embedding Module conditions temporal representations on geographical location, climate regimes, and reservoir attributes. Second, an Adaptive Multi-Scale Temporal Fusion mechanism dynamically aggregates information across daily, weekly, and monthly temporal resolutions. Third, a Cross-Reservoir Knowledge Transfer strategy enables effective knowledge sharing among hydrologically similar reservoirs. Extensive experiments on six reservoirs distributed across multiple continents and climate zones demonstrate that GeoFormer consistently outperforms state-of-the-art baselines, including iTransformer, DLinear, and Informer. The model achieves average reductions of 23.7% in RMSE, 19.4% in MAE, and 15.8% in MAPE, while maintaining strong robustness and generalization across geographically heterogeneous hydrological systems. Full article
20 pages, 1738 KB  
Article
STAIT: A Spatio-Temporal Alternating Iterative Transformer for Multi-Temporal Remote Sensing Image Cloud Removal
by Yukun Cui, Jiangshe Zhang, Haowen Bai, Zixiang Zhao, Lilun Deng, Shuang Xu and Chunxia Zhang
Remote Sens. 2026, 18(4), 596; https://doi.org/10.3390/rs18040596 (registering DOI) - 14 Feb 2026
Viewed by 40
Abstract
Multi-temporal remote sensing image cloud removal aims to reconstruct land surface information in regions obscured by clouds and their shadows, thereby mitigating a major constraint on the application of remote sensing imagery. However, existing multi-temporal deep learning methods for cloud removal often fail [...] Read more.
Multi-temporal remote sensing image cloud removal aims to reconstruct land surface information in regions obscured by clouds and their shadows, thereby mitigating a major constraint on the application of remote sensing imagery. However, existing multi-temporal deep learning methods for cloud removal often fail to model complex spatio-temporal dynamics, leading to suboptimal performance. To address this challenge, we propose a novel framework for multi-temporal cloud removal. In this architecture, the most critical component is the Spatio-Temporal Alternating Iterative Transformer (STAIT), which primarily consists of temporal and spatial attention mechanisms. STAIT is engineered to refine spatio-temporal feature representation by establishing an effective interplay between spatial details and temporal dynamics. Our framework is enhanced by an efficient image token generator with group convolution-based multi-level feature extraction to manage complexity, and a pixel reconstruction decoder with a shared progressive upsampling network to improve reconstruction by learning time-invariant features. Experimental results demonstrate that by explicitly modeling spatio-temporal feature dependencies, our approach achieves superior performance in restoring high-fidelity, cloud-free imagery. Full article
Show Figures

Figure 1

18 pages, 5501 KB  
Article
Spatial Prediction of Electronic Wavefunctions from Reciprocal Lattices: Visualization of Electronic Properties of 2D Materials Using Deep Convolutional Neural Networks
by Rubén Guerrero-Rivera, Norma A. García-Vidaña, Francisco J. Godínez-García, Zhipeng Wang, Morinobu Endo and Josué Ortiz-Medina
AI Mater. 2026, 1(1), 3; https://doi.org/10.3390/aimater1010003 - 13 Feb 2026
Viewed by 79
Abstract
The representation of electronic wavefunctions in real space grids, which are directly related to molecular orbitals and electronic densities either in molecular or crystalline systems, is a fundamental part of many studies at ab initio levels, since it contributes to the understanding of [...] Read more.
The representation of electronic wavefunctions in real space grids, which are directly related to molecular orbitals and electronic densities either in molecular or crystalline systems, is a fundamental part of many studies at ab initio levels, since it contributes to the understanding of complex physical and chemical phenomena at the nanoscale. This work proposes the use of a deep convolutional neural network for the prediction of electronic wavefunctions at arbitrary positions along high-symmetry points within the reciprocal space (first Brillouin zone), which can be represented as isosurfaces in the real space. The proposed neural network algorithm is trained with data from density functional theory (DFT) calculations of monolayer 2D crystalline systems (i.e., pristine, B- and N-doped graphene, and MoS2) and was able to produce predictions of data for wavefunction representation on the real space, with accuracies in between 62% and 92%, from calculated determination coefficients. Moreover, the optimized method for generating spatial representations of electronic wavefunctions, based on Machine Learning, is at least 25× faster than the conventional DFT-based methodology, enabling an efficient way for a quick assessment of 2D material properties related to the spatial distribution of electronic wavefunctions in the real space, such as local charge density and molecular orbital visualization in crystalline systems, and including their dependence on the position within the reciprocal space. Full article
Show Figures

Figure 1

19 pages, 1004 KB  
Article
Early Anomaly Detection in Maritime Refrigerated Containers Using a Hybrid Digital Twin and Deep Learning Framework
by Marko Vukšić, Jasmin Ćelić, Dario Ogrizović and Ana Perić Hadžić
Appl. Sci. 2026, 16(4), 1887; https://doi.org/10.3390/app16041887 - 13 Feb 2026
Viewed by 71
Abstract
Maritime refrigerated containers operate under harsh and highly variable conditions, where gradual equipment degradation can lead to temperature excursions, cargo losses, and operational disruptions. In current practice, monitoring relies largely on threshold-based temperature alarms, which are reactive and provide limited insight into early [...] Read more.
Maritime refrigerated containers operate under harsh and highly variable conditions, where gradual equipment degradation can lead to temperature excursions, cargo losses, and operational disruptions. In current practice, monitoring relies largely on threshold-based temperature alarms, which are reactive and provide limited insight into early abnormal behaviour. This study proposes a hybrid framework for early anomaly detection in maritime refrigerated containers that combines a lightweight physics-based digital twin with a deep learning anomaly detector trained exclusively on fault-free operation. The approach is designed for shipboard constraints and uses only controller-level signals augmented by locally derived features, enabling low-complexity edge execution. The digital twin produces physically interpretable temperature residuals, while a convolutional autoencoder learns normal multivariate operating patterns and flags deviations via reconstruction error. Both indicators are integrated using conservative persistence gating to suppress short-lived transients typical of maritime operation. The framework is evaluated in a simulation environment calibrated to representative reefer thermal dynamics under variable ambient conditions and progressive fault injection across gradual and abrupt fault categories. Results indicate earlier and operationally credible detection compared to conventional alarms, supporting practical predictive maintenance in maritime cold-chain logistics. Full article
(This article belongs to the Special Issue AI Applications in the Maritime Sector)
Show Figures

Figure 1

17 pages, 1091 KB  
Article
ASD Recognition Through Weighted Integration of Landmark-Based Handcrafted and Pixel-Based Deep Learning Features
by Asahi Sekine, Abu Saleh Musa Miah, Koki Hirooka, Najmul Hassan, Md. Al Mehedi Hasan, Yuichi Okuyama, Yoichi Tomioka and Jungpil Shin
Computers 2026, 15(2), 124; https://doi.org/10.3390/computers15020124 - 13 Feb 2026
Viewed by 172
Abstract
Autism Spectrum Disorder (ASD) is a neurological condition that affects communication and social interaction skills, with individuals experiencing a range of challenges that often require specialized care. Automated systems for recognizing ASD face significant challenges due to the complexity of identifying distinguishing features [...] Read more.
Autism Spectrum Disorder (ASD) is a neurological condition that affects communication and social interaction skills, with individuals experiencing a range of challenges that often require specialized care. Automated systems for recognizing ASD face significant challenges due to the complexity of identifying distinguishing features from facial images. This study proposes an incremental advancement in ASD recognition by introducing a dual-stream model that combines handcrafted facial-landmark features with deep learning-based pixel-level features. The model processes images through two distinct streams to capture complementary aspects of facial information. In the first stream, facial landmarks are extracted using MediaPipe (v0.10.21),with a focus on 137 symmetric landmarks. The face’s position is adjusted using in-plane rotation based on eye-corner angles, and geometric features along with 52 blendshape features are processed through Dense layers. In the second stream, RGB image features are extracted using pre-trained CNNs (e.g., ResNet50V2, DenseNet121, InceptionV3) enhanced with Squeeze-and-Excitation (SE) blocks, followed by feature refinement through Global Average Pooling (GAP) and DenseNet layers. The outputs from both streams are fused using weighted concatenation through a softmax gate, followed by further feature refinement for classification. This hybrid approach significantly improves the ability to distinguish between ASD and non-ASD faces, demonstrating the benefits of combining geometric and pixel-based features. The model achieved an accuracy of 96.43% on the Kaggle dataset and 97.83% on the YTUIA dataset. Statistical hypothesis testing further confirms that the proposed approach provides a statistically meaningful advantage over strong baselines, particularly in terms of classification correctness and robustness across datasets. While these results are promising, they show incremental improvements over existing methods, and future work will focus on optimizing performance to exceed current benchmarks. Full article
(This article belongs to the Special Issue Machine and Deep Learning in the Health Domain (3rd Edition))
Show Figures

Figure 1

30 pages, 7886 KB  
Article
Detection and Precision Application Path Planning for Cotton Spider Mite Based on UAV Multispectral Remote Sensing
by Hua Zhuo, Mei Yang, Bei Wu, Yuqin Xiao, Jungang Ma, Yanhong Chen, Manxian Yang, Yuqing Li, Yikun Zhao and Pengfei Shi
Agriculture 2026, 16(4), 424; https://doi.org/10.3390/agriculture16040424 - 12 Feb 2026
Viewed by 112
Abstract
Cotton spider mites pose a significant threat to cotton production, while traditional manual investigation and blanket pesticide application are inefficient for precision pest management in large-scale cotton fields. To address this challenge, this study developed an integrated UAV multispectral remote sensing system for [...] Read more.
Cotton spider mites pose a significant threat to cotton production, while traditional manual investigation and blanket pesticide application are inefficient for precision pest management in large-scale cotton fields. To address this challenge, this study developed an integrated UAV multispectral remote sensing system for spider mite monitoring and precision spraying. Multispectral imagery was acquired from cotton fields in Shaya County, Xinjiang using UAV-mounted cameras, and vegetation indices including RDVI, MSAVI, SAVI, and OSAVI were selected through feature optimization. Comparative evaluation of three machine learning models (Logistic Regression, Random Forest, and Support Vector Machine) and two deep learning models (1D-CNN and MobileNetV2) was conducted. Considering classification performance and computational efficiency for real-time UAV deployment, Random Forest was identified as optimal, achieving 85.47% accuracy, an 85.24% F1-score, and an AUC of 0.912. The model generated centimeter-level spatial distribution maps for precise spray zone delineation. An improved NSGA-III multi-objective path optimization algorithm was proposed, incorporating PCA-based heuristic initialization, differential evolution operators, and co-evolutionary dual population strategies to optimize deadheading distance, energy consumption, operation time, turning frequency, and load balancing. Ablation study validated the effectiveness of each component, with the fully improved algorithm reducing IGD by 59.94% and increasing HV by 5.90% compared to standard NSGA-III. Field validation showed 98.5% coverage of infested areas with only 3.6% path repetition, effectively minimizing pesticide waste and phytotoxicity risks. This study established a complete technical pipeline from monitoring to application, providing a valuable reference for precision pest control in large-scale cotton production systems. The framework demonstrated robust performance across multiple field sites, though its generalization is currently limited to one geographic region and growth stage. Future work will extend its application to additional cotton varieties, growth stages, and geographic regions. Full article
Show Figures

Figure 1

28 pages, 8042 KB  
Article
KASVA: A Variational Deep Learning Framework for Measuring Regional Sustainability and Inequality
by Cuneyt Furkan Celiktas, Fatih Cure and Muhammed Cavus
Sustainability 2026, 18(4), 1911; https://doi.org/10.3390/su18041911 - 12 Feb 2026
Viewed by 219
Abstract
Assessing regional sustainability is challenged by the multidimensional, non-linear, and highly correlated nature of socio-economic and environmental indicators. Conventional composite indices often rely on linear aggregation and fixed weighting schemes, which can obscure structural interdependencies and amplify scale dominance. To address these limitations, [...] Read more.
Assessing regional sustainability is challenged by the multidimensional, non-linear, and highly correlated nature of socio-economic and environmental indicators. Conventional composite indices often rely on linear aggregation and fixed weighting schemes, which can obscure structural interdependencies and amplify scale dominance. To address these limitations, this study proposes the Knowledge-Aware Sustainability Variational Assessment (KASVA), a deep-learning-based framework that integrates variational representation learning, latent-space clustering, and robustness analysis to construct a composite sustainability index. Using a comprehensive set of demographic, economic, social, and environmental indicators for Turkish Nomenclature of Territorial Units for Statistics level 2 (NUTS2) regions, KASVA learns a compact latent representation that captures non-linear interactions among indicators exhibiting strong multicollinearity, with pairwise correlations frequently exceeding 0.8. The resulting Global Territorial Variational Sustainability Index (GTVSI) reveals substantial regional heterogeneity and pronounced spatial inequality. Latent-space clustering identifies distinct regional sustainability regimes, with silhouette scores predominantly in the range 0.4–0.5, indicating stable and well-separated clusters. Robustness analysis based on 1000 bootstrap resamples demonstrates high ranking stability, with a median Spearman rank correlation of approximately 0.69 and the majority of correlations exceeding 0.6. Compared with conventional equal-weight and principal component analysis (PCA)-based indices, the proposed framework yields more coherent and stable regional rankings. Overall, KASVA provides a data-driven, robust approach to sustainability assessment, offering improved interpretability and reliability for regional policy analysis and evidence-based decision-making. Full article
Show Figures

Figure 1

22 pages, 694 KB  
Article
CoMEx: Continual Mixture of Experts for Fast Policy Adaptation in RAN Slicing
by Xian Mu, Mingzhu Liu, Yao Xu and Dagang Li
Appl. Sci. 2026, 16(4), 1823; https://doi.org/10.3390/app16041823 - 12 Feb 2026
Viewed by 101
Abstract
Network slicing is a cornerstone of 5G/6G vertical services, yet practical deployments require mobile network operators (MNOs) to adjust slice service level agreement (SLA) weights based on quality of experience (QoE), causing rapid non-stationary objective changes that can destabilize deep reinforcement learning (DRL) [...] Read more.
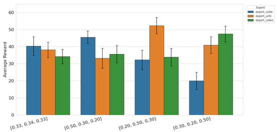
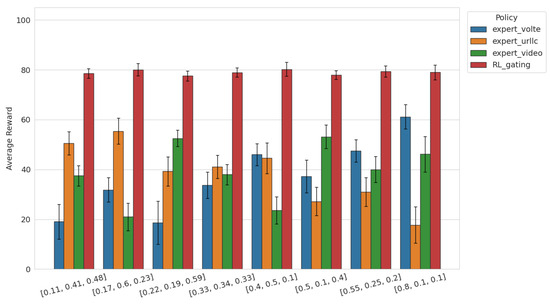
Network slicing is a cornerstone of 5G/6G vertical services, yet practical deployments require mobile network operators (MNOs) to adjust slice service level agreement (SLA) weights based on quality of experience (QoE), causing rapid non-stationary objective changes that can destabilize deep reinforcement learning (DRL) slicing policies and necessitate retraining. This paper proposes Continual Mixture of Experts (CoMEx) for fast policy adaptation. CoMEx pre-trains and freezes multiple expert policies under diverse SLA preferences, explicitly appends the SLA weight vector to observations, and trains a DRL-based gating network to fuse expert actions at the step level for fast adaptation to unseen SLA configurations. To broaden coverage without degrading existing experts, CoMEx further incorporates a masked expert expansion mechanism that incrementally adds new experts and fine-tunes the gate. Step-level DRL gating demonstrates superior generalization in RAN slicing, attaining a mean score of 78.95 under unseen SLA weights—surpassing episode-level and supervised gating by 2.40% and 27.67%, respectively. Moreover, CoMEx’s extensibility is highlighted by a 7.08% performance boost (reaching 84.54) upon the addition of a fourth expert. Such results confirm the framework’s capacity for timely and robust policy adaptation in non-stationary SLA environments. Full article
(This article belongs to the Special Issue Artificial Intelligence in Complex Networks (2nd Edition))
Show Figures

Figure 1

23 pages, 2557 KB  
Article
MECFN: A Multi-Modal Temporal Fusion Network for Valve Opening Prediction in Fluororubber Material Level Control
by Weicheng Yan, Kaiping Yuan, Han Hu, Minghui Liu, Haigang Gong, Xiaomin Wang and Guantao Zhang
Electronics 2026, 15(4), 783; https://doi.org/10.3390/electronics15040783 - 12 Feb 2026
Viewed by 80
Abstract
During fluororubber production, strong material agitation and agglomeration induce severe dynamic fluctuations, irregular surface morphology, and pronounced variations in apparent material level. Under such operating conditions, conventional single-modality monitoring approaches—such as point-based height sensors or manual visual inspection—often fail to reliably capture the [...] Read more.
During fluororubber production, strong material agitation and agglomeration induce severe dynamic fluctuations, irregular surface morphology, and pronounced variations in apparent material level. Under such operating conditions, conventional single-modality monitoring approaches—such as point-based height sensors or manual visual inspection—often fail to reliably capture the true process state. This information deficiency leads to inaccurate valve opening adjustment and degrades material level control performance. To address this issue, valve opening prediction is formulated as a data-driven, control-oriented regression task for material level regulation, and an end-to-end multimodal temporal regression framework, termed MECFN (Multi-Modal Enhanced Cross-Fusion Network), is proposed. The model performs deep fusion of visual image sequences and height sensor signals. A customized Multi-Feature Extraction (MFE) module is designed to enhance visual feature representation under complex surface conditions, while two independent Transformer encoders are employed to capture long-range temporal dependencies within each modality. Furthermore, a context-aware cross-attention mechanism is introduced to enable effective interaction and adaptive fusion between heterogeneous modalities. Experimental validation on a real-world industrial fluororubber production dataset demonstrates that MECFN consistently outperforms traditional machine learning approaches and single-modality deep learning models in valve opening prediction. Quantitative results show that MECFN achieves a mean absolute error of 2.36, a root mean squared error of 3.73, and an R2 of 0.92. These results indicate that the proposed framework provides a robust and practical data-driven solution for supporting valve control and achieving stable material level regulation in industrial production environments. Full article
(This article belongs to the Special Issue AI for Industry)
Show Figures

Figure 1

Back to TopTop