Sign in to use this feature.

Years

Between: -

Subjects

remove_circle_outline
remove_circle_outline
remove_circle_outline
remove_circle_outline
remove_circle_outline
remove_circle_outline
remove_circle_outline
remove_circle_outline
remove_circle_outline

Journals

Article Types

Countries / Regions

Search Results (37)

Search Parameters:
Keywords = deep acid fracturing

Order results
Result details
Results per page
Select all
Export citation of selected articles as:
12 pages, 5578 KB  
Article
A Zwitterionic Copolymer at High Temperature and High Salinity for Oilfield Fracturing Fluids
by Bo Jing, Yuejun Zhu, Wensen Zhao, Weidong Jiang, Shilun Zhang, Bo Huang and Guangyan Du
Polymers 2025, 17(20), 2733; https://doi.org/10.3390/polym17202733 - 12 Oct 2025
Viewed by 488
Abstract
With the increasing exploration and development of deep shale gas resources, water-based fracturing fluids face multiple challenges, including high-temperature resistance, salt tolerance, and efficient proppant transport. In this study, a zwitterionic polymer (polyAMASV) is synthesized via aqueous two-phase dispersion polymerization, using acrylamide (AM), [...] Read more.
With the increasing exploration and development of deep shale gas resources, water-based fracturing fluids face multiple challenges, including high-temperature resistance, salt tolerance, and efficient proppant transport. In this study, a zwitterionic polymer (polyAMASV) is synthesized via aqueous two-phase dispersion polymerization, using acrylamide (AM), 2-acrylamido-2-methylpropanesulfonic acid (AMPS), acrylic acid (AA), stearyl methacrylate (SMA), and 4-vinylpyridine propylsulfobetaine (4-VPPS) as monomers. The introduction of hydrophobic alkyl chains effectively adjusts the viscoelasticity of the emulsion, while the incorporation of zwitterionic units provides salt tolerance through their intrinsic anti-polyelectrolyte effect. As a result, the solutions of such copolymers exhibit stable apparent viscosity in both NaCl and CaCl2 solutions and under high temperatures. Meanwhile, polyAMASV outperforms conventional samples across various saline environments, reducing proppant settling rates by approximately 20%. Moreover, the solutions exhibit rapid gel-breaking and low residue characteristics, ensuring effective reservoir protection. These results highlight the promising potential of polyAMASV for deep shale gas fracturing applications. Full article
(This article belongs to the Section Smart and Functional Polymers)
Show Figures

Graphical abstract

18 pages, 3556 KB  
Article
Development of Double Crosslinked Nano Microspheres and Study on CO2 Drive Blocking Mechanism
by Ping Guo, Yong Li, Yanbao Liu and Yunlong Zou
Processes 2025, 13(9), 2903; https://doi.org/10.3390/pr13092903 - 11 Sep 2025
Viewed by 447
Abstract
In this study, a new type of double crosslinked nanospheres (DCNPM-A) was developed to solve the problem of gas channeling caused by fracture development in the process of CO2 oil displacement, and the microsphere system with delayed swelling was successfully synthesized by [...] Read more.
In this study, a new type of double crosslinked nanospheres (DCNPM-A) was developed to solve the problem of gas channeling caused by fracture development in the process of CO2 oil displacement, and the microsphere system with delayed swelling was successfully synthesized by inverse micro lotion polymerization. The microsphere adopts a dual crosslinking structure of stable crosslinking agent (MBA) and unstable crosslinking agent (UCA), achieving intelligent sealing function of shallow low expansion and deep high temperature triggered secondary expansion. The successful preparation of microspheres was verified by characterization methods such as Zeta potential and SEM, and the effects of reaction temperature, time, initiator and crosslinking agent dosage on microsphere properties were systematically studied. The experimental results show that DCNPM-A microspheres exhibit excellent expansion performance, thermal stability, and acid resistance in acidic, high-temperature, and high mineralization environments. Their expansion ratio can reach 13.5 times, and they can maintain stability for more than 60 days in supercritical CO2 environments. Core displacement experiments have confirmed that the microspheres have the best sealing performance in matrices with a permeability of 10 × 10−3 μm2 and fractures with a width of 0.03 mm. The combination of 0.8 PV injection volume, 0.5 mL·min−1 injection rate, and continuous injection method significantly improved the plugging rate and recovery rate of CO2 flooding. This study provides new technical support for the efficient development of low-permeability fractured reservoirs. Full article
(This article belongs to the Special Issue Flow Mechanisms and Enhanced Oil Recovery)
Show Figures

Figure 1

13 pages, 2752 KB  
Article
Development and Mechanistic Evaluation of Polymeric Nanomicrogels Under High-Temperature and High-Salinity Conditions
by Wei Zhang, Yinbo He, Tengfei Dong, Huayan Mu, Guancheng Jiang and Quande Wang
Gels 2025, 11(9), 689; https://doi.org/10.3390/gels11090689 - 30 Aug 2025
Viewed by 635
Abstract
Fracture-induced loss poses severe challenges to drilling operations, particularly under high-temperature and high-salinity conditions encountered in deep wells. Conventional plugging materials, characterized by relatively large particle sizes and poor structural integrity, often exhibit insufficient thermal stability and salt tolerance under extreme drilling conditions, [...] Read more.
Fracture-induced loss poses severe challenges to drilling operations, particularly under high-temperature and high-salinity conditions encountered in deep wells. Conventional plugging materials, characterized by relatively large particle sizes and poor structural integrity, often exhibit insufficient thermal stability and salt tolerance under extreme drilling conditions, making them prone to structural degradation and loss of adhesion, which ultimately leads to drilling fluid deterioration and downhole complications. To address this issue, a core–shell-structured microgel, ANDT-70 (named after the acronyms of 2-acrylamido-2-methylpropane sulfonic acid, N-vinyl-2-pyrrolidinone, N, N-dimethylacrylamide, dimethyl diallyl ammonium chloride, and titanium dioxide nanoparticles), was synthesized and systematically evaluated for its thermal stability, salt resistance, and interfacial adhesion capabilities. The structural evolution, dispersion behavior, and colloidal stability of the microgel were thoroughly characterized using scanning electron microscopy (SEM), transmission electron microscopy (TEM), atomic force microscopy (AFM), Raman spectroscopy, and Zeta potential analysis. Experimental results indicate that ANDT-70 exhibits excellent thermal stability and resistance to salt-induced degradation at 260 °C, maintaining its fundamental structure and performance under harsh high-temperature and high-salinity conditions, with a viscosity retention of 81.10% compared with ambient conditions. Compared to representative materials reported in the literature, ANDT-70 exhibited superior tolerance to ionic erosion in saline conditions. AFM analysis confirmed that ANDT-70 significantly improves bentonite slurry dispersion and reduces salt sensitivity risks. ANDT-70 stably adsorbs onto bentonite lamellae via the synergistic action of electrostatic interactions and hydrogen bonding, thereby forming a dense cementation network that markedly enhances the structural stability and adhesion of the system. This network significantly enhances the cohesion and structural integrity of drilling fluid systems under extreme conditions. In conclusion, ANDT-70 demonstrates strong potential as a high-performance functional microgel for enhancing the stability and effectiveness of advanced drilling fluids under complex geological environments. Full article
(This article belongs to the Special Issue Polymer Gels for Oil Recovery and Industry Applications)
Show Figures

Figure 1

21 pages, 4313 KB  
Article
Optimization and Practice of Deep Carbonate Gas Reservoir Acidizing Technology in the Sinian System Formation of Sichuan Basin
by Song Li, Jian Yang, Weihua Chen, Zhouyang Wang, Hongming Fang, Yang Wang and Xiong Zhang
Processes 2025, 13(8), 2591; https://doi.org/10.3390/pr13082591 - 16 Aug 2025
Cited by 1 | Viewed by 548
Abstract
The gas reservoir of the Sinian Dengying Formation (Member 4) in Sichuan Basin exhibits extensive development of inter-clast dissolution pores and vugs within its carbonate reservoirs, characterized by low porosity (average 3.21%) and low permeability (average 2.19 mD). With the progressive development of [...] Read more.
The gas reservoir of the Sinian Dengying Formation (Member 4) in Sichuan Basin exhibits extensive development of inter-clast dissolution pores and vugs within its carbonate reservoirs, characterized by low porosity (average 3.21%) and low permeability (average 2.19 mD). With the progressive development of the Moxi (MX)structure, the existing stimulation techniques require further optimization based on the specific geological characteristics of these reservoirs. Through large-scale true tri-axial physical simulation experiments, this study systematically evaluated the performance of three principal acid systems in reservoir stimulation: (1) Self-generating acid systems, which enhance etching through the thermal decomposition of ester precursors to provide sustained reactive capabilities. (2) Gelled acid systems, characterized by high viscosity and effectiveness in reducing breakdown pressure (18~35% lower than conventional systems), are ideal for generating complex fracture networks. (3) Diverting acid systems, designed to improve fracture branching density by managing fluid flow heterogeneity. This study emphasizes hybrid acid combinations, particularly self-generating acid prepad coupled with gelled acid systems, to leverage their synergistic advantages. Field trials implementing these optimized systems revealed that conventional guar-based fracturing fluids demonstrated 40% higher breakdown pressures compared to acid systems, rendering hydraulic fracturing unsuitable for MX reservoirs. Comparative analysis confirmed gelled acid’s superiority over diverting acid in tensile strength reduction and fracture network complexity. Field implementations using reservoir-quality-adaptive strategies—gelled acid fracturing for main reservoir sections and integrated self-generating acid prepad + gelled acid systems for marginal zones—demonstrated the technical superiority of the hybrid system under MX reservoir conditions. This optimized protocol enhanced fracture length by 28% and stimulated reservoir volume by 36%, achieving a 36% single-well production increase. The technical framework provides an engineered solution for productivity enhancement in deep carbonate gas reservoirs within the G-M structural domain, with particular efficacy for reservoirs featuring dual low-porosity and low-permeability characteristics. Full article
Show Figures

Figure 1

14 pages, 2183 KB  
Article
A Study on the Productivity of Ultra-Deep Carbonate Reservoir (UDCR) Oil Wells Considering Creep and Stress Sensitivity Effects
by Zhiqiang Li, Linghui Sun, Boling Huang and Shishu Luo
Processes 2025, 13(7), 2165; https://doi.org/10.3390/pr13072165 - 7 Jul 2025
Cited by 1 | Viewed by 514
Abstract
Creep and stress sensitivity can lead to the long-term conductivity degradation of fractures, and this influences the accuracy of long-term productivity predictions in ultra-deep carbonate reservoirs (UDCRs). However, the current models do not consider these two factors. For the long-term conductivity degradation of [...] Read more.
Creep and stress sensitivity can lead to the long-term conductivity degradation of fractures, and this influences the accuracy of long-term productivity predictions in ultra-deep carbonate reservoirs (UDCRs). However, the current models do not consider these two factors. For the long-term conductivity degradation of acid-etched symmetry fractures in UDCRs, a new fracture permeability evolution model incorporating creep and stress sensitivity effects was established. Building upon this, a numerical simulation model for UDCRs was developed for the first time to quantitatively analyze the impacts of creep, stress sensitivity, and production strategies on well productivity. The research revealed that the creep and stress sensitivity characteristics of acid-etched fractures had a significant impact on the well productivity for UDCRs. The larger the creep coefficient and stress sensitivity coefficient, the lower the oil well productivity. The larger the initial reservoir pressure and drawdown pressure, the higher the daily production and cumulative production of the oil well, but the cumulative production growth rate decreased. The cumulative production in the early stage of the released-pressure production was significantly higher than that of the pressure-controlled production, but with the increase in the pressure-controlled time, the cumulative production reversed. When the pressure was controlled for three years, the cumulative production increased by 5952 m3 (38.8%); as the creep coefficient increased, the cumulative production increased by greater than the pressure-released production. This shows that the larger the creep coefficient, the better the effect of controlling pressure production. The research results can provide a theoretical basis and technical support for the efficient development of UDCRs. Full article
(This article belongs to the Section Energy Systems)
Show Figures

Figure 1

25 pages, 21681 KB  
Article
Corrosion Cracking Causes in 13Cr-110 Tubing in Oil and Gas Extraction and Transportation
by Kangkai Xu, Shuyi Xie, Jinheng Luo and Bohong Wang
Energies 2025, 18(4), 910; https://doi.org/10.3390/en18040910 - 13 Feb 2025
Cited by 1 | Viewed by 1134
Abstract
With the continuous development of oil and gas fields, the demand for corrosion-resistant tubing is increasing, which is important for the safe exploitation of oil and gas energy. Due to its excellent CO2 corrosion resistance, 13Cr-110 martensitic stainless steel is widely used [...] Read more.
With the continuous development of oil and gas fields, the demand for corrosion-resistant tubing is increasing, which is important for the safe exploitation of oil and gas energy. Due to its excellent CO2 corrosion resistance, 13Cr-110 martensitic stainless steel is widely used in sour gas-containing oil fields in western China. This paper describes a case of stress corrosion cracking (SCC) in a 13Cr-110 serviced in an ultra-deep gas well. The failure mode of the tubing is brittle along the lattice fracture, and the cracks are generated because of nitrogen gas-lift production-enhancement activities during the service of the tubing, leading to corrosion damage zones and cracks in the 13Cr-110 material under the synergistic effect of oxygen and chloric acid-containing environments. During subsequent production, the tubing is subjected to tensile stresses and cracks expanded at the 13Cr-110 lattice boundaries due to reduced structural strength in the corrosion region. To address the corrosion sensitivity of 13Cr-110 in an oxygen environment, it is recommended that the oxygen content in the wellbore be strictly controlled and that antioxidant corrosion inhibitors be added. Full article
(This article belongs to the Special Issue Advances in the Development of Geoenergy: 2nd Edition)
Show Figures

Figure 1

16 pages, 2881 KB  
Article
Preparation of Novel Slow-Release Acid Materials for Oilfield Development via Encapsulation
by Xinshu Sun, Chen Chen, Mingxuan Li, Yiming Yao, Baohua Guo and Jun Xu
Materials 2025, 18(1), 83; https://doi.org/10.3390/ma18010083 - 28 Dec 2024
Cited by 2 | Viewed by 1232
Abstract
Acid-fracturing technology has been applied to form pathways between deep oil/gas resources and oil production pipelines. The acid fracturing fluid is required to have special slow-release performance, with no acidity at low temperatures, while steadily generating acid at high temperatures underground. At present, [...] Read more.
Acid-fracturing technology has been applied to form pathways between deep oil/gas resources and oil production pipelines. The acid fracturing fluid is required to have special slow-release performance, with no acidity at low temperatures, while steadily generating acid at high temperatures underground. At present, commercial acid systems in oilfields present problems such as the uncontrollable release effect, high costs, and significant pollution. In this research, we designed an innovative chloroformate material and investigated the release of the acid at various temperatures. This new chloroformate material reacts slowly with water at room temperature, and can completely react with water to form hydrochloric acid at high temperatures, without residual organic chlorine and other harmful substances; thus, it is suitable for use as an acid agent in oilfields. To isolate the acid-release core material from the outer water phase, we encapsulated the former with various materials, such as cross-linked polyacrylate or polystyrene, to obtain microcapsules. By slowly breaking and degrading the shell layer at a high temperature, the goal of no acid being released at low temperatures with slow acid generation at a high temperature was achieved. The microcapsules were prepared using radical polymerization and the phase separation method. Furthermore, scanning electron microscopy, differential scanning calorimetry, chemical titration analysis, and other methods were used to characterize the structure and the sustained acid release of microcapsules. The results of thermogravimetry and other experiments showed that the prepared microcapsules successfully coated the chloroformate material. In contrast to the bare material, the slow-release performance of the microcapsules was significantly improved, and the continuous acid generating time was able to reach more than 10 h. Under optimum conditions, microcapsules with a uniform particle size with a sustained-release acid core were prepared, and the encapsulation efficiency reached up to 60%. Compared with traditional acid-release systems, the new system prepared in this study has better acid-release performance at high temperatures, while the product is both clean and convenient to use. Multiple important parameters, such as microcapsule particle size, can also be controlled by varying the experimental conditions to meet the needs of different oil/gas extraction environments. In summary, we prepared a promising new and efficient slow-release acid generation system, which has unique practical significance for optimizing current oilfield acid-fracturing technology. Full article
Show Figures

Figure 1

21 pages, 9724 KB  
Article
Study on pH-Responsive Delayed, Cross-Linking and Weighted Fracturing Fluid
by Hao Bai, Fujian Zhou, Xinlei Liu, Xiaozhi Xin, Huimin Zhao, Zhiyuan Ding, Yunjin Wang, Xin Wang, Xingting Li, Wei Li and Erdong Yao
Molecules 2024, 29(24), 5847; https://doi.org/10.3390/molecules29245847 - 11 Dec 2024
Cited by 2 | Viewed by 1294
Abstract
Hydraulic fracturing of deep, high-temperature reservoirs poses challenges due to elevated temperatures and high fracture pressures. Conventional polymer fracturing fluid (QCL) has high viscosity upon adding cross-linking agents and significantly increases wellbore friction. This paper examines a polymer fracturing fluid with pH response [...] Read more.
Hydraulic fracturing of deep, high-temperature reservoirs poses challenges due to elevated temperatures and high fracture pressures. Conventional polymer fracturing fluid (QCL) has high viscosity upon adding cross-linking agents and significantly increases wellbore friction. This paper examines a polymer fracturing fluid with pH response and low friction. Experimental results indicate that cross-linking occurs quickly in acid, while alkali can slow the cross-linking process and reduce friction. Sodium carbonate (Na2CO3) serves as an effective candidate. An optimized formulation consisting of “salt + pH + polymer + cross-linking agent” is proposed in two stages: low viscosity for fracture generation and high viscosity for sand transport. PH control enhances polymer hydration, increasing sand-carrying in the low-viscosity stage. Scanning electron microscopy (SEM) reveals that the fluid’s structure varies with pH, showing that alkali promotes a stable network structure. Infrared spectroscopy (IR) shows that higher pH increases negative charges of the polymer chains, which enhances their hydrodynamic radius, slightly raises viscosity, and enhances sand carrying. Field tests confirm the formulation’s effectiveness, leading to lower operating pressures, stable sand transport, and notable production, averaging 107.57 m3 of oil and 276 m3 of gas per day. Overall, this research provides low-friction solutions for the efficient development of deep reservoirs. Full article
Show Figures

Graphical abstract

21 pages, 10455 KB  
Article
Experimental Evaluation of a Recrosslinkable CO2-Resistant Micro-Sized Preformed Particle Gel for CO2 Sweep Efficiency Improvement in Reservoirs with Super-K Channels
by Adel Alotibi, Tao Song, Ali Al Brahim, Baojun Bai and Thomas Schuman
Gels 2024, 10(12), 765; https://doi.org/10.3390/gels10120765 - 24 Nov 2024
Cited by 3 | Viewed by 1179
Abstract
A recrosslinkable CO2-resistant branched preformed particle gel (CO2-BRPPG) was developed for controlling CO2 injection conformance, particularly in reservoirs with super-permeable channels. Previous work focused on a millimeter-sized CO2-BRPPG in open fractures, but its performance in high-permeability [...] Read more.
A recrosslinkable CO2-resistant branched preformed particle gel (CO2-BRPPG) was developed for controlling CO2 injection conformance, particularly in reservoirs with super-permeable channels. Previous work focused on a millimeter-sized CO2-BRPPG in open fractures, but its performance in high-permeability channels with pore throat networks remained unexplored. This study used a sandpack model to evaluate a micro-sized CO2-BRPPG under varying conditions of salinity, gel concentration, and pH. At ambient conditions, the equilibrium swelling ratio (ESR) of the gel reached 76 times its original size. This ratio decreased with increasing salinity but remained stable at low pH values, demonstrating the gel’s resilience in acidic environments. Rheological tests revealed shear-thinning behavior, with gel strength improving as salinity increased (the storage modulus rose from 113 Pa in 1% NaCl to 145 Pa in 10% NaCl). Injectivity tests showed that lower gel concentrations reduced the injection pressure, offering flexibility in deep injection treatments. Gels with higher swelling ratios had lower injection pressures due to increased strength and reduced deformability. The gel maintained stable plugging performance during two water-alternating-CO2 cycles, but a decline was observed in the third cycle. It also demonstrated a high CO2 breakthrough pressure of 177 psi in high salinity conditions (10% NaCl). The permeability reduction for water and CO2 was influenced by gel concentration and salinity, with higher salinity increasing the permeability reduction and higher gel concentrations decreasing it. These findings underscore the effectiveness of the CO2-BRPPG in improving CO2 sweep efficiency and managing CO2 sequestration in reservoirs with high permeability. Full article
Show Figures

Figure 1

19 pages, 3703 KB  
Review
Application, Progress, and Trend of Thickened Acid Fracturing in Carbonate Rock Reservoir Development
by Yu Sui, Guangsheng Cao, Yu Tian, Tianyue Guo, Zhongmin Xiao and Liming Yao
Processes 2024, 12(10), 2269; https://doi.org/10.3390/pr12102269 - 17 Oct 2024
Cited by 8 | Viewed by 2401
Abstract
The efficient development of carbonate rock reservoirs with rich oil and gas resources has become a hot topic and a focal point in the current oil and gas industry. The development of carbonate rock oil and gas reservoirs differs from that of sandstone [...] Read more.
The efficient development of carbonate rock reservoirs with rich oil and gas resources has become a hot topic and a focal point in the current oil and gas industry. The development of carbonate rock oil and gas reservoirs differs from that of sandstone reservoirs. Although gas flooding, water flooding, and chemical flooding have been carried out in recent years, the development is still unsatisfactory, and the on-site application of technologies such as nanoparticles is on the rise. For the future development of acid fracturing technology, accurate reservoir geological description, core printing based on additive manufacturing technology, the development of new acid fracturing techniques, and the research and development of acid fracturing equipment will have great research potential and economic value in the development of carbonate rock oil and gas reservoirs. Under the development background of high-temperature deep reservoirs, this paper comprehensively reviews unconventional acidizing fracturing fluids in carbonate rock oil and gas reservoirs. We introduce the main components, corresponding mechanisms of action, current research achievements, and advantages of promising acid fracturing fluids, including thickened acids. We focus on the application and limitations under harsh conditions of high temperature and high salinity while also focusing on the development of thickened acid fracturing technology. The thickening agent is the core of a thickened acid solution. Therefore, this article fully reviews the structure, sources, advantages and disadvantages, as well as the current development status of biological, cellulose, and synthetic polymer thickeners. Synthetic polymers, low-molecular-weight polymers, and small-molecular compound crosslinkers provide clues for temperature and salt-resistant thickeners and also promote the development of tight reservoirs. Full article
Show Figures

Graphical abstract

19 pages, 8450 KB  
Article
A Study on Acid Dissolution Characteristics and the Permeability Enhancement of Deep Coal Rock
by Chen Wang, Weijiang Luo, Xiancai Dai, Jian Wu, Xing Zhou, Kai Huang and Nan Zhang
Processes 2024, 12(10), 2209; https://doi.org/10.3390/pr12102209 - 10 Oct 2024
Cited by 3 | Viewed by 1680
Abstract
In order to reveal the acidification and dissolution characteristics of deep coal rock, core acidification and dissolution experiments are carried out based on low-field nuclear magnetic resonance technology to study the dissolution characteristics of different acid types when applied to coal rock, and [...] Read more.
In order to reveal the acidification and dissolution characteristics of deep coal rock, core acidification and dissolution experiments are carried out based on low-field nuclear magnetic resonance technology to study the dissolution characteristics of different acid types when applied to coal rock, and to quantitatively evaluate the dissolution characteristics of acid solutions when applied to different-scale pore throats and the karst corrosion characteristics of primary fractures. This will help to further understand the dissolution rate and pore volume growth rate of coal powder under the action of different acid types. Improving the seepage effect of coal seams is of great significance. The results show that 15% acetic acid has the best effect with regard to karst erosion and permeability. The pore volume growth rate is 442.49%, and the permeability increases by up to 31 times. With large pores, the rapid dissolution stage of mud acid, hydrochloric acid, and mixed acid mainly occurred in the first 36 h, and the rapid dissolution stage of acetic acid and hydrofluoric acid applied to the core mainly occurred at 36–72 h. The dissolution rate of acid solution is strongly correlated with porosity and permeability, and the higher the acetic acid concentration, the larger the permeability increase. Full article
(This article belongs to the Section Chemical Processes and Systems)
Show Figures

Figure 1

12 pages, 3929 KB  
Article
Acid-Etched Fracture Conductivity with In Situ-Generated Acid in Ultra-Deep, High-Temperature Carbonate Reservoirs
by Haizheng Jia, Hongyuan Pu, Jianmin Li, Junchao Wang, Xi Chen, Jianye Mou and Budong Gao
Processes 2024, 12(9), 1792; https://doi.org/10.3390/pr12091792 - 23 Aug 2024
Cited by 1 | Viewed by 1217
Abstract
In situ-generated acid is commonly employed in ultra-deep, high-temperature carbonate reservoirs during acid fracturing to increase the effective acid penetration distance. However, the variation pattern of acid-etched fracture conductivity with in situ-generated acid has not been systematically studied. This paper investigates the evolution [...] Read more.
In situ-generated acid is commonly employed in ultra-deep, high-temperature carbonate reservoirs during acid fracturing to increase the effective acid penetration distance. However, the variation pattern of acid-etched fracture conductivity with in situ-generated acid has not been systematically studied. This paper investigates the evolution of the conductivity of primary and secondary fractures through a series of experiments involving in situ acid displacement and acid-etched fracture conductivity measurement. Based on the experimental results, a calculation model for the conductivity of acid-etched fractures with in situ-generated acid was established. The study indicates that after acid etching, rough particulate points and grooved dissolution patterns form on the surfaces of primary and secondary fractures, respectively. The dissolution volume in primary fractures is greater than that in secondary fractures, with both showing a linear increase over time. Due to the presence of dissolution grooves on the surfaces of secondary fractures, their conductivity is higher than that of primary fractures under the same acid–rock contact time. The conductivity of both primary and secondary fractures increases with the acid–rock contact time. However, beyond approximately 70 min of contact time, the conductivity of primary fractures shows no significant increase. The conductivity of primary and secondary fractures with in situ-generated acid is slightly lower than that with gelled acid under the same contact time, but significantly higher than that with crosslinked acid. This study provides guidance for the design and parameter optimization of acid fracturing in ultra-deep, high-temperature carbonate reservoirs. Full article
Show Figures

Figure 1

11 pages, 226 KB  
Article
Usage of Tranexamic Acid for Total Hip Arthroplasty: A Matched Cohort Analysis of 144,344 Patients
by Anubhav Thapaliya, Mehul M. Mittal, Terrul L. Ratcliff, Varatharaj Mounasamy, Dane K. Wukich and Senthil N. Sambandam
J. Clin. Med. 2024, 13(16), 4920; https://doi.org/10.3390/jcm13164920 - 20 Aug 2024
Cited by 5 | Viewed by 2121
Abstract
Background: The literature is inconclusive regarding the potential complications of tranexamic acid (TXA), an antifibrinolytic drug, for total hip arthroplasty (THA). The purpose of this study is to compare complication rates and patient outcomes between THA patients administered TXA vs. THA patients not [...] Read more.
Background: The literature is inconclusive regarding the potential complications of tranexamic acid (TXA), an antifibrinolytic drug, for total hip arthroplasty (THA). The purpose of this study is to compare complication rates and patient outcomes between THA patients administered TXA vs. THA patients not administered TXA. Methods: The TriNetX Research network was utilized to generate a cohort of adult patients who underwent THA between 2003 and 2024. These patients were categorized into two subgroups for the retrospective analysis: (1) patients who received TXA 24 h prior to THA (TXA), and (2) patients who did not receive TXA 24 h prior to total hip arthroplasty (no-TXA). The follow-up period was 30 and 90 days. Results: At 30 days following THA, the TXA patients had a reduced risk of transfusion (risk ratio (RR): 0.412; 95% confidence intervals (CI): 0.374, 0.453), reduced risk of DVT (RR: 0.856; CI: 0.768, 0.953), reduced risk of joint infection (RR: 0.808; CI: 0.710, 0.920), but a higher rate of periprosthetic fracture (RR: 1.234; CI: 1.065, 1.429) compared to patients who did not receive TXA. At 90 days following THA, TXA patients had a reduced risk of transfusion (RR: 0.446; CI: 0.408, 0.487), DVT (RR: 0.847; CI: 0.776, 0.924), and periprosthetic joint infection (RR: 0.894; CI: 0.815, 0.982) compared to patients who did not receive TXA. Patients who received TXA had higher rates of periprosthetic fracture (RR: 1.219; CI: 1.088, 1.365), acute postoperative anemia (RR: 1.222; CI: 1.171, 1.276), deep surgical site infection (SSI) (RR: 1.706; CI: 1.117, 2.605), and superficial SSI (RR: 1.950; CI: 1.567, 2.428) compared to patients who did not receive TXA. Conclusions: Patients receiving TXA prior to THA exhibited significantly reduced the prevalence of blood transfusions, DVT, and periprosthetic joint infection following THA. However, superficial SSI and periprosthetic fracture were seen with higher rates in the TXA cohort than in the no-TXA cohort. Full article
(This article belongs to the Special Issue New Advances in Hip and Knee Reconstructive Surgery)
Show Figures

Graphical abstract

27 pages, 5406 KB  
Article
Rock Surface Colonization by Groundwater Microorganisms in an Aquifer System in Quebec, Canada
by Divya Patel, Vincent Blouin, Jamie Kirkpatrick and Cassandre Sara Lazar
Diversity 2024, 16(7), 374; https://doi.org/10.3390/d16070374 - 28 Jun 2024
Cited by 2 | Viewed by 6258
Abstract
Aquifers are rich in microbial diversity. However, there is a lack of information about sessile communities in these environments because of the difficulty in sampling fresh in situ rock surfaces. Thus, this study’s objective was to better understand the sessile community in a [...] Read more.
Aquifers are rich in microbial diversity. However, there is a lack of information about sessile communities in these environments because of the difficulty in sampling fresh in situ rock surfaces. Thus, this study’s objective was to better understand the sessile community in a fractured aquifer. Additionally, the impact of the rock mineral composition on microbial community composition during colonization was explored. Using a system of bioreactors, we recreated the environmental conditions of a 1.5 m deep aquifer in Covey Hill (QC, Canada) using groundwater samples collected from the site. We carried out 16S/18S rRNA amplicon sequencing of the water and sessile communities after 24 days of incubation. Our data showed that many microbial taxa overlapped between the sessile and planktonic communities, indicating colonization of the solid surfaces. Quartz and feldspar had a significant impact on bacterial community structure. Sessile communities were dominated by Gaillonella, Alkanindiges, unclassified Acetobacteraceae, Apoikiales, Glissomonadida, and Synurales. We could not detect any Archaea in the sessile community. The sessile communities contained bacterial genera involved in iron cycling and adapted to acidic and low-carbon-concentration environments. Eukaryotic predators dominated the sessile community. Full article
(This article belongs to the Special Issue Diversity in 2024)
Show Figures

Figure 1

27 pages, 44467 KB  
Article
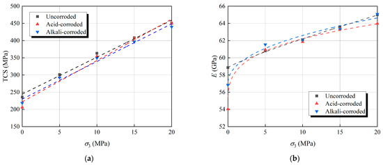
Effect of Chemical Corrosion on Rock Fracture Behavior in Coastal Deep Mines: Insights from Mechanical and Acoustic Characteristics
by Jiliang Pan, Yichen Ma, Leiming Zhang, Zegong Ning, Ying Zhang and Xun Xi
J. Mar. Sci. Eng. 2024, 12(6), 869; https://doi.org/10.3390/jmse12060869 - 23 May 2024
Cited by 3 | Viewed by 1759
Abstract
The demand for critical minerals has increased extraction activities in coastal deep mines where challenges such as high stresses, chemical corrosion, and mining disturbance impacts are present. This study investigated the effects of chemical corrosion and confining pressure on the mechanical and fracture [...] Read more.
The demand for critical minerals has increased extraction activities in coastal deep mines where challenges such as high stresses, chemical corrosion, and mining disturbance impacts are present. This study investigated the effects of chemical corrosion and confining pressure on the mechanical and fracture behaviors of granite specimens, which are crucial for ensuring the stability of surrounding rock in coastal deep mines. Triaxial compression tests were conducted on uncorroded specimens and corroded specimens immersed in acid and alkali solutions under varying confining pressures, with real-time acoustic emission (AE) monitoring. Based on the test results, the strength and deformation properties, progressive fracture, and failure processes, as well as the AE response characteristics of the specimens under chemical corrosion and confining pressure were analyzed. Additionally, the influence of confining pressure on the chemical damage and brittle–ductile transition behavior of specimens was discussed, and the mechanism of chemical corrosion on the physical and mechanical behavior of specimens was revealed based on mineralogical analysis. These findings underscore the importance of understanding the interplay between chemical corrosion, confining pressure, and rock fracture behavior in coastal deep mining and contribute to evaluating the stability of underground surrounding rocks under corrosion environments. Full article
(This article belongs to the Section Coastal Engineering)
Show Figures

Figure 1

Back to TopTop