Sign in to use this feature.

Years

Between: -

Subjects

remove_circle_outline
remove_circle_outline
remove_circle_outline
remove_circle_outline
remove_circle_outline
remove_circle_outline
remove_circle_outline
remove_circle_outline
remove_circle_outline

Journals

Article Types

Countries / Regions

Search Results (37)

Search Parameters:
Keywords = crowdsourced delivery

Order results
Result details
Results per page
Select all
Export citation of selected articles as:
33 pages, 7029 KB  
Article
A Two-Stage Location Problem with Lockers and Mini-Depots Under Crowdsourced Last Mile Delivery in E-Commerce Logistics
by Hualing Bi, Hengjian Yang and Fuqiang Lu
J. Theor. Appl. Electron. Commer. Res. 2025, 20(4), 318; https://doi.org/10.3390/jtaer20040318 - 10 Nov 2025
Viewed by 294
Abstract
With the rapid growth of e-commerce and rising demand for faster, reliable last mile delivery, optimizing the spatial layout of terminal logistics facilities is critical. This paper proposes a two-stage location framework for mini-depots and lockers considering spatiotemporal customer demand. In the first [...] Read more.
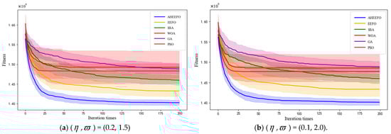
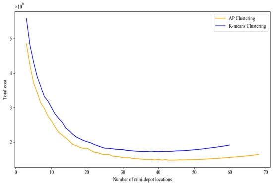
With the rapid growth of e-commerce and rising demand for faster, reliable last mile delivery, optimizing the spatial layout of terminal logistics facilities is critical. This paper proposes a two-stage location framework for mini-depots and lockers considering spatiotemporal customer demand. In the first stage, Affinity Propagation (AP) clustering identifies candidate mini-depot locations and locker layouts based on temporal and spatial demand characteristics. In the second stage, an Adaptive Heuristic Electric Eel Foraging Optimization (AHEEFO) determines the optimal mini-depot location strategy to minimize total cost. A dataset of 1157 Beijing customer points, including latitude, longitude and demand information, is used for model validation. Results show that Scenario 2, with dispersed demand, outperforms Scenario 1 and traditional strategies in both total cost and customer satisfaction; dispersed demand can be effectively supported via crowdsourced delivery and locker layout, whereas concentrated demand requires more professional courier resources. Comparative experiments reveal AP clustering is more stable, reducing clustering-stage cost by 13.57% compared with K-means, and AHEEFO outperforms other algorithms in cost optimization, computational efficiency, and significance tests under random demand surges. Finally, the sensitivity analysis highlights the effects of different algorithmic and operational parameters, offering valuable insights for both managerial practice and academic research. Full article
Show Figures

Figure 1

14 pages, 416 KB  
Article
A QMIX-Based Multi-Agent Reinforcement Learning Approach for Crowdsourced Order Assignment in Fresh Food Retailing
by Jingming Hu and Chong Wang
Electronics 2025, 14(21), 4306; https://doi.org/10.3390/electronics14214306 - 31 Oct 2025
Viewed by 579
Abstract
Crowdsourced delivery plays a key role in fresh food retailing, where tight time limits and perishability require fast, reliable fulfillment. However, real-time order–courier assignment is challenging because orders arrive in bursts, couriers’ locations and availability change, capacities are limited, and many decisions must [...] Read more.
Crowdsourced delivery plays a key role in fresh food retailing, where tight time limits and perishability require fast, reliable fulfillment. However, real-time order–courier assignment is challenging because orders arrive in bursts, couriers’ locations and availability change, capacities are limited, and many decisions must be made simultaneously. We propose Attn-QMIX, a novel attention-augmented multi-agent reinforcement learning framework that models each order as an agent and learns coordinated matching strategies through centralized training with decentralized execution. The framework develops a new capacity-aware multi-head attention mechanism that captures complex order–courier interactions and dynamically prevents courier overload and integrates it with a QMIX-based mixing network equipped with hypernetworks to enable effective credit assignment and global coordination. Extensive experiments on a real-world road network show that Attn-QMIX outperforms five representative methods. Compared with a novel cooperative ant colony optimization method, it reduces total cost by up to 2.30% while being up to 3403 times faster in computation. Full article
(This article belongs to the Special Issue Advances in Data-Driven Artificial Intelligence)
Show Figures

Figure 1

23 pages, 4802 KB  
Article
Exploring the Impact of Delivery Robots on Last-Mile Delivery Capacity Planning Using Simulation
by Raghavan Srinivasan and Joseph Szmerekovsky
Logistics 2025, 9(4), 156; https://doi.org/10.3390/logistics9040156 - 31 Oct 2025
Viewed by 575
Abstract
Background: Over the past decade, the growth of ecommerce and omnichannel order fulfillment has led to a spike in last-mile delivery services. Last-mile delivery being the most expensive portion of the supply chain has resulted in process improvement initiatives by industry and academia [...] Read more.
Background: Over the past decade, the growth of ecommerce and omnichannel order fulfillment has led to a spike in last-mile delivery services. Last-mile delivery being the most expensive portion of the supply chain has resulted in process improvement initiatives by industry and academia targeting lower operational costs. Methods: In this study, we use simulation to account for the daily randomness regarding order quantities with missed deliveries being rolled over to the next period and attrition of the capacities used to meet the demand for each period. Further, to alleviate the impact on operations due to attrition, we consider the use of automation as a replacement for permanent capacity. Results: From the simulation results, we observe that the negative operational impact of employee turnover can be overcome with a combination of delivery robots and crowdsourcing with a payback period as short as 1.55 years. Conclusions: Optimal resource allocation is further refined by the use of simulation. The use of advanced automation such as robots seems to be a viable option for businesses to lower operational costs for some scenarios. Full article
(This article belongs to the Section Last Mile, E-Commerce and Sales Logistics)
Show Figures

Figure 1

45 pages, 1074 KB  
Systematic Review
A Systematic Review of Sustainable Ground-Based Last-Mile Delivery of Parcels: Insights from Operations Research
by Nima Moradi, Fereshteh Mafakheri and Chun Wang
Vehicles 2025, 7(4), 121; https://doi.org/10.3390/vehicles7040121 - 21 Oct 2025
Viewed by 1763
Abstract
The importance of Last-Mile Delivery (LMD) in the current economy cannot be overstated, as it is the final and most crucial step in the supply chain between retailers and consumers. In major cities, absent intervention, urban LMD emissions are projected to rise by [...] Read more.
The importance of Last-Mile Delivery (LMD) in the current economy cannot be overstated, as it is the final and most crucial step in the supply chain between retailers and consumers. In major cities, absent intervention, urban LMD emissions are projected to rise by >30% by 2030 as e-commerce grows (top-100-city “do-nothing” baseline). Sustainable, innovative ground-based solutions for LMD, such as Electric Vehicles, autonomous delivery robots, parcel lockers, pick-up points, crowdsourcing, and freight-on-transit, can revolutionize urban logistics by reducing congestion and pollution while improving efficiency. However, developing these solutions presents challenges in Operations Research (OR), including problem modeling, optimization, and computations. This systematic review aims to provide an OR-centric synthesis of sustainable, ground-based LMD by (i) classifying these innovative solutions across problem types and methods, (ii) linking technique classes to sustainability goals (cost, emissions/energy, service, resilience, and equity), and (iii) identifying research gaps and promising hybrid designs. We support this synthesis by systematically screening 283 records (2010–2025) and analyzing 265 eligible studies. After the gap analysis, the researchers and practitioners are recommended to explore new combinations of innovative solutions for ground-based LMD. While they offer benefits, their complexity requires advanced solution algorithms and decision-making frameworks. Full article
Show Figures

Figure 1

18 pages, 768 KB  
Article
What Influences the Public to Work as Crowdshippers Using Cargo Bikes? An Extended Theory of Planned Behavior
by Sunho Bang, Jiarong Chen, Kwangsup Shin and Woojung Kim
Systems 2025, 13(10), 895; https://doi.org/10.3390/systems13100895 - 10 Oct 2025
Viewed by 552
Abstract
Driven by the green and low-carbon transformation of urban logistics, the integration of crowdsourced delivery and green transportation is considered an important pathway to achieving sustainable last-mile delivery. This study focuses on urban crowdsourced delivery using cargo bikes and develops an extended behavioral [...] Read more.
Driven by the green and low-carbon transformation of urban logistics, the integration of crowdsourced delivery and green transportation is considered an important pathway to achieving sustainable last-mile delivery. This study focuses on urban crowdsourced delivery using cargo bikes and develops an extended behavioral model based on the Theory of Planned Behavior (TPB). The model systematically examines the key factors influencing the public’s behavioral intention (BI) to participate as crowdshippers. While retaining the core structure of TPB, the model incorporates external variables—perceived risk (PR), policy support (PS), and infrastructure conditions (IC)—to improve its explanatory power and applicability to real-world delivery scenarios. A questionnaire survey was conducted in South Korea, yielding 600 valid responses. The results indicate that usage attitude and perceived behavioral control exert significant positive effects on BI. PR has a significant negative effect on both attitude and BI. PS indirectly enhances BI by improving attitudes, whereas IC primarily influences BI by strengthening the public’s sense of control. This study not only expands the theoretical explanatory power of the TPB model in the context of green crowdsourced delivery but also provides empirical evidence for policymakers and platform operators. Full article
Show Figures

Figure 1

20 pages, 1716 KB  
Article
Collaborative Neighbourhood Logistics in e-Commerce Delivery: A Cluster Analysis of Receivers and Deliverers
by Cam Tu Nguyen, Lanhui Cai, Mingjie Fang, Yanfeng Liu and Xueqin Wang
J. Theor. Appl. Electron. Commer. Res. 2025, 20(2), 147; https://doi.org/10.3390/jtaer20020147 - 17 Jun 2025
Viewed by 947
Abstract
The rapid growth of e-commerce and surges in shipment volumes have increased the pressure on transport systems, requiring innovations in collaborative logistics where consumers participate in dual roles as receivers and deliverers. However, existing research often addresses these roles in isolation, overlooking the [...] Read more.
The rapid growth of e-commerce and surges in shipment volumes have increased the pressure on transport systems, requiring innovations in collaborative logistics where consumers participate in dual roles as receivers and deliverers. However, existing research often addresses these roles in isolation, overlooking the flexibility with which users switch between them. Moreover, the literature has focused predominantly on monetary value in paid crowdsourced or social value in free social delivery, without fully exploring how users perceive value across both models. Addressing these gaps, this study profiles users of collaborative logistics services from both receiver and deliverer perspectives and examines their motivations in paid and unpaid delivery contexts. Based on survey data from 493 participants in Singapore, cluster analysis identified four distinct user segments: hesitators, potential customers, active users, and loyal advocates. The findings indicate that user preferences differ by role, with functional value prioritised in paid delivery and social value more prominent in free models. Free models attract a higher proportion of favourable users, highlighting the significance of non-monetary incentives. This study contributes to the literature by offering an integrated perspective on user roles and value perceptions and provides practical insights for developing more inclusive, community-oriented last-mile logistics solutions. Full article
(This article belongs to the Section Digital Marketing and Consumer Experience)
Show Figures

Figure 1

16 pages, 2678 KB  
Article
Demographic and Operational Factors in Public Transport-Based Parcel Locker Crowdshipping: A Mixed-Methods Analysis
by Mohammad Maleki, Scott Rayburg and Stephen Glackin
Logistics 2025, 9(2), 55; https://doi.org/10.3390/logistics9020055 - 18 Apr 2025
Cited by 2 | Viewed by 1805
Abstract
Background: The rapid rise of e-commerce has intensified last-mile logistics challenges, fueling the need for sustainable, efficient solutions. Parcel locker crowdshipping systems, integrated with public transport networks, show promise in reducing congestion, emissions, and delivery costs. However, operational and physical constraints (e.g., [...] Read more.
Background: The rapid rise of e-commerce has intensified last-mile logistics challenges, fueling the need for sustainable, efficient solutions. Parcel locker crowdshipping systems, integrated with public transport networks, show promise in reducing congestion, emissions, and delivery costs. However, operational and physical constraints (e.g., crowded stations) and liability complexities remain significant barriers to broad adoption. This study investigates the demographic and operational factors that influence the adoption and scalability of these systems. Methods: A mixed-methods design was employed, incorporating survey data from 368 participants alongside insights from 20 semi-structured interviews. Quantitative analysis identified demographic trends and operational preferences, while thematic analysis offered in-depth contextual understanding. Results: Younger adults (18–34), particularly gig-experienced males, emerged as the most engaged demographic. Females and older individuals showed meaningful potential if safety and flexibility concerns were addressed. System efficiency depended on locating parcel lockers within 1 km of major origins and destinations, focusing on moderate parcel weights (3–5 kg), and offering incentives for minor route deviations. Interviews emphasized ensuring that lockers avoid station congestion, clearly defining insurance/liability protocols, and allowing task refusals during peak passenger hours. Conclusions: By leveraging public transport infrastructure, parcel locker crowdshipping requires robust policy frameworks, strategic station-space allocation, and transparent incentives to enhance feasibility. Full article
Show Figures

Figure 1

25 pages, 1505 KB  
Article
Customer-Directed Counterproductive Work Behavior of Gig Workers in Crowdsourced Delivery: A Perspective on Customer Injustice
by Yanfeng Liu, Lanhui Cai, Xueqin Wang and Xueli Tan
Systems 2025, 13(4), 246; https://doi.org/10.3390/systems13040246 - 2 Apr 2025
Cited by 2 | Viewed by 2007
Abstract
In the platform economy, customers are the primary interaction partners of gig workers, and their behaviors and attitudes significantly influence gig workers’ work experiences and behavioral responses. Based on the stressor–emotion model and social exchange theory, this paper systematically explores the formation mechanism [...] Read more.
In the platform economy, customers are the primary interaction partners of gig workers, and their behaviors and attitudes significantly influence gig workers’ work experiences and behavioral responses. Based on the stressor–emotion model and social exchange theory, this paper systematically explores the formation mechanism of customer-directed counterproductive work behavior. This study employs structural equation modeling to analyze survey data collected from 385 registered gig workers on crowdsourced delivery platforms in China. The results indicate that customer injustice increases gig workers’ negative emotions, perceived organizational injustice, and customer-directed counterproductive work behavior while decreasing customer commitment. Furthermore, negative emotions, perceived organizational injustice, and customer commitment mediate the relationship between customer injustice and customer-directed counterproductive work behavior. Additionally, job demands act as a buffering mechanism in the occurrence of customer-directed counterproductive work behavior. This study is the first to systematically focus on customer-directed counterproductive work behavior among crowdsourced delivery gig workers, enriching the existing literature. The findings provide practical insights for crowdsourced delivery platforms, aiding in understanding gig workers’ work psychology and optimizing labor management strategies. Full article
(This article belongs to the Section Systems Practice in Social Science)
Show Figures

Figure 1

22 pages, 2490 KB  
Article
Developing a Crowdsourcing Digital Repository for Natural and Cultural Heritage Preservation and Promotion: A Report on the Experience in Zakynthos Island (Greece)
by Stergios Palamas, Yorghos Voutos, Katerina Kabassi and Phivos Mylonas
Computers 2025, 14(3), 108; https://doi.org/10.3390/computers14030108 - 17 Mar 2025
Viewed by 1347
Abstract
The present study discusses the design and development of a digital repository for the preservation and dissemination of the cultural and natural heritage of Zakynthos Island (Greece). Following a crowdsourcing approach, the platform allows users to actively contribute to its content while aiming [...] Read more.
The present study discusses the design and development of a digital repository for the preservation and dissemination of the cultural and natural heritage of Zakynthos Island (Greece). Following a crowdsourcing approach, the platform allows users to actively contribute to its content while aiming to integrate scattered information from other relative initiatives. The platform is based on a popular Content Management System (CMS) to provide the core functionality, extended with the use of the CMS’s API to provide additional, personalized functionality for end-users, such as organizing content into thematic routes. The system also features a web application, mainly targeting users visiting the island of Zakynthos, and is developed exclusively with open web technologies and JavaScript frameworks. The web application is an alternative, map-centered, mobile-optimized front-end for the platform’s content featured in the CMS. A RESTful API is also provided, allowing integration with third-party systems and web applications, thereby expanding the repository’s reach and capabilities. Content delivery is personalized, based on users’ profiles, location, and preferences, enhancing engagement and usability. By integrating these features, the repository effectively preserves and makes accessible the unique cultural and natural heritage of Zakynthos to both local and global audiences. Full article
Show Figures

Figure 1

28 pages, 5019 KB  
Review
Crowdsourced Manufacturing in Industry 4.0: Implications and Prospects
by Xuejian Gong, Mulang Song, Shu Wang, Roger J. Jiao and Petri Helo
Systems 2025, 13(3), 183; https://doi.org/10.3390/systems13030183 - 6 Mar 2025
Cited by 2 | Viewed by 1289
Abstract
Crowdsourced manufacturing, which has emerged as a pivotal paradigm in the era of Industry 4.0, redefines traditional production models by leveraging decentralized decision-making and collaborative networks. This paper reviews the evolution of the open business model in the manufacturing sector and examines fundamental [...] Read more.
Crowdsourced manufacturing, which has emerged as a pivotal paradigm in the era of Industry 4.0, redefines traditional production models by leveraging decentralized decision-making and collaborative networks. This paper reviews the evolution of the open business model in the manufacturing sector and examines fundamental issues toward a holistic framework of crowdsourced manufacturing. Crowdsourced manufacturing is enacted through a full product fulfillment value chain encompassing value capturing, creation, and delivery through cooperation among various manufacturer crowds, open innovators, and platforms. The workflow of crowdsourced manufacturing involves these decision agents working collaboratively to achieve a synergy of networked information and material flows. An industrial example of tank trailer crowdsourced manufacturing is presented to illustrate the key concepts and clarify the primary technical issues of crowdsourced manufacturing. Full article
(This article belongs to the Special Issue Management and Simulation of Digitalized Smart Manufacturing Systems)
Show Figures

Figure 1

31 pages, 2843 KB  
Article
Cross-Platform Logistics Collaboration: The Impact of a Self-Built Delivery Service
by Lanbo Li and Gang Li
J. Theor. Appl. Electron. Commer. Res. 2025, 20(1), 3; https://doi.org/10.3390/jtaer20010003 - 27 Dec 2024
Cited by 2 | Viewed by 2161
Abstract
Motivated by the collaboration of a takeout platform and a crowdsourced delivery platform, we developed a stylized model to explore the interplay between the two platforms’ decisions. We captured the cross-platform network effects of the two complementary platforms, and investigated how the collaboration [...] Read more.
Motivated by the collaboration of a takeout platform and a crowdsourced delivery platform, we developed a stylized model to explore the interplay between the two platforms’ decisions. We captured the cross-platform network effects of the two complementary platforms, and investigated how the collaboration between the two platforms shapes the optimal prices, platform profits, and social welfare. We found that the takeout platform optimally adopts a subsidy pricing strategy when its commission rate is relatively high. In addition, when the demand-side network effect coefficient increases, the delivery platform optimally raises the shipping fee to trigger a larger supply of drivers. Furthermore, we found that the takeout platform introducing a self-logistics service reduces the subsidy intensity and raises the subsidy threshold. It also reshapes the strategic two-sided pricing to increase the network benefit when the network effect coefficient grows on one side. Specifically, as the supply-side network effect coefficient increases, instead of lowering the delivery price to increase demand and further increase the drivers’ network benefit, the takeout platform optimally raises it under certain conditions. Finally, self-logistics may benefit the takeout platform, while hurting the delivery platform, and it can increase social welfare. Our results, thus, unveil a price regime for platform collaboration and validate the effectiveness of the introduction of self-logistics by takeout platforms. Full article
Show Figures

Figure 1

17 pages, 858 KB  
Article
The Antecedents of Courier Continuance Participation Intention: A Dyadic Analysis of Courier–Customer Interactions in Crowdsourcing Delivery
by Wenjie Wang and Yulu Yin
Systems 2024, 12(11), 496; https://doi.org/10.3390/systems12110496 - 18 Nov 2024
Cited by 1 | Viewed by 1759
Abstract
Crowdsourcing delivery has emerged as an innovative solution for last-mile delivery in the sharing economy era. However, enhancing courier continuance participation intention is an increasing challenge for crowdsourcing delivery platforms due to the independence of crowdsourced couriers. Given that couriers and customers are [...] Read more.
Crowdsourcing delivery has emerged as an innovative solution for last-mile delivery in the sharing economy era. However, enhancing courier continuance participation intention is an increasing challenge for crowdsourcing delivery platforms due to the independence of crowdsourced couriers. Given that couriers and customers are subject to interdependencies and may influence each other in delivery service systems, this paper utilizes a dyadic analysis to examine how courier–customer interactions may influence the continuance participation intention of couriers. Specifically, we investigate the influence mechanism of customer satisfaction and courier job satisfaction, as well as the mediating role of courier pay satisfaction, drawing upon the balance theory and distributive justice theory. The empirical results of 261 courier–customer dyads indicate that the customer side impacts the courier side in both direct and indirect ways. There is a direct satisfaction transmission in courier–customer delivery service interactions. Meanwhile, satisfied customers indirectly enhance courier job satisfaction via the mediator of courier pay satisfaction, which in turn strengthens courier continuance participation intention. Our study offers novel insights for administrators on the influence of courier–customer interactions and pay satisfaction on courier continuance participation intention, contributing to decreasing couriers’ turnover in the fluid crowdsourcing labor market. Full article
(This article belongs to the Section Systems Practice in Social Science)
Show Figures

Figure 1

30 pages, 511 KB  
Article
Exploring Asymmetric Gender-Based Satisfaction of Delivery Riders in Real-Time Crowdsourcing Logistics Platforms
by Dan Li and Yi Zhang
Symmetry 2024, 16(11), 1499; https://doi.org/10.3390/sym16111499 - 8 Nov 2024
Cited by 1 | Viewed by 2420
Abstract
This study investigates gender-based differences in the satisfaction ranking of riders on real-time crowdsourcing logistics platforms, using online reviews from the Ele.me platform. Quantitative methods, including the frequency ratio-based Analytic Hierarchy Process (AHP), probabilistic linguistic term sets (PLTS), and fuzzy comprehensive evaluation (FCE), [...] Read more.
This study investigates gender-based differences in the satisfaction ranking of riders on real-time crowdsourcing logistics platforms, using online reviews from the Ele.me platform. Quantitative methods, including the frequency ratio-based Analytic Hierarchy Process (AHP), probabilistic linguistic term sets (PLTS), and fuzzy comprehensive evaluation (FCE), were applied to analyze satisfaction differences between men and women riders. The findings reveal an asymmetric pattern in satisfaction preferences: women riders place more emphasis on perceived value, while men riders prioritize service perceived quality. Although both groups rank platform image, product perceived quality, and rider expectations similarly, the importance of these factors varies significantly, indicating an underlying asymmetry in their expectations and values. Women riders express higher satisfaction with platform image, rider expectations, service perceived quality, and product perceived quality, with rider expectations showing the largest difference. Additionally, the multi-criteria decision-making methods used in this study offer insights for optimizing service performance in real-time crowdsourcing logistics platforms, particularly in handling uncertainty and enhancing system adaptability through fuzzy sets. These findings provide a basis for developing gender-specific strategies aimed at enhancing rider satisfaction, minimizing turnover, and improving platform adaptability—contributing to a more inclusive and sustainable logistics supply chain. Full article
(This article belongs to the Section Mathematics)
Show Figures

Figure 1

28 pages, 751 KB  
Article
Exploring the Risks of Green Crowdsourcing in South Africa: The Case of Dilivari
by John Michael Maxel Okoche, Anthea Amadi-Echendu, Marcia Mkansi, Wellington Chakuzira and Phumlani Masilela
Sustainability 2024, 16(22), 9699; https://doi.org/10.3390/su16229699 - 7 Nov 2024
Cited by 1 | Viewed by 1978
Abstract
Green crowdsourcing mobile applications provide an appropriate supply chain coordination mechanism for deliveries, harnessing benefits for people, profits and the environment. Despite the benefits, the risks and challenges associated with green crowdsourcing undermine the social, economic and sustainability benefits of last mile logistics. [...] Read more.
Green crowdsourcing mobile applications provide an appropriate supply chain coordination mechanism for deliveries, harnessing benefits for people, profits and the environment. Despite the benefits, the risks and challenges associated with green crowdsourcing undermine the social, economic and sustainability benefits of last mile logistics. We undertook an exploration of the risks of using the green crowdsourcing Dilivari mobile application (App) innovation in South Africa. The study used an exploratory research case study research design. The study included 54 respondents with rich, in-depth knowledge, 49 participants for focus group discussions (FGDs) and five key informant interviews. Our study established security, legal, human and connectivity risks associated with this app. We focused on the risks and challenges in the literature including critical emergent risks in a developing country context, compatibility of technology, load shedding, mobile penetration, and data costs. Furthermore, we highlighted the security risks posed by theft, robberies and terrorism. Full article
Show Figures

Figure 1

19 pages, 1581 KB  
Review
Integrated People and Freight Transportation: A Literature Review
by Onur Derse and Tom Van Woensel
Future Transp. 2024, 4(4), 1142-1160; https://doi.org/10.3390/futuretransp4040055 - 8 Oct 2024
Cited by 6 | Viewed by 5155
Abstract
Increasing environmental and economic pressures have led to numerous innovations in the logistics sector, including integrated people and freight transport (IPFT). Despite growing attention from practitioners and researchers, IPFT lacks extensive research coverage. This study aims to bridge this gap by presenting a [...] Read more.
Increasing environmental and economic pressures have led to numerous innovations in the logistics sector, including integrated people and freight transport (IPFT). Despite growing attention from practitioners and researchers, IPFT lacks extensive research coverage. This study aims to bridge this gap by presenting a general framework and making several key contributions. It identifies, researches, and explains relevant terminologies, such as cargo hitching, freight on transit (FoT), urban co-modality, crowd-shipping (CS), occasional drivers (OD), crowdsourced delivery among friends, and share-a-ride, illustrating the interaction of IPFT with different systems like the sharing economy and co-modality. Furthermore, it classifies IPFT-related studies at strategic, tactical, and operational decision levels, detailing those that address uncertainty. The study also analyzes the opportunities and challenges associated with IPFT, highlighting social, economic, and environmental benefits and examining challenges from a PESTEL (political, economic, social, technological, environmental, and legal) perspective. Additionally, it discusses practical applications of IPFT and offers recommendations for future research and development, aiming to guide practitioners and researchers in addressing existing challenges and leveraging opportunities. This comprehensive framework aims to significantly advance the understanding and implementation of IPFT in the logistics sector. Full article
Show Figures

Figure 1

Back to TopTop