Collaborative Neighbourhood Logistics in e-Commerce Delivery: A Cluster Analysis of Receivers and Deliverers
Abstract
1. Introduction
2. Literature Review
2.1. Collaborative Neighbourhood Logistics
2.2. Consumers Perspectives and Motivations
3. Methodology
3.1. Questionnaire Design
- 1A
- Paid crowdsourced delivery (e.g., booking a scheduled delivery through a mobile app).
- 1B
- Paid parcel pickup for others (e.g., collecting parcels for a service fee while picking up your own).
- 2A
- Receiving parcel neighbours picked up for free (e.g., neighbours helping each other).
- 2B
- Free parcel pickup for neighbours (e.g., neighbours helping each other).
3.2. Data Collection
3.3. Sample Profile
4. Results and Discussion
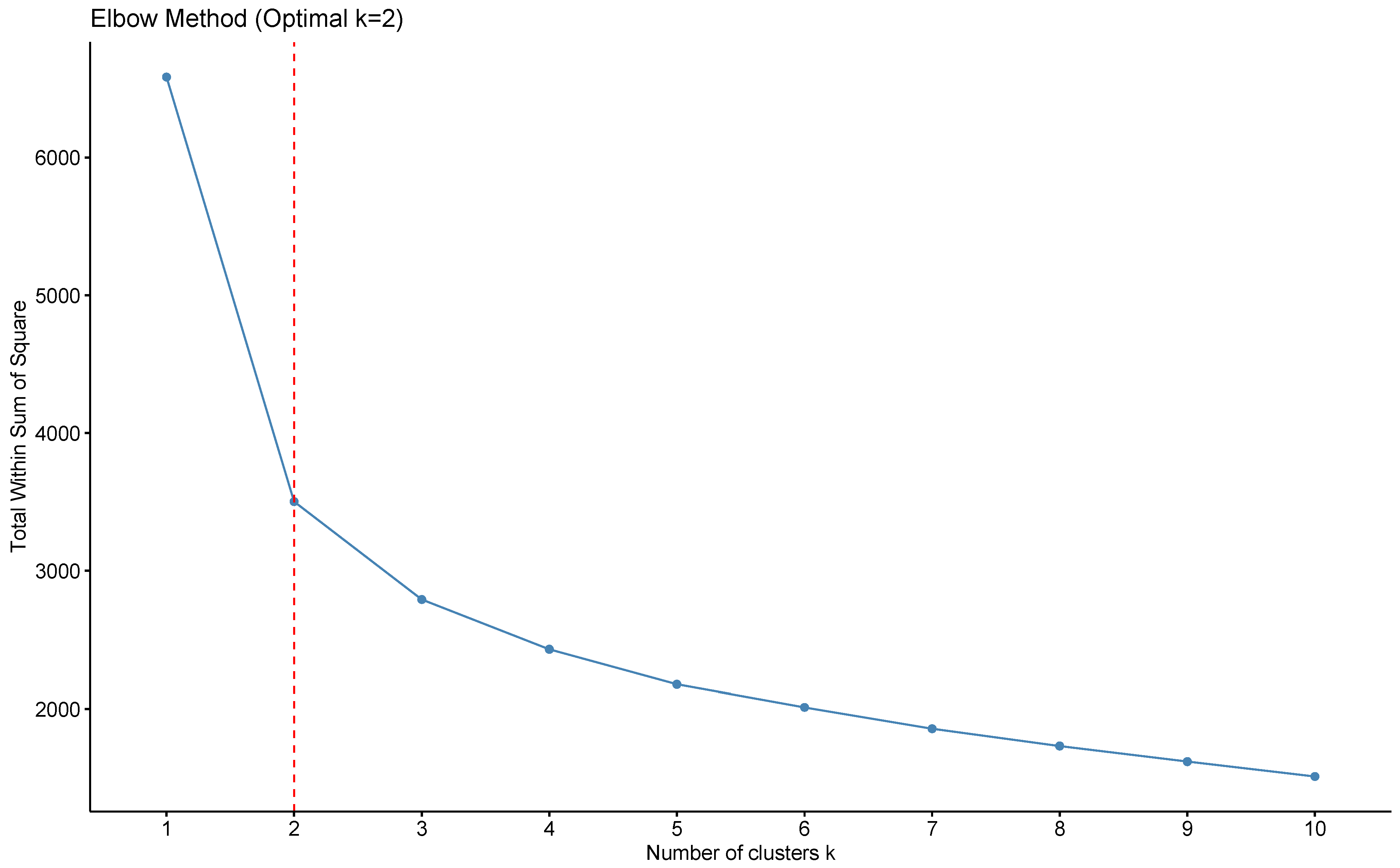
4.1. Determination of Optimal Cluster Number
4.2. K-Means Clustering and Cluster Characterisation
4.2.1. Scenario 1: Crowdsourced Delivery (With Payment Fee)
4.2.2. Scenario 2: Social Delivery (Free)
4.3. Comparison of Scenario 1A-B (Paid Option) and Scenario 2A-B (Free Option)
5. Conclusions
5.1. Contribution
5.2. Limitations and Future Research
Author Contributions
Funding
Institutional Review Board Statement
Informed Consent Statement
Data Availability Statement
Conflicts of Interest
References
- Wang, Y.; Zhang, D.; Liu, Q.; Shen, F.; Lee, L.H. Towards enhancing the last-mile delivery: An effective crowd-tasking model with scalable solutions. Transp. Res. Part E Logist. Transp. Rev. 2016, 93, 279–293. [Google Scholar] [CrossRef]
- Bosona, T. Urban freight last mile logistics—Challenges and opportunities to improve sustainability: A literature review. Sustainability 2020, 12, 8769. [Google Scholar] [CrossRef]
- Boysen, N.; Fedtke, S.; Schwerdfeger, S. Last-mile delivery concepts: A survey from an operational research perspective. OR Spectr. 2021, 43, 1–58. [Google Scholar] [CrossRef]
- Escudero-Santana, A.; Muñuzuri, J.; Lorenzo-Espejo, A.; Muñoz-Díaz, M.-L. Improving E-Commerce Distribution through Last-Mile Logistics with Multiple Possibilities of Deliveries Based on Time and Location. J. Theor. Appl. Electron. Commer. Res. 2022, 17, 507–521. [Google Scholar] [CrossRef]
- Ranieri, L.; Digiesi, S.; Silvestri, B.; Roccotelli, M. A Review of Last Mile Logistics Innovations in an Externalities Cost Reduction Vision. Sustainability 2018, 10, 782. [Google Scholar] [CrossRef]
- Masorgo, N.; Dobrzykowski, D.; Fugate, B. Last-Mile Delivery: A Process View, Framework, and Research Agenda. J. Bus. Logist. 2024, 45, e12397. [Google Scholar] [CrossRef]
- Akeb, H.; Moncef, B.; Durand, B. Building a collaborative solution in dense urban city settings to enhance parcel delivery: An effective crowd model in Paris. Transp. Res. Part E Logist. Transp. Rev. 2018, 119, 223–233. [Google Scholar] [CrossRef]
- Liu, X.; Zhou, Z.; Yuen, K.; Wang, X. Green and gamified! An investigation of consumer participation in green last-mile from a gamification affordance perspective. J. Retail. Consum. Serv. 2024, 79, 103808. [Google Scholar] [CrossRef]
- Carbone, V.; Rouquet, A.; Roussat, C. A typology of logistics at work in collaborative consumption. Int. J. Phys. Distrib. Logist. Manag. 2018, 48, 570–585. [Google Scholar] [CrossRef]
- Cleophas, C.; Cottrill, C.; Ehmke, J.F.; Tierney, K. Collaborative urban transportation: Recent advances in theory and practice. Eur. J. Oper. Res. 2019, 273, 801–816. [Google Scholar] [CrossRef]
- Hu, S.; Shu, S.; Chen, Z.; Shao, Y.; Na, X.; Xie, C.; Stettler, M.; Lee, D.H. Sustainable impact analysis of freight pooling strategies on city crowdsourcing logistics platform. Transp. Res. Part D Transp. Environ. 2024, 130, 104167. [Google Scholar] [CrossRef]
- Devari, A.; Nikolaev, A.G.; He, Q. Crowdsourcing the last mile delivery of online orders by exploiting the social networks of retail store customers. Transp. Res. Part E Logist. Transp. Rev. 2017, 105, 105–122. [Google Scholar] [CrossRef]
- Taylor, R.F. Extending Conceptual Boundaries: Work, Voluntary Work and Employment. Work Employ. Soc. 2004, 18, 29–49. [Google Scholar] [CrossRef]
- Wang, X.; Wong, Y.D.; Liu, F.; Yuen, K.F. Consumers’ paradoxical motives of co-creation: From self-service technology to crowd-sourcing platform. Technol. Forecast. Soc. Change 2023, 197, 122934. [Google Scholar] [CrossRef]
- Ta, H.; Esper, T.L.; Hofer, A.R. Designing crowdsourced delivery systems: The effect of driver disclosure and ethnic similarity. J. Oper. Manag. 2018, 60, 19–33. [Google Scholar] [CrossRef]
- Ta, H.; Esper, T.L.; Rossiter Hofer, A.; Sodero, A. Crowdsourced delivery and customer assessments of e-Logistics Service Quality: An appraisal theory perspective. J. Bus. Logist. 2023, 44, 345–368. [Google Scholar] [CrossRef]
- Buldeo Rai, H.; Verlinde, S.; Macharis, C. Who is interested in a crowdsourced last mile? A segmentation of attitudinal profiles. Travel Behav. Soc. 2021, 22, 22–31. [Google Scholar] [CrossRef]
- Bathke, H.; Münch, C. From Occasional to Active Crowdshippers: The Significance of Couriers’ Characteristics. IEEE Trans. Eng. Manag. 2024, 71, 12094–12109. [Google Scholar] [CrossRef]
- Le, T.V.; Ukkusuri, S.V. Modeling the willingness to work as crowd-shippers and travel time tolerance in emerging logistics services. Travel Behav. Soc. 2019, 15, 123–132. [Google Scholar] [CrossRef]
- Boysen, N.; Emde, S.; Schwerdfeger, S. Crowdshipping by employees of distribution centers: Optimization approaches for matching supply and demand. Eur. J. Oper. Res. 2022, 296, 539–556. [Google Scholar] [CrossRef]
- Martin, C.J. The sharing economy: A pathway to sustainability or a nightmarish form of neoliberal capitalism? Ecol. Econ. 2016, 121, 149–159. [Google Scholar] [CrossRef]
- Brabham, D. Moving the crowd at iStockphoto: The composition of the crowd and motivations for participation in a crowdsourcing application. First Monday 2008, 13, 1. [Google Scholar] [CrossRef]
- Aloui, A.; Hamani, N.; Derrouiche, R.; Delahoche, L. Systematic literature review on collaborative sustainable transportation: Overview, analysis and perspectives. Transp. Res. Interdiscip. Perspect. 2021, 9, 100291. [Google Scholar] [CrossRef]
- Ferrell, W.; Ellis, K.; Kaminsky, P.; Rainwater, C. Horizontal collaboration: Opportunities for improved logistics planning. Int. J. Prod. Res. 2020, 58, 4267–4284. [Google Scholar] [CrossRef]
- Buldeo Rai, H.; Verlinde, S.; Macharis, C. Shipping outside the box. Environmental impact and stakeholder analysis of a crowd logistics platform in Belgium. J. Clean. Prod. 2018, 202, 806–816. [Google Scholar] [CrossRef]
- Nguyen, C.T.; Yuen, K.F.; Kim, T.Y.; Wang, X. An empirical research on the determinants of driver-partners’ participative behaviour in crowd logistics: From a motivation theory perspective. Int. J. Logist. Manag. 2024, 35, 601–622. [Google Scholar] [CrossRef]
- Belk, R. You are what you can access: Sharing and collaborative consumption online. J. Bus. Res. 2014, 67, 1595–1600. [Google Scholar] [CrossRef]
- Perren, R.; Grauerholz, L. Collaborative consumption. Int. Encycl. Soc. Behav. Sci. 2015, 4, 139–144. [Google Scholar]
- Hamari, J.; Sjöklint, M.; Ukkonen, A. The sharing economy: Why people participate in collaborative consumption. J. Assoc. Inf. Sci. Technol. 2016, 67, 2047–2059. [Google Scholar] [CrossRef]
- Bi, H.; Zhu, X.; Lu, F.; Huang, M. The Meal Delivery Routing Problem in E-commerce Platforms under the Shared Logistics Mode. J. Theor. Appl. Electron. Commer. Res. 2023, 18, 1799–1819. [Google Scholar] [CrossRef]
- Wang, X.; Wong, Y.D.; Chen, T.; Yuen, K.F. Co-creating consumer logistics from self-collection to crowd-sourced delivery: An examination on contextual differences in last-mile. J. Bus. Res. 2023, 168, 114136. [Google Scholar] [CrossRef]
- Prahalad, C.K.; Ramaswamy, V. Co-creation experiences: The next practice in value creation. J. Interact. Mark. 2004, 18, 5–14. [Google Scholar] [CrossRef]
- Vargo, S.L.; Maglio, P.P.; Akaka, M.A. On value and value co-creation: A service systems and service logic perspective. Eur. Manag. J. 2008, 26, 145–152. [Google Scholar] [CrossRef]
- Wang, X.; Yuen, K.F. Towards a typology of logistics “work” beyond formal employment: A synthesised literature review. Int. J. Phys. Distrib. Logist. Manag. 2023, 53, 1101–1128. [Google Scholar] [CrossRef]
- Li, L.; Li, G. Cross-Platform Logistics Collaboration: The Impact of a Self-Built Delivery Service. J. Theor. Appl. Electron. Commer. Res. 2025, 20, 3. [Google Scholar] [CrossRef]
- Chang, I.-C.; Shiau, W.-M.; Lin, C.-Y.; Shih, D.-H. Consumer Intentions to Switch On-Demand Food Delivery Platforms: A Perspective from Push-Pull-Mooring Theory. J. Theor. Appl. Electron. Commer. Res. 2023, 18, 2217–2232. [Google Scholar] [CrossRef]
- Markowska, M.; Marcinkowski, J.; Kiba-Janiak, M.; Strahl, D. Rural E-Customers’ Preferences for Last Mile Delivery and Products Purchased via the Internet before and after the COVID-19 Pandemic. J. Theor. Appl. Electron. Commer. Res. 2023, 18, 597–614. [Google Scholar] [CrossRef]
- Koh, L.Y.; Peh, Y.S.; Wang, X.; Yuen, K.F. Adoption of online crowdsourced logistics during the pandemic: A consumer-based approach. Int. J. Logist. Manag. 2024, 35, 531–556. [Google Scholar] [CrossRef]
- Bortolini, M.; Calabrese, F.; Francesco Gabriele, G. Crowd Logistics: A Survey of Successful Applications and Implementation Potential in Northern Italy. Sustainability 2022, 14, 16881. [Google Scholar] [CrossRef]
- Mittal, A.; Oran Gibson, N.; Krejci, C.C.; Marusak, A.A. Crowd-shipping for urban food rescue logistics. Int. J. Phys. Distrib. Logist. Manag. 2021, 51, 486–507. [Google Scholar] [CrossRef]
- Rechavi, A.; Toch, E. Crowd logistics: Understanding auction-based pricing and couriers’ strategies in crowdsourcing package delivery. J. Intell. Transp. Syst. 2022, 26, 129–144. [Google Scholar] [CrossRef]
- Barbosa, M.; Pedroso, J.P.; Viana, A. A data-driven compensation scheme for last-mile delivery with crowdsourcing. Comput. Oper. Res. 2023, 150, 106059. [Google Scholar] [CrossRef]
- Dai, Q.; Jia, H.; Liu, Y. Private vehicle-based crowdshipping for intercity express transportation: Feasibility assessment. Int. J. Distrib. Sens. Netw. 2020, 16, 1550147720908203. [Google Scholar] [CrossRef]
- Castillo, V.E.; Bell, J.E.; Mollenkopf, D.A.; Stank, T.P. Hybrid last mile delivery fleets with crowdsourcing: A systems view of managing the cost-service trade-off. J. Bus. Logist. 2022, 43, 36–61. [Google Scholar] [CrossRef]
- Dayarian, I.; Savelsbergh, M. Crowdshipping and Same-day Delivery: Employing In-store Customers to Deliver Online Orders. Prod. Oper. Manag. 2020, 29, 2153–2174. [Google Scholar] [CrossRef]
- Bergkvist, L.; Rossiter, J. The Predictive Validity of Multiple-Item Versus Single-Item Measures of the Same Constructs. J. Mark. Res. 2007, 44, 175–184. [Google Scholar] [CrossRef]
- Fuchs, C.; Diamantopoulos, A. Using Single-Item Measures for Construct Measurement in Management Research: Conceptual Issues and Application Guidelines. Die Betriebswirtschaft 2009, 69, 195–210. [Google Scholar]
- Dolan, P.; Metcalfe, R. Measuring Subjective Wellbeing: Recommendations on Measures for use by National Governments. J. Soc. Policy 2012, 41, 409–427. [Google Scholar] [CrossRef]
- Department of Statistics. Key Household Income Trends 2023; Ministry of Trade & Industry: Singapore, 2023. [Google Scholar]
- Banerjee, A.; Dave, R.N. Validating clusters using the Hopkins statistic. In Proceedings of the 2004 IEEE International Conference on Fuzzy Systems (IEEE Cat. No.04CH37542), Budapest, Hungary, 25–29 July 2004. [Google Scholar]
- Hopkins, B.; Skellam, J.G. A New Method for determining the Type of Distribution of Plant Individuals. Ann. Bot. 1954, 18, 213–227. [Google Scholar] [CrossRef]
- Jain, A.K. Data clustering: 50 years beyond K-means. Pattern Recognit. Lett. 2010, 31, 651–666. [Google Scholar] [CrossRef]
- Dearing, J.W.; Cox, J.G. Diffusion of innovations theory, principles, and practice. Health Aff. 2018, 37, 183–190. [Google Scholar] [CrossRef] [PubMed]
- Aaker, D.A.; Equity, M.B. Capitalizing on the Value of a Brand Name. New York 1991, 28, 35–37. [Google Scholar]
- Mladenow, A.; Bauer, C.; Strauss, C. “Crowd logistics”: The contribution of social crowds in logistics activities. Int. J. Web Inf. Syst. 2016, 12, 379–396. [Google Scholar] [CrossRef]
- Rougès, J.-F.; Montreuil, B. Crowdsourcing delivery: New interconnected business models to reinvent delivery. In Proceedings of the 1st International Physical Internet Conference, Quebec, QC, Canada, 28–30 May 2014; pp. 1–19. [Google Scholar]









| Sources | Method | Perspective | Research Scope |
|---|---|---|---|
| Buldeo Rai and Verlinde [17] | Cluster analysis | Receiver | Investigating the types of consumers interested in crowdsourced last-mile delivery and the crowd logistics services they find intriguing. |
| Koh and Peh [38] | Survey | Receiver | Exploring the influence of consumer health on usage intention and technology adoption. |
| Ta and Esper [15] | Experiment | Receiver | Examining the effects of various crowdsourced delivery system designs, including driver disclosure and ethnicity, on customer attitudes towards drivers and retailers. |
| Ta and Esper [16] | Archival | Receiver | Studying the differences in customer appraisals of e-logistics service quality dimensions between crowdsourced delivery and traditional delivery methods, and how product types influence these differences. |
| Bortolini and Calabrese [39] | Survey | Receiver and deliverer | Assessing the feasibility of implementing an emerging crowd logistics system in northern Italy. |
| Mittal and Oran Gibson [40] | Simulation and survey | Sender and deliverer | Investigating the participation decisions of both senders and carriers over time and the impact of the resulting feedback loop on platform growth and performance. |
| Bathke and Münch [18] | Conjoint analysis | Deliverer | Exploring the characteristics of crowd-shippers. |
| Rechavi and Toch [41] | Data mining and spatial analysis | Deliverer | Studying the strategies of crowdsourced couriers in relation to delivery pricing and courier experience. |
| Barbosa and Pedroso [42] | Regression analysis | Deliverer | Examining the compensation scheme that determines reward values for a professional fleet’s routes and the probability couriers will accept. |
| Le and Ukkusuri [19] | Binary logit and regression model | Deliverer | Assessing willingness to work as crowd-shippers and travel time tolerance in emerging logistics services. |
| Nguyen and Yuen [26] | Survey | Deliverer | Investigating crowd logistics drivers’ extrinsic and intrinsic motivations for participation. |
| Sources | Context | Option | Research Scope |
|---|---|---|---|
| Akeb and Moncef [7] | Crowd model, neighbour relays | Paid | Researching the modelling of parcel delivery by individuals (neighbours) in urban areas. |
| Dai and Jia [43] | Crowdshipping | Paid | Assessing the willingness and preferences of express companies and car owners to participate. |
| Castillo and Bell [44] | Crowdsourced delivery | Paid | Exploring how elements such as driver autonomy, compensation, fleet size, fleet mix, and demand intensity affect cost and service in last-mile delivery. |
| Dayarian and Savelsbergh [45] | Crowdshipping and same-day delivery | Paid | Employing in-store customers to deliver online orders on their way home. |
| Devari and Nikolaev [12] | Crowdsourcing, social network | Free | Utilising friends within a social network to assist in last-mile delivery. |
| Carbone and Rouquet [9] | Collaborative consumption | Free | Identifying and describing four types of logistics: peer-to-peer, business, crowd, and open logistics. |
| Wang and Wong [31] | Co-creating consumer logistics, self-collection, crowd-sourced delivery | Paid and free | Examining the motivational effects of empowerment and shared responsibility perceptions, as well as the moderating effects of private–social and paid–unpaid contexts. |
| Variables | Description | Low—Value/Probability—High | ||||||
|---|---|---|---|---|---|---|---|---|
| Imagine that you face the following scenario: (1a) Paid crowdsourced delivery as receiver (e.g., book a scheduled delivery on a mobile app similar to Grab) | ||||||||
| Functional value | When shopping online, to what extent does this delivery/collection option create functional value (e.g., save time and effort) for you? | 1 | 2 | 3 | 4 | 5 | 6 | 7 |
| Monetary value | When shopping online, to what extent does this delivery/collection option create monetary value (e.g., save costs) for you? | 1 | 2 | 3 | 4 | 5 | 6 | 7 |
| Social value | When shopping online, to what extent does this delivery/collection option create social value (e.g., being helpful to others, being respected by others, avoiding undesirable social situations) for you? | 1 | 2 | 3 | 4 | 5 | 6 | 7 |
| Intention | When shopping online, how likely are you to use this delivery/collection option? | 1 | 2 | 3 | 4 | 5 | 6 | 7 |
| Scenario | Functional (M ± SD) | Monetary (M ± SD) | Social (M ± SD) | Intention (M ± SD) |
|---|---|---|---|---|
| 1A | 4.44 ± 1.83 | 3.99 ± 1.82 | 4.18 ± 1.68 | 4.01 ± 1.98 |
| 1B | 3.76 ± 1.74 | 4.07 ± 1.78 | 4.43 ± 1.67 | 3.63 ± 1.92 |
| 2A | 4.17 ± 1.85 | 4.25 ± 1.82 | 4.72 ± 1.77 | 3.75 ± 1.98 |
| 2B | 4.03 ± 1.87 | 3.96 ± 1.81 | 4.82 ± 1.78 | 3.58 ± 1.95 |
| Frequency | Percentage | |
|---|---|---|
| Gender | ||
| Male | 247 | 50 |
| Female | 246 | 50 |
| Education level | ||
| Secondary or below | 52 | 10.55 |
| Post-secondary | 55 | 11.16 |
| Polytechnic | 113 | 22.92 |
| University or higher | 273 | 55.38 |
| Age | ||
| 16–35 | 144 | 29 |
| 35–50 | 143 | 29 |
| >50 | 206 | 41 |
| Income/month (SGD) | ||
| Household with no working adult | 13 | 2.64 |
| <4000 | 114 | 23.12 |
| 4001–8000 | 137 | 27.79 |
| 8001–12,000 | 120 | 24.34 |
| 12,001–16,000 | 69 | 14.00 |
| 16,001–20,000 | 13 | 2.64 |
| >20,000 | 27 | 5.48 |
| Value | Cluster 1 n = 97 (19.7%) | Cluster 2 n = 144 (29.2%) | Cluster 3 n = 80 (16.2%) | Cluster 4 n = 172 (34.9%) | F-Value | Significance |
|---|---|---|---|---|---|---|
| Functional | 1.99 | 4.63 | 4.01 | 5.85 | 221.156 | <0.001 |
| Monetary | 1.78 | 3.84 | 3.14 | 5.76 | 316.702 | <0.001 |
| Social | 2.52 | 4.02 | 3.83 | 5.42 | 106.454 | <0.001 |
| Intention | 1.52 | 2.81 | 5.23 | 5.84 | 572.416 | <0.001 |
| Value | Cluster 1 n = 105 (21.3%) | Cluster 2 n = 101 (20.5%) | Cluster 3 n = 130 (26.4%) | Cluster 4 n = 157 (31.8%) | F-Value | Significance |
|---|---|---|---|---|---|---|
| Functional | 1.81 | 3.83 | 3.28 | 5.40 | 215.542 | <0.001 |
| Monetary | 1.85 | 4.38 | 3.79 | 5.59 | 226.680 | <0.001 |
| Social | 2.52 | 4.99 | 4.13 | 5.59 | 139.785 | <0.001 |
| Intention | 1.43 | 2.02 | 4.31 | 5.59 | 598.958 | <0.001 |
| Value | Cluster 1 n = 75 (15.2%) | Cluster 2 n = 125 (25.4%) | Cluster 3 n = 151 (30.6%) | Cluster 4 n = 142 (28.8%) | F-Value | Significance |
|---|---|---|---|---|---|---|
| Functional | 1.72 | 3.36 | 4.26 | 6.07 | 268.766 | <0.001 |
| Monetary | 1.61 | 3.72 | 4.30 | 6.05 | 271.986 | <0.001 |
| Social | 2.08 | 4.74 | 4.71 | 6.11 | 174.638 | <0.001 |
| Intention | 1.37 | 2.04 | 4.60 | 5.61 | 427.821 | <0.001 |
| Value | Cluster 1 n = 78 (15.8%) | Cluster 2 n = 84 (17.0%) | Cluster 3 n = 166 (33.7%) | Cluster 4 n = 165 (33.5%) | F-Value | Significance |
|---|---|---|---|---|---|---|
| Functional | 1.68 | 2.12 | 4.30 | 5.75 | 358.848 | <0.001 |
| Monetary | 1.67 | 2.46 | 4.16 | 5.55 | 256.692 | <0.001 |
| Social | 1.85 | 5.49 | 4.48 | 6.20 | 320.529 | <0.001 |
| Intention | 1.37 | 1.72 | 3.54 | 5.54 | 371.047 | <0.001 |
Disclaimer/Publisher’s Note: The statements, opinions and data contained in all publications are solely those of the individual author(s) and contributor(s) and not of MDPI and/or the editor(s). MDPI and/or the editor(s) disclaim responsibility for any injury to people or property resulting from any ideas, methods, instructions or products referred to in the content. |
© 2025 by the authors. Licensee MDPI, Basel, Switzerland. This article is an open access article distributed under the terms and conditions of the Creative Commons Attribution (CC BY) license (https://creativecommons.org/licenses/by/4.0/).
Share and Cite
Nguyen, C.T.; Cai, L.; Fang, M.; Liu, Y.; Wang, X. Collaborative Neighbourhood Logistics in e-Commerce Delivery: A Cluster Analysis of Receivers and Deliverers. J. Theor. Appl. Electron. Commer. Res. 2025, 20, 147. https://doi.org/10.3390/jtaer20020147
Nguyen CT, Cai L, Fang M, Liu Y, Wang X. Collaborative Neighbourhood Logistics in e-Commerce Delivery: A Cluster Analysis of Receivers and Deliverers. Journal of Theoretical and Applied Electronic Commerce Research. 2025; 20(2):147. https://doi.org/10.3390/jtaer20020147
Chicago/Turabian StyleNguyen, Cam Tu, Lanhui Cai, Mingjie Fang, Yanfeng Liu, and Xueqin Wang. 2025. "Collaborative Neighbourhood Logistics in e-Commerce Delivery: A Cluster Analysis of Receivers and Deliverers" Journal of Theoretical and Applied Electronic Commerce Research 20, no. 2: 147. https://doi.org/10.3390/jtaer20020147
APA StyleNguyen, C. T., Cai, L., Fang, M., Liu, Y., & Wang, X. (2025). Collaborative Neighbourhood Logistics in e-Commerce Delivery: A Cluster Analysis of Receivers and Deliverers. Journal of Theoretical and Applied Electronic Commerce Research, 20(2), 147. https://doi.org/10.3390/jtaer20020147

