Sign in to use this feature.

Years

Between: -

Subjects

remove_circle_outline
remove_circle_outline
remove_circle_outline
remove_circle_outline

Journals

Article Types

Countries / Regions

Search Results (10)

Search Parameters:
Keywords = crop growth deficit map

Order results
Result details
Results per page
Select all
Export citation of selected articles as:
20 pages, 6890 KB  
Article
Water Use Efficiency Characteristics and Their Contributions to Yield in Diverse Sugarcane Genotypes with Varying Drought Resistance Levels Under Different Field Irrigation Conditions
by Jidapa Khonghintaisong, Anocha Onkaeo, Patcharin Songsri and Nakorn Jongrungklang
Agriculture 2024, 14(11), 1952; https://doi.org/10.3390/agriculture14111952 - 31 Oct 2024
Cited by 7 | Viewed by 2163
Abstract
Drought is the major abiotic constraint affecting sugarcane productivity and quality worldwide. This obstacle may be alleviated through sugarcane genotypes demonstrating good water use efficiency (WUE) performance. This study aims to investigate the WUE characteristics of various sugarcane genotypes under different soil water [...] Read more.
Drought is the major abiotic constraint affecting sugarcane productivity and quality worldwide. This obstacle may be alleviated through sugarcane genotypes demonstrating good water use efficiency (WUE) performance. This study aims to investigate the WUE characteristics of various sugarcane genotypes under different soil water availability levels. Plant and ratoon field experiments were conducted using a split-plot randomized complete block design with three replications. The main plots were assigned three types of irrigation: (1) rainfed conditions (RF), (2) field capacity conditions (FC), and (3) half-available water (½ AW). The subplots consisted of six sugarcane genotypes with varying levels of drought resistance, i.e., KK3, UT13, Kps01-12, KKU99-03, KKU99-02, and UT12. Data on yield, stalk numbers, stalk diameter, height, and WUE were collected throughout the crop cycle for both plant and ratoon crops. For the plant crop, the net photosynthesis rate, transpiration rate, stomatal conductance, and leaf area index (LAI) were recorded during the crop period. In both plant and ratoon crops, the WUE in the RF treatment was lower than in the FC and ½ AW treatments during the drought stress period 4 months after planting (MAP). In the recovery phase, the WUE in the ½ AW treatment fell between the FC and RF treatments. The RF treatment exhibited the lowest WUE compared to the other two water regime treatments at the maturity stage. The drought-resistant genotypes KK3 and UT13 maintained high WUE values throughout both the drought and recovery periods and exhibited outstanding LAIs at 4 and 6 MAP. A significant relationship existed between WUE and LAI during these periods. Moreover, WUE was positively correlated with cane yields and yield components, such as stalk weight, shoot diameter, and height, during recovery and tiller number and height during ripening. Therefore, WUE and LAI are efficient parameters for supporting and maintaining growth and yield during water deficit and recovery phases under rainfed conditions. Full article
(This article belongs to the Section Agricultural Water Management)
Show Figures

Figure 1

19 pages, 15395 KB  
Article
The Effect of a Parcel-Aggregated Cropping Structure Mapping Method in Irrigation-Water Estimation in Arid Regions—A Case Study of the Weigan River Basin in Xinjiang
by Haoyu Wang, Linze Bai, Chunxia Wei, Junli Li, Shuo Li, Chenghu Zhou, Philippe De Maeyer, Wenqi Kou, Chi Zhang, Zhanfeng Shen and Tim Van de Voorde
Remote Sens. 2024, 16(21), 3941; https://doi.org/10.3390/rs16213941 - 23 Oct 2024
Viewed by 1363
Abstract
Effective management of agricultural water resources in arid regions relies on precise estimation of irrigation-water demand. Most previous studies have adopted pixel-level mapping methods to estimate irrigation-water demand, often leading to inaccuracies when applied in arid areas where land salinization is severe and [...] Read more.
Effective management of agricultural water resources in arid regions relies on precise estimation of irrigation-water demand. Most previous studies have adopted pixel-level mapping methods to estimate irrigation-water demand, often leading to inaccuracies when applied in arid areas where land salinization is severe and where poorly growing crops cause the growing area to be smaller than the sown area. To address this issue and improve the accuracy of irrigation-water demand estimation, this study utilizes parcel-aggregated cropping structure mapping. We conducted a case study in the Weigan River Basin, Xinjiang, China. Deep learning techniques, the Richer Convolutional Features model, and the bilayer Long Short-Term Memory model were applied to extract parcel-aggregated cropping structures. By analyzing the cropping patterns, we estimated the irrigation-water demand and calculated the supply using statistical data and the water balance approach. The results indicated that in 2020, the cultivated area in the Weigan River Basin was 5.29 × 105 hectares, distributed over 853,404 parcels with an average size of 6202 m2. Based on the parcel-aggregated cropping structure, the estimated irrigation-water demand ranges from 25.1 × 108 m3 to 30.0 × 108 m3, representing a 5.57% increase compared to the pixel-level estimates. This increase highlights the effectiveness of the parcel-aggregated cropping structure in capturing the actual irrigation-water requirements, particularly in areas with severe soil salinization and patchy crop growth. The supply was calculated at 24.4 × 108 m3 according to the water balance approach, resulting in a minimal water deficit of 0.64 × 108 m3, underscoring the challenges in managing agricultural water resources in arid regions. Overall, the use of parcel-aggregated cropping structure mapping addresses the issue of irrigation-water demand underestimation associated with pixel-level mapping in arid regions. This study provides a methodological framework for efficient agricultural water resource management and sustainable development in arid regions. Full article
Show Figures

Figure 1

12 pages, 2020 KB  
Article
A Spatial Analysis of Coffee Plant Temperature and Its Relationship with Water Potential and Stomatal Conductance Using a Thermal Camera Embedded in a Remotely Piloted Aircraft
by Luana Mendes dos Santos, Gabriel Araújo e Silva Ferraz, Milene Alves de Figueiredo Carvalho, Alisson André Vicente Campos, Pedro Menicucci Neto, Letícia Aparecida Gonçalves Xavier, Alessio Mattia, Valentina Becciolini and Giuseppe Rossi
Agronomy 2024, 14(10), 2414; https://doi.org/10.3390/agronomy14102414 - 18 Oct 2024
Viewed by 1184
Abstract
Coffee is a key agricultural product in national and international markets. Physiological parameters, such as plant growth indicators, can signal interruptions in these processes. This study aimed to characterize the temperature obtained by a thermal camera embedded in a remotely piloted aircraft (RPA) [...] Read more.
Coffee is a key agricultural product in national and international markets. Physiological parameters, such as plant growth indicators, can signal interruptions in these processes. This study aimed to characterize the temperature obtained by a thermal camera embedded in a remotely piloted aircraft (RPA) and evaluate its relationship with the water potential (WP) and stomatal conductance (gs) of an experimental coffee plantation using geostatistical techniques. The experiment was conducted at the Federal University of Lavras, Minas Gerais, Brazil. A rotary-wing RPA with an embedded thermal camera flew autonomously at a height of 10 m and speed of 10 m/s. Images were collected on 26 November 2019 (rainy season), and 11 August 2020 (dry season), between 9:30 am and 11:30 am. Data on gs and WP were collected in the field. The thermal images were processed using FLIR Tools 5.13, and temperature analysis and spatialization were undertaken using geostatistical tools and isocolor maps by Kriging interpolation in R 4.3.2 software. Field data were superimposed on final crop temperature maps using QuantumGIS version 3.10 software. The study found that with decreasing WP, stomatal closure and reduction in gs occurred, increasing the temperature due to water deficit. The temperature distribution maps identified areas of climatic variations indicating water deficit. Full article
Show Figures

Figure 1

22 pages, 1819 KB  
Review
Viticultural Manipulation and New Technologies to Address Environmental Challenges Caused by Climate Change
by Qun Sun, Gabriel Granco, Leah Groves, Jully Voong and Sonet Van Zyl
Climate 2023, 11(4), 83; https://doi.org/10.3390/cli11040083 - 6 Apr 2023
Cited by 17 | Viewed by 8622
Abstract
Climate change is a critical challenge for the global grape and wine industry, as it can disrupt grapevine growth, production, and wine quality. Climate change could influence the cost-effectiveness and growth of the wine industry in different wine regions since grapevine development is [...] Read more.
Climate change is a critical challenge for the global grape and wine industry, as it can disrupt grapevine growth, production, and wine quality. Climate change could influence the cost-effectiveness and growth of the wine industry in different wine regions since grapevine development is deeply dependent on weather (short-term) and climate (long-term) conditions. Innovation and new technologies are needed to meet the challenge. This review article addresses the impact of climate change on grapevines, such as vine phenology, pest and disease pressure, crop load, and grape and wine composition. It also reviews recent advances in the areas of viticultural manipulation and relevant technologies to potentially reduce the impact of climate change and help growers improve grape quality. Remote sensing is used for vineyard microclimate monitoring; thermal sensors combined with UAVs, aircraft, or satellites are used for water management; soil electrical conductivity sensors have been developed for soil mapping. Viticultural manipulations, such as regulated deficit irrigation for water use efficiency and berry-ripening delay for growing quality fruit, are also discussed. The review assesses future directions for further technological development, such as soil and vine water monitoring devises, precision viticulture, and artificial intelligence in vineyards. Full article
(This article belongs to the Section Climate and Environment)
Show Figures

Figure 1

34 pages, 4505 KB  
Article
A Comparison between Variable Deficit Irrigation and Farmers’ Irrigation Practices under Three Fertilization Levels in Cotton Yield (Gossypium hirsutum L.) Using Precision Agriculture, Remote Sensing, Soil Analyses, and Crop Growth Modeling
by Agathos Filintas, Aikaterini Nteskou, Nektarios Kourgialas, Nikolaos Gougoulias and Eleni Hatzichristou
Water 2022, 14(17), 2654; https://doi.org/10.3390/w14172654 - 28 Aug 2022
Cited by 13 | Viewed by 4368
Abstract
The major global challenge for the coming decades will be increasing crop production with less water consumption. Precision agriculture (PA) and variable deficit irrigation (VDI) are management strategies that help farmers to improve crop production, fertilizer’s efficiency, and water use efficiency (WUE). The [...] Read more.
The major global challenge for the coming decades will be increasing crop production with less water consumption. Precision agriculture (PA) and variable deficit irrigation (VDI) are management strategies that help farmers to improve crop production, fertilizer’s efficiency, and water use efficiency (WUE). The effects of irrigation (IR1 = variable deficit irrigation; IR2 = farmers’ irrigation common practices) under three fertilization (Ft1, Ft2, Ft3) treatments were studied on a cotton yield, on various indicators for more efficient water and fertilizer use, and on plant growth characteristics by applying a number of new agrotechnologies (such as TDR sensors; soil moisture (SM); PA; remote-sensing NDVI (Sentinel-2 satellite sensors); soil hydraulic analyses; geostatistical models; and SM root-zone modelling 2D GIS mapping). The reference evapotranspiration was computed based on the F.A.O. Penman–Monteith method. The crop (ETc) and actual (ETa) evapotranspiration were computed using crop coefficients obtained from the remote-sensing NDVI vegetation index (R2 = 0.9327). A daily soil–water–crop–atmosphere (SWCA) balance model and a depletion model were developed using sensor data (climatic parameters’ sensors, as well as soil and satellite sensors) measurements. The two-way ANOVA statistical analysis results revealed that irrigation (IR1 = best) and fertilization treatments (Ft2 = best) significantly affected the cotton yield, the plant height, the plant stem, the boll weight, the above-ground dry matter, nitrogen and fertilizer efficiency, and WUE. VDI, if applied wisely during critical growth stages, could result in a substantial improvement in the yield (up to +28.664%) and water savings (up to 24.941%), thus raising water productivity (+35.715% up to 42.659%), WUE (from farmers’ 0.421–0.496 kg·m−3 up to a VDI of 0.601–0.685 kg·m−3), nitrogen efficiency (+16.888% up to +22.859%), and N-P-K fertilizer productivity (from farmers’ 16.754–23.769 up to a VDI of 20.583–27.957). Full article
Show Figures

Figure 1

17 pages, 8131 KB  
Article
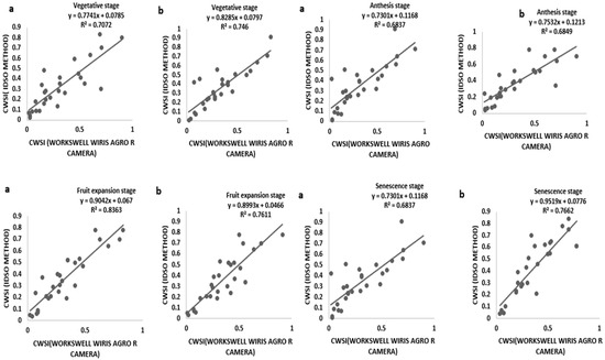
Rapid Estimation of Crop Water Stress Index on Tomato Growth
by Kelvin Edom Alordzinu, Jiuhao Li, Yubin Lan, Sadick Amoakohene Appiah, Alaa AL Aasmi and Hao Wang
Sensors 2021, 21(15), 5142; https://doi.org/10.3390/s21155142 - 29 Jul 2021
Cited by 16 | Viewed by 4570
Abstract
The goal of this research is to use a WORKSWELL WIRIS AGRO R INFRARED CAMERA (WWARIC) to assess the crop water stress index (CWSIW) on tomato growth in two soil types. This normalized index (CWSI) can map water stress to prevent [...] Read more.
The goal of this research is to use a WORKSWELL WIRIS AGRO R INFRARED CAMERA (WWARIC) to assess the crop water stress index (CWSIW) on tomato growth in two soil types. This normalized index (CWSI) can map water stress to prevent drought, mapping yield, and irrigation scheduling. The canopy temperature, air temperature, and vapor pressure deficit were measured and used to calculate the empirical value of the CWSI based on the Idso approach (CWSIIdso). The vegetation water content (VWC) was also measured at each growth stage of tomato growth. The research was conducted as a 2 × 4 factorial experiment arranged in a Completely Randomized Block Design. The treatments imposed were two soil types: sandy loam and silt loam, with four water stress treatment levels at 70–100% FC, 60–70% FC, 50–60% FC, and 40–50% FC on the growth of tomatoes to assess the water stress. The results revealed that CWSIIdso and CWSIW proved a strong correlation in estimating the crop water status at R2 above 0.60 at each growth stage in both soil types. The fruit expansion stage showed the highest correlation at R2 = 0.8363 in sandy loam and R2 = 0.7611 in silt loam. VWC and CWSIW showed a negative relationship with a strong correlation at all the growth stages with R2 values above 0.8 at p < 0.05 in both soil types. Similarly, the CWSIW and yield also showed a negative relationship and a strong correlation with R2 values above 0.95, which indicated that increasing the CWSIW had a negative effect on the yield. However, the total marketable yield ranged from 2.02 to 6.8 kg plant−1 in sandy loam soil and 1.75 to 5.4 kg plant−1 in silty loam soil from a low to high CWSIW. The highest mean marketable yield was obtained in sandy loam soil at 70–100% FC (0.0 < CWSIW ≤ 0.25), while the least-marketable yield was obtained in silty loam soil 40–50% FC (0.75 < CWSIW ≤ 1.0); hence, it is ideal for maintaining the crop water status between 0.0 < CWSIW ≤ 0.25 for the optimum yield. These experimental results proved that the WWARIC effectively assesses the crop water stress index (CWSIW) in tomatoes for mapping the yield and irrigation scheduling. Full article
(This article belongs to the Section Sensing and Imaging)
Show Figures

Figure 1

14 pages, 2127 KB  
Article
Integration of QTL, Transcriptome and Polymorphism Studies Reveals Candidate Genes for Water Stress Response in Tomato
by Isidore Diouf, Elise Albert, Renaud Duboscq, Sylvain Santoni, Frédérique Bitton, Justine Gricourt and Mathilde Causse
Genes 2020, 11(8), 900; https://doi.org/10.3390/genes11080900 - 7 Aug 2020
Cited by 21 | Viewed by 4071
Abstract
Water deficit (WD) leads to significant phenotypic changes in crops resulting from complex stress regulation mechanisms involving responses at the physiological, biochemical and molecular levels. Tomato growth and fruit quality have been shown to be significantly affected by WD stress. Understanding the molecular [...] Read more.
Water deficit (WD) leads to significant phenotypic changes in crops resulting from complex stress regulation mechanisms involving responses at the physiological, biochemical and molecular levels. Tomato growth and fruit quality have been shown to be significantly affected by WD stress. Understanding the molecular mechanism underlying response to WD is crucial to develop tomato cultivars with relatively high performance under low watering conditions. Transcriptome response to WD was investigated through the RNA sequencing of fruit and leaves in eight accessions grown under two irrigation conditions, in order to get insight into the complex genetic regulation of WD response in tomato. Significant differences in genotype WD response were first observed at the phenotypic level for fruit composition and plant development traits. At the transcriptome level, a total of 14,065 differentially expressed genes (DEGs) in response to WD were detected, among which 7393 (53%) and 11,059 (79%) were genotype- and organ-specific, respectively. Water deficit induced transcriptome variations much stronger in leaves than in fruit. A significant effect of the genetic background on expression variation was observed compared to the WD effect, along with the presence of a set of genes showing a significant genotype x watering regime interaction. Integrating the DEGs with previously identified WD response quantitative trait loci (QTLs) mapped in a multi-parental population derived from the crossing of the eight genotypes narrowed the candidate gene lists to within the confidence intervals surrounding the QTLs. The results present valuable resources for further study to decipher the genetic determinants of tomato response to WD. Full article
(This article belongs to the Special Issue Tomato Genetics)
Show Figures

Figure 1

18 pages, 8753 KB  
Article
Crop Growth Monitoring with Drone-Borne DInSAR
by Gian Oré, Marlon S. Alcântara, Juliana A. Góes, Luciano P. Oliveira, Jhonnatan Yepes, Bárbara Teruel, Valquíria Castro, Leonardo S. Bins, Felicio Castro, Dieter Luebeck, Laila F. Moreira, Lucas H. Gabrielli and Hugo E. Hernandez-Figueroa
Remote Sens. 2020, 12(4), 615; https://doi.org/10.3390/rs12040615 - 12 Feb 2020
Cited by 49 | Viewed by 8478
Abstract
Accurate, high-resolution maps of for crop growth monitoring are strongly needed by precision agriculture. The information source for such maps has been supplied by satellite-borne radars and optical sensors, and airborne and drone-borne optical sensors. This article presents a novel methodology for obtaining [...] Read more.
Accurate, high-resolution maps of for crop growth monitoring are strongly needed by precision agriculture. The information source for such maps has been supplied by satellite-borne radars and optical sensors, and airborne and drone-borne optical sensors. This article presents a novel methodology for obtaining growth deficit maps with an accuracy down to 5 cm and a spatial resolution of 1 m, using differential synthetic aperture radar interferometry (DInSAR). Results are presented with measurements of a drone-borne DInSAR operating in three bands—P, L and C. The decorrelation time of L-band for coffee, sugar cane and corn, and the feasibility for growth deficit maps generation are discussed. A model is presented for evaluating the growth deficit of a corn crop in L-band, starting with 50 cm height. This work shows that the drone-borne DInSAR has potential as a complementary tool for precision agriculture. Full article
Show Figures

Graphical abstract

20 pages, 4558 KB  
Article
Using High-Spatiotemporal Thermal Satellite ET Retrievals for Operational Water Use and Stress Monitoring in a California Vineyard
by Kyle R. Knipper, William P. Kustas, Martha C. Anderson, Maria Mar Alsina, Christopher R. Hain, Joseph G. Alfieri, John H. Prueger, Feng Gao, Lynn G. McKee and Luis A. Sanchez
Remote Sens. 2019, 11(18), 2124; https://doi.org/10.3390/rs11182124 - 12 Sep 2019
Cited by 48 | Viewed by 5670
Abstract
In viticulture, deficit irrigation strategies are often implemented to control vine canopy growth and to impose stress at critical stages of vine growth to improve wine grape quality. To support deficit irrigation scheduling, remote sensing technologies can be employed in the mapping of [...] Read more.
In viticulture, deficit irrigation strategies are often implemented to control vine canopy growth and to impose stress at critical stages of vine growth to improve wine grape quality. To support deficit irrigation scheduling, remote sensing technologies can be employed in the mapping of evapotranspiration (ET) at the field to sub-field scales, quantifying time-varying vineyard water requirements and actual water use. In the current study, we investigate the utility of ET maps derived from thermal infrared satellite imagery over a vineyard in the Central Valley of California equipped with a variable rate drip irrigation (VRDI) system which enables differential water applications at the 30 × 30 m scale. To support irrigation management at that scale, we utilized a thermal-based multi-sensor data fusion approach to generate weekly total actual ET (ETa) estimates at 30 m spatial resolution, coinciding with the resolution of the Landsat reflectance bands. Crop water requirements (ETc) were defined with a vegetative index (VI)-based approach. To test capacity to capture stress signals, the vineyard was sub-divided into four blocks with different irrigation management strategies and goals, inducing varying degrees of stress during the growing season. Results indicate derived weekly total ET from the thermal-based data fusion approach match well with observations. The thermal-based method was also able to capture the spatial heterogeneity in ET over the vineyard due to a water stress event imposed on two of the four vineyard blocks. This transient stress event was not reflected in the VI-based ETc estimate, highlighting the value of thermal band imaging. While the data fusion system provided valuable information, latency in current satellite data availability, particularly from Landsat, impacts operational applications over the course of a growing season. Full article
(This article belongs to the Special Issue Remote Sensing: 10th Anniversary)
Show Figures

Figure 1

24 pages, 5445 KB  
Article
Mapping Maize Water Stress Based on UAV Multispectral Remote Sensing
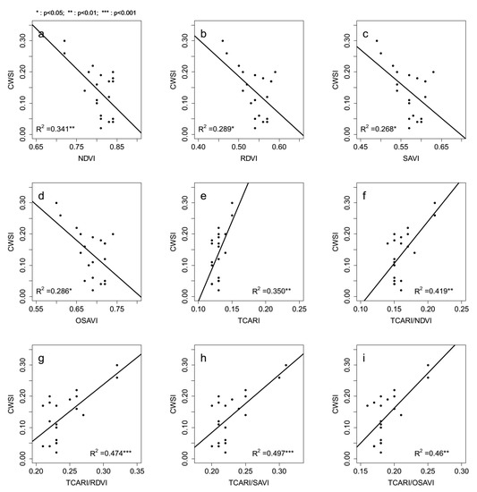
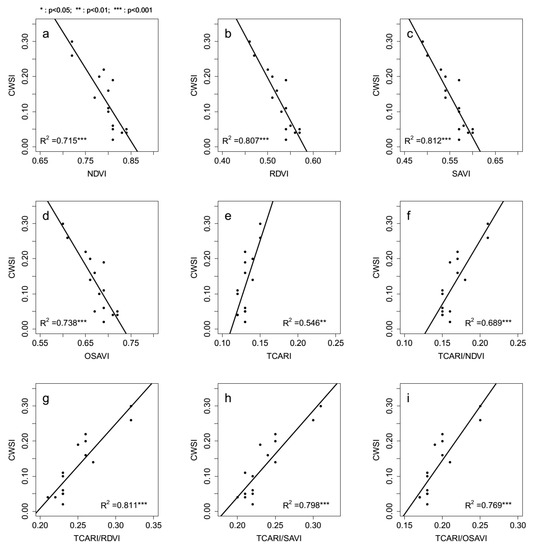
by Liyuan Zhang, Huihui Zhang, Yaxiao Niu and Wenting Han
Remote Sens. 2019, 11(6), 605; https://doi.org/10.3390/rs11060605 - 13 Mar 2019
Cited by 201 | Viewed by 14009
Abstract
Mapping maize water stress status and monitoring its spatial variability at a farm scale are a prerequisite for precision irrigation. High-resolution multispectral images acquired from an unmanned aerial vehicle (UAV) were used to evaluate the applicability of the data in mapping water stress [...] Read more.
Mapping maize water stress status and monitoring its spatial variability at a farm scale are a prerequisite for precision irrigation. High-resolution multispectral images acquired from an unmanned aerial vehicle (UAV) were used to evaluate the applicability of the data in mapping water stress status of maize under different levels of deficit irrigation at the late vegetative, reproductive and maturation growth stages. Canopy temperature, field air temperature and relative humidity obtained by a handheld infrared thermometer and a portable air temperature/relative humidity meter were used to establish a crop water stress index (CWSI) empirical model under the weather conditions in Ordos, Inner Mongolia, China. Nine vegetation indices (VIs) related to crop water stress were derived from the UAV multispectral imagery and used to establish CWSI inversion models. The results showed that non-water-stressed baseline had significant difference in the reproductive and maturation stages with an increase of 2.1 °C, however, the non-transpiring baseline did not change significantly with an increase of 0.1 °C. The ratio of transformed chlorophyll absorption in reflectance index (TCARI) and renormalized difference vegetation index (RDVI), and the TCARI and soil-adjusted vegetation index (SAVI) had the best correlations with CWSI. R2 values were 0.47 and 0.50 for TCARI/RDVI and TCARI/SAVI at the reproductive and maturation stages, respectively; and 0.81 and 0.80 for TCARI/RDVI and TCARI/SAVI at the late reproductive and maturation stages, respectively. Compared to CWSI calculated by on-site measurements, CWSI values retrieved by VI-CWSI regression models established in this study had more abilities to assess the field variability of crop and soil. This study demonstrates the potentiality of using high-resolution UAV multispectral imagery to map maize water stress. Full article
(This article belongs to the Section Remote Sensing in Agriculture and Vegetation)
Show Figures

Graphical abstract

Back to TopTop