Sign in to use this feature.

Years

Between: -

Subjects

remove_circle_outline
remove_circle_outline
remove_circle_outline
remove_circle_outline
remove_circle_outline
remove_circle_outline
remove_circle_outline
remove_circle_outline
remove_circle_outline

Journals

remove_circle_outline
remove_circle_outline
remove_circle_outline
remove_circle_outline
remove_circle_outline
remove_circle_outline
remove_circle_outline
remove_circle_outline
remove_circle_outline
remove_circle_outline
remove_circle_outline
remove_circle_outline
remove_circle_outline
remove_circle_outline
remove_circle_outline
remove_circle_outline
remove_circle_outline
remove_circle_outline

Article Types

Countries / Regions

remove_circle_outline
remove_circle_outline
remove_circle_outline
remove_circle_outline
remove_circle_outline
remove_circle_outline

Search Results (1,065)

Search Parameters:
Keywords = criterion dependency

Order results
Result details
Results per page
Select all
Export citation of selected articles as:
22 pages, 2774 KB  
Article
Uncovering Neural Learning Dynamics Through Latent Mutual Information
by Arianna Issitt, Alex Merino, Lamine Deen, Ryan T. White and Mackenzie J. Meni
Entropy 2026, 28(1), 118; https://doi.org/10.3390/e28010118 - 19 Jan 2026
Abstract
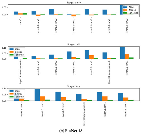
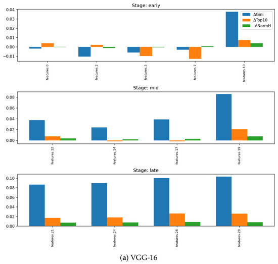
We study how convolutional neural networks reorganize information during learning in natural image classification tasks by tracking mutual information (MI) between inputs, intermediate representations, and labels. Across VGG-16, ResNet-18, and ResNet-50, we find that label-relevant MI grows reliably with depth while input MI [...] Read more.
We study how convolutional neural networks reorganize information during learning in natural image classification tasks by tracking mutual information (MI) between inputs, intermediate representations, and labels. Across VGG-16, ResNet-18, and ResNet-50, we find that label-relevant MI grows reliably with depth while input MI depends strongly on architecture and activation, indicating that “compression’’ is not a universal phenomenon. Within convolutional layers, label information becomes increasingly concentrated in a small subset of channels; inference-time knockouts, shuffles, and perturbations confirm that these high-MI channels are functionally necessary for accuracy. This behavior suggests a view of representation learning driven by selective concentration and decorrelation rather than global information reduction. Finally, we show that a simple dependence-aware regularizer based on the Hilbert–Schmidt Independence Criterion can encourage these same patterns during training, yielding small accuracy gains and consistently faster convergence. Full article
Show Figures

Figure 1

20 pages, 377 KB  
Article
Modeling Service Experience and Sustainable Adoption of Drone Taxi Services in the UAE: A Behavioral Framework Informed by TAM and UTAUT
by Sami Miniaoui, Nasser A. Saif Almuraqab, Rashed Al Raees, Prashanth B. S. and Manoj Kumar M. V.
Sustainability 2026, 18(2), 922; https://doi.org/10.3390/su18020922 - 16 Jan 2026
Viewed by 96
Abstract
Urban air mobility solutions such as drone taxi services are increasingly viewed as a promising response to congestion, sustainability, and smart-city mobility challenges. However, the large-scale adoption of such services depends on users’ perceptions of service experience, trust, and readiness to engage with [...] Read more.
Urban air mobility solutions such as drone taxi services are increasingly viewed as a promising response to congestion, sustainability, and smart-city mobility challenges. However, the large-scale adoption of such services depends on users’ perceptions of service experience, trust, and readiness to engage with emerging technologies. This study investigates the determinants of sustainable adoption of drone taxi services in the United Arab Emirates (UAE) by examining technology readiness and service experience factors, interpreted through conceptual alignment with the Technology Acceptance Model (TAM) and the Unified Theory of Acceptance and Use of Technology (UTAUT). A structured questionnaire was administered to potential users, capturing perceptions related to optimism, innovation readiness, efficiency, control, privacy, insecurity, discomfort, inefficiency, and perceived operational risk, along with behavioral intention to adopt drone taxi services. Measurement reliability and validity were rigorously assessed using Cronbach’s alpha, composite reliability, average variance extracted (AVE), and the heterotrait–monotrait (HTMT) criterion. The validated latent construct scores were subsequently used to estimate a structural regression model examining the relative influence of each factor on adoption intention. The results indicate that privacy assurance and perceived control exert the strongest influence on behavioral intention, followed by optimism and innovation readiness, while negative readiness factors such as discomfort, insecurity, inefficiency, and perceived chaos demonstrate negligible effects. These findings suggest that in technologically progressive contexts such as the UAE, adoption intentions are primarily shaped by trust-building and empowerment-oriented perceptions rather than deterrence-based concerns. By positioning technology readiness and service experience constructs within established TAM and UTAUT theoretical perspectives, this study contributes a context-sensitive understanding of adoption drivers for emerging urban air mobility services. The findings offer practical insights for policy makers and service providers seeking to design user-centric, trustworthy, and sustainable drone taxi systems. Full article
(This article belongs to the Special Issue Service Experience and Servicescape in Sustainable Consumption)
Show Figures

Figure 1

27 pages, 2933 KB  
Article
A Fractal-Enhanced Mohr–Coulomb (FEMC)Model for Strength Prediction in Rough Rock Discontinuities
by Dina Kon, Sage Ngoie, Jisen Shu, Yadah Mbuyu and Dave Mbako
Fractal Fract. 2026, 10(1), 61; https://doi.org/10.3390/fractalfract10010061 - 15 Jan 2026
Viewed by 134
Abstract
Accurate prediction of the shear strength of rock discontinuities requires accounting for surface roughness, which is a factor neglected in the classical Mohr–Coulomb criterion. This study proposes a fractal-enhanced Mohr–Coulomb model that incorporates the surface fractal dimension Ds as a geometric state variable [...] Read more.
Accurate prediction of the shear strength of rock discontinuities requires accounting for surface roughness, which is a factor neglected in the classical Mohr–Coulomb criterion. This study proposes a fractal-enhanced Mohr–Coulomb model that incorporates the surface fractal dimension Ds as a geometric state variable governing both the cohesion and internal friction angle. The fractal dimension is treated as an objective, scale-invariant descriptor, computable via established methods, such as box-counting and power spectral density analysis, which are known to yield consistent results when applied to joint topography. The model predicts a nonlinear increase in shear strength with Ds, producing a dynamically adjustable failure envelope that can exceed the classical Mohr–Coulomb estimates by 25–40% for rough joints, which is consistent with trends observed in experimental shear tests. By linking strength parameters directly to measurable surface geometry, the framework provides a physically interpretable bridge between micro-scale roughness and macro-scale mechanical response. Although the current formulation assumes monotonic, dry, and quasi-static conditions, the explicit dependence on Ds offers a foundation for future extensions that incorporate anisotropy, damage evolution, and hydro-mechanical coupling. Full article
(This article belongs to the Special Issue Applications of Fractal Dimensions in Rock Mechanics and Geomechanics)
12 pages, 3547 KB  
Proceeding Paper
A Study on Fuzzy PID Controllers with a Parallel Structure for Electro-Hydraulic Servo System Control
by Georgi Mihalev, Stanimir Yordanov, Krasimir Ormandzhiev, Stefan Ivanov and Hristina Stoycheva
Eng. Proc. 2026, 122(1), 2; https://doi.org/10.3390/engproc2026122002 - 14 Jan 2026
Viewed by 129
Abstract
This paper presents the design of a fuzzy PID controller with a parallel structure for controlling an electro-hydraulic servo system. The main factors affecting control performance in electro-hydraulic systems are discussed in detail. The proposed fuzzy controller features a specific structure obtained through [...] Read more.
This paper presents the design of a fuzzy PID controller with a parallel structure for controlling an electro-hydraulic servo system. The main factors affecting control performance in electro-hydraulic systems are discussed in detail. The proposed fuzzy controller features a specific structure obtained through a coefficient transfer approach from a classical PID controller, enabling seamless integration of the fuzzy logic component and simplifying the tuning process. Relevant mathematical equations and dependencies are provided. The closed-loop system’s stability is analyzed using the BIBO (Bounded Input, Bounded Output) criterion. The designed controller is implemented in the MATLAB/Simulink 2019 environment and tested using a real-time measurement and control system. Graphical results are presented, illustrating the performance of the closed-loop system under step and sinusoidal reference signals. The obtained results confirm the qualities and proper tuning of the implemented controller. Full article
Show Figures

Figure 1

25 pages, 991 KB  
Article
Sustainable Development Performances Assessment in Upper-Middle Income Developing Countries: A Novel Hybrid Evaluation System in Fuzzy and Non-Fuzzy Environments
by Nazli Tekman Ordu and Muhammed Ordu
Systems 2026, 14(1), 88; https://doi.org/10.3390/systems14010088 - 13 Jan 2026
Viewed by 112
Abstract
Advancing the Sustainable Development Goals (SDGs)—framed around social, environmental, and governance dimensions—offers societies across the world the possibility of achieving long-term prosperity and ensuring that future generations enjoy a high quality of life. Governments pursue the 17 SDGs in accordance with their own [...] Read more.
Advancing the Sustainable Development Goals (SDGs)—framed around social, environmental, and governance dimensions—offers societies across the world the possibility of achieving long-term prosperity and ensuring that future generations enjoy a high quality of life. Governments pursue the 17 SDGs in accordance with their own socioeconomic and cultural contexts, institutional capacities, and available resources. Because countries differ substantially in structure and capability, their progress toward these goals varies, making the systematic measurement and analysis of SDG performance essential for appropriate timing and efficient resource allocation. This study proposes a hybrid assessment system to evaluate the sustainable development performance of upper-middle-income developing countries under both fuzzy and non-fuzzy environments. This integrated evaluation system consists of four main stages. In the first stage, evaluation criteria and alternative countries are specified, relevant data are obtained, and an initial decision matrix is developed. In the second stage, an efficiency analysis is conducted to identify countries that are efficient and those that are not. In the third stage, evaluation criteria are weighted using AHP and Fuzzy AHP methods. In the final stage, the TOPSIS and Fuzzy TOPSIS methods are used to rank efficient countries depending on sustainable development performance criteria. As a result, six countries were identified as inefficient countries based on sustainable development: China, Kazakhstan, Mongolia, Paraguay, Namibia and Turkmenistan. The AHP and Fuzzy AHP methods produced similar criterion weight values compared to each other. The criteria were prioritized from most important to least one as follows: Life expectancy, expected years of schooling, mean years of schooling, gross national income per capita, CO2 emissions per capita, and material footprint per capita. While some countries achieved similar rankings using the TOPSIS and Fuzzy TOPSIS methods, most countries achieved different rankings because of the multidimensional nature of sustainable development. When the rankings obtained from the fuzzy and non-fuzzy approaches were compared, a noticeable level of overlap was observed, with a Spearman’s rank correlation coefficient of 68.73%. However, the fuzzy TOPSIS method is considered more reliable for assessing sustainable development performance due to its ability to handle data uncertainty, imprecision, and the multidimensional nature of SDG indicators. The results of this study demonstrate that analyses related to sustainable development, which may not contain precise and clear values and have a complex structure encompassing many areas such as social, environmental, and governance, should preferably be conducted within a fuzzy logic framework to ensure more robust and credible evaluations. Full article
(This article belongs to the Section Systems Practice in Social Science)
Show Figures

Figure 1

20 pages, 1129 KB  
Article
Fractional Viscoelastic Modeling of Multi-Step Creep and Relaxation in an Aerospace Epoxy Adhesive
by Jesús Gabino Puente-Córdova, Flor Yanhira Rentería-Baltiérrez, José de Jesús Villalobos-Luna and Pedro López-Cruz
Symmetry 2026, 18(1), 130; https://doi.org/10.3390/sym18010130 - 9 Jan 2026
Viewed by 179
Abstract
Structural adhesives in aeronautical applications are routinely exposed to complex loading histories that generate time-dependent deformation, making accurate prediction of their viscoelastic response essential for reliable assessment of joint integrity. This work presents an integrated experimental and modeling study of the aerospace-grade epoxy [...] Read more.
Structural adhesives in aeronautical applications are routinely exposed to complex loading histories that generate time-dependent deformation, making accurate prediction of their viscoelastic response essential for reliable assessment of joint integrity. This work presents an integrated experimental and modeling study of the aerospace-grade epoxy adhesive 3M Scotch-Weld EC-2216 using multi-step creep and stress-relaxation tests performed at room temperature and controlled loading rates, combined with fractional viscoelastic modeling. Unlike traditional single-step characterizations, the multi-step protocol employed here captures the cumulative loading effects and fading-memory dynamics that govern the adhesive’s mechanical response. The experimental data were analyzed using fractional Maxwell, Voigt–Kelvin, and Zener formulations. Statistical evaluation based on the Bayesian Information Criterion (BIC) consistently identified the Fractional Zener Model (FZM) as the most robust representation of the stress-relaxation behavior, effectively capturing both the unrelaxed and relaxed modulus. The results demonstrate that EC-2216 exhibits hierarchical relaxation mechanisms and history-dependent viscoelasticity that cannot be accurately described by classical integer-order models. Overall, the study validates the use of fractional operators to represent the broad and hierarchical relaxation spectra typical of toughened aerospace epoxies and provides a rigorous framework for durability assessment and predictive modeling of adhesively bonded structures. Full article
Show Figures

Figure 1

21 pages, 1520 KB  
Article
Chaos in a Generalized Perturbed Lotka–Volterra Model
by Nikolay Kyurkchiev, Tsvetelin Zaevski, Anton Iliev, Vesselin Kyurkchiev, Angel Golev and Asen Rahnev
Mathematics 2026, 14(2), 247; https://doi.org/10.3390/math14020247 - 9 Jan 2026
Viewed by 263
Abstract
In this paper we investigate the chaos of a generalized perturbed Lotka–Volterra model based on considerations by other studies used in the literature. The model, containing N number of free parameters, could be of interest to specialists working in the fields of biological [...] Read more.
In this paper we investigate the chaos of a generalized perturbed Lotka–Volterra model based on considerations by other studies used in the literature. The model, containing N number of free parameters, could be of interest to specialists working in the fields of biological applications, chemistry, reaction kinetics, biostatistics, games theory, etc. With a specially developed software product, we generate the Melnikov equation M(t)=0 and examine all its zeros. This opens up an opportunity for the researcher to correctly understand and formulate the classical Melnikov criterion for the possible occurrence of chaos in the dynamical system. Several simulations are composed. We also demonstrate some specialized modules for investigating the dynamics of the proposed model. We further develop our model using the exponential form of the sine function. Thus, the perturbation can be interpreted as a term dependent on the characteristic function of a probability distribution. Although the original formulation leads to a distribution stated on a discrete domain, we can easily generalize the results for arbitrary distributions. Some particular examples are provided. Full article
Show Figures

Figure 1

48 pages, 787 KB  
Review
A Survey on Traditional DNS and Blockchain-Based DNS: Comparative Analysis, Challenges, and Future Directions
by Juseong Jeon and Sejin Park
Appl. Sci. 2026, 16(2), 598; https://doi.org/10.3390/app16020598 - 7 Jan 2026
Viewed by 226
Abstract
Although DNS has been continuously extended to improve usability and security, its centralized, server-based architecture leaves fundamental limitations unresolved, including single points of failure (SPOF), susceptibility to censorship, and exposure to DDoS. This study examines blockchain-based DNS (BDNS) as an alternative proposed to [...] Read more.
Although DNS has been continuously extended to improve usability and security, its centralized, server-based architecture leaves fundamental limitations unresolved, including single points of failure (SPOF), susceptibility to censorship, and exposure to DDoS. This study examines blockchain-based DNS (BDNS) as an alternative proposed to mitigate these structural issues. We first synthesize prior research and systems on BDNS, and then conduct a comparative analysis using practical deployability as the primary criterion. Specifically, we selected seven representative BDNS projects, including Namecoin, Handshake, and Ethereum Name Service (ENS), and evaluated them under a common set of criteria: (i) the record model, finality, and TTL semantics; (ii) friction along real resolution paths involving resolvers, browsers, and gateways; and (iii) interoperability with the legacy DNS, including DNSSEC and DNS over TLS(DoT)/DNS over HTTPS(DoH), together with migration scenarios. The analysis indicates that many systems rely on gateways and client-side extensions, limiting native resolution paths. It further finds that finality latency, dependence on off-chain indexing and availability, and the interplay of key management and tokenomics design increase operational complexity and raise barriers to adoption. Building on these findings, the paper derives operational requirements and proposes a coexistence-first, five-layer migration framework that incrementally integrates BDNS while retaining the legacy DNS. This provides an incremental path toward a more resilient, inclusive, and secure global naming infrastructure. Full article
Show Figures

Figure 1

22 pages, 5584 KB  
Article
Design and Evaluation of Machine Learning-Based Investment Strategies in Equity Funds
by Danillo Guimarães Cassiano da Silva, Estaner Claro Romão and Fabiano Fernandes Bargos
Int. J. Financial Stud. 2026, 14(1), 16; https://doi.org/10.3390/ijfs14010016 - 7 Jan 2026
Viewed by 290
Abstract
This study examines quantitative investment strategies for Brazilian equity funds, integrating traditional financial performance indicators with machine learning techniques to enhance fund selection. The main objective was to construct and validate predictive models for fund selection. The methodology involved collecting daily data from [...] Read more.
This study examines quantitative investment strategies for Brazilian equity funds, integrating traditional financial performance indicators with machine learning techniques to enhance fund selection. The main objective was to construct and validate predictive models for fund selection. The methodology involved collecting daily data from 2019 to 2025, computing a range of return and risk measures, and trained models to classify 1- and 3-month shifted windows. The 3-month models achieved the strongest predictive accuracy, exceeding 91%, with the Sharpe Ratio emerging as the most influential feature. A 12-month backtest (October/2024–September/2025) showed that ML-constructed portfolios delivered cumulative returns between 14.65% and 91.86%, depending on the selection criterion, substantially outperforming Brazil’s CDI risk-free benchmark (12.70%) and the Ibovespa (11.46%). These findings highlight the practical potential of ML-based fund selection, though successful implementation requires careful risk management and ongoing model validation. Full article
Show Figures

Figure 1

28 pages, 3171 KB  
Article
The Implementation of Automated Guided Vehicles to Logistics Processes in a Production Company—Case Study
by Iveta Kubasáková, Jaroslava Kubáňová and Dominik Benčo
Sustainability 2026, 18(1), 538; https://doi.org/10.3390/su18010538 - 5 Jan 2026
Viewed by 204
Abstract
The automation of logistics processes in companies is an essential part of the modernization and advancement of companies around the world. This article deals with the issue of deploying a selected type of automated guided vehicle (AGV) in very specific conditions. AGV is [...] Read more.
The automation of logistics processes in companies is an essential part of the modernization and advancement of companies around the world. This article deals with the issue of deploying a selected type of automated guided vehicle (AGV) in very specific conditions. AGV is suitable for optimizing the circular supply chain in specific conditions of a manufacturing company. The deployment of AGVs is governed by the production needs of the section in question. The selection criterion was therefore the quantity of products that needed to be transported on the selected route. The article uses a new calculation of AGV requirements based on the saturation of individual components from the picking location to the assembly line. The ratio indicator was considered: driving time per shift, depending on the length of working time. Based on this calculation, the most effective option was applied from the individual solutions. Based on our calculation, we arrived at a requirement for three AGVs, plus a reserve, i.e., four. Our selected calculations were applied to the FRONT and TOP positions, where a decision was made between the option of using under-run AGVs or a truck. The decision was made based on the saturation level, and the result is described at the end of the discussion. The AGV is one of the tools for sustainable supply chain management in a company. However, it is important to evaluate the total cost of ownership, including lower labour costs, less risk of damage to goods, higher productivity, and long service life of the trucks. Thanks to these factors, AGVs often prove to be economically advantageous. Full article
(This article belongs to the Special Issue Sustainable Operations, Logistics and Supply Chain Management)
Show Figures

Figure 1

31 pages, 707 KB  
Article
An Empirical Framework for Evaluating and Selecting Cryptocurrency Funds Using DEMATEL-ANP-VIKOR
by Mostafa Shabani, Sina Tavakoli, Hossein Ghanbari, Ronald Ravinesh Kumar and Peter Josef Stauvermann
J. Risk Financial Manag. 2026, 19(1), 29; https://doi.org/10.3390/jrfm19010029 - 2 Jan 2026
Viewed by 556
Abstract
The acceleration of financial innovation and pro-crypto regulations in the digital asset space have spurred interest in cryptocurrencies among funds, and institutional and retail investors. Like any risky assets, investment in digital assets offers opportunities in terms of returns and challenges in terms [...] Read more.
The acceleration of financial innovation and pro-crypto regulations in the digital asset space have spurred interest in cryptocurrencies among funds, and institutional and retail investors. Like any risky assets, investment in digital assets offers opportunities in terms of returns and challenges in terms of risk. However, unlike traditional assets, digital assets like cryptocurrencies are highly volatile. Accordingly, applying conventional single-criterion financial metrics for portfolio construction may not be sufficient as the method falls short in capturing the complex, multidimensional risk-return dynamics of innovative financial assets like cryptocurrencies. To address this gap, this study introduces a novel, integrated hybrid Multi-Criteria Decision-Making (MCDM) framework that provides a structured, transparent, and robust approach to cryptocurrency fund selection. The framework seamlessly integrates three well-established operations research methodologies: the Decision-Making Trial and Evaluation Laboratory (DEMATEL), the Analytic Network Process (ANP), and the Vlse Kriterijumsk Optimizacija I Kompromisno Resenje (VIKOR) algorithm. DEMATEL is utilized to map and analyze the intricate causal interdependencies among a comprehensive set of evaluation criteria, categorizing them into foundational “cause” factors and resultant “effect” factors. This causal structure informs the ANP model, which computes precise criterion weights while accounting for complex feedback and dependency relationships. Subsequently, the VIKOR algorithm is invoked to use these weights to rank cryptocurrency fund alternatives, delivering a compromise between optimizing group utility and minimizing individual regret. To illustrate the application and efficacy of the proposed method, a diverse set of 20 cryptocurrency funds is analyzed. From the analysis, it is shown that foundational criteria, such as “Fee (%)” and “Annualized Standard Deviation,” are the primary causal drivers of financial performance outcomes of funds. This proposed framework supports strategic capital allocation in a rapidly evolving domains of digital finance. Full article
(This article belongs to the Section Financial Technology and Innovation)
Show Figures

Figure 1

20 pages, 4698 KB  
Article
Numerical Analysis of Curvilinear Fatigue Crack Growth and Plastic Zone Evolution in Haynes 230 Superalloy Under Variable Stress Ratios
by Yahya Ali Fageehi and Abdulnaser M. Alshoaibi
Crystals 2026, 16(1), 39; https://doi.org/10.3390/cryst16010039 - 1 Jan 2026
Viewed by 307
Abstract
This paper presents a high-fidelity numerical simulation of curvilinear fatigue crack growth (FCG) through a modified Compact Tension (CT) specimen made of Haynes 230 nickel-based superalloy. The specimen’s design, featuring three extra holes, was intentionally chosen to induce mixed-mode loading and complex, non-linear [...] Read more.
This paper presents a high-fidelity numerical simulation of curvilinear fatigue crack growth (FCG) through a modified Compact Tension (CT) specimen made of Haynes 230 nickel-based superalloy. The specimen’s design, featuring three extra holes, was intentionally chosen to induce mixed-mode loading and complex, non-linear crack paths. Crucially, this configuration allows for a thorough examination of how the specimen’s geometry, restraints, or minor manufacturing discrepancies affect the localized stress state. Experimental data corresponding to three different initial crack patterns were utilized to validate the numerical model implemented within the ANSYS simulation environment. The comparison demonstrated that the present simulated crack trajectory was significantly closer to the experimental results than those obtained from earlier numerical simulations using ZFEM-TERF and FRANC3D. Furthermore, the current study critically examined the validity of Linear Elastic Fracture Mechanics (LEFM) by analyzing the evolution of the Cyclic Plastic Zone (CPZ) size for two distinct stress ratio values: R = 0.5 and R = −1. The findings confirm the full satisfaction of the Small-Scale Yielding (SSY) criterion throughout the crack growth history for the positive stress ratio (R = 0.5). Conversely, the negative stress ratio (R = −1) caused a significant violation of the SSY assumption in the later stages of propagation. This highlights how the applicability of LEFM is largely dependent on the loading regime and underscores the necessity of employing Elastic–Plastic Fracture Mechanics (EPFM) for fully reversed cycles. This research establishes a well-founded and valuable protocol for predicting Fatigue Crack Growth (FCG) in complex superalloy components. Full article
(This article belongs to the Special Issue Fatigue and Fracture of Crystalline Metal Structures)
Show Figures

Figure 1

26 pages, 954 KB  
Article
Evaluating Early Precursors of Academic Skills: Preliminary Validation of a Touchscreen-Based Digital Assessment in Preschoolers
by Davide Apicerni, Paolo Stievano, James Dawe, Sergio Melogno and Lina Pezzuti
J. Intell. 2026, 14(1), 4; https://doi.org/10.3390/jintelligence14010004 - 1 Jan 2026
Viewed by 478
Abstract
Early identification of cognitive precursors to literacy and numeracy is essential for promoting school readiness and preventing later learning difficulties. Digital assessment tools using touchscreen technology offer advantages of engagement, standardization, and efficiency. This study reports preliminary findings on the Digital Assessment for [...] Read more.
Early identification of cognitive precursors to literacy and numeracy is essential for promoting school readiness and preventing later learning difficulties. Digital assessment tools using touchscreen technology offer advantages of engagement, standardization, and efficiency. This study reports preliminary findings on the Digital Assessment for Preschoolers—Tool (DAP-T), a touchscreen-based battery for preschool children. A sample of 105 children (M = 61.43 months, SD = 10.38; age range = 38–72) completed eight tasks assessing visuomotor integration, literacy (letter knowledge, phonological awareness, notational awareness, Rapid Automatized Naming), and numeracy (non-symbolic quantity comparison, quantity recognition, counting, cardinality). A subsample (n = 47–61, depending on the measure) also completed the paper-based criterion tasks used for concurrent validity analyses. Item difficulty and discrimination, internal consistency (McDonald’s ω), concurrent validity, and factorial structure (SEM) were assessed. Results showed medium-to-low difficulty, age-related performance increases, and good discrimination in most tasks. Reliability was high (ω = 0.713–0.966), and correlations with criterion measures ranged from ρ = 0.52 to 0.95. The DAP-T showed promising psychometric properties as a rapid, standardized tool to detect early difficulties and guide targeted interventions. Full article
18 pages, 1940 KB  
Article
Assessing the Pace of Decarbonization in EU Countries Using Multi-Criteria Decision Analysis
by Eugeniusz Jacek Sobczyk, Wiktoria Sobczyk, Tadeusz Olkuski and Maciej Ciepiela
Energies 2026, 19(1), 243; https://doi.org/10.3390/en19010243 - 1 Jan 2026
Viewed by 352
Abstract
Greenhouse gas emissions from the energy sector are the main driver of global warming, which has led to an increase in the average surface temperature of the Earth by more than 1 °C above pre-industrial levels. Responding to the urgent need for energy [...] Read more.
Greenhouse gas emissions from the energy sector are the main driver of global warming, which has led to an increase in the average surface temperature of the Earth by more than 1 °C above pre-industrial levels. Responding to the urgent need for energy transition, the countries of the European Union have set themselves the goal of achieving climate neutrality by 2050. The main objective of this article is to comprehensively assess the progress of decarbonization in the 27 European Union countries between 2004 and 2024, using an advanced multi-criteria model. The study used the quantitative Analytical Hierarchy Process (AHP) method to construct a multidimensional decision-making model. Eight energy technologies were evaluated through the prism of 13 criteria grouped into three pillars of sustainable development: economic (including technical), environmental, and social. Based on the weights of each criterion, estimated by a group of experts, a synthetic decarbonization index (DI) was calculated for each technology. In the next stage, a cumulative decarbonization index (CDI) was formulated for each country, reflecting the structure of its energy mix. The analysis revealed a fundamental divergence between conventional and zero-emission technologies. Renewable sources and nuclear energy have the highest positive impact on decarbonization (highest DI): hydropower (27.5), nuclear (20.7), wind (20.3). The lowest, unfavorable values of the index are characteristic of fossil fuels: oil (3.6), coal (3.9), and gas (4.8). The average cumulative decarbonization index (CDI) for the EU-27 rose from 14.0 in 2004 to 26.4 in 2024, demonstrating the effectiveness of the EU’s common policy. The leaders of the transition are countries with diversified, green mixes, such as Luxembourg (CDI = 40.4), Lithuania (CDI = 39.6), Portugal (38.5), Austria (36.9), and Spain (33.6). Despite starting from the lowest level in 2004 (CDI = 5.2), Poland recorded one of the most dynamic increases in 2024 (CDI = 17.7), mainly due to a reduction in the share of coal from 93% to 53.5%. The analysis confirms the effectiveness of the EU’s common climate and energy policy and demonstrates the usefulness of the methodology presented for a comprehensive assessment of the decarbonization process. The results indicate the need to further increase the share of zero-emission energy sources in the energy mix in order to achieve the objectives of the European Green Deal. The varying pace of transformation among Member States requires an individualized approach and support for countries with a historical dependence on fossil fuels. Full article
(This article belongs to the Collection Energy Transition Towards Carbon Neutrality)
Show Figures

Figure 1

20 pages, 557 KB  
Article
Toward a Multidimensional Definition of Art from the Perspective of Cognitive Sciences
by László Koppány Csáji
Int. J. Cogn. Sci. 2026, 2(1), 1; https://doi.org/10.3390/ijcs2010001 - 31 Dec 2025
Viewed by 368
Abstract
Numerous attempts to define art have been made from antiquity to the present, yet historical overviews often adopt a Eurocentric (and American-centric) perspective focused mainly on culturally dependent aesthetic approaches. As a universal social and cultural phenomenon, art resists center-periphery models. The cognitive [...] Read more.
Numerous attempts to define art have been made from antiquity to the present, yet historical overviews often adopt a Eurocentric (and American-centric) perspective focused mainly on culturally dependent aesthetic approaches. As a universal social and cultural phenomenon, art resists center-periphery models. The cognitive turn reshaped art theory by reconsidering art as a cognitive dimension of humanity. Art has no limits on who can create or enjoy it. The ability to use and understand metaphor, for instance, demonstrates everyday human artistic cognition. The analysis relies on both field research (case studies) and academic literature; it argues for a revised theoretical frame for defining art and organizes it into a dynamic model of three main vectors: (1) art as communication (including art as agency); (2) art as creation; and (3) art as experience (involving both audience and artist). The model can incorporate the study of emotions into the third criterion while remaining open to both materialist and non-materialist approaches. Rather than offering a new definition, the study integrates the perspective of cognitive anthropology, cognitive semantics, and the anthropology of art in order to broaden understanding. Instead of searching for special aesthetic or economic values, these three dimensions of art appear more universal. A pragmatic analysis of how art “works” in individuals and groups provides a useful model for cognitive sciences. Instead of binary codes, it is a vectorial model, a 3D space for expressing family resemblance, since there is no common denominator (prototype) for all kinds of art. Full article
Show Figures

Figure 1

Back to TopTop