Short-Term Effects of Broccoli-Derived Glucoraphanin on Recovery from Eccentric Muscle Damage: A Double-Blind Randomized Crossover Study
Abstract
1. Introduction
2. Materials and Methods
2.1. Subjects
2.2. Study Design
2.3. Muscle-Damaging Exercise
2.4. Strength Assessment
2.5. Range of Motion and Arm Girths
2.6. Musculoskeletal Ultrasound
2.7. Muscle Soreness
2.8. Plasma CK Activity
2.9. Statistical Analysis
3. Results
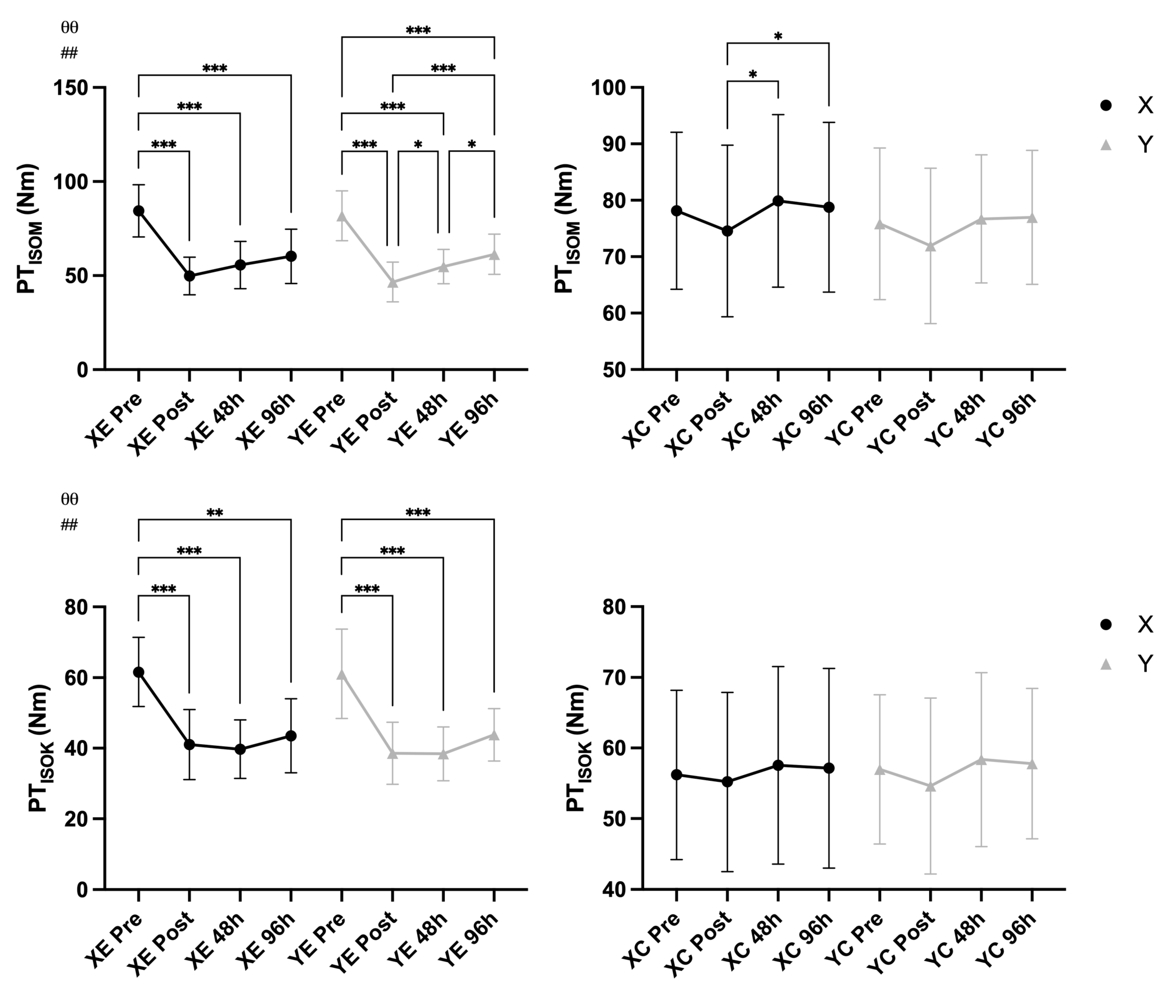
3.1. Maximal Voluntary Torque
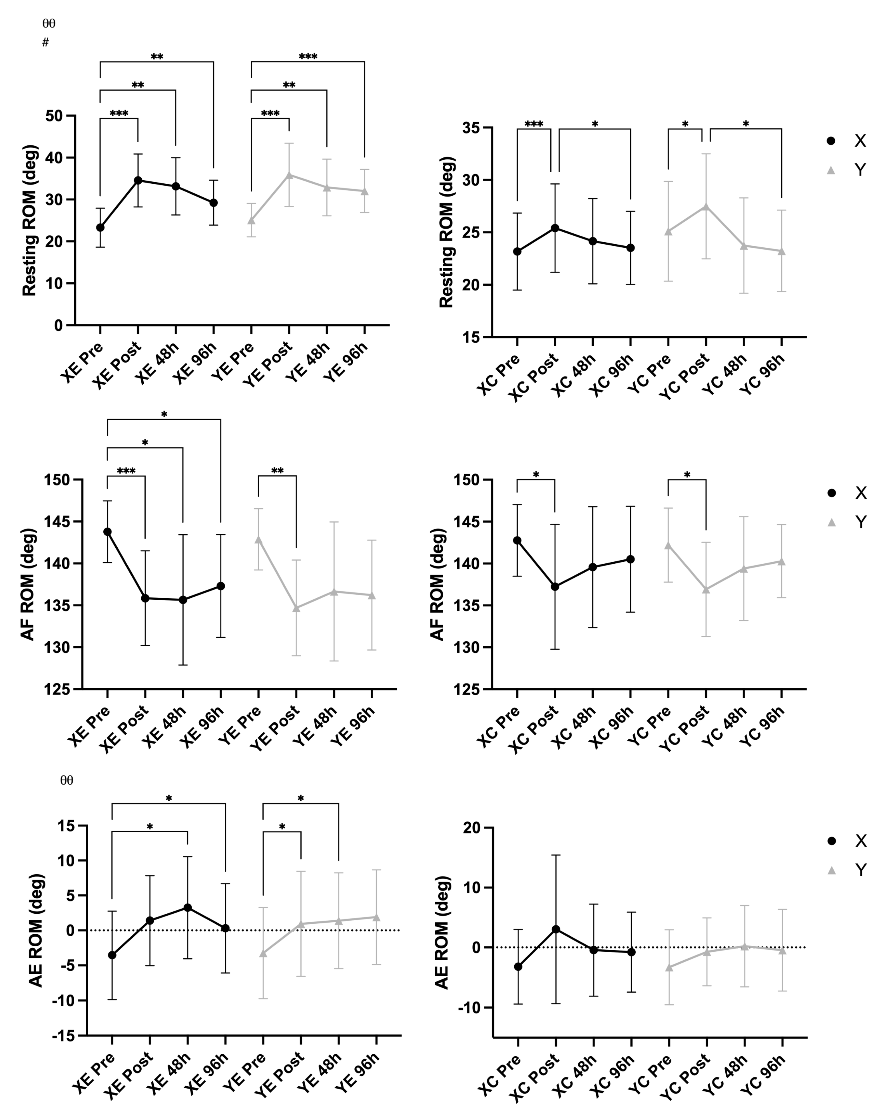
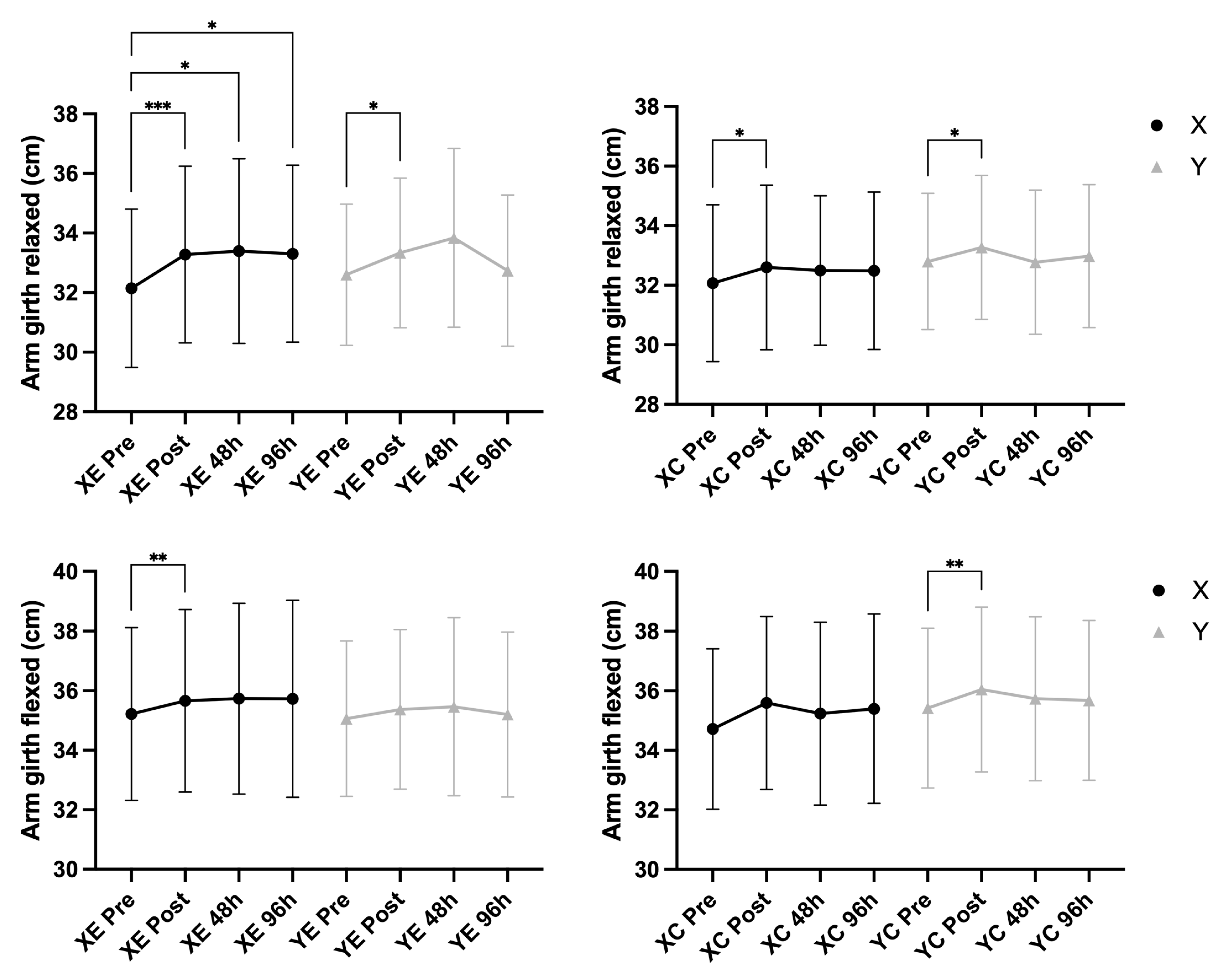
3.2. Arm Swelling and Range of Motion
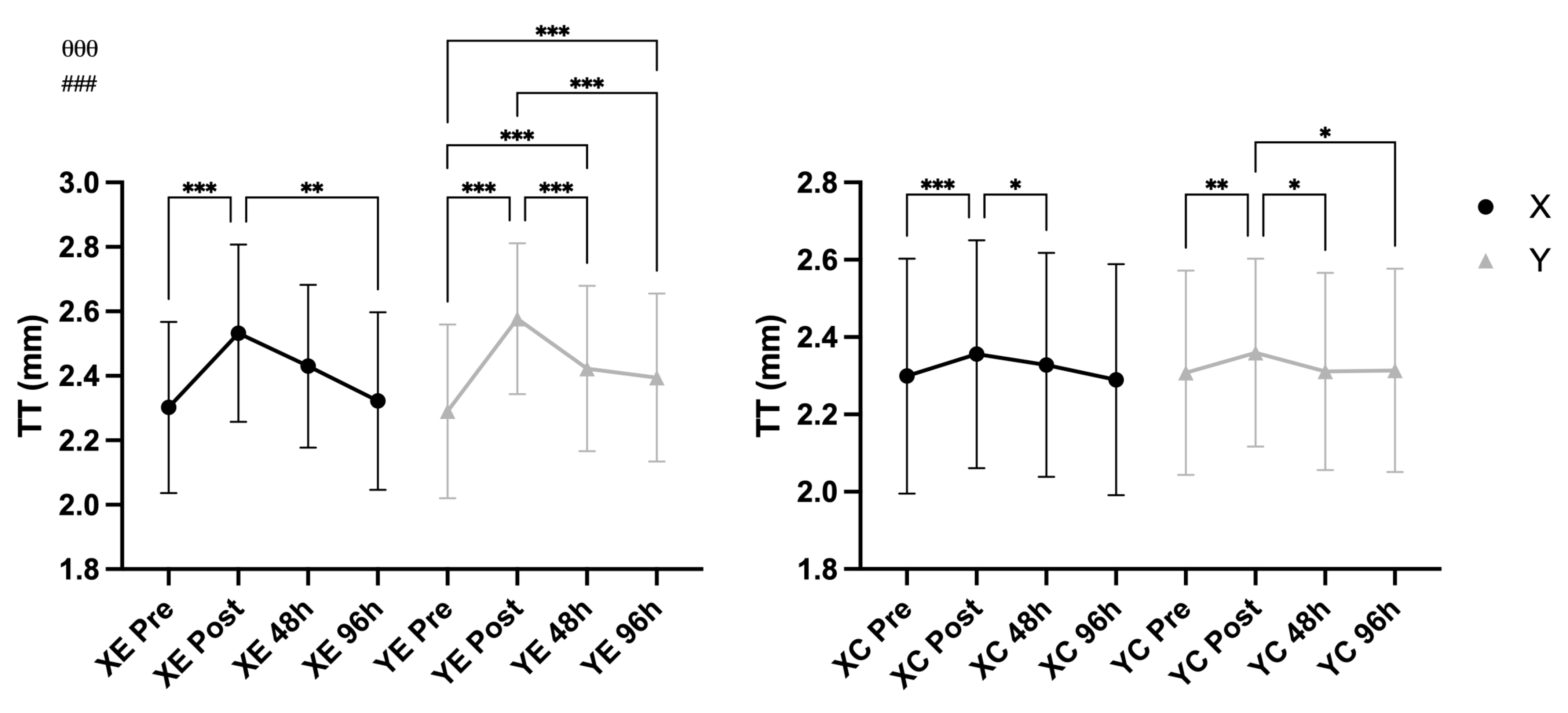
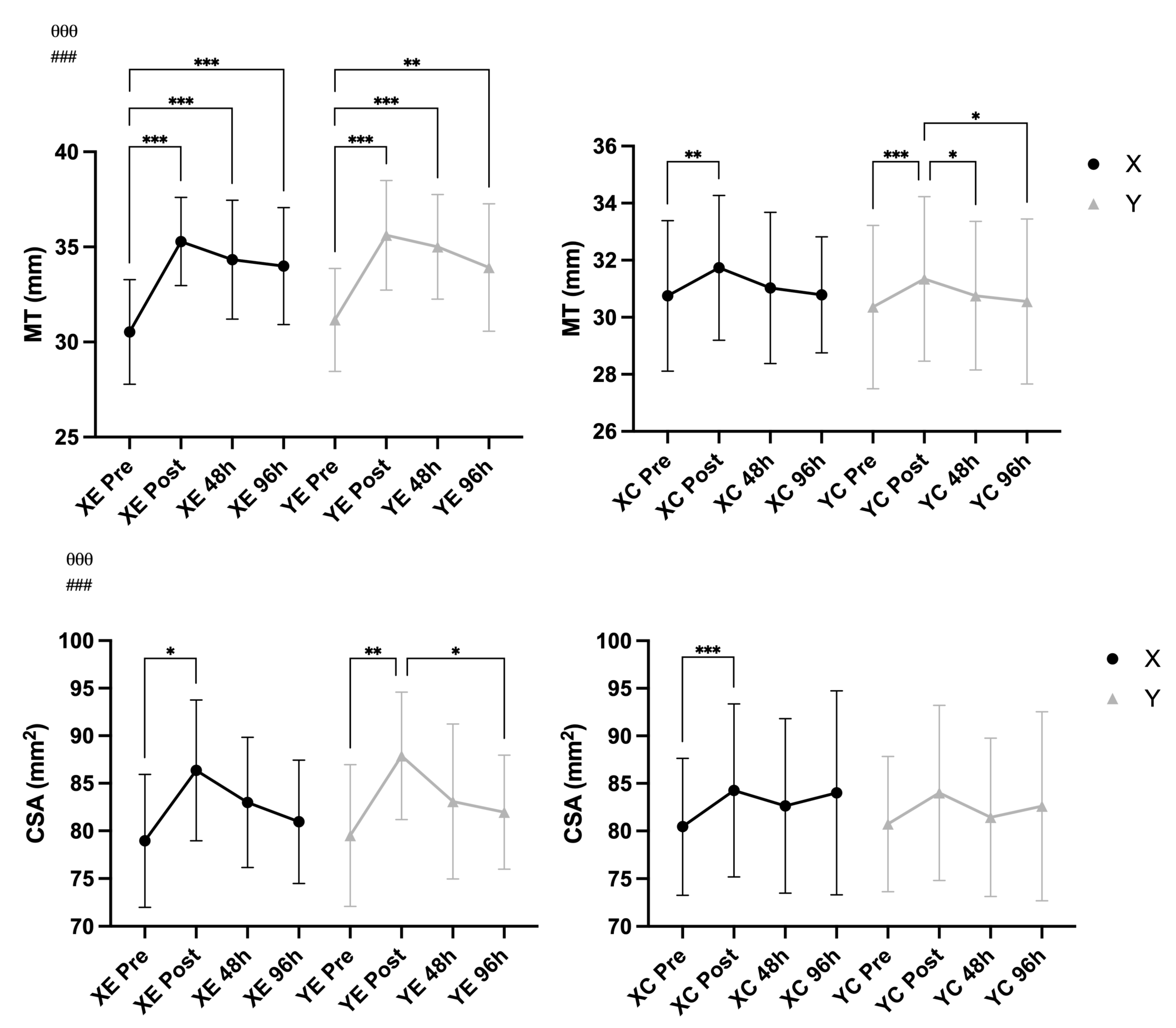
3.3. Muscle and Tendon Swelling
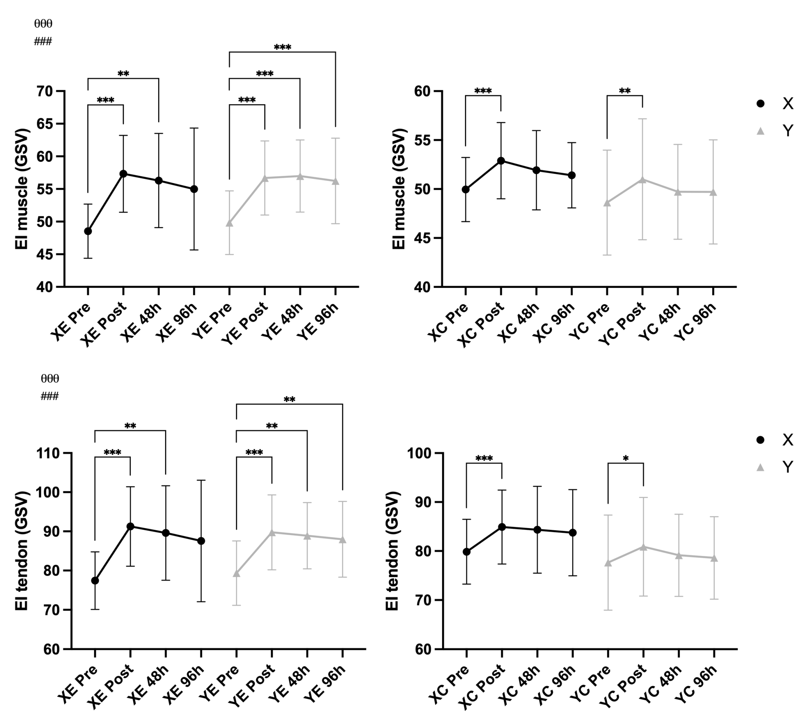
3.4. Echo Intensity
3.5. CK and Muscle Soreness
4. Discussion
Limitations and Perspectives
5. Conclusions
Author Contributions
Funding
Institutional Review Board Statement
Informed Consent Statement
Data Availability Statement
Acknowledgments
Conflicts of Interest
Abbreviations
| Abbreviation | Definition |
| AF | Arm flexion |
| AE | Arm extension |
| ANOVA | Analysis of variance |
| B-mode | Brightness mode (ultrasound imaging) |
| CC BY | Creative Commons Attribution |
| CK | Creatine kinase |
| CSA | Cross-sectional area |
| CV | Coefficient of variation |
| DOMS | Delayed onset muscle soreness |
| E | Exercised arm |
| EI | Echo intensity |
| EIMD | Exercise-induced muscle damage |
| ICC | Intraclass correlation coefficient |
| MT | Muscle thickness |
| NIH | National Institutes of Health |
| NQO1 | NAD(P)H quinone oxidoreductase 1 |
| Nrf2 | Nuclear factor erythroid 2–related factor 2 |
| PTISOK | Peak isokinetic torque |
| PTISOM | Peak isometric torque |
| ROM | Range of motion |
| SD | Standard deviation |
| TT | Tendon thickness |
| Y | Placebo condition |
| X | Supplement condition |
| η2 | Partial eta squared |
References
- Tomalka, A. Eccentric Muscle Contractions: From Single Muscle Fibre to Whole Muscle Mechanics. Pflugers Arch. Eur. J. Physiol. 2023, 475, 421–435. [Google Scholar] [CrossRef]
- Hody, S.; Croisier, J.-L.; Bury, T.; Rogister, B.; Leprince, P. Eccentric Muscle Contractions: Risks and Benefits. Front. Physiol. 2019, 10, 536. [Google Scholar] [CrossRef]
- Proske, U.; Morgan, D.L. Muscle Damage from Eccentric Exercise: Mechanism, Mechanical Signs, Adaptation and Clinical Applications. J. Physiol. 2001, 537, 333–345. [Google Scholar] [CrossRef] [PubMed]
- Howatson, G.; van Someren, K.A. The Prevention and Treatment of Exercise-Induced Muscle Damage. Sports Med. 2008, 38, 483–503. [Google Scholar] [CrossRef]
- Lima, L.C.R.; Denadai, B.S. Attenuation of Eccentric Exercise-Induced Muscle Damage Conferred by Maximal Isometric Contractions: A Mini Review. Front. Physiol. 2015, 6, 300. [Google Scholar] [CrossRef]
- Cheung, K.; Hume, P.; Maxwell, L. Delayed Onset Muscle Soreness: Treatment Strategies and Performance Factors. Sports Med. 2003, 33, 145–164. [Google Scholar] [CrossRef]
- Skurvydas, A.; Brazaitis, M.; Kamandulis, S.; Sipaviciene, S. Peripheral and Central Fatigue after Muscle-Damaging Exercise Is Muscle Length Dependent and Inversely Related. J. Electromyogr. Kinesiol. 2010, 20, 655–660. [Google Scholar] [CrossRef] [PubMed]
- Zhang, X.; Zhong, Y.; Rajabi, S. Polyphenols and Post-Exercise Muscle Damage: A Comprehensive Review of Literature. Eur. J. Med. Res. 2025, 30, 260. [Google Scholar] [CrossRef] [PubMed]
- Tanabe, Y.; Fujii, N.; Suzuki, K. Dietary Supplementation for Attenuating Exercise-Induced Muscle Damage and Delayed-Onset Muscle Soreness in Humans. Nutrients 2021, 14, 70. [Google Scholar] [CrossRef]
- Cuffaro, D.; Digiacomo, M.; Macchia, M. Dietary Bioactive Compounds: Implications for Oxidative Stress and Inflammation. Nutrients 2023, 15, 4966. [Google Scholar] [CrossRef]
- Andrés, C.M.C.; Pérez de la Lastra, J.M.; Munguira, E.B.; Juan, C.A.; Pérez-Lebeña, E. The Multifaceted Health Benefits of Broccoli—A Review of Glucosinolates, Phenolics and Antimicrobial Peptides. Molecules 2025, 30, 2262. [Google Scholar] [CrossRef] [PubMed]
- Dmytriv, T.R.; Lushchak, O.; Lushchak, V.I. Glucoraphanin Conversion into Sulforaphane and Related Compounds by Gut Microbiota. Front. Physiol. 2025, 16, 1497566. [Google Scholar] [CrossRef]
- Houghton, C.A.; Fassett, R.G.; Coombes, J.S. Sulforaphane and Other Nutrigenomic Nrf2 Activators: Can the Clinician’s Expectation Be Matched by the Reality? Oxid. Med. Cell Longev. 2016, 2016, 7857186. [Google Scholar] [CrossRef]
- Ruhee, R.T.; Suzuki, K. The Integrative Role of Sulforaphane in Preventing Inflammation, Oxidative Stress and Fatigue: A Review of a Potential Protective Phytochemical. Antioxidants 2020, 9, 521. [Google Scholar] [CrossRef]
- Komine, S.; Miura, I.; Miyashita, N.; Oh, S.; Tokinoya, K.; Shoda, J.; Ohmori, H. Effect of a Sulforaphane Supplement on Muscle Soreness and Damage Induced by Eccentric Exercise in Young Adults: A Pilot Study. Physiol. Rep. 2021, 9, e15130. [Google Scholar] [CrossRef] [PubMed]
- Ruhee, R.T.; Ma, S.; Suzuki, K. Effects of Sulforaphane Treatment on Skeletal Muscle from Exhaustive Exercise-Induced Inflammation and Oxidative Stress Through the Nrf2/HO-1 Signaling Pathway. Antioxidants 2025, 14, 210. [Google Scholar] [CrossRef]
- Alves, I.; Araújo, E.M.Q.; Dalgaard, L.T.; Singh, S.; Børsheim, E.; Carvalho, E. Protective Effects of Sulforaphane Preventing Inflammation and Oxidative Stress to Enhance Metabolic Health: A Narrative Review. Nutrients 2025, 17, 428. [Google Scholar] [CrossRef]
- Yagishita, Y.; Fahey, J.W.; Dinkova-Kostova, A.T.; Kensler, T.W. Broccoli or Sulforaphane: Is It the Source or Dose That Matters? Molecules 2019, 24, 3593. [Google Scholar] [CrossRef]
- X-709; Law on Pharmacy of the Republic of Lithuania. Law on Pharmacy of the Republic of Lithuania: Vilnius, Lithuania, 2006.
- Warren, G.L.; Lowe, D.A.; Armstrong, R.B. Measurement Tools Used in the Study of Eccentric Contraction-Induced Injury. Sports Med. 1999, 27, 43–59. [Google Scholar] [CrossRef]
- Clarkson, P.M.; Hubal, M.J. Exercise-Induced Muscle Damage in Humans. Am. J. Phys. Med. Rehabil. 2002, 81, S52–S69. [Google Scholar] [CrossRef] [PubMed]
- Thompson, P.D.; Arena, R.; Riebe, D.; Pescatello, L.S. ACSM’s New Preparticipation Health Screening Recommendations from ACSM’s Guidelines for Exercise Testing and Prescription, Ninth Edition. Curr. Sports Med. Rep. 2013, 12, 215–217. [Google Scholar] [CrossRef]
- Meislin, M.A.; Wagner, E.R.; Shin, A.Y. A Comparison of Elbow Range of Motion Measurements: Smartphone-Based Digital Photography Versus Goniometric Measurements. J. Hand Surg. Am. 2016, 41, 510–515.e1. [Google Scholar] [CrossRef]
- Sarto, F.; Spörri, J.; Fitze, D.P.; Quinlan, J.I.; Narici, M.V.; Franchi, M.V. Implementing Ultrasound Imaging for the Assessment of Muscle and Tendon Properties in Elite Sports: Practical Aspects, Methodological Considerations and Future Directions. Sports Med. 2021, 51, 1151–1170. [Google Scholar] [CrossRef]
- Coletta, F.; Cesanelli, L.; Kamandulis, S.; Conte, D. Comparative Analysis of Elbow Flexor Morphology, Physiology, and Performance Between Arm Wrestlers and Strength-Trained Athletes. J. Strength Cond. Res. 2025, 39, 579–586. [Google Scholar] [CrossRef]
- Al-Ani, Z.; Lauder, J. Ultrasound Assessment in Distal Biceps Tendon Injuries: Techniques, Pearls and Pitfalls. Clin. Imaging 2021, 75, 46–54. [Google Scholar] [CrossRef] [PubMed]
- Urbone, S.S.; Cesanelli, L.; Kamandulis, S.; Satkunskiene, D. Achilles Tendon Echo Intensity Changes across a Five-Day Training Cycle in Elite Athletes. Int. J. Sports Med. 2025, 46, 1008–1015. [Google Scholar] [CrossRef]
- Cesanelli, L.; Kamandulis, S.; Volungevičius, G.; Satkunskiene, D. Relationships between Muscle Quality, Subcutaneous Adipose Tissue, and Sprint Performance Markers of Competitive Cyclists. J. Sports Med. Phys. Fit. 2023, 63, 104–110. [Google Scholar] [CrossRef] [PubMed]
- Brancaccio, P.; Maffulli, N.; Limongelli, F.M. Creatine Kinase Monitoring in Sport Medicine. Br. Med. Bull. 2007, 81–82, 209–230. [Google Scholar] [CrossRef]
- Ferguson, C.J. An Effect Size Primer: A Guide for Clinicians and Researchers. Prof. Psychol. Res. Pract. 2009, 40, 532–538. [Google Scholar] [CrossRef]
- Yasuda, T.; Fukumura, K.; Iida, H.; Nakajima, T. Effect of Low-Load Resistance Exercise with and without Blood Flow Restriction to Volitional Fatigue on Muscle Swelling. Eur. J. Appl. Physiol. 2015, 115, 919–926. [Google Scholar] [CrossRef]
- Sanz-López, F.; Berzosa, C.; Hita-Contreras, F.; Martínez-Amat, A. Effects of Eccentric Overload Training on Patellar Tendon and Vastus Lateralis in Three Days of Consecutive Running. Knee 2017, 24, 570–579. [Google Scholar] [CrossRef]
- Kjaer, M.; Magnusson, P.; Krogsgaard, M.; Boysen Møller, J.; Olesen, J.; Heinemeier, K.; Hansen, M.; Haraldsson, B.; Koskinen, S.; Esmarck, B.; et al. Extracellular Matrix Adaptation of Tendon and Skeletal Muscle to Exercise. J. Anat. 2006, 208, 445–450. [Google Scholar] [CrossRef] [PubMed]
- Flockhart, M.; Nilsson, L.C.; Tillqvist, E.N.; Vinge, F.; Millbert, F.; Lännerström, J.; Nilsson, P.H.; Samyn, D.; Apró, W.; Sundqvist, M.L.; et al. Glucosinolate-Rich Broccoli Sprouts Protect against Oxidative Stress and Improve Adaptations to Intense Exercise Training. Redox Biol. 2023, 67, 102873. [Google Scholar] [CrossRef]
- Jamurtas, A.Z. Exercise-Induced Muscle Damage and Oxidative Stress. Antioxidants 2018, 7, 50. [Google Scholar] [CrossRef]
- Hessel, A.L.; Lindstedt, S.L.; Nishikawa, K.C. Physiological Mechanisms of Eccentric Contraction and Its Applications: A Role for the Giant Titin Protein. Front. Physiol. 2017, 8, 70. [Google Scholar] [CrossRef]
- Kaufman-Szymczyk, A.; Majewski, G.; Lubecka-Pietruszewska, K.; Fabianowska-Majewska, K. The Role of Sulforaphane in Epigenetic Mechanisms, Including Interdependence between Histone Modification and DNA Methylation. Int. J. Mol. Sci. 2015, 16, 29732–29743. [Google Scholar] [CrossRef]
- Bertoia, M.L.; Mukamal, K.J.; Cahill, L.E.; Hou, T.; Ludwig, D.S.; Mozaffarian, D.; Willett, W.C.; Hu, F.B.; Rimm, E.B. Changes in Intake of Fruits and Vegetables and Weight Change in United States Men and Women Followed for Up to 24 Years: Analysis from Three Prospective Cohort Studies. PLoS Med. 2015, 12, e1001878. [Google Scholar] [CrossRef] [PubMed]
- Merchant, H.J.; Forteath, C.; Gallagher, J.R.; Dinkova-Kostova, A.T.; Ashford, M.L.J.; McCrimmon, R.J.; McNeilly, A.D. Activation of the Nrf2 Pathway by Sulforaphane Improves Hypoglycaemia-Induced Cognitive Impairment in a Rodent Model of Type 1 Diabetes. Antioxidants 2025, 14, 308. [Google Scholar] [CrossRef]
- Margaritelis, N.V.; Theodorou, A.A.; Baltzopoulos, V.; Maganaris, C.N.; Paschalis, V.; Kyparos, A.; Nikolaidis, M.G. Muscle Damage and Inflammation after Eccentric Exercise: Can the Repeated Bout Effect Be Removed? Physiol. Rep. 2015, 3, e12648. [Google Scholar] [CrossRef] [PubMed]
- Wong, V.; Spitz, R.W.; Bell, Z.W.; Viana, R.B.; Chatakondi, R.N.; Abe, T.; Loenneke, J.P. Exercise Induced Changes in Echo Intensity within the Muscle: A Brief Review. J. Ultrasound 2020, 23, 457–472. [Google Scholar] [CrossRef]








Disclaimer/Publisher’s Note: The statements, opinions and data contained in all publications are solely those of the individual author(s) and contributor(s) and not of MDPI and/or the editor(s). MDPI and/or the editor(s) disclaim responsibility for any injury to people or property resulting from any ideas, methods, instructions or products referred to in the content. |
© 2026 by the authors. Licensee MDPI, Basel, Switzerland. This article is an open access article distributed under the terms and conditions of the Creative Commons Attribution (CC BY) license.
Share and Cite
Cesanelli, L.; Thomas, R.; Mickevičius, M.; Sniečkus, A.; Mickevičienė, D.; Venckūnas, T.; Stasiulis, A.; Kamandulis, S. Short-Term Effects of Broccoli-Derived Glucoraphanin on Recovery from Eccentric Muscle Damage: A Double-Blind Randomized Crossover Study. Nutrients 2026, 18, 710. https://doi.org/10.3390/nu18040710
Cesanelli L, Thomas R, Mickevičius M, Sniečkus A, Mickevičienė D, Venckūnas T, Stasiulis A, Kamandulis S. Short-Term Effects of Broccoli-Derived Glucoraphanin on Recovery from Eccentric Muscle Damage: A Double-Blind Randomized Crossover Study. Nutrients. 2026; 18(4):710. https://doi.org/10.3390/nu18040710
Chicago/Turabian StyleCesanelli, Leonardo, Rono Thomas, Mantas Mickevičius, Audrius Sniečkus, Dalia Mickevičienė, Tomas Venckūnas, Arvydas Stasiulis, and Sigitas Kamandulis. 2026. "Short-Term Effects of Broccoli-Derived Glucoraphanin on Recovery from Eccentric Muscle Damage: A Double-Blind Randomized Crossover Study" Nutrients 18, no. 4: 710. https://doi.org/10.3390/nu18040710
APA StyleCesanelli, L., Thomas, R., Mickevičius, M., Sniečkus, A., Mickevičienė, D., Venckūnas, T., Stasiulis, A., & Kamandulis, S. (2026). Short-Term Effects of Broccoli-Derived Glucoraphanin on Recovery from Eccentric Muscle Damage: A Double-Blind Randomized Crossover Study. Nutrients, 18(4), 710. https://doi.org/10.3390/nu18040710

