Sign in to use this feature.

Years

Between: -

Subjects

remove_circle_outline
remove_circle_outline
remove_circle_outline
remove_circle_outline
remove_circle_outline
remove_circle_outline
remove_circle_outline
remove_circle_outline
remove_circle_outline

Journals

remove_circle_outline
remove_circle_outline
remove_circle_outline
remove_circle_outline
remove_circle_outline
remove_circle_outline
remove_circle_outline
remove_circle_outline
remove_circle_outline
remove_circle_outline
remove_circle_outline
remove_circle_outline
remove_circle_outline
remove_circle_outline
remove_circle_outline
remove_circle_outline
remove_circle_outline
remove_circle_outline
remove_circle_outline
remove_circle_outline
remove_circle_outline
remove_circle_outline
remove_circle_outline
remove_circle_outline
remove_circle_outline
remove_circle_outline
remove_circle_outline
remove_circle_outline
remove_circle_outline
remove_circle_outline
remove_circle_outline
remove_circle_outline
remove_circle_outline
remove_circle_outline
remove_circle_outline
remove_circle_outline
remove_circle_outline
remove_circle_outline
remove_circle_outline
remove_circle_outline

Article Types

Countries / Regions

remove_circle_outline
remove_circle_outline
remove_circle_outline
remove_circle_outline
remove_circle_outline
remove_circle_outline
remove_circle_outline
remove_circle_outline

Search Results (5,286)

Search Parameters:
Keywords = cost-effectiveness framework

Order results
Result details
Results per page
Select all
Export citation of selected articles as:
25 pages, 5360 KB  
Article
A Joint Scheduling Framework for Electric Bus Fleets and Charging Infrastructure in Urban Transit Systems
by Jie Xiong, Zili Guan, Shixiong Jiang and Zhongqi Wang
Systems 2026, 14(3), 235; https://doi.org/10.3390/systems14030235 (registering DOI) - 25 Feb 2026
Abstract
This paper investigates the joint scheduling problem of battery electric bus fleets and plug-in charging infrastructure in an urban transit system. The operation of an electric bus network is inherently a multi-component system, where vehicle assignment, battery energy management, and charger capacity decisions [...] Read more.
This paper investigates the joint scheduling problem of battery electric bus fleets and plug-in charging infrastructure in an urban transit system. The operation of an electric bus network is inherently a multi-component system, where vehicle assignment, battery energy management, and charger capacity decisions interact and jointly determine system performance and cost efficiency. To capture these interdependencies, we propose a system-level integrated scheduling framework that simultaneously determines bus trip assignments, charging event timing and duration, and charger utilization plans. The problem is formulated as a continuous-time mixed-integer linear programming model that minimizes the total system cost, subject to operational feasibility, battery state-of-charge dynamics, and charger capacity constraints. To enhance computational tractability, a Lagrangian relaxation-based decomposition approach is developed, coupled with a linear programming-based diving heuristic. Computational experiments on benchmark instances demonstrate that the proposed framework produces high-quality system-level schedules with substantially reduced solution time compared with directly using a commercial solver. A real-world case study based on a large charging station in Beijing shows that the optimized joint schedules reduce the required fleet size from 22 to 13 buses and the number of chargers from five to two, leading to a 38.3% reduction in total system cost. These results highlight the effectiveness and practical value of the proposed approach for the planning and operation of urban electric bus transit systems. Full article
(This article belongs to the Section Systems Engineering)
Show Figures

Figure 1

22 pages, 6811 KB  
Article
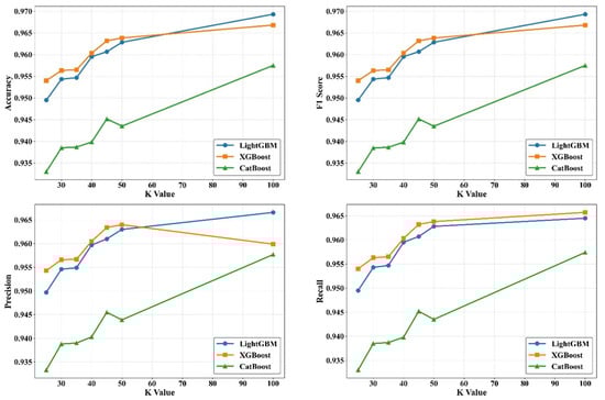
Sound-Based Tool Wear Classification in Turning of AISI 316L Using Multidomain Acoustic Features and SHAP-Enhanced Gradient Boosting Models
by Savaş Koç, Mehmet Şükrü Adin, Ramazan İlenç, Mateusz Bronis and Serdar Ekinci
Materials 2026, 19(5), 861; https://doi.org/10.3390/ma19050861 (registering DOI) - 25 Feb 2026
Abstract
Reliable tool-wear monitoring is essential for maintaining machining quality and preventing unscheduled downtime in manufacturing. This investigation presents a sound-based classification framework for identifying wear states in the turning of AISI 316L stainless steel using advanced gradient-boosting models. Acoustic signals were recorded under [...] Read more.
Reliable tool-wear monitoring is essential for maintaining machining quality and preventing unscheduled downtime in manufacturing. This investigation presents a sound-based classification framework for identifying wear states in the turning of AISI 316L stainless steel using advanced gradient-boosting models. Acoustic signals were recorded under constant cutting parameters to eliminate process-induced variability, and each recording was divided into standardized 2 s segments. A total of 540 multidomain features—including RMS, ZCR, spectral descriptors, Mel-spectrogram statistics, MFCCs and their derivatives, and discrete wavelet energies—were extracted to capture both stationary and transient characteristics of tool–workpiece interactions. Feature selection was performed using a three-stage pipeline comprising Boruta, LASSO, and SHAP analysis, resulting in a compact subset of highly informative descriptors. LightGBM, XGBoost, and CatBoost classifiers were trained using stratified 10-fold cross-validation across three wear states: Unworn, Slight wear, and Severe wear. LightGBM and XGBoost achieved the best performance, with mean accuracies above 0.96 and strong PRC–AUC and ROC–AUC values (0.98–1.00). Although Slight wear remained the most difficult class due to its transitional acoustic characteristics, all models showed clear separability for Unworn and Severe wear conditions. The results confirm that boosted decision-tree methods combined with SHAP-enhanced feature selection provide an effective, low-cost, and non-contact solution for tool-wear classification in 316L turning. Full article
(This article belongs to the Special Issue Cutting Process of Advanced Materials)
Show Figures

Graphical abstract

14 pages, 2071 KB  
Article
Label-Free Detection of Molecular Signatures in Heart Failure with Preserved Ejection Fraction Using Raman Micro-Spectroscopy
by Leonardo Pioppi, Reza Parvan, Martina Alunni Cardinali, Gustavo Jose Justo Silva, Brenda Bracco, Sara Stefani, Alessandro Cataliotti and Paola Sassi
Int. J. Mol. Sci. 2026, 27(5), 2161; https://doi.org/10.3390/ijms27052161 (registering DOI) - 25 Feb 2026
Abstract
Heart failure with preserved ejection fraction (HFpEF) is a complex and heterogeneous syndrome characterized by delayed diagnosis and limited therapeutic options, contributing to poor clinical outcomes. In the present study, we investigated the applicability of Raman micro-spectroscopy (RmS) as a label-free, rapid, and [...] Read more.
Heart failure with preserved ejection fraction (HFpEF) is a complex and heterogeneous syndrome characterized by delayed diagnosis and limited therapeutic options, contributing to poor clinical outcomes. In the present study, we investigated the applicability of Raman micro-spectroscopy (RmS) as a label-free, rapid, and cost-effective approach for identifying molecular signatures associated with HFpEF and enabling reliable disease classification. RmS was applied to evaluate disease-related biochemical alterations in cardiac and renal tissues obtained from a clinically relevant HFpEF model (ZSF1 rat). Furthermore, the effects of three pharmacological interventions were analyzed and classified (five experimental groups—36 animals in total), highlighting organ-specific therapeutic responses. We developed a spectroscopic data analysis strategy in which second-derivative Raman spectral features serve as quantitative inputs to a supervised classification model, enabling micro-spectroscopic discrimination of HFpEF versus control tissues and achieving a classification accuracy of 92% (sensitivity 93% and specificity 91%) based on the protein-to-tryptophan ratio in cardiac tissue, while minimizing the need for extensive data preprocessing. The spectroscopic markers used in this study were derived from prior multivariate discovery analyses and are evaluated here within a validation and translational classification framework. Collectively, these findings support the integration of RmS into molecular and translational research settings and suggest its potential utility for improving HFpEF diagnosis and treatment monitoring. Full article
Show Figures

Figure 1

28 pages, 2771 KB  
Article
Improving Tree-Based Lung Disease Classification from Chest X-Ray Images Using Deep Feature Representations
by Abdulaziz A. Alsulami, Qasem Abu Al-Haija, Rayed Alakhtar, Huda Alsobhi, Rayan A. Alsemmeari, Badraddin Alturki and Ahmad J. Tayeb
Bioengineering 2026, 13(3), 267; https://doi.org/10.3390/bioengineering13030267 (registering DOI) - 25 Feb 2026
Abstract
Healthcare systems worldwide face increasing pressure to deliver accurate, affordable, and scalable diagnostic services while maintaining long-term sustainability. Chest X-ray screening is considered one of the most cost-effective methods for detecting lung disease. However, many deep learning approaches are computationally intensive and difficult [...] Read more.
Healthcare systems worldwide face increasing pressure to deliver accurate, affordable, and scalable diagnostic services while maintaining long-term sustainability. Chest X-ray screening is considered one of the most cost-effective methods for detecting lung disease. However, many deep learning approaches are computationally intensive and difficult to interpret, which limits their adoption in high-throughput, resource-constrained clinical settings. This study proposes a hybrid CNN–tree framework for automated lung disease classification from chest X-ray images, which targets COVID-19, pneumonia, tuberculosis, lung cancer, and normal cases. To ensure robustness and generalization, four publicly available chest X-ray datasets from different sources are merged into a unified five-class dataset, which introduces realistic variations in imaging conditions and patient populations. A ResNet-18 model is fine-tuned to extract domain-specific deep feature representations. Feature dimensionality and redundancy are reduced using Principal Component Analysis, while class imbalance is addressed through the Synthetic Minority Over-sampling Technique. The resulting compact feature vectors are used to train interpretable tree-based classifiers, which include Decision Tree, Random Forest, and XGBoost. Experiments conducted using five-fold stratified cross-validation demonstrate substantial and consistent performance gains. When trained on fine-tuned and preprocessed deep features, all evaluated tree-based classifiers achieve weighted F1-scores between 0.977 and 0.982 using five-fold cross-validation, with a significant reduction in inter-class confusion. In addition, the proposed framework maintains low per-sample inference latency, which supports energy-efficient and scalable deployment. These results indicate that combining deep feature learning with interpretable tree-based models provides a practical and reliable solution for sustainable chest X-ray screening in real-world clinical environments. Full article
(This article belongs to the Section Biosignal Processing)
Show Figures

Figure 1

39 pages, 2525 KB  
Article
Hybrid Caputo-Type Fractional Parallel Schemes for Nonlinear Elliptic PDEs with Chaos- and Bifurcation-Based Acceleration
by Mudassir Shams and Bruno Carpentieri
Fractal Fract. 2026, 10(3), 142; https://doi.org/10.3390/fractalfract10030142 (registering DOI) - 25 Feb 2026
Abstract
In this work, we propose a fractional Jacobian–based parallel two-stage iterative framework for the numerical solution of nonlinear systems arising from elliptic PDE discretizations. The core of the approach is a high-order fractional two-step scheme (S1), which combines a linear Newton-type correction with [...] Read more.
In this work, we propose a fractional Jacobian–based parallel two-stage iterative framework for the numerical solution of nonlinear systems arising from elliptic PDE discretizations. The core of the approach is a high-order fractional two-step scheme (S1), which combines a linear Newton-type correction with a quadratic fractional correction and incorporates a structured parallel interaction mechanism inspired by Weierstrass-type schemes. Under standard regularity assumptions, a rigorous local convergence analysis shows that the S1 scheme provides a high-order local correction mechanism, yielding a convergence order of 2μ+3 under suitable local accuracy conditions. To enhance robustness with respect to the choice of initial guesses, a safeguarded realization of the method, denoted by SBVM*, is introduced. Since the safeguard mechanism may modify the local iteration map, convergence of SBVM* is ensured under appropriate acceptance conditions, while its asymptotic behavior coincides with that of the S1 scheme once the safeguard becomes inactive. The dynamical behavior of the resulting iterative map is further investigated through bifurcation diagrams and Lyapunov exponent analysis, providing practical guidelines for parameter selection and enabling the identification of stable operating regimes while avoiding chaotic behavior. Extensive numerical experiments involving linear and nonlinear elliptic benchmark problems from engineering and biomedical applications demonstrate that SBVM* achieves improved convergence behavior, enhanced numerical stability, and reduced computational cost relative to existing parallel solvers such as ELVM* and ACVM*. The proposed framework therefore provides an effective and scalable numerical approach for the solution of nonlinear elliptic models arising in biomedical and engineering contexts. Full article
22 pages, 612 KB  
Article
The Impact of Carbon Information Disclosure on Firm Value: The Mediating Role of Green M&A—Evidence from China
by Yuanyuan Wang, Shengqi Cao and Muhammad Haroon Shah
Sustainability 2026, 18(5), 2225; https://doi.org/10.3390/su18052225 (registering DOI) - 25 Feb 2026
Abstract
Under China’s “Dual Carbon” strategy, carbon transparency has become a critical determinant of corporate competitiveness. Using a dataset of Chinese A-share listed companies from 2010 to 2023, this study constructs an integrated theoretical framework combining signaling theory and the “real effects” hypothesis to [...] Read more.
Under China’s “Dual Carbon” strategy, carbon transparency has become a critical determinant of corporate competitiveness. Using a dataset of Chinese A-share listed companies from 2010 to 2023, this study constructs an integrated theoretical framework combining signaling theory and the “real effects” hypothesis to investigate the impact of carbon information disclosure (CID) on firm value. The results demonstrate a significant positive relationship between CID quality and firm value, a finding that remains highly robust against the exogenous macro-policy shock of the 2020 Dual Carbon goals. A primary conceptual contribution lies in identifying Green Mergers and Acquisitions (M&A) as a vital mediating strategic mechanism. High-quality CID acts as a credible commitment device that triggers internal problemistic search, compelling firms to undertake substantive green M&A to fulfill environmental claims, thereby establishing a “transparency-to-strategy-to-value” continuum. Furthermore, heterogeneity analysis indicates that the valuation premium is markedly more pronounced in non-state-owned enterprises (Non-SOEs) and non-heavily polluting industries, reflecting their reliance on transparency to alleviate capital constraints and signal “green competitiveness.” These findings confirm that the capital market prices carbon disclosure as a high-quality strategic asset rather than a mere compliance cost, offering targeted empirical evidence for policymakers to refine standardized disclosure frameworks and for investors to screen for substantive “Green Alpha.” Full article
(This article belongs to the Section Economic and Business Aspects of Sustainability)
Show Figures

Figure 1

26 pages, 1041 KB  
Review
Artificial Intelligence in Orthopaedics: Clinical Performance, Limitations, and Translational Readiness—A Review
by Wojciech Michał Glinkowski, Antonina Spalińska, Agnieszka Wołk and Krzysztof Wołk
J. Clin. Med. 2026, 15(5), 1751; https://doi.org/10.3390/jcm15051751 (registering DOI) - 25 Feb 2026
Abstract
Background/Objectives: Musculoskeletal disorders and their surgical treatment significantly affect global disability, healthcare utilization, and costs. Artificial intelligence (AI) is a key enabler of data-driven musculoskeletal care. Their applications include diagnostic imaging, surgical planning, risk prediction, rehabilitation, and digital health ecosystems. This narrative review [...] Read more.
Background/Objectives: Musculoskeletal disorders and their surgical treatment significantly affect global disability, healthcare utilization, and costs. Artificial intelligence (AI) is a key enabler of data-driven musculoskeletal care. Their applications include diagnostic imaging, surgical planning, risk prediction, rehabilitation, and digital health ecosystems. This narrative review synthesizes current evidence on the use of AI in orthopaedics and musculoskeletal care across five areas: diagnostic imaging, surgical planning and intraoperative augmentation, predictive analytics and patient-reported outcomes, rehabilitation intelligence and teleorthopaedics, and system-level management. An additional task is to identify translational gaps and priorities for safe, ethical, and equitable implementation of AI. Methods: A structured narrative review was conducted using targeted searches in PubMed, Scopus, and Web of Science supplemented by semantic and citation-based explorations in Semantic Scholar, OpenAlex, and Google Scholar. The main search period was January 2019 to December 2025. The retrieved peer-reviewed articles were analyzed for clinical relevance to human musculoskeletal care, quantitative outcomes, and the translational implications of the results. From the broader pool of eligible publications, 40 clinically relevant studies were selected for detailed synthesis covering imaging, surgical planning, predictive modeling, rehabilitation, and system-level applications. Owing to the significant heterogeneity in the model architectures, datasets, and endpoints, the results were organized into five predefined thematic areas. Results: The most mature evidence is for AI-assisted detection of bone fractures on radiographs, identification of implants, and use of sizing templates in preoperative planning for arthroplasty, where deep learning systems have achieved expert-level diagnostic performance (e.g., fracture detection sensitivity of approximately 90% and specificity of approximately 92% and implant identification accuracy of 97–99%) and improved the accuracy of preoperative planning compared to conventional templating. AI-based planning increases the likelihood of reducing intraoperative corrections, shortening surgery time, reducing blood loss, and improving the final functional outcomes. Predictive models can support the stratification of risk for complications, rehospitalizations, and patient-reported outcomes, although external validation remains limited and is often single-center at this stage of research. Emerging applications in rehabilitation and teleorthopaedics, including sensor-based monitoring and learning systems integrated with Patient-Reported Outcome Measures (PROMs), are conceptually promising, but are mainly limited to feasibility or pilot studies. Conclusions: AI is beginning to influence musculoskeletal care, moving beyond pattern recognition toward integrated, patient-centered decision support throughout the perioperative and rehabilitation periods. Its widespread use remains constrained by limited multicenter validation, dataset bias, algorithmic opacity, and immature regulatory and governance frameworks. Future work should prioritize prospective multicenter impact studies, repeatable revalidation of local models, integration of PROM and teleorthopedic data with health learning systems, and adaptation to changing regulatory requirements to enable safe, ethical, effective, and equitable implementation in routine orthopedic practice. Full article
(This article belongs to the Topic Machine Learning and Deep Learning in Medical Imaging)
Show Figures

Figure 1

22 pages, 1996 KB  
Article
Lightweight Self-Supervised Hybrid Learning for Generalizable and Real-Time Fault Diagnosis in Photovoltaic Systems
by Ghalia Nassreddine, Obada Al-Khatib, Imran, Mohamad Nassereddine and Ali Hellany
Algorithms 2026, 19(3), 173; https://doi.org/10.3390/a19030173 - 25 Feb 2026
Abstract
Photovoltaic (PV) systems nowadays represent an essential component of renewable energy production. However, undetected faults often compromise their reliability, leading to significant energy losses and high maintenance costs. Existing deep learning approaches for PV fault diagnosis have achieved high accuracy, but they require [...] Read more.
Photovoltaic (PV) systems nowadays represent an essential component of renewable energy production. However, undetected faults often compromise their reliability, leading to significant energy losses and high maintenance costs. Existing deep learning approaches for PV fault diagnosis have achieved high accuracy, but they require massive, labeled datasets and high computational resources, which make them unsuitable for real-time applications. This paper proposes a lightweight, self-supervised hybrid learning framework for real-time PV fault diagnosis to address these limitations. First, the dataset is split into training, testing, and validation subsets. Thereafter, weighted class calculation steps are performed to overcome the issue of imbalance in the data. Then, a self-supervised pre-training phase is established to enable the encoder to produce effective internal representations prior to the implementation of a supervised fine-tuning classifier, characterized as a lightweight feed-forward network (Dense–Dropout–Dense Softmax), which will be trained using categorical cross-entropy and fault-type labels. Finally, a supervised fine-tuning stage is employed based on the pre-trained hybrid CNN–transformer encoder to perform PV fault classification. The experimental results indicate that the proposed approach outperforms existing models by achieving an overall accuracy of 99.8%, a recall of 99.6%, and an outstanding specificity of 100%. The confusion matrix demonstrates that classification is excellent on all operating types. Runtime analysis indicates that the model processes each sample in 2.78 ms and requires 0.07 MB to store weights of 19,429 parameters, confirming its suitability for real-time deployment. These findings highlight that using a hybrid CNN–Transformer encoder with self-supervised learning can improve fault detection and classification performance while significantly reducing inference time, making it an effective and efficient solution for intelligent PV system monitoring. Full article
(This article belongs to the Special Issue AI-Driven Control and Optimization in Power Electronics)
Show Figures

Figure 1

25 pages, 565 KB  
Article
Enhancing Data Security in Satellite Communication Systems: Integrating Quantum Cryptography with CatBoost Machine Learning
by Mohd Nadeem, Syed Anas Ansar, Sakshi Halwai, Arpita Singh and Rajeev Kumar
Information 2026, 17(3), 220; https://doi.org/10.3390/info17030220 - 25 Feb 2026
Abstract
In modern communication networks, particularly satellite-based systems, data security faces significant challenges from vulnerabilities such as signal interception, jamming, and latency during long distance transmissions. Traditional cryptographic methods are increasingly vulnerable to quantum computing threats, underscoring the need for advanced solutions to protect [...] Read more.
In modern communication networks, particularly satellite-based systems, data security faces significant challenges from vulnerabilities such as signal interception, jamming, and latency during long distance transmissions. Traditional cryptographic methods are increasingly vulnerable to quantum computing threats, underscoring the need for advanced solutions to protect data integrity, confidentiality, and availability. This research investigates the fusion of quantum cryptography and Machine Learning (ML) to improve security in satellite communication. The Quantum Key Distribution (QKD), which is grounded in quantum mechanics, enables unbreakable encryption by detecting eavesdropping via quantum state disturbances. The CatBoost ML algorithm is applied to a dataset of 10,000 records featuring categorical attributes for prioritizing security elements such as anomaly detection, encryption types, and access controls. The model yields an accuracy of 89.23% and Area under Curve the Receiver Operating Characteristic (AUC-ROC) score of 94.56%, effectively predicting threat levels. Feature importance reveals anomaly detection (28.5%) and quantum encryption (22.3%) as primary contributors. While hurdles such as high implementation costs and transmission range limitations persist, this quantum ML synergy provides a proactive, adaptive framework for resilient, future-ready communication networks. Full article
(This article belongs to the Special Issue 2nd Edition of 5G Networks and Wireless Communication Systems)
43 pages, 11743 KB  
Article
Rebar Price Prediction in Guangzhou, China: A Comparison of Statistical, Machine Learning and Hybrid Models
by Jiangnan Zhao, Xiaomin Dai, Peng Gao, Shengqiang Ma and Lei Wang
Buildings 2026, 16(5), 905; https://doi.org/10.3390/buildings16050905 - 25 Feb 2026
Abstract
Price volatility in steel reinforcement bars (rebar) plays a pivotal role in managing construction project costs, with precise forecasting being essential for maintaining corporate profitability and ensuring market stability. This research conducts a comprehensive evaluation of five prominent forecasting models—Autoregressive Integrated Moving Average [...] Read more.
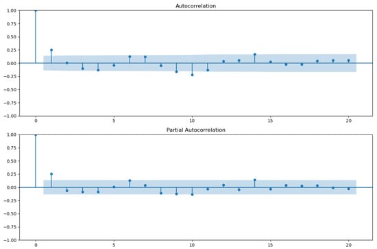
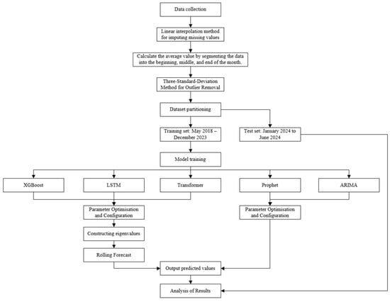
Price volatility in steel reinforcement bars (rebar) plays a pivotal role in managing construction project costs, with precise forecasting being essential for maintaining corporate profitability and ensuring market stability. This research conducts a comprehensive evaluation of five prominent forecasting models—Autoregressive Integrated Moving Average (ARIMA), eXtreme Gradient Boosting (XGBoost), Prophet, Long Short-Term Memory (LSTM), and Transformer—specifically applied to steel rebar price prediction. The study emphasizes the influence of feature selection, defined as the number of historical price data points utilized for prediction, on the accuracy of these models. Furthermore, it develops a hybrid forecasting framework grounded in a residual complementarity mechanism aimed at improving long-term predictive performance. The results reveal that the ARIMA model delivers consistent and reliable short-term forecasts, particularly within a two-month horizon, whereas the Prophet model effectively captures long-term price trends but suffers from notable short-term bias. A two-stage hybrid model (referred to as Combination Model II), which integrates ARIMA and Prophet through residual inversion, demonstrates superior forecasting accuracy over a six-month period. This hybrid approach surpasses the standalone ARIMA model by more than 70% across key evaluation metrics—including Root Mean Square Error (RMSE), Mean Absolute Error (MAE), Mean Absolute Percentage Error (MAPE), Symmetric Mean Absolute Percentage Error (SMAPE), and Mean Absolute Scaled Error (MASE)—and exceeds the performance of the standalone Prophet model by over 90%. This integration effectively combines the high short-term precision of ARIMA with the long-term trend stability of Prophet. Within the domain of machine learning and deep learning models, XGBoost achieves optimal predictive accuracy when utilizing between one and four features. The predictive performance of LSTM does not exhibit a straightforward linear relationship with the number of features; however, certain feature combinations enable it to outperform other models. Transformer models maintain stable accuracy when employing feature sets ranging from one to five and twelve to seventeen, but display considerable variability in performance when the feature count lies between five and twelve. This investigation delineates the optimal parameter ranges and contextual applicability for each model. The proposed hybrid forecasting methodology, alongside a model transfer strategy encompassing data preprocessing adjustments, parameter optimization, and weight adaptation, offers practical applicability to other commodity markets such as cement and concrete. Consequently, this research provides a scientifically grounded framework to support procurement decision-making processes within construction enterprises. Full article
(This article belongs to the Section Construction Management, and Computers & Digitization)
Show Figures

Figure 1

27 pages, 1625 KB  
Article
AF-CuRL: Stable Reinforcement Learning for Resource-Constrained Long-Form Reasoning in Edge-Intelligent Systems
by Ziqin Yan, Yurong Wang, Qingsheng Yue and Xiaojiang Wang
Sensors 2026, 26(5), 1433; https://doi.org/10.3390/s26051433 - 25 Feb 2026
Abstract
Resource-constrained intelligent systems increasingly require reliable long-form reasoning capabilities under limited computational and memory budgets, particularly in edge and embedded sensing environments. However, reinforcement learning for long-horizon decision generation remains highly unstable in such low-resource settings due to severe reward sparsity and imbalanced [...] Read more.
Resource-constrained intelligent systems increasingly require reliable long-form reasoning capabilities under limited computational and memory budgets, particularly in edge and embedded sensing environments. However, reinforcement learning for long-horizon decision generation remains highly unstable in such low-resource settings due to severe reward sparsity and imbalanced credit assignment, which often lead to non-convergent or excessively verbose generation behavior. In this work, we propose AF-CuRL (Answer-Focused Curriculum Reinforcement Learning), a lightweight reinforcement learning framework designed to stabilize long-form generation without increasing model size or computational cost. AF-CuRL improves optimization learnability through two complementary objective-level designs: (1) answer-focused token reweighting, which concentrates policy updates on reward-critical regions of generated sequences to alleviate credit assignment imbalance, and (2) a two-phase curriculum reward schedule that prioritizes stable termination and output regularity before shifting toward correctness-oriented optimization. We evaluate AF-CuRL on a 1.5B-parameter language model under strictly constrained training settings, using mathematical reasoning tasks as a controlled and reproducible proxy for long-horizon, rule-based decision-making commonly encountered in intelligent sensing and embedded systems. Experimental results demonstrate consistent improvements in both decision accuracy and generation regularity, including higher termination reliability and reduced generation length, compared with standard sequence-level reinforcement learning baselines. These results suggest that, for resource-limited and edge-intelligent systems, structured objective design can be more effective than model scaling for achieving stable and efficient long-form reasoning, providing a practical reinforcement learning solution for intelligent systems operating under real-world constraints. Full article
(This article belongs to the Section Intelligent Sensors)
Show Figures

Figure 1

28 pages, 2735 KB  
Article
Integrating Lean Six Sigma with Sustainability Goals in Saudi Food Processing: A Case Study Using a Quantitative Framework for Measuring Sustainability Contributions and Cultural Enablers
by Abdulrahman Mohammed Albar, Yazeed A. Alsharedah, Osama M. Irfan and Walid Mahmoud Shewakh
Sustainability 2026, 18(5), 2202; https://doi.org/10.3390/su18052202 - 25 Feb 2026
Abstract
In recent years, the food processing industry in the Gulf Cooperation Council (GCC) has faced increasing pressures to improve operational efficiency while improving its environmental performance. This research examines whether Lean Six Sigma (LSS) methodologies can be used as tools to incorporate sustainability [...] Read more.
In recent years, the food processing industry in the Gulf Cooperation Council (GCC) has faced increasing pressures to improve operational efficiency while improving its environmental performance. This research examines whether Lean Six Sigma (LSS) methodologies can be used as tools to incorporate sustainability into current operational processes at a date processing facility in Saudi Arabia. In addition to illustrating the ways in which production was improved, this research developed and preliminarily validated a Sustainability Integration Index (SII) framework to measure the contributions of improvement projects to sustainable practices in terms of their impact on the environment, society, and economy. Furthermore, this research examined the role of organizational culture as a moderator of the effectiveness of integrated LSS–sustainability approaches using a Cultural Readiness Assessment Model (CRAM). This research addressed production bottlenecks and aligned production with selected United Nation Sustainable Development Goals (SDGs) using the Define–Measure–Analyze–Improve–Control (DMAIC) methodology. Production bottlenecked in packaging operations resulted in schedule overruns and excessive overtime; therefore, the intervention focused on improving the production process in these areas. There were three distinct improvement streams: demand-based resource leveling, advanced production planning to allow for pull-based flow, and targeted maintenance to raise Overall Equipment Effectiveness (OEE) from 48.2% to 74.6%. Results indicated a 23% increase in daily processing capacity, a 38 min decrease in the average length of time of production closures, and estimated annual cost savings of 940,000 SAR (approximately USD 250,000). The SII framework showed a 21.2% improvement in sustainability scores, with a total composite score improvement from 0.66 to 0.80. Social sustainability had the greatest relative increase (+24.2%). Exploratory correlation analysis found that improvements in cultural maturity and cross-functional collaboration are possible predictors of successful sustainability integration; however, the limitations of the single case study limit the ability to draw causal inferences. The results provide both empirical evidence and possible measurement tools to an under-explored area: the use of LSS in Middle Eastern food processing industries with specific sustainability goals. Validation of the frameworks across different industries will be necessary to establish generalizability. Full article
Show Figures

Figure 1

21 pages, 1728 KB  
Article
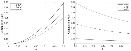
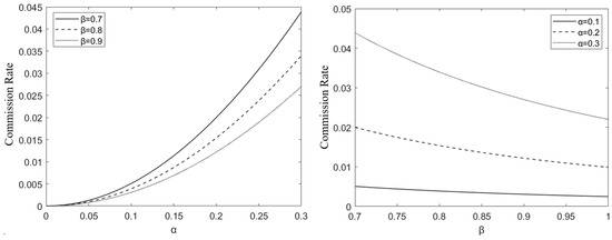
Commission Rate Optimization for Network Freight Platforms: Asymmetric Contributions and Pareto Improvement
by Xuan Zi, Yang Yang and Zhilei Wu
Symmetry 2026, 18(3), 402; https://doi.org/10.3390/sym18030402 - 25 Feb 2026
Abstract
In the platform economy, the pricing mechanisms are typically determined unilaterally by the platform, leading to increasingly prominent issues such as unreasonable commission rules and insufficient protection of drivers’ rights and interests. The commission rate is a key regulatory parameter for balancing revenue [...] Read more.
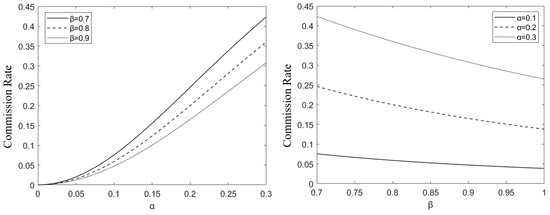
In the platform economy, the pricing mechanisms are typically determined unilaterally by the platform, leading to increasingly prominent issues such as unreasonable commission rules and insufficient protection of drivers’ rights and interests. The commission rate is a key regulatory parameter for balancing revenue distribution between network freight platforms and carriers, directly shaping their strategic behaviors and influencing the industry’s sustainable development. This study aims to adopt the commission rate as the core indicator of platform revenue distribution. Through equilibrium analysis and numerical simulation, it develops a revenue-maximization model grounded in both individual rationality and collective rationality. Based on this framework, it identifies the commission ranges that achieve Pareto improvements at different stages of platform development, thereby optimizing the platform’s revenue distribution strategy. The findings show that, under collective rationality, the effort levels of both platforms and carriers exceed those under individual rationality. When the commission rate falls within a specific range, the collective-revenue-maximization strategy enhances the benefits of both parties and achieves Pareto improvement. The optimal commission rate increases progressively as the platform develops and is strongly associated with the marginal effects of effort levels on order volume and the logistics service cost coefficient. The results offer theoretical guidance and practical insights for the scientific design of commission mechanisms in network freight platforms. Full article
Show Figures

Figure 1

15 pages, 561 KB  
Concept Paper
The Utilitarian Shift: Parental Withdrawal and the Dynamics of Sport Dropout in Early Adolescence
by Orr Levental and Dalit Lev-Arey
Societies 2026, 16(3), 80; https://doi.org/10.3390/soc16030080 - 25 Feb 2026
Abstract
Early adolescent sport dropout is commonly explained through individual psychological factors such as declining motivation, burnout, or identity conflict. While valuable, these accounts often assume parental logistical and financial support as a stable background condition. This conceptual article introduces the Utilitarian Shift as [...] Read more.
Early adolescent sport dropout is commonly explained through individual psychological factors such as declining motivation, burnout, or identity conflict. While valuable, these accounts often assume parental logistical and financial support as a stable background condition. This conceptual article introduces the Utilitarian Shift as a novel, family-level structural mechanism that helps explain why sport dropout peaks during early adolescence. Drawing on Social Exchange Theory, sociological perspectives on family investment, and developmental psychology, the framework conceptualizes dropout as emerging from a developmentally timed recalibration of parental investment. During childhood, parental support is largely sustained by custodial and broad developmental incentives; however, as adolescents gain functional independence and perceived developmental returns decline, continued investment becomes conditional rather than assumed. At the same time, sport system demands intensify through specialization pressures, rising costs, and selection mechanisms such as the Relative Age Effect. The convergence of declining perceived returns and escalating costs prompts rational parental withdrawal of logistical and financial support, thereby dismantling the material infrastructure required for sustained participation. Importantly, this withdrawal precedes and reshapes adolescents’ capacity to enact motivation, agency, and resilience, rather than merely responding to disengagement. The article situates early adolescent sport dropout as a relational and structurally mediated process, shifting analytic attention away from athlete-centered deficit models toward dynamic parental decision-making within marketized youth sport systems. Practically, the framework highlights the need for sport organizations and governing bodies to redesign participation pathways and value propositions that sustain parental engagement during early adolescence, even in the absence of elite performance trajectories. Full article
Show Figures

Figure 1

10 pages, 2295 KB  
Article
Erimin: A Pipeline to Identify Bacterial Strain Specific Primers
by Margaritis Tsifintaris, Paraskevi Koutra, Pavlos Tsiartas, Panagiotis Repanas, Sotirios Touliopoulos, Grigorios Nelios, Anastasia Anastasiadou, Georgia Tamouridou, Anastasios Nikolaou and Ilias Tsochantaridis
DNA 2026, 6(1), 11; https://doi.org/10.3390/dna6010011 - 25 Feb 2026
Abstract
Background/Objectives: Strain-level detection of bacteria is essential for applications such as diagnostics, food safety, and microbial monitoring. While 16S rRNA gene sequencing provides genus- or species-level resolution, it cannot reliably discriminate closely related strains. Whole-genome sequencing (WGS) offers high-resolution strain differentiation but remains [...] Read more.
Background/Objectives: Strain-level detection of bacteria is essential for applications such as diagnostics, food safety, and microbial monitoring. While 16S rRNA gene sequencing provides genus- or species-level resolution, it cannot reliably discriminate closely related strains. Whole-genome sequencing (WGS) offers high-resolution strain differentiation but remains impractical for routine detection due to cost and analytical complexity. This study aims to enable the translation of WGS data into accurate and cost-effective strain-specific PCR assays. Methods: We developed Erimin, a modular, shell-based bioinformatics pipeline for the automated identification of strain-specific genomic regions from short-read WGS data. Erimin systematically analyzes all available reference genomes for a given bacterial species in combination with sequencing data from a target strain. The workflow integrates reference-based read alignment, extraction of unmapped reads, de novo assembly, contig filtering and validation, genome annotation, and in silico PCR primer design and specificity evaluation. Results: Erimin was applied to Lactiplantibacillus pentosus whole-genome sequencing data to identify genomic regions specific to strain L33 through comparative analysis against a comprehensive set of reference genome assemblies representing multiple Lactiplantibacillus species. These regions were used for in silico PCR primer design and computational specificity assessment against non-target bacterial genomes, supporting discrimination of closely related strains. Conclusions: Erimin provides a structured computational approach for identifying strain-specific genomic regions from WGS data and for supporting the in silico design of PCR primers. This framework facilitates strain-level discrimination using targeted molecular assays. Full article
Show Figures

Graphical abstract

Back to TopTop