Prediction/Assessment of CO2 EOR and Storage Efficiency in Residual Oil Zones Using Machine Learning Techniques †
Abstract
1. Introduction
- Evaluate the CO2 injection as EOR and CCUS in ROZs in terms of Cumulative oil Production, Cumulative CO2 injection, and retained CO2 injection in each phase;
- Evaluate the sensitivity of the uncertainty of the reservoir rock properties (net pay thickness, permeability, vertical to horizontal permeability ratio, porosity, residual oil saturation to water flood, residual oil saturation flood, formation water salinity) and the operational parameters, including (producer BHP and gas injection rate);
- Develop a proxy predictive model to predict the performance of CO2-EOR-CCUS using machine learning techniques to provide rapid screening and evaluation of the injection performance.
2. Theory and Approach
2.1. Governing Equations
- Lateral boundaries: no-flow boundaries are imposed on the reservoir sides;
- Top boundary: an open boundary condition is applied to allow buoyant CO2 migration;
- Bottom boundary: Aquifer support is modeled to maintain reservoir pressure behavior;
- Well constraints: injectors are subject to a maximum bottomhole pressure (BHP) of 4000 psia (fracture limit), while producers are constrained by specified BHP values (250–1500 psia) as summarized in Table 1.
2.2. CO2 Trapping Mechanism
2.3. Solubility Trapping
2.4. Residual Trapping
2.5. Reservoir Simulation Model Setup
2.6. Minimum Miscible Pressure (MMP) Determination and Reservoir Fluid Characterization
2.7. Machine Learning Framework
2.8. Workflow for Generating the Dataset for the Machine Learning Model
3. Results and Discussion
3.1. Base Case Reservoir Simulation Results
3.2. Machine Learning Model
Dataset Description
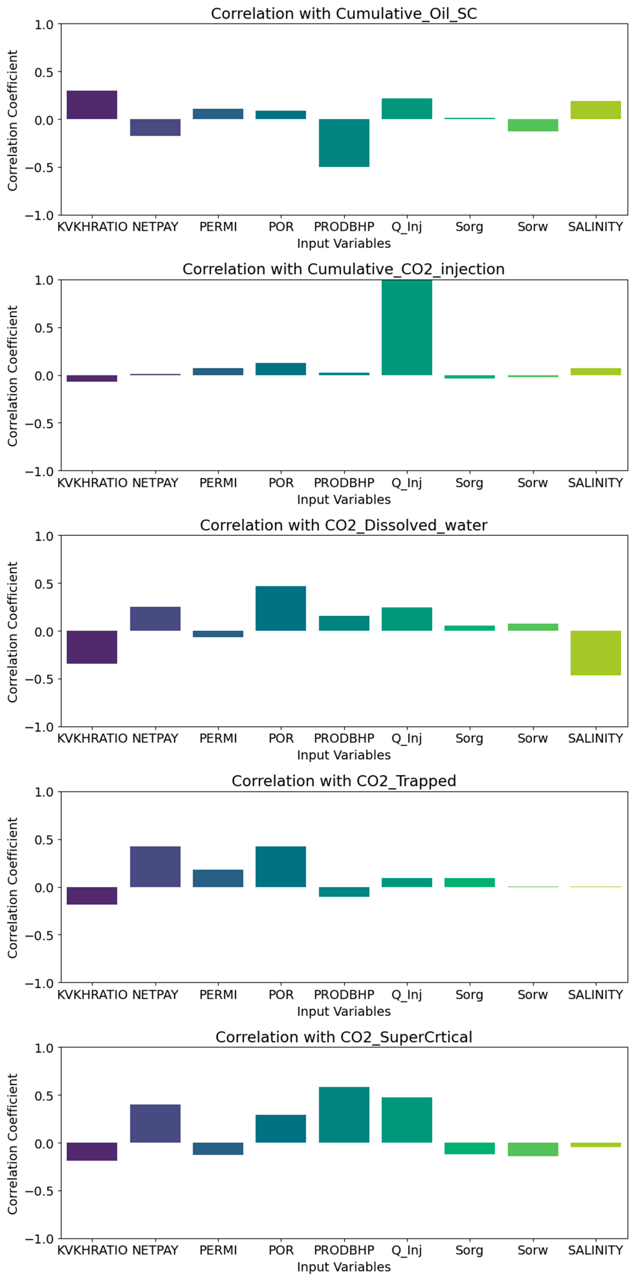
3.3. Summary of the Correlation Coefficient of the Dataset per Input Parameter
3.4. ANN Models Configuration
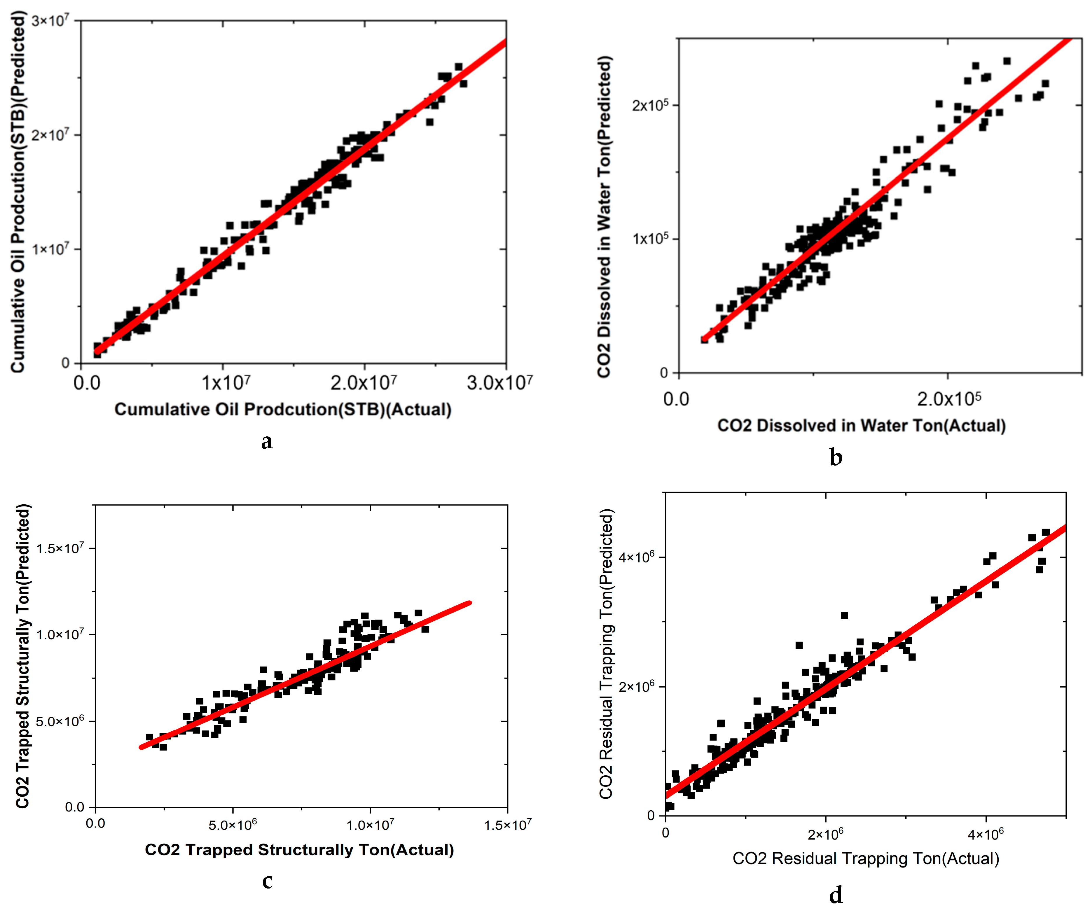
3.5. Developed Models Performance Evaluation
4. Summary and Conclusions
Author Contributions
Funding
Data Availability Statement
Acknowledgments
Conflicts of Interest
References
- Bachu, S. Identification of oil reservoirs suitable for CO2-EOR and CO2 storage (CCUS) using reserves databases, with application to Alberta, Canada. Int. J. Greenh. Gas Control 2016, 44, 152–165. [Google Scholar] [CrossRef]
- Li, Z.; Dong, M.; Li, S.; Huang, S. CO2 sequestration in depleted oil and gas reservoirs—Caprock characterization and storage capacity. Energy Convers. Manag. 2006, 47, 1372–1382. [Google Scholar] [CrossRef]
- Li, Q.; Li, Q.; Wang, F.; Xu, N.; Wang, Y.; Bai, B. Settling behavior and mechanism analysis of kaolinite as a fracture proppant of hydrocarbon reservoirs in CO2 fracturing fluid. Colloids Surf. A Physicochem. Eng. Asp. 2025, 724, 137463. [Google Scholar] [CrossRef]
- Li, Q.; Han, Y.; Liu, X.; Ansari, U.; Cheng, Y.; Yan, C. Hydrate as a by-product in CO2 leakage during the long-term sub-seabed sequestration and its role in preventing further leakage. Environ. Sci. Pollut. Res. Int. 2022, 29, 77737–77754. [Google Scholar] [CrossRef] [PubMed]
- Abdulwarith, A.; Ammar, M.; Dindoruk, B. Prediction/Assessment of CO2 EOR and Storage Efficiency in Residual Oil Zones Using Machine Learning Techniques. In Proceedings of the SPE/AAPG/SEG Carbon, Capture, Utilization, and Storage Conference and Exhibition, Houston, TX, USA, 11–13 March 2024. [Google Scholar]
- Hampton, D.W.; Wagia-Alla, A. Analytical Method for Forecasting ROZ Production in a Commingled MOC and ROZ CO2 Flood. In Proceedings of the SPE Improved Oil Recovery Conference, Online, 25–29 April 2022. [Google Scholar]
- Johns, R.T.; Dindoruk, B. Gas flooding. In Enhanced Oil Recovery Field Case Studies; Gulf Professional Publishing: Waltham, MA, USA; Kidlington, Oxford, UK, 2013; pp. 1–22. [Google Scholar]
- Manrique, E.; Thomas, C.; Ravikiran, R.; Izadi, M.; Lantz, M.; Romero, J.; Alvarado, V. EOR: Current status and opportunities. In Proceedings of the SPE Improved Oil Recovery Conference, Tulsa, OK, USA, 17–21 April 2004. SPE-130113. [Google Scholar]
- Cao, C.; Liu, H.; Hou, Z.; Mehmood, F.; Liao, J.; Feng, W. A review of CO2 storage in view of safety and cost-effectiveness. Energies 2020, 13, 600. [Google Scholar] [CrossRef]
- Ampomah, W.; Balch, R.S.; Grigg, R.B.; McPherson, B.; Will, R.A.; Lee, S.Y.; Pan, F. Co-optimization of CO2-EOR and storage processes in mature oil reservoirs. Greenh. Gases Sci. Technol. 2017, 7, 128–142. [Google Scholar] [CrossRef]
- Ettehadtavakkol, A.; Lake, L.W.; Bryant, S.L. CO2-EOR and storage design optimization. Int. J. Greenh. Gas Control 2014, 25, 79–92. [Google Scholar] [CrossRef]
- Liu, Y.; Rui, Z. A storage-driven CO2 EOR for a net-zero emission target. Engineering 2022, 18, 79–87. [Google Scholar] [CrossRef]
- Sanguinito, S.; Singh, H.; Myshakin, E.M.; Goodman, A.L.; Dilmore, R.M.; Grant, T.C.; Pawar, R. Methodology for estimating the prospective CO2 storage resource of residual oil zones at the national and regional scale. Int. J. Greenh. Gas Control 2020, 96, 103006. [Google Scholar] [CrossRef]
- Melzer, L.S. Stranded Oil in the Residual Oil Zone Prepared for Advanced Resources International and the US Department of Energy: Office of Fossil Energy Office of Oil and Natural Gas; Melzer Consulting: Midland, TX, USA, 2006; Volune 91. [Google Scholar]
- Chen, B.; Pawar, R.J. Characterization of CO2 storage and enhanced oil recovery in residual oil zones. Energy 2019, 183, 291–304. [Google Scholar] [CrossRef]
- Kuuskraa, V.A.; Petrusak, R.L.; Wallace, M. A Four-County Appraisal of the San Andres Residual Oil Zone (ROZ) ‘Fairway’ of the Permian Basin (No. DOE/NETL-2020/2627); National Energy Technology Laboratory (NETL): Pittsburgh, PA, USA, 2020.
- Ren, B.; Male, F.; Duncan, I.J. Economic analysis of CCUS: Accelerated development for CO2 EOR and storage in residual oil zones under the context of 45Q tax credit. Appl. Energy 2022, 321, 119393. [Google Scholar] [CrossRef]
- Ren, B.; Duncan, I. Modeling oil saturation evolution in residual oil zones: Implications for CO2 EOR and sequestration. J. Pet. Sci. Eng. 2019, 177, 528–539. [Google Scholar] [CrossRef]
- Kumar, D.; Bandyopadhyay, P. Pulser Model: Updated Framework and Lessons Learned from Applications in Forecasting CO2 Flood Performance. In Proceedings of the SPE Improved Oil Recovery Conference, Online, 31 August–4 September 2020; Society of Petroleum Engineers: Richardson, TX, USA; p. D031S046R002. [Google Scholar]
- He, J.; Xie, J.; Wen, X.H.; Chen, W. An alternative proxy for history matching using proxy-for-data approach and reduced order modeling. J. Pet. Sci. Eng. 2016, 146, 392–399. [Google Scholar] [CrossRef]
- Song, Y.; Sung, W.; Jang, Y.; Jung, W. Application of an artificial neural network in predicting the effectiveness of trapping mechanisms on CO2 sequestration in saline aquifers. Int. J. Greenh. Gas Control 2020, 98, 103042. [Google Scholar] [CrossRef]
- Stone, H.L. Probability model for estimating three-phase relative permeability. J. Pet. Technol. 1970, 22, 214–218. [Google Scholar] [CrossRef]
- Mosavat, N.; Torabi, F. Application of CO2-saturated water flooding as a prospective safe CO2 storage strategy. Energy Procedia 2014, 63, 5619–5630. [Google Scholar] [CrossRef]
- Harvey, A.H. Semiempirical Correlation for Henry’s Constants over Large Temperature Ranges. AIChE J. 1996, 42, 1491–1494. [Google Scholar] [CrossRef]
- Land, C.E. Calculation of Imbibition Relative Permeability for Two- and Three-Phase Flow from Rock Properties. SPEJ 1968, 8, 149–156. [Google Scholar] [CrossRef]
- Ampomah, W.; Balch, R.; Cather, M.; Rose-Coss, D.; Dai, Z.; Heath, J.; Dewers, T.; Mozley, P. Evaluation of CO2 Storage Mechanisms in CO2 Enhanced Oil Recovery Sites: Application to Morrow Sandstone Reservoir. Energy Fuels 2016, 30, 8545–8555. [Google Scholar] [CrossRef]
- Honarpour, M.M.; Nagarajan, N.R.; Grijalba, A.C.; Valle, M.; Adesoye, K. Rock-fluid characterization for miscible CO2 injection: Residual oil zone, Seminole Field, Permian Basin. In Proceedings of the SPE Annual Technical Conference and Exhibition, Florence, Italy, 19–22 September 2010. SPE-133089. [Google Scholar]
- Sinha, U.; Dindoruk, B.; Soliman, M. Prediction of CO2 Minimum Miscibility Pressure Using an Augmented Machine-Learning-Based Model. SPE J. 2021, 26, 1666–1678. [Google Scholar] [CrossRef]









| Parameter | Lower Bound | Upper Bound |
|---|---|---|
| Porosity | 0.05 | 0.3 |
| Permeability, md | 0.01 | 250 |
| Kv/Kh | 0.01 | 1 |
| Salinity, ppm | 50,000 | 250,000 |
| Residual oil saturation to water | 0.2 | 0.4 |
| Residual oil saturation to gas | 0.1 | 0.25 |
| CO2 injection rate, MMSCF/D | 5 | 20 |
| Producer BHP, Psia | 250 | 1500 |
| Net pay thickness, ft | 50 | 350 |
| Component | Composition (Mole %) |
|---|---|
| N2 | 0.04 |
| CO2 | 0.02 |
| H2S | 0 |
| CH4 | 20.10 |
| C2H6 | 9.07 |
| C3H8 | 6.95 |
| i-C4H10 | 0.04 |
| n-C4H10 | 3.90 |
| i-C5H12 | 0.04 |
| n-C5H12 | 2.49 |
| C6H14 | 2.69 |
| C7+ | 54.66 |
| MWC7+ | 261 |
| Parameter | Value |
|---|---|
| Thickness, ft | 200 |
| Permeability, md | 200 |
| Porosity | 0.25 |
| Producer BHP, Psia | 500 |
| KV/KH | 0.1 |
| Salinity, ppm | 200,000 |
| Residual oil saturation to water | 0.4 |
| Residual oil saturation to gas | 0.2 |
| CO2 injection rate, MMSCF/D | 20 |
| Model | Number of Hidden Layers | Number of Neurons |
|---|---|---|
| Cumulative Oil Production | 5 | 128 |
| CO2 Dissolved in Water | 5 | 64 |
| CO2 Trapped (Structural) | 3 | 15 |
| CO2 Residual Trapping | 3 | 10 |
Disclaimer/Publisher’s Note: The statements, opinions and data contained in all publications are solely those of the individual author(s) and contributor(s) and not of MDPI and/or the editor(s). MDPI and/or the editor(s) disclaim responsibility for any injury to people or property resulting from any ideas, methods, instructions or products referred to in the content. |
© 2025 by the authors. Licensee MDPI, Basel, Switzerland. This article is an open access article distributed under the terms and conditions of the Creative Commons Attribution (CC BY) license (https://creativecommons.org/licenses/by/4.0/).
Share and Cite
Abdulwarith, A.; Ammar, M.; Dindoruk, B. Prediction/Assessment of CO2 EOR and Storage Efficiency in Residual Oil Zones Using Machine Learning Techniques. Energies 2025, 18, 5498. https://doi.org/10.3390/en18205498
Abdulwarith A, Ammar M, Dindoruk B. Prediction/Assessment of CO2 EOR and Storage Efficiency in Residual Oil Zones Using Machine Learning Techniques. Energies. 2025; 18(20):5498. https://doi.org/10.3390/en18205498
Chicago/Turabian StyleAbdulwarith, Abdulrahman, Mohamed Ammar, and Birol Dindoruk. 2025. "Prediction/Assessment of CO2 EOR and Storage Efficiency in Residual Oil Zones Using Machine Learning Techniques" Energies 18, no. 20: 5498. https://doi.org/10.3390/en18205498
APA StyleAbdulwarith, A., Ammar, M., & Dindoruk, B. (2025). Prediction/Assessment of CO2 EOR and Storage Efficiency in Residual Oil Zones Using Machine Learning Techniques. Energies, 18(20), 5498. https://doi.org/10.3390/en18205498

