Sign in to use this feature.

Years

Between: -

Subjects

remove_circle_outline
remove_circle_outline
remove_circle_outline
remove_circle_outline
remove_circle_outline
remove_circle_outline

Journals

Article Types

Countries / Regions

Search Results (7)

Search Parameters:
Keywords = continuous piecewise linear differential systems

Order results
Result details
Results per page
Select all
Export citation of selected articles as:
16 pages, 1010 KB  
Article
Stability Analysis of Switched Linear Singular Systems with Unstable and Stable Modes
by Jiandong Xiong, Yidian Wang, Yanfang Huo and Hongpeng Zhao
Entropy 2023, 25(9), 1300; https://doi.org/10.3390/e25091300 - 5 Sep 2023
Cited by 1 | Viewed by 1625
Abstract
In this paper, stability is studied for a class of switched singular systems containing both stable and unstable modes. By introducing a time-varying piecewise Lyapunov function (TVPLF) and a mode-dependent average dwell time (ADT) switching rule, the computable sufficient conditions for system stability [...] Read more.
In this paper, stability is studied for a class of switched singular systems containing both stable and unstable modes. By introducing a time-varying piecewise Lyapunov function (TVPLF) and a mode-dependent average dwell time (ADT) switching rule, the computable sufficient conditions for system stability are derived. The time-varying piecewise Lyapunov functions are piecewise continuously differentiable on every mode (but may not be differentiable at the interpolating points of the dwell time). This Lyapunov function method is particularly advantageous in overcoming the limitations of traditional multiple Lyapunov function (MLF) methods, which may not have a feasible solution when dealing with switched systems containing only unstable modes. As such, the TVPLF offers greater flexibility in application. Compared with the conventional ADT switching rule, the mode-dependent ADT switching rule not only enables each mode to have its own ADT but also allows for its own switching strategy. Specifically, the stable mode adopts a slow switching strategy while the unstable mode adopts a fast one, thereby reducing the conservatism of the ADT switching rule. Furthermore, based on the stability analysis, the time-varying controllers are proposed to stabilize the switched singular system, which can be expressed as the sequential linear combination of a series of linear state feedback on each mode. The proposed controllers are continuous for each mode, which are different from the controllers designed through the traditional MLF and MDLF methods, where the controllers designed by traditional MLF are the time-invariant linear state feedback in each mode while the controllers designed by the MDLF are piecewise continuous for each mode. Full article
Show Figures

Figure 1

20 pages, 1731 KB  
Article
Comparative Study of Markov Chain Filtering Schemas for Stabilization of Stochastic Systems under Incomplete Information
by Alexey Bosov and Andrey Borisov
Mathematics 2022, 10(18), 3381; https://doi.org/10.3390/math10183381 - 17 Sep 2022
Cited by 1 | Viewed by 1718
Abstract
The object under investigation is a controllable linear stochastic differential system affected by some external statistically uncertain piecewise continuous disturbances. They are directly unobservable but assumed to be a continuous-time Markov chain. The problem is to stabilize the system output concerning a quadratic [...] Read more.
The object under investigation is a controllable linear stochastic differential system affected by some external statistically uncertain piecewise continuous disturbances. They are directly unobservable but assumed to be a continuous-time Markov chain. The problem is to stabilize the system output concerning a quadratic optimality criterion. As is known, the separation theorem holds for the system. The goal of the paper is performance analysis of various numerical schemes applied to the filtering of the external Markov input for system stabilization purposes. The paper briefly presents the theoretical solution to the considered problem of optimal stabilization for systems with the Markov jump external disturbances: the conditions providing the separation theorem, the equations of optimal control, and the ones defining the Wonham filter. It also contains a complex of the stable numerical approximations of the filter, designed for the time-discretized observations, along with their accuracy characteristics. The approximations of orders 12, 1, and 2 along with the classical Euler–Maruyama scheme are chosen for the comparison of the Wonham filter numerical realization. The filtering estimates are used in the practical stabilization of the various linear systems of the second order. The numerical experiments confirm the significant influence of the filtering precision on the stabilization performance and superiority of the proposed stable schemes of numerical filtering. Full article
(This article belongs to the Special Issue Mathematical Modeling, Optimization and Machine Learning)
Show Figures

Figure 1

10 pages, 294 KB  
Article
Limit Cycles of Planar Piecewise Differential Systems with Linear Hamiltonian Saddles
by Jaume Llibre and Claudia Valls
Symmetry 2021, 13(7), 1128; https://doi.org/10.3390/sym13071128 - 24 Jun 2021
Cited by 14 | Viewed by 2504
Abstract
We provide the maximum number of limit cycles for continuous and discontinuous planar piecewise differential systems formed by linear Hamiltonian saddles and separated either by one or two parallel straight lines. We show that when these piecewise differential systems are either continuous or [...] Read more.
We provide the maximum number of limit cycles for continuous and discontinuous planar piecewise differential systems formed by linear Hamiltonian saddles and separated either by one or two parallel straight lines. We show that when these piecewise differential systems are either continuous or discontinuous and are separated by one straight line, or are continuous and are separated by two parallel straight lines, they do not have limit cycles. On the other hand, when these systems are discontinuous and separated by two parallel straight lines, we prove that the maximum number of limit cycles that they can have is one and that this maximum is reached by providing an example of such a system with one limit cycle. When the line of discontinuity of the piecewise differential system is formed by one straight line, the symmetry of the problem allows to take this straight line without loss of generality as the line x=0. Similarly, when the line of discontinuity of the piecewise differential system is formed by two parallel straight lines due to the symmetry of the problem, we can assume without loss of generality that these two straight lines are x=±1. Full article
(This article belongs to the Special Issue Qualitative Theory and Symmetries of Ordinary Differential Equations)
Show Figures

Figure 1

19 pages, 6094 KB  
Article
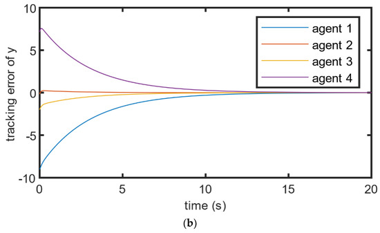
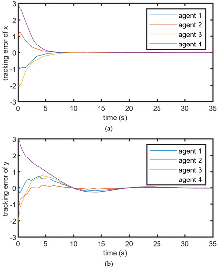
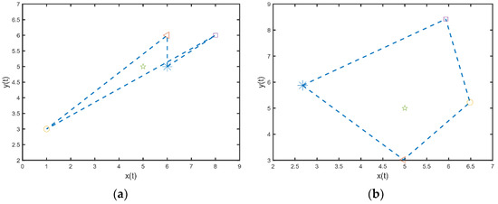
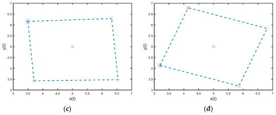
Distributed Adaptive Formation Tracking Control under Fixed and Switching Topologies: Application on General Linear Multi-Agent Systems
by Tianhao Sun, Huiying Liu, Yongming Yao, Tianyu Li and Zhibo Cheng
Symmetry 2021, 13(6), 941; https://doi.org/10.3390/sym13060941 - 26 May 2021
Cited by 14 | Viewed by 2712
Abstract
In this paper, the time-varying formation tracking problem of the general linear multi-agent system is discussed. A distributed formation tracking protocol based on Riccati inequalities with adaptive coupling weights among the follower agents and the leader agent is designed for a leader-following multi-agent [...] Read more.
In this paper, the time-varying formation tracking problem of the general linear multi-agent system is discussed. A distributed formation tracking protocol based on Riccati inequalities with adaptive coupling weights among the follower agents and the leader agent is designed for a leader-following multi-agent system under fixed and switching topologies. The formation configuration involved in this paper is expressed as a bounded piecewise continuously differentiable vector function. The follower agents will achieve the desired formation tracking trajectory of the leader. In traditional static protocols, the coupling weights depend on the communication topology and is a constant. However, in this paper, the coupling weights are updated by the state errors among the neighboring agents. Moreover, the stability analysis of the MAS under switching topology is presented, and proves that the followers also could achieve pre-specified time-varying formation, if the communication graph is jointly connected. Two numerical simulations indicate the capabilities of the algorithms. Full article
(This article belongs to the Section Computer)
Show Figures

Figure 1

16 pages, 516 KB  
Article
Unpredictable Solutions of Linear Impulsive Systems
by Marat Akhmet, Madina Tleubergenova, Mehmet Onur Fen and Zakhira Nugayeva
Mathematics 2020, 8(10), 1798; https://doi.org/10.3390/math8101798 - 16 Oct 2020
Cited by 8 | Viewed by 3330
Abstract
We consider a new type of oscillations of discontinuous unpredictable solutions for linear impulsive nonhomogeneous systems. The models under investigation are with unpredictable perturbations. The definition of a piecewise continuous unpredictable function is provided. The moments of impulses constitute a newly determined unpredictable [...] Read more.
We consider a new type of oscillations of discontinuous unpredictable solutions for linear impulsive nonhomogeneous systems. The models under investigation are with unpredictable perturbations. The definition of a piecewise continuous unpredictable function is provided. The moments of impulses constitute a newly determined unpredictable discrete set. Theoretical results on the existence, uniqueness, and stability of discontinuous unpredictable solutions for linear impulsive differential equations are provided. We benefit from the B-topology in the space of discontinuous functions on the purpose of proving the presence of unpredictable solutions. For constructive definitions of unpredictable components in examples, randomly determined unpredictable sequences are newly utilized. Namely, the construction of a discontinuous unpredictable function is based on an unpredictable sequence determined by a discrete random process, and the set of discontinuity moments is realized by the logistic map. Examples with numerical simulations are presented to illustrate the theoretical results. Full article
(This article belongs to the Special Issue Nonlinear Dynamics)
Show Figures

Figure 1

18 pages, 357 KB  
Article
Asymptotic Stability of the Solutions of Neutral Linear Fractional System with Nonlinear Perturbation
by Andrey Zahariev and Hristo Kiskinov
Mathematics 2020, 8(3), 390; https://doi.org/10.3390/math8030390 - 10 Mar 2020
Cited by 9 | Viewed by 2350
Abstract
In this article existence and uniqueness of the solutions of the initial problem for neutral nonlinear differential system with incommensurate order fractional derivatives in Caputo sense and with piecewise continuous initial function is proved. A formula for integral presentation of the general solution [...] Read more.
In this article existence and uniqueness of the solutions of the initial problem for neutral nonlinear differential system with incommensurate order fractional derivatives in Caputo sense and with piecewise continuous initial function is proved. A formula for integral presentation of the general solution of a linear autonomous neutral system with several delays is established and used for the study of the stability properties of a neutral autonomous nonlinear perturbed linear fractional differential system. Natural sufficient conditions are found to ensure that from global asymptotic stability of the zero solution of the linear part of a nonlinearly perturbed system it follows global asymptotic stability of the zero solution of the whole nonlinearly perturbed system. Full article
(This article belongs to the Special Issue Stability Analysis of Fractional Systems)
21 pages, 6584 KB  
Article
Automatic Clearance Anomaly Detection for Transmission Line Corridors Utilizing UAV-Borne LIDAR Data
by Chi Chen, Bisheng Yang, Shuang Song, Xiangyang Peng and Ronggang Huang
Remote Sens. 2018, 10(4), 613; https://doi.org/10.3390/rs10040613 - 17 Apr 2018
Cited by 91 | Viewed by 10812
Abstract
Transmission line corridor (i.e., Right-of-Ways (ROW)) clearance management plays a critically important role in power line risk management and is an important task of the routine power line inspection of the grid company. The clearance anomaly detection measures the distance between the power [...] Read more.
Transmission line corridor (i.e., Right-of-Ways (ROW)) clearance management plays a critically important role in power line risk management and is an important task of the routine power line inspection of the grid company. The clearance anomaly detection measures the distance between the power lines and the surrounding non-power-facility objects in the corridor such as trees, and buildings, to judge whether the clearance is within the safe range. To find the clearance hazards efficiently and flexibly, this study thus proposed an automatic clearance anomaly detection method utilizing LiDAR point clouds collected by unmanned aerial vehicle (UAV). Firstly, the terrain points were filtered out using two-step adaptive terrain filter and the pylons were detected in the non-terrain points following a feature map method. After dividing the ROW point clouds into spans based on the pylon detection results, the power line point clouds were extracted according to their geometric distribution in local span point clouds slices, and were further segmented into clusters by applying conditional Euclidean clustering with linear feature constraints. Secondly, the power line point clouds segments were iteratively fitted with 3D catenary curve model that is represented by a horizontal line and a vertical catenary curve defined by a hyperbolic cosine function, resulting in a continuous mathematical model of the discretely sampled points of the power line. Finally, a piecewise clearance calculation method which converts the point-to-catenary curve distance measurements to minimal distance calculation based on differential geometry was used to calculate the distance between the power line and the non-power-facility objects in the ROW. The clearance measurements were compared with the standard safe threshold to find the clearance anomalies in the ROWs. Multiple LiDAR point clouds datasets collected by a large-scale UAV power line inspection system were used to validate the effectiveness and accuracy of the proposed method. The detected results were validated through qualitatively visual inspection, quantitatively manual measurements in raw point clouds and on-site field survey. The experiments show that the automatic clearance anomaly detection method proposed in this paper effectively detects the clearance hazards such as tree encroachment, and the clearance measurement accuracy is decimeter level for the LiDAR point clouds collected by our UAV inspection system. Full article
Show Figures

Figure 1

Back to TopTop