Sign in to use this feature.

Years

Between: -

Subjects

remove_circle_outline
remove_circle_outline
remove_circle_outline
remove_circle_outline
remove_circle_outline
remove_circle_outline
remove_circle_outline
remove_circle_outline

Journals

Article Types

Countries / Regions

Search Results (40)

Search Parameters:
Keywords = combined multiple factor degradation model

Order results
Result details
Results per page
Select all
Export citation of selected articles as:
28 pages, 11202 KB  
Article
Enhancing Streamflow Modeling in Data-Scarce Catchments with Similarity-Guided Source Selection and Transfer Learning
by Yuxuan Gao, Rupal Mandania, Jun Ma, Jack Chen and Wuyi Zhuang
Water 2025, 17(18), 2762; https://doi.org/10.3390/w17182762 - 18 Sep 2025
Viewed by 292
Abstract
Accurate streamflow modeling in data-scarce catchments remains a significant challenge due to the limited availability of historical records. Transfer Learning (TL), increasingly applied in hydrology, leverages knowledge from data-rich catchments (sources) to enhance predictions in data-scarce catchments (targets), providing new possibilities of hydrological [...] Read more.
Accurate streamflow modeling in data-scarce catchments remains a significant challenge due to the limited availability of historical records. Transfer Learning (TL), increasingly applied in hydrology, leverages knowledge from data-rich catchments (sources) to enhance predictions in data-scarce catchments (targets), providing new possibilities of hydrological predictions. Most existing TL approaches pre-train models on large-scale meteoro-hydrological datasets and show good generalizability across multiple target catchments. However, for a specific target catchment, it remains unclear which source catchments contribute most effectively to the accurate prediction. Including many irrelevant sources may even degrade model performance. In this study, we investigated how source catchment selection affects TL performance by employing similarity-guided strategies based on three key factors, i.e., spatial distance, physical attributes, and flow regime characteristics. Using the CAMELS-GB dataset, we conducted comparative experiments by pre-training the networks with different ranked groups of the source catchments and fine-tuning them on three target catchments representing distinct hydrological environments. The results showed that carefully selected small subsets (fewer than 40, or even as few as 10) of highly similar catchments can achieve comparable or better TL performance than using all 668 available source catchments. All three target catchments yielded better NSE results from source catchments with closer spatial proximity and more consistent flow regimes. The TL performance of physical attribute similarity-based selection varied depending on the attribute combinations, with those related to land cover, climate, and soil properties leading to superior performance. These findings highlight the importance of similarity-guided source selection in hydrological TL. In addition, they demonstrate ways to reduce computational costs while improving modeling accuracy in data-scarce regions. Full article
Show Figures

Figure 1

17 pages, 3777 KB  
Article
Heparanase-Neutralizing Monoclonal Antibody (mAb A54) Attenuates Tumor Growth and Metastasis
by Uri Barash, Malik Farhoud, Maali Odeh, Eliezer Huberman, Liang Wu and Israel Vlodavsky
Cells 2025, 14(17), 1379; https://doi.org/10.3390/cells14171379 - 4 Sep 2025
Viewed by 675
Abstract
Heparanase is the only human enzyme responsible for heparan sulfate (HS) breakdown, an activity that remodels the extracellular matrix (ECM) and strongly drives cancer metastasis and angiogenesis. Compelling evidence implies that heparanase promotes essentially all aspects of the tumorigenic process, namely, tumor initiation, [...] Read more.
Heparanase is the only human enzyme responsible for heparan sulfate (HS) breakdown, an activity that remodels the extracellular matrix (ECM) and strongly drives cancer metastasis and angiogenesis. Compelling evidence implies that heparanase promotes essentially all aspects of the tumorigenic process, namely, tumor initiation, vascularization, growth, metastasis, and chemoresistance. A key mechanism by which heparanase accelerates cancer progression is by enabling the release and bioavailability of HS-bound growth factors, chemokines, and cytokines, residing in the tumor microenvironment and supporting tumor growth and metastasis. The currently available heparanase inhibitors are mostly HS/heparin-like compounds that lack specificity and exert multiple off-target side effects. To date, only four such compounds have progressed to clinical trials, and none have been approved for clinical use. We have generated and characterized an anti-heparanase monoclonal antibody (A54 mAb) that specifically inhibits heparanase enzymatic activity (ECM degradation assay) and cellular uptake. Importantly, A54 mAb attenuates xenograft tumor growth and metastasis (myeloma, glioma, pancreatic, and breast carcinomas) primarily when administered (syngeneic or immunocompromised mice) in combination with conventional anti-cancer drugs. Co-crystallization of the A54 Fab fragment and the heparanase enzyme revealed that the interaction between the two proteins takes place adjacent to the enzyme HS/heparin binding domain II (HBDII; Pro271-Ala276), likely hindering heparanase from interacting with HS substrates via steric occlusion of the active site cleft. Collectively, we have generated and characterized a novel mAb that specifically neutralizes heparanase enzymatic activity and attenuates its pro-tumorigenic effects in preclinical models, paving the way for its clinical examination against cancer, inflammation, and other diseases. Full article
Show Figures

Figure 1

18 pages, 4067 KB  
Article
Oxidative Degradation of Anthocyanins in Red Wine: Kinetic Characterization Under Accelerated Aging Conditions
by Khulood Fahad Saud Alabbosh, Violeta Jevtovic, Jelena Mitić, Zoran Pržić, Vesna Stankov Jovanović, Reem Ali Alyami, Maha Raghyan Alshammari, Badriah Alshammari and Milan Mitić
Processes 2025, 13(7), 2245; https://doi.org/10.3390/pr13072245 - 14 Jul 2025
Viewed by 726
Abstract
The oxidative degradation of anthocyanins in red wine was investigated under controlled conditions using hydroxyl radicals generated in the presence of Cu (II) as a catalyst. A full factorial experimental design with 23 replicates was used to evaluate the effects of hydrogen peroxide [...] Read more.
The oxidative degradation of anthocyanins in red wine was investigated under controlled conditions using hydroxyl radicals generated in the presence of Cu (II) as a catalyst. A full factorial experimental design with 23 replicates was used to evaluate the effects of hydrogen peroxide concentration, catalyst dosage, and reaction temperature on anthocyanin degradation over a fixed time. Statistical analysis (ANOVA and multiple regression) showed that all three variables and the main interactions significantly affected anthocyanin loss, with temperature identified as the most influential factor. The combined effects were described by a first-order polynomial model. The activation energies for degradation ranged from 56.62 kJ/mol (cyanidin-3-O-glucoside) to 40.58 kJ/mol (peonidin-3-O-glucoside acetate). Increasing the temperature from 30 °C to 40 °C accelerated the degradation kinetics, almost doubled the rate constants and shortened the half-life of the pigments. At 40 °C, the half-lives ranged from 62.3 min to 154.0 min, depending on the anthocyanin structure. These results contribute to a deeper understanding of the stability of anthocyanins in red wine under oxidative stress and provide insights into the chemical behavior of derived pigments. The results are of practical importance for both oenology and viticulture and support efforts to improve the color stability of wine and extend the shelf life of grape-based products. Full article
(This article belongs to the Special Issue Processes in Agri-Food Technology)
Show Figures

Figure 1

19 pages, 24394 KB  
Article
TFCNet: A Hybrid Architecture for Multi-Task Restoration of Complex Underwater Optical Images
by Shengya Zhao, Xiufen Ye, Xinkui Mei, Shuxiang Guo and Haibin Qi
J. Mar. Sci. Eng. 2025, 13(6), 1090; https://doi.org/10.3390/jmse13061090 - 29 May 2025
Viewed by 593
Abstract
Underwater optical images are crucial in marine exploration. However, capturing these images directly often results in color distortion, noise, blurring, and other undesirable effects, all of which originate from the unique physical and chemical properties of underwater environments. Hence, various factors need to [...] Read more.
Underwater optical images are crucial in marine exploration. However, capturing these images directly often results in color distortion, noise, blurring, and other undesirable effects, all of which originate from the unique physical and chemical properties of underwater environments. Hence, various factors need to be comprehensively considered when processing underwater optical images that are severely degraded under complex lighting conditions. Most existing methods resolve one issue at a time, making it challenging for these isolated techniques to maintain consistency when addressing multiple degradation factors simultaneously, often leading to unsatisfactory visual outcomes. Motivated by the global modeling capability of the Transformer, this paper introduces TFCNet, a complex hybrid-architecture network designed for underwater optical image enhancement and restoration. TFCNet combines the benefits of the Transformer in capturing long-range dependencies with the local feature extraction potential of convolutional neural networks, resulting in enhanced restoration results. Compared with baseline methods, the proposed approach demonstrated consistent improvements, where it achieved minimum gains of 0.3 dB in the PSNR and 0.01 in the SSIM and a 0.8 reduction in the RMSE. TFCNet exhibited a commendable performance in complex underwater optical image enhancement and restoration tasks by effectively rectifying color distortion, eliminating marine snow noise to a certain degree, and restoring blur. Full article
(This article belongs to the Special Issue Advancements in Deep-Sea Equipment and Technology, 3rd Edition)
Show Figures

Figure 1

18 pages, 8987 KB  
Article
Risk-Targets Identification and Source Apportionment Associated with Heavy Metals for Different Agricultural Soils in Sunan Economic Region, China
by Dawei Hou, Hu Xie and Lixiao Yang
Land 2025, 14(5), 1058; https://doi.org/10.3390/land14051058 - 13 May 2025
Viewed by 726
Abstract
Rapid socio-economic transition is often accompanied by intensive anthropogenic activities, leading to a significant build-up of heavy metals within farmland soils. However, this unwanted outcome may not be fully uniform but exhibit spatial variability, particularly involving different land uses. Based on 1839 topsoil [...] Read more.
Rapid socio-economic transition is often accompanied by intensive anthropogenic activities, leading to a significant build-up of heavy metals within farmland soils. However, this unwanted outcome may not be fully uniform but exhibit spatial variability, particularly involving different land uses. Based on 1839 topsoil samples from China’s Sunan Economic Region, this study estimated the contamination profiles and associated ecological risks posed by five heavy metals (As, Cd, Cr, Pb, and Hg) across cash-crop and cereal-crop soils. Further, we applied a combination of geostatistics and positive matrix factorization (PMF) model to identify the targeted zones, priority pollutants, and their underlying sources to pave the way for formulating detailed and fine-scale risk-mitigation strategies. Our results revealed that heavy metal pollution in Sunan displayed significant spatial variability, predominantly influenced by localized Hg and Cd accumulation, with more severe contamination observed in cash-crop soils compared to cereal-crop soils. The 232,532 ha of agricultural land could be designated as the targeted zones in which excessive Hg and Cd accumulation can be identified as the priority pollutants contributing to potential ecological risk. PMF modeling also suggested that within targeted zones, Cd accumulation was predominantly driven by intensive agrochemical application, whereas multiple sources simultaneously determined Hg accumulation. Our findings offer valuable guidance for optimizing land management strategies aimed at mitigating agricultural soil degradation driven by intensive anthropogenic activities. In addition, the integrated approach highlighted the crucial values in aspects to spatially identify risk-targeted zones and priority pollutants. Full article
Show Figures

Figure 1

23 pages, 9081 KB  
Article
Research on Hyperspectral Inversion of Soil Organic Carbon in Agricultural Fields of the Southern Shaanxi Mountain Area
by Yunhao Han, Bin Wang, Jingyi Yang, Fang Yin and Linsen He
Remote Sens. 2025, 17(4), 600; https://doi.org/10.3390/rs17040600 - 10 Feb 2025
Cited by 1 | Viewed by 993
Abstract
Rapidly obtaining information on the content and spatial distribution of soil organic carbon (SOC) in farmland is crucial for evaluating regional soil quality, land degradation, and crop yield. This study focuses on mountain soils in various crop cultivation areas in Shangzhou District, Shangluo [...] Read more.
Rapidly obtaining information on the content and spatial distribution of soil organic carbon (SOC) in farmland is crucial for evaluating regional soil quality, land degradation, and crop yield. This study focuses on mountain soils in various crop cultivation areas in Shangzhou District, Shangluo City, Southern Shaanxi, utilizing ZY1-02D hyperspectral satellite imagery, field-measured hyperspectral data, and field sampling data to achieve precise inversion and spatial mapping of the SOC content. First, to address spectral bias caused by environmental factors, the Spectral Space Transformation (SST) algorithm was employed to establish a transfer relationship between measured and satellite image spectra, enabling systematic correction of the image spectra. Subsequently, multiple spectral transformation methods, including continuous wavelet transform (CWT), reciprocal, first-order derivative, second-order derivative, and continuum removal, were applied to the corrected spectral data to enhance their spectral response characteristics. For feature band selection, three methods were utilized: Variable Importance Projection (VIP), Competitive Adaptive Reweighted Sampling (CARS), and Stepwise Projection Algorithm (SPA). SOC content prediction was conducted using three models: partial least squares regression (PLSR), stepwise multiple linear regression (Step-MLR), and random forest (RF). Finally, leave-one-out cross-validation was employed to optimize the L4-CARS-RF model, which was selected for SOC spatial distribution mapping. The model achieved a coefficient of determination (R2) of 0.81, a root mean square error of prediction (RMSEP) of 1.54 g kg−1, and a mean absolute error (MAE) of 1.37 g kg−1. The results indicate that (1) the Spectral Space Transformation (SST) algorithm effectively eliminates environmental interference on image spectra, enhancing SOC prediction accuracy; (2) continuous wavelet transform significantly reduces data noise compared to other spectral processing methods, further improving SOC prediction accuracy; and (3) among feature band selection methods, the CARS algorithm demonstrated the best performance, achieving the highest SOC prediction accuracy when combined with the random forest model. These findings provide scientific methods and technical support for SOC monitoring and management in mountainous areas and offer valuable insights for assessing the long-term impacts of different crops on soil ecosystems. Full article
Show Figures

Graphical abstract

20 pages, 27858 KB  
Article
An Optimized GWO-BPNN Model for Predicting Corrosion Fatigue Performance of Stay Cables in Coastal Environments
by Liping Zhou and Guowen Yao
J. Mar. Sci. Eng. 2024, 12(12), 2308; https://doi.org/10.3390/jmse12122308 - 15 Dec 2024
Cited by 1 | Viewed by 1077
Abstract
Corrosion and fatigue damage of high-strength steel wires in cable-stayed bridges in coastal environments can seriously affect the reliability of bridges. Previous studies have focused on isolated factors such as corrosion rates or stress ratios, failing to capture the complex interactions between multiple [...] Read more.
Corrosion and fatigue damage of high-strength steel wires in cable-stayed bridges in coastal environments can seriously affect the reliability of bridges. Previous studies have focused on isolated factors such as corrosion rates or stress ratios, failing to capture the complex interactions between multiple variables. In response to the critical need for accurate fatigue life prediction of high-strength steel wires under corrosive conditions, this study proposes an innovative prediction model that combines Grey Wolf Optimization (GWO) with a Backpropagation Neural Network (BPNN). The optimized GWO-BPNN model significantly enhances prediction accuracy, stability, generalization, and convergence speed. By leveraging GWO for efficient hyperparameter optimization, the model effectively reduces overfitting and strengthens robustness under varying conditions. The test results demonstrate the model’s high performance, achieving an R2 value of 0.95 and an RMSE of 140.45 on the test set, underscoring its predictive reliability and practical applicability. The GWO-BPNN model excels in capturing complex, non-linear dependencies within fatigue data, outperforming conventional prediction methods. Sensitivity analysis identifies stress range, average stress, and mass loss as primary determinants of fatigue life, highlighting the dominant influence of corrosion and stress factors on structural degradation. These results confirm the model’s interpretability and practical utility in pinpointing key factors that impact fatigue life. Overall, this study establishes the GWO-BPNN model as a highly accurate and adaptable tool, offering substantial support for advancing predictive maintenance strategies and enhancing material resilience in corrosive environments. Full article
(This article belongs to the Special Issue Structural Analysis and Failure Prevention in Offshore Engineering)
Show Figures

Figure 1

21 pages, 7158 KB  
Article
Reliability Evaluation of LED Lamp Beads Considering Multi-Stage Wiener Degradation Process Under Generalized Coupled Accelerated Stress
by Yinglong Dong, Zhen Zhou, He Dai and Kaixin Liu
Electronics 2024, 13(23), 4724; https://doi.org/10.3390/electronics13234724 - 29 Nov 2024
Cited by 1 | Viewed by 1036
Abstract
LED lamp beads (hereinafter referred to as LEDs) are complex electronic components, and their degradation process shows multi-stage characteristics. Ignoring the effects of multi-stage degradation and stress coupling will lead to a higher theoretical lifespan. In this paper, a Wiener process model based [...] Read more.
LED lamp beads (hereinafter referred to as LEDs) are complex electronic components, and their degradation process shows multi-stage characteristics. Ignoring the effects of multi-stage degradation and stress coupling will lead to a higher theoretical lifespan. In this paper, a Wiener process model based on generalized coupling is proposed for the staged degradation of LEDs. This paper first conducts accelerated degradation tests on LEDs under different temperature, humidity, and current stress combinations to obtain three index parameters of LEDs. Light output performance (LOP) is selected as the degradation characteristic quantity, and the Shapiro–Wilk test is used to determine whether the parameters conform to the normal distribution. Then, the unknown parameters of the multi-stage Wiener process are estimated and a generalized coupling model is established using the unknown parameters and accelerated degradation test data. Finally, the LED life under standard stress is extrapolated based on the multiple stress acceleration factors. The analysis of LED reliability experimental data shows that the proposed method can realize reliability assessment and has higher lifetime prediction accuracy compared with the multi-stage model without considering stress coupling. Full article
Show Figures

Figure 1

20 pages, 639 KB  
Review
Navigating the Complexity of Resistance in Lung Cancer Therapy: Mechanisms, Organoid Models, and Strategies for Overcoming Treatment Failure
by Da Hyun Kang, Jisoo Lee, Subin Im and Chaeuk Chung
Cancers 2024, 16(23), 3996; https://doi.org/10.3390/cancers16233996 - 28 Nov 2024
Cited by 5 | Viewed by 2948
Abstract
Background: The persistence of chemotherapy-resistant and dormant cancer cells remains a critical challenge in the treatment of lung cancer. Objectives: This review focuses on non-small cell lung cancer and small cell lung cancer, examining the complex mechanisms that drive treatment resistance. Methods [...] Read more.
Background: The persistence of chemotherapy-resistant and dormant cancer cells remains a critical challenge in the treatment of lung cancer. Objectives: This review focuses on non-small cell lung cancer and small cell lung cancer, examining the complex mechanisms that drive treatment resistance. Methods: This review analyzed current studies on chemotherapy resistance in NSCLC and SCLC, focusing on tumor microenvironment, genetic mutations, cancer cell heterogeneity, and emerging therapies. Results: Conventional chemotherapy and targeted therapies, such as tyrosine kinase inhibitors, often fail due to factors including the tumor microenvironment, genetic mutations, and cancer cell heterogeneity. Dormant cancer cells, which can remain undetected in a quiescent state for extended periods, pose a significant risk of recurrence upon reactivation. These cells, along with intrinsic resistance mechanisms, greatly complicate treatment efforts. Understanding these pathways is crucial for the development of more effective therapies. Emerging strategies, including combination therapies that target multiple pathways, are under investigation to improve treatment outcomes. Innovative approaches, such as antibody–drug conjugates and targeted protein degradation, offer promising solutions by directly delivering cytotoxic agents to cancer cells or degrading proteins that are essential for cancer survival. The lung cancer organoid model shows substantial promise to advance both research and clinical applications in this field, enhancing the ability to study resistance mechanisms and develop personalized treatments. The integration of current research underscores the need for continuous innovation in treatment modalities. Conclusions: Personalized strategies that combine novel therapies with an in-depth understanding of tumor biology are essential to overcome the challenges posed by treatment-resistant and dormant cancer cells in lung cancer. A multifaceted approach has the potential to significantly improve patient outcomes. Full article
(This article belongs to the Special Issue 2nd Edition: Imaging and Therapy in Lung Cancer and Mesothelioma)
Show Figures

Figure 1

35 pages, 9451 KB  
Article
Ultimate Compression: Joint Method of Quantization and Tensor Decomposition for Compact Models on the Edge
by Mohammed Alnemari and Nader Bagherzadeh
Appl. Sci. 2024, 14(20), 9354; https://doi.org/10.3390/app14209354 - 14 Oct 2024
Viewed by 2486
Abstract
This paper proposes the “ultimate compression” method as a solution to the expansive computation and high storage costs required by state-of-the-art neural network models in inference. Our approach uniquely combines tensor decomposition techniques with binary neural networks to create efficient deep neural network [...] Read more.
This paper proposes the “ultimate compression” method as a solution to the expansive computation and high storage costs required by state-of-the-art neural network models in inference. Our approach uniquely combines tensor decomposition techniques with binary neural networks to create efficient deep neural network models optimized for edge inference. The process includes training floating-point models, applying tensor decomposition algorithms, binarizing the decomposed layers, and fine tuning the resulting models. We evaluated our approach in various state-of-the-art deep neural network architectures on multiple datasets, such as MNIST, CIFAR-10, CIFAR-100, and ImageNet. Our results demonstrate compression ratios of up to 169×, with only a small degradation in accuracy (1–2%) compared to binary models. We employed different optimizers for training and fine tuning, including Adam and AdamW, and used norm grad clipping to address the exploding gradient problem in decomposed binary models. A key contribution of this work is a novel layer sensitivity-based rank selection algorithm for tensor decomposition, which outperforms existing methods such as random selection and Variational Bayes Matrix Factorization (VBMF). We conducted comprehensive experiments using six different models and present a case study on crowd-counting applications, demonstrating the practical applicability of our method. The ultimate compression method outperforms binary neural networks and tensor decomposition when applied individually in terms of storage and computation costs. This positions it as one of the most effective options for deploying compact and efficient models in edge devices with limited computational resources and energy constraints. Full article
Show Figures

Figure 1

18 pages, 2376 KB  
Article
Markov-Modulated Poisson Process Modeling for Machine-to-Machine Heterogeneous Traffic
by Ahmad Hani El Fawal, Ali Mansour and Abbass Nasser
Appl. Sci. 2024, 14(18), 8561; https://doi.org/10.3390/app14188561 - 23 Sep 2024
Cited by 1 | Viewed by 2618
Abstract
Theoretical mathematics is a key evolution factor of artificial intelligence (AI). Nowadays, representing a smart system as a mathematical model helps to analyze any system under development and supports different case studies found in real life. Additionally, the Markov chain has shown itself [...] Read more.
Theoretical mathematics is a key evolution factor of artificial intelligence (AI). Nowadays, representing a smart system as a mathematical model helps to analyze any system under development and supports different case studies found in real life. Additionally, the Markov chain has shown itself to be an invaluable tool for decision-making systems, natural language processing, and predictive modeling. In an Internet of Things (IoT), Machine-to-Machine (M2M) traffic necessitates new traffic models due to its unique pattern and different goals. In this context, we have two types of modeling: (1) source traffic modeling, used to design stochastic processes so that they match the behavior of physical quantities of measured data traffic (e.g., video, data, voice), and (2) aggregated traffic modeling, which refers to the process of combining multiple small packets into a single packet in order to reduce the header overhead in the network. In IoT studies, balancing the accuracy of the model while managing a large number of M2M devices is a heavy challenge for academia. One the one hand, source traffic models are more competitive than aggregated traffic models because of their dependability. However, their complexity is expected to make managing the exponential growth of M2M devices difficult. In this paper, we propose to use a Markov-Modulated Poisson Process (MMPP) framework to explore Human-to-Human (H2H) traffic and M2M heterogeneous traffic effects. As a tool for stochastic processes, we employ Markov chains to characterize the coexistence of H2H and M2M traffic. Using the traditional evolved Node B (eNodeB), our simulation results show that the network’s service completion rate will suffer significantly. In the worst-case scenario, when an accumulative storm of M2M requests attempts to access the network simultaneously, the degradation reaches 8% as a completion task rate. However, using our “Coexistence of Heterogeneous traffic Analyzer and Network Architecture for Long term evolution” (CHANAL) solution, we can achieve a service completion rate of 96%. Full article
Show Figures

Figure 1

28 pages, 4703 KB  
Article
Modeling the Impact of Urban and Industrial Pollution on the Quality of Surface Water in Intermittent Rivers in a Semi-Arid Mediterranean Climate
by Abdelillah Bouriqi, Naaila Ouazzani and Jean-François Deliege
Hydrology 2024, 11(9), 150; https://doi.org/10.3390/hydrology11090150 - 11 Sep 2024
Cited by 3 | Viewed by 1969
Abstract
Ensuring the protection of the aquatic environment and addressing the water scarcity and degradation of water quality in the Mediterranean region pose significant challenges. This study specifically aims to assess the impact of urban and industrial pollution on the ZAT River water quality. [...] Read more.
Ensuring the protection of the aquatic environment and addressing the water scarcity and degradation of water quality in the Mediterranean region pose significant challenges. This study specifically aims to assess the impact of urban and industrial pollution on the ZAT River water quality. The study exploits a combination of field measurements and mathematical simulations using the PEGASE model. The objective is to evaluate how water quality changes throughout the different seasons and to determine whether olive oil factories discharge industrial wastewater into the river. The study reveals that the river water quality remains relatively stable along its course, up to km 64 in winter and km 71.77 in summer, where poor water quality is recorded. This degradation can be attributed to multiple factors. One of these factors is the discharge of industrial wastewater, which accounts for 47% of the COD pollution load. This industrial wastewater is released into the river without treatment during the production period (January–February) and inactivity period (March–May). The combined impact of urban and industrial wastewater is also associated with the decrease in water flow resulting from water withdrawals due to irrigation canals and groundwater recharge, which both contribute to the observed changes in river water quality. Importantly, field measurements combined with results obtained from the calibrated model provide compelling evidence of unauthorized wastewater discharges from the olive oil factories into the river. These results emphasize the need for stricter regulation, such as developing water quality monitoring strategies based on the use of modeling methodologies. They also emphasize the importance of improving wastewater management practices, such as setting up treatment plants for different sources of pollution or developing a co-treatment plant to mitigate the adverse impact of industrial pollution on river water quality. Full article
Show Figures

Figure 1

22 pages, 4968 KB  
Article
Optimizing the Mulching Pattern and Nitrogen Application Rate to Improve Maize Photosynthetic Capacity, Yield, and Nitrogen Fertilizer Utilization Efficiency
by Hengjia Zhang, Tao Chen, Shouchao Yu, Chenli Zhou, Anguo Teng, Lian Lei and Fuqiang Li
Plants 2024, 13(9), 1241; https://doi.org/10.3390/plants13091241 - 30 Apr 2024
Cited by 5 | Viewed by 2032
Abstract
Residual film pollution and excessive nitrogen fertilizer have become limiting factors for agricultural development. To investigate the feasibility of replacing conventional plastic film with biodegradable plastic film in cold and arid environments under nitrogen application conditions, field experiments were conducted from 2021 to [...] Read more.
Residual film pollution and excessive nitrogen fertilizer have become limiting factors for agricultural development. To investigate the feasibility of replacing conventional plastic film with biodegradable plastic film in cold and arid environments under nitrogen application conditions, field experiments were conducted from 2021 to 2022 with plastic film covering (including degradable plastic film (D) and ordinary plastic film (P)) combined with nitrogen fertilizer 0 (N0), 160 (N1), 320 (N2), and 480 (N3) kg·ha−1. The results showed no significant difference (p > 0.05) in dry matter accumulation, photosynthetic gas exchange parameters, soil enzyme activity, or yield of spring maize under degradable plastic film cover compared to ordinary plastic film cover. Nitrogen fertilizer is the main factor limiting the growth of spring maize. The above-ground and root biomass showed a trend of increasing and then decreasing with the increase in nitrogen application level. Increasing nitrogen fertilizer can also improve the photosynthetic gas exchange parameters of leaves, maintain soil enzyme activity, and reduce soil pH. Under the nitrogen application level of N2, the yield of degradable plastic film and ordinary plastic film coverage increased by 3.74~42.50% and 2.05~40.02%, respectively. At the same time, it can also improve water use efficiency and irrigation water use efficiency, but it will reduce nitrogen fertilizer partial productivity and nitrogen fertilizer agronomic use efficiency. Using multiple indicators to evaluate the effect of plastic film mulching combined with nitrogen fertilizer on the comprehensive growth of spring maize, it was found that the DN2 treatment had the best complete growth of maize, which was the best model for achieving stable yield and income increase and green development of spring maize in cold and cool irrigation areas. Full article
(This article belongs to the Special Issue The Application of Spectral Techniques in Agriculture and Forestry)
Show Figures

Figure 1

26 pages, 40081 KB  
Article
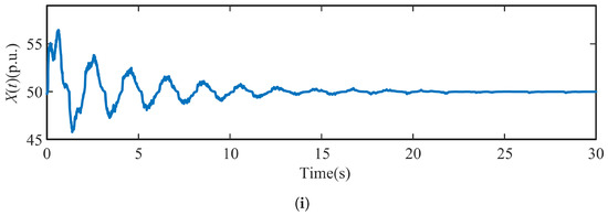
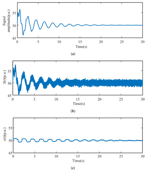
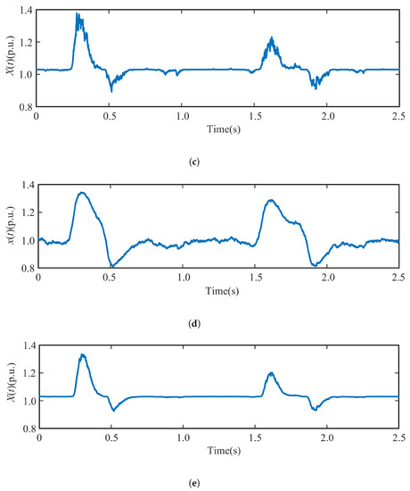
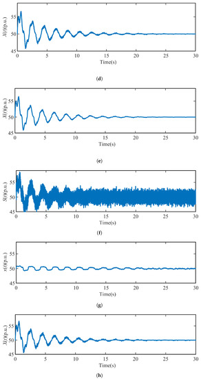
Detection of Weak Fault Signals in Power Grids Based on Single-Trap Resonance and Dissipative Chaotic Systems
by Shuqin Sun, Xin Qi, Zhenghai Yuan, Xiaojun Tang and Zaihua Li
Electronics 2023, 12(18), 3896; https://doi.org/10.3390/electronics12183896 - 15 Sep 2023
Cited by 3 | Viewed by 1232
Abstract
Aiming to solve the problem that the performance of classical time–frequency domain signal detection methods is severely degraded in highly noisy environments, a single-trap approximate model of the stochastic resonance of bistable systems is studied in this paper. This method improves the defects [...] Read more.
Aiming to solve the problem that the performance of classical time–frequency domain signal detection methods is severely degraded in highly noisy environments, a single-trap approximate model of the stochastic resonance of bistable systems is studied in this paper. This method improves the defects of the classical bistable stochastic resonance model that cause it to be inapplicable during non-periodic signal detection. Combining this method with the particle swarm optimization algorithm based on an attenuation factor and cross-correlation detection technology, detection experiments determining the impulse voltage fluctuation signals, motor speed fluctuation signals and low-frequency oscillation signals of a power system are conducted. The results show that the single-trap resonance model has good phase matching performance and noise cancellation abilities. Furthermore, combining it with two kinds of dissipative chaotic systems, a comprehensive frequency and amplitude detection experiment was carried out for multiple harmonic aliasing signals. The results show that the single-trap resonance model can achieve error-free detection of each harmonic frequency and high-precision detection of each harmonic amplitude in highly noisy environments. The research results will provide new ideas for the detection of various types of weak fault signals in power systems. Full article
Show Figures

Figure 1

24 pages, 7198 KB  
Article
Driving Force Analysis of Natural Wetland in Northeast Plain Based on SSA-XGBoost Model
by Hanlin Liu, Nan Lin, Honghong Zhang, Yongji Liu, Chenzhao Bai, Duo Sun and Jiali Feng
Sensors 2023, 23(17), 7513; https://doi.org/10.3390/s23177513 - 29 Aug 2023
Cited by 9 | Viewed by 2024
Abstract
Globally, natural wetlands have suffered severe ecological degradation (vegetation, soil, and biotic community) due to multiple factors. Understanding the spatiotemporal dynamics and driving forces of natural wetlands is the key to natural wetlands’ protection and regional restoration. In this study, we first investigated [...] Read more.
Globally, natural wetlands have suffered severe ecological degradation (vegetation, soil, and biotic community) due to multiple factors. Understanding the spatiotemporal dynamics and driving forces of natural wetlands is the key to natural wetlands’ protection and regional restoration. In this study, we first investigated the spatiotemporal evolutionary trends and shifting characteristics of natural wetlands in the Northeast Plain of China from 1990 to 2020. A dataset of driving-force evaluation indicators was constructed with nine indirect (elevation, temperature, road network, etc.) and four direct influencing factors (dryland, paddy field, woodland, grassland). Finally, we built the driving force analysis model of natural wetlands changes to quantitatively refine the contribution of different driving factors for natural wetlands’ dynamic change by introducing the sparrow search algorithm (SSA) and extreme gradient boosting algorithm (XGBoost). The results showed that the total area of natural wetlands in the Northeast Plain of China increased by 32% from 1990 to 2020, mainly showing a first decline and then an increasing trend. Combined with the results of transfer intensity, we found that the substantial turn-out phenomenon of natural wetlands occurred in 2000–2005 and was mainly concentrated in the central and eastern parts of the Northeast Plain, while the substantial turn-in phenomenon of 2005–2010 was mainly located in the northeast of the study area. Compared with a traditional regression model, the SSA-XGBoost model not only weakened the multicollinearity of each driver but also significantly improved the generalization ability and interpretability of the model. The coefficient of determination (R2) of the SSA-XGBoost model exceeded 0.6 in both the natural wetland decline and rise cycles, which could effectively quantify the contribution of each driving factor. From the results of the model calculations, agricultural activities consisting of dryland and paddy fields during the entire cycle of natural wetland change were the main driving factors, with relative contributions of 18.59% and 15.40%, respectively. Both meteorological (temperature, precipitation) and topographic factors (elevation, slope) had a driving role in the spatiotemporal variation of natural wetlands. The gross domestic product (GDP) had the lowest contribution to natural wetlands’ variation. This study provides a new method of quantitative analysis based on machine learning theory for determining the causes of natural wetland changes; it can be applied to large spatial scale areas, which is essential for a rapid monitoring of natural wetlands’ resources and an accurate decision-making on the ecological environment’s security. Full article
(This article belongs to the Section Sensing and Imaging)
Show Figures

Figure 1

Back to TopTop