Sign in to use this feature.

Years

Between: -

Subjects

remove_circle_outline
remove_circle_outline
remove_circle_outline
remove_circle_outline
remove_circle_outline
remove_circle_outline
remove_circle_outline
remove_circle_outline
remove_circle_outline

Journals

remove_circle_outline
remove_circle_outline
remove_circle_outline
remove_circle_outline
remove_circle_outline
remove_circle_outline

Article Types

Countries / Regions

remove_circle_outline
remove_circle_outline
remove_circle_outline
remove_circle_outline

Search Results (227)

Search Parameters:
Keywords = cognitive composition test

Order results
Result details
Results per page
Select all
Export citation of selected articles as:
23 pages, 4387 KB  
Article
Behavioral, Biochemical, and In Silico Evidence for Extraction-Dependent Neuroprotective Effects of Citrus limon Leaf Essential Oils in Scopolamine-Challenged Zebrafish
by Salwa Bouabdallah, Ahmed Kouki, Mona H. Ibrahim, Ion Brinza, Razvan Stefan Boiangiu, Mossadok Ben-Attia, Lucian Hritcu and Amr Amin
Pharmaceuticals 2026, 19(3), 458; https://doi.org/10.3390/ph19030458 - 11 Mar 2026
Viewed by 128
Abstract
Background/Objectives: Citrus limon leaf essential oil (EO) is traditionally used for its calming and cognitive-enhancing properties. Although the chemical composition of C. limon leaf essential oils (EOs) obtained by means of hydrodistillation (HD) and solvent-free microwave extraction (SFME) has been previously characterized, [...] Read more.
Background/Objectives: Citrus limon leaf essential oil (EO) is traditionally used for its calming and cognitive-enhancing properties. Although the chemical composition of C. limon leaf essential oils (EOs) obtained by means of hydrodistillation (HD) and solvent-free microwave extraction (SFME) has been previously characterized, the influence of the extraction method on their neuroprotective efficacy and dose–response effects remains insufficiently explored. In the present study, EOs obtained by means of HD (CEH) and SFME (CEM) were compared for their behavioral, biochemical, and in silico neuroprotective effects against scopolamine (SCOP)-induced cognitive and anxiety-like impairments in adult zebrafish. Methods: Adult Tübingen zebrafish were exposed to CEH or CEM via immersion at 10, 100, and 150 µL/L for 19 days prior to SCOP challenge (100 µM). Cognitive performance was evaluated using the Y-maze and novel object recognition (NOR) tests, while anxiety-like behavior was assessed using the novel tank test (NTT) and novel approach test (NAT). Brain acetylcholinesterase (AChE) activity and oxidative stress markers were quantified. Molecular docking analyses were conducted to investigate interactions between major EO constituents and AChE and monoamine oxidase A (MAO A). Results: Both CEH and CEM significantly attenuated SCOP-induced memory deficits, improved spontaneous alternation and NOR discrimination, and reduced anxiety-like behaviors. These effects were associated with AChE inhibition and restoration of redox balance. Notably, CEM generally exhibited stronger neurobehavioral and biochemical effects at comparable doses. In silico analyses supported these findings, revealing favorable binding affinities of key EO constituents toward cholinergic and monoaminergic targets. Conclusions: This study demonstrates that the extraction method influences the neuroprotective efficacy of C. limon leaf EOs. While both CEH and CEM exert antioxidant and cholinergic modulatory effects, CEM shows enhanced neuroprotective potential in a zebrafish model of SCOP-induced cognitive impairment, supporting the relevance of extraction-dependent biological profiling in EO-based neurotherapeutic research. Full article
Show Figures

Figure 1

19 pages, 2817 KB  
Article
Short-Term Fascial Circulation Exercise Modulates Task-Related Prefrontal Oxygenation During Executive Tasks in Older Women: An fNIRS Pilot Study
by Suyoung Hwang, Yae-Hyun Leem, Moon Hee Kim and Eun-Surk Yi
Life 2026, 16(3), 458; https://doi.org/10.3390/life16030458 - 11 Mar 2026
Viewed by 110
Abstract
Background: Evidence linking fascia-oriented rhythmic movement to executive function and prefrontal hemodynamics in older adults remains limited. This pilot study examined the feasibility and preliminary within-subject associations of a four-week Fascial Circulation Exercise (FCE) program in older Korean women. Methods: Twelve [...] Read more.
Background: Evidence linking fascia-oriented rhythmic movement to executive function and prefrontal hemodynamics in older adults remains limited. This pilot study examined the feasibility and preliminary within-subject associations of a four-week Fascial Circulation Exercise (FCE) program in older Korean women. Methods: Twelve cognitively screened women (74.3 ± 6.7 years) completed supervised FCE for four weeks. Pre–post assessments included body composition, grip strength, isokinetic knee performance, executive tasks (TMT-A/B, CDT), and task-evoked prefrontal activation measured via functional near-infrared spectroscopy (ΔHbO). Paired t-tests with effect sizes were reported. Results: Fat mass decreased (−0.71 kg, p = 0.016; dz = −0.74), whereas body weight and BMI were unchanged. Selective improvements were observed in knee flexor peak torque and extensor endurance (p < 0.05), with no change in grip strength. ΔHbO increased in the orbitofrontal, ventrolateral, and frontopolar regions during executive tasks. Behavioral performance improved in CDT and showed a trend toward improvement in TMT-B. Conclusions: Short-term FCE was feasible and was associated with reduced fat mass, selective neuromuscular gains, and increased task-evoked prefrontal oxygenation. The findings are exploratory and support future randomized controlled trials to determine clinical efficacy. Full article
(This article belongs to the Special Issue Advanced Research in Exercise Medicine)
Show Figures

Figure 1

18 pages, 785 KB  
Article
Effect of Tai Chi vs. Strength Training on Body Composition, Physical Performance, and Well-Being in Community-Dwelling Older Mexican Women
by Cristina Flores-Bello, Elsa Correa-Muñoz, Martha A. Sánchez-Rodríguez, Juana Rosado-Pérez, Nayeli Vaquero-Barbosa and Víctor Manuel Mendoza-Núñez
Healthcare 2026, 14(5), 663; https://doi.org/10.3390/healthcare14050663 - 5 Mar 2026
Viewed by 278
Abstract
Background/Objectives: Tai Chi (TC) practice has been shown to positively affect the physical, psychological, and cognitive health of older adults. However, discrepancies persist regarding its effectiveness compared to strength training (ST). This study aimed to determine the effect of TC training compared [...] Read more.
Background/Objectives: Tai Chi (TC) practice has been shown to positively affect the physical, psychological, and cognitive health of older adults. However, discrepancies persist regarding its effectiveness compared to strength training (ST). This study aimed to determine the effect of TC training compared to ST on body composition, physical performance, cognitive function, and psychological well-being in older adults. Methods: A quasi-experimental study was conducted with a convenience sample of 68 women 60 years or older, divided into three groups: (i) Tai Chi Group (TCG) n = 26; (ii) Strength Training Group (STG) n = 21; and (iii) Control Group (CG) n = 21. TCG and STG performed physical training four days a week, 60 min/day, for six months. All participants were assessed for body composition (BFP, body fat percentage; SMM, skeletal muscle mass; SMMI, skeletal muscle mass index); physical performance (4MWT, 4 m walk test; STST, sit-to-stand test; OPP, overall physical performance; HGS, handgrip strength) and Wellbeing (PWBS, psychological well-being scale of Ryff, validated for the Mexican population). The data were analyzed per protocol using repeated-measures ANOVA (TCG & STG vs. CG; TCG vs. STG), and the mean difference (MD) was calculated. Results: TCG showed statistically significant changes in body composition, BFP (MD, −3.4 ± 8.2, p < 0.05), SMM (MD, 1.6 ± 1.4, p < 0.001), and SMMI (MD, 0.72 ± 0.61, p < 0.001) after the intervention compared to CG. However, no differences were observed between TCG and STG (p > 0.05). Regarding physical performance, TCG showed significant changes in 4MWT (MD, −1.0 ± 1.8, p < 0.01) and STST (MD, −3.7 ± 4.8, p < 0.05) compared to CG. Differences were also observed in STST between TCG and STG (MD, −3.7 ± 4.8 vs. 0.45 ± 3, p < 0.05). In addition, TCG showed a significant increase in HGS (MD, 1.1 ± 1.9, p < 0.05) compared to CG, although no differences were observed with STG (p > 0.05). Conclusions: Our findings suggest that TC is more effective than strength training for improving body composition, physical performance, and handgrip strength in older adults living in the community. Full article
Show Figures

Figure 1

18 pages, 318 KB  
Article
Early Gains, Fading Effects: A Quasi-Experimental Evaluation of Mathematical Thinking Workshops for the School-to-University Mathematics Transition in South Africa
by Mashudu Mokhithi and Anita Lee Campbell
Educ. Sci. 2026, 16(3), 378; https://doi.org/10.3390/educsci16030378 - 2 Mar 2026
Viewed by 218
Abstract
This study evaluates whether theory-informed, mathematically focused support can ease the school-to-university transition in an unequal South African STEM context. First-year students could voluntarily attend Mathematical Thinking Workshops (MTWs) grounded in constructivism, the zone of proximal development, APOS theory, and cognitive load theory, [...] Read more.
This study evaluates whether theory-informed, mathematically focused support can ease the school-to-university transition in an unequal South African STEM context. First-year students could voluntarily attend Mathematical Thinking Workshops (MTWs) grounded in constructivism, the zone of proximal development, APOS theory, and cognitive load theory, providing low-threat, collaborative practice with non-routine, representation-rich tasks. Because attendance was self-selected, we used a quasi-experimental design: participation was modeled from pre-university covariates (school-leaving Mathematics and English grades and standardized university preparedness tests in Mathematics and Quantitative Literacy), and MTW participants were matched to comparable non-participants using nearest-neighbor propensity-score matching. Average treatment effects on the treated were estimated for multiple assessments and for a composite score capturing performance on higher-order items within those assessments. MTW participants outperformed matched peers on early first-semester assessments, especially those containing the most higher-order items, indicating that workshops helped when cognitively demanding tasks first appeared. Effects on later, more distal assessments were positive but attenuated, producing an “early gains, fading effects” pattern. Although estimates were imprecise, benefits appeared largest for students who had scored 70–84% in school-leaving mathematics. Overall, the findings suggest that transitional workshops can deliver timely, assessment-visible gains, although these effects may weaken over time when they are not reinforced or well aligned with later summative assessment. Full article
(This article belongs to the Special Issue Engaging Students to Transform Tertiary Mathematics Education)
16 pages, 476 KB  
Article
Implicit Extraversion Face–Trait Judgements in Developmental Prosopagnosia
by Chithra Kannan and Jeremy Tree
Brain Sci. 2026, 16(3), 275; https://doi.org/10.3390/brainsci16030275 - 28 Feb 2026
Viewed by 232
Abstract
Background/Objectives: Developmental prosopagnosia (DP) is a neurodevelopmental condition characterized by lifelong difficulties in face recognition. Although substantial work has examined identity-processing impairments in DP, less is known about whether these difficulties extend to other aspects of social cognition, including implicit trait judgements [...] Read more.
Background/Objectives: Developmental prosopagnosia (DP) is a neurodevelopmental condition characterized by lifelong difficulties in face recognition. Although substantial work has examined identity-processing impairments in DP, less is known about whether these difficulties extend to other aspects of social cognition, including implicit trait judgements from faces. Prior research using Implicit Association Task (IAT) paradigms shows that neurotypical observers can automatically associate facial composites with personality traits such as extraversion. Although some studies report preserved explicit social evaluations in DP, to our knowledge, no previous work has assessed whether individuals with DP can form implicit personality trait impressions from faces. Methods: Using a cross-sectional experimental design, the present study examined whether adults with DP (N = 36) exhibit implicit extraversion trait associations, using a validated extraversion IAT online via Gorilla, following institutional ethics approval. Results: Group-level analyses showed a significant IAT effect, indicating sensitivity to congruent face–trait pairings. Single-case analyses using Crawford and Garthwaite’s modified t-test showed that no participant scored significantly below the normative neurotypical range. Conclusions: These findings indicate that implicit trait inference performance can remain within the normative range in DP despite severe identity recognition impairments, consistent with relative independence between social-evaluative and identity-related face-processing mechanisms. Full article
(This article belongs to the Special Issue Advances in Face Perception and How Disorders Affect Face Perception)
Show Figures

Figure 1

14 pages, 1159 KB  
Article
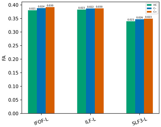
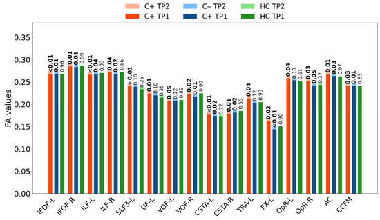
Alterations in Brain White Matter Tractography in Older Long-Term Breast Cancer Survivors Treated with Chemotherapy
by Ebenezer Daniel, Jonathan R. Young, Frank Deng, Sunita K. Patel, Mina S. Sedrak, Heeyoung Kim, Marianne Razavi, Can-Lan Sun, James C. Root, Tim A. Ahles, William Dale and Bihong T. Chen
Brain Sci. 2026, 16(3), 266; https://doi.org/10.3390/brainsci16030266 - 27 Feb 2026
Viewed by 279
Abstract
Purpose: This study aimed to investigate alterations in brain white matter fiber bundle integrity among older long-term breast cancer survivors treated with chemotherapy, with a focus on identifying potential neural correlates of cancer-related cognitive impairment (CRCI). Methods: Women aged 65 years and older [...] Read more.
Purpose: This study aimed to investigate alterations in brain white matter fiber bundle integrity among older long-term breast cancer survivors treated with chemotherapy, with a focus on identifying potential neural correlates of cancer-related cognitive impairment (CRCI). Methods: Women aged 65 years and older were prospectively enrolled and divided into three groups: breast cancer survivors 5 to 15 years after chemotherapy treatment (C+), breast cancer survivors without chemotherapy (C−), and age–sex-matched healthy controls (HC). Participants underwent brain MRI with diffusion tensor imaging and cognitive testing at time point 1 (TP1) upon enrollment and again after two years at time point 2 (TP2). White matter fiber tract integrity was assessed using fractional anisotropy-based (FA) tractography across 80 major fiber bundles in the brain. Results: Over the two-year period, both C+ and C− groups exhibited significant reductions in white matter integrity with FA reductions noted in several fiber tracts, including the left inferior fronto-occipital fasciculus (C+ group: p < 0.01; C− group: p = 0.01), right inferior fronto-occipital fasciculus (p < 0.01), left inferior longitudinal fasciculus (C+ group: p < 0.01; C− group: p = 0.04), right inferior longitudinal fasciculus (C+ group: p = 0.04; C− group: p = 0.02), right vertical occipital fasciculus (C+ group: p < 0.02; C− group: p = 0.01), left anterior corticostriatal tracts (C+ group: p < 0.01; C− group: p = 0.02), right anterior corticostriatal tracts (C+ group: p = 0.01; C− group: p = 0.02), anterior commissure (C+ group: p = 0.01; C− group: p = 0.03), and forceps minor (C+ group: p = 0.03; C− group: p = 0.01). In addition, FA reductions were noted in the left superior longitudinal fasciculus (p < 0.01), uncinate fasciculus (p = 0.01), thalamic radiation (p = 0.04), left optic radiations (p = 0.04) and right optic radiations (p = 0.03) in the C+ group only. No significant changes over time were detected in the HC group (p > 0.05). The fiber tract changes were considered statistically significant at a threshold of p < 0.05, with family-wise error (FWE) correction. Significant positive correlation was found between the longitudinal changes in the right inferior fronto-occipital fasciculus and the fluid composite cognition score in the C+ group (R = 0.65 and p = 0.03; Pearson’s correlation). Conclusions: This study showed continued white matter fiber tract alterations in the older long-term breast cancer survivors who may have cognitive difficulties years after chemotherapy. Diffusion tensor imaging may provide valuable insights into the white matter microstructural correlates of CRCI in older cancer survivors. Full article
Show Figures

Figure 1

17 pages, 1993 KB  
Article
Gami-Guibitang Attenuates Anxiety-like Behaviors and Modulates Hippocampal Synaptic Signaling in a Valproic Acid-Induced Mouse Model of Autism
by Ji Hye Yoon, Duk Jin Jung, Mikyung Kim, Young-Nam Kim, Minji Shim, Sung Youn Lee, Cheol Shin, Sangeun Im, Sungho Maeng and Jihwan Shin
Brain Sci. 2026, 16(3), 259; https://doi.org/10.3390/brainsci16030259 - 25 Feb 2026
Viewed by 274
Abstract
Background: Autism spectrum disorder (ASD) is a neurodevelopmental condition characterized by social deficits, repetitive behaviors, and heightened anxiety. Despite extensive research, effective interventions targeting core symptoms remain limited. Gami-Guibitang (GBT), a traditional herbal formula, has been clinically prescribed for anxiety-related symptoms and cognitive [...] Read more.
Background: Autism spectrum disorder (ASD) is a neurodevelopmental condition characterized by social deficits, repetitive behaviors, and heightened anxiety. Despite extensive research, effective interventions targeting core symptoms remain limited. Gami-Guibitang (GBT), a traditional herbal formula, has been clinically prescribed for anxiety-related symptoms and cognitive complaints, yet its effects on ASD-associated behavioral and molecular abnormalities have not been fully elucidated. Objective: This study aimed to evaluate the anxiolytic and neuroregulatory effects of GBT in a valproic acid (VPA)-induced ASD mouse model, focusing on behavioral outcomes and hippocampal synaptic protein expression. Methods: Pregnant C57BL/6N mice received a single intraperitoneal injection of VPA (500 mg/kg) at embryonic day 12.5. Male offspring were administered GBT (150 mg/kg, p.o.) twice daily for 4 weeks from postnatal day 21 (PND 21). These mice were behaviorally evaluated by the open-field test, elevated plus maze, marble-burying test, Y-maze, three-chamber social interaction test, and Morris water maze. Western blot analysis was conducted to examine hippocampal expression of phosphorylated and total CREB and GluR1, PI3K/Akt signaling components, as well as GABRA1 and GABRB1. Results: VPA-exposed offspring exhibited increased anxiety-like behaviors, altered repetitive behaviors, dysregulated exploratory activity, and impaired spatial learning, and reduced spontaneous alternation performance in the Y-maze. GBT reduced anxiety-like behaviors in the elevated plus maze and marble burying tests, partially improved spatial learning acquisition in the Morris water maze, and normalized excessive locomotor activity, without significantly affecting short-term working memory performance. At the molecular level, GBT significantly attenuated VPA-induced hyperphosphorylation of CREB, GluR1, PI3K, and Akt, indicating suppression of aberrant synaptic signaling rather than global enhancement. In addition, GBT increased GABRA1 expression toward control levels and enhanced GABRB1 expression beyond baseline, suggesting selective modulation of GABAergic receptor subunit composition rather than simple normalization. Conclusions: These findings provide preclinical evidence that GBT alleviates anxiety-like behavior and modulates hippocampal synaptic signaling disrupted by prenatal VPA exposure. By attenuating aberrant excitatory signaling and selectively regulating GABAergic receptor balance, GBT may represent a multi-target herbal candidate for modulating ASD-associated emotional dysregulation and domain-specific cognitive dysfunction, rather than acting as a broad cognitive enhancer. Full article
(This article belongs to the Section Molecular and Cellular Neuroscience)
Show Figures

Figure 1

15 pages, 566 KB  
Case Report
“Knockout Cancer”: The Impact of Adapted Boxing Training on Quality of Life in Breast Cancer Survivors, a Case Study
by Claudia Cerulli, Arianna Murri, Damiano Zizzari, Cristina Rossi, Claudia Maggiore, Stefano Magno, Gianluca Franceschini, Ivan Dimauro, Attilio Parisi and Elisa Grazioli
J. Funct. Morphol. Kinesiol. 2026, 11(1), 71; https://doi.org/10.3390/jfmk11010071 - 10 Feb 2026
Viewed by 510
Abstract
Background: Exercise oncology research supports multicomponent interventions as complementary therapies to improve quality of life in breast cancer (BC) survivors. Nonetheless, evidence on sport-specific, engaging approaches, such as boxing-based concurrent training, remains scarce. Method: This case study aimed to evaluate the [...] Read more.
Background: Exercise oncology research supports multicomponent interventions as complementary therapies to improve quality of life in breast cancer (BC) survivors. Nonetheless, evidence on sport-specific, engaging approaches, such as boxing-based concurrent training, remains scarce. Method: This case study aimed to evaluate the feasibility and safety, and to explore the effects of a 16-week adapted boxing protocol. Two BC survivors with a history of triple-negative BC in treatment were enrolled. The protocol integrated aerobic, strength/power, coordination, balance and boxing-specific exercises through individually adapted, progressive sessions performed twice a week. Outcomes were assessed pre- and post-intervention and included: (I) compliance and adverse event related to the protocol, (II) functional tests (handgrip, single leg stance, 30 s sit-to-stand, trunk/shoulder mobility tests, VO2max); (III) body composition parameters (fat mass, fat-free mass,); and (IV) validated questionnaires (EORTC QLQ-C30, FA12, PSQI, BIS, HADS, IPAQ). Results: Compliance was high and no serious adverse events were detected. Sit-to-stand performance, as well as VO2max and mobility/balance, improved in both patients after the intervention. Participant A showed a favorable body modulation. Participant B, on the other hand, reported a stable weight. Participant A reported large improvements across QLQ-C30 domains, while participant B exhibited mixed results, with improved emotional functioning and pain but declines in cognitive/social functioning. Conclusions: The boxing-based concurrent training protocol was feasible, safe, and well-tolerated. Despite the limitation of the case study, the observed functional and psychosocial positive changes highlight the need for adequately larger controlled trials to clarify the training protocol efficacy in order to optimize this exercise approach in BC survivors. Full article
(This article belongs to the Section Physical Exercise for Health Promotion)
Show Figures

Figure 1

17 pages, 1060 KB  
Article
Influence of Live Music and Tasting Assessment on Hedonic and Emotional Responses of Wine in Public Tasting Events
by Roberto Marangoni, Isabella Taglieri, Alessandro Bianchi, Chiara Sanmartin, Pierina Díaz-Guerrero, Alessandro Tonacci, Francesco Sansone and Francesca Venturi
Foods 2026, 15(3), 504; https://doi.org/10.3390/foods15030504 - 1 Feb 2026
Viewed by 375
Abstract
Wine represents one of the most complex food matrices from a sensory perspective, as its appreciation emerges from the interaction between chemical composition, perceptual mechanisms, and contextual influences. Contemporary research in oenology and sensory science increasingly recognizes wine evaluation as an integrated perceptual [...] Read more.
Wine represents one of the most complex food matrices from a sensory perspective, as its appreciation emerges from the interaction between chemical composition, perceptual mechanisms, and contextual influences. Contemporary research in oenology and sensory science increasingly recognizes wine evaluation as an integrated perceptual event shaped by cognition, memory, and affect, rather than a simple response to aroma or flavor cues. Live music is widely used in hospitality settings to enhance consumer experience; however, its specific influence on wine appreciation and emotional responses remains insufficiently explored, particularly in real-world contexts. This study investigates how two contrasting musical atmospheres—melancholic/relaxing and upbeat/motivational—modulate hedonic evaluations and emotional profiles during public wine tastings, compared with a no-music condition. Data were collected across five live tasting events (5 Wednesdays of Emotions) using structured questionnaires that included hedonic ratings and multidimensional emotional measures. Statistical analyses were conducted using non-parametric tests, meta-analytic p-value combination, and cumulative link mixed models for ordinal data. The presence of music significantly enhanced overall wine appreciation compared to the silent condition, although the magnitude and direction of the effect varied across individuals and musical styles. Upbeat/motivational music generally produced stronger and more consistent increases in liking than melancholic/relaxing music. Emotional responses—particularly positive surprise—emerged as key mediators of hedonic improvement and showed strong associations with overall liking. Preference profiling revealed distinct response patterns, indicating that auditory modulation of wine perception is not uniform across consumers. These findings support a crossmodal interpretation in which music shapes wine appreciation primarily through emotion-based and expectancy-related mechanisms rather than through direct sensory enhancement. By demonstrating these effects in ecologically valid tasting environments, the study highlights the role of auditory context as a meaningful component of multisensory wine experiences. Full article
Show Figures

Graphical abstract

15 pages, 449 KB  
Article
Assessment of Long-Term Sequelae After Severe Malaria: A Retrospective Study
by Florian Cardona, Laura Héritier, Sébastien Cortaredona and Coralie L’Ollivier
Pathogens 2026, 15(2), 154; https://doi.org/10.3390/pathogens15020154 - 31 Jan 2026
Viewed by 404
Abstract
Background: Data on long-term sequelae after severe imported Plasmodium falciparum malaria in adults are scarce in non-endemic settings. We aimed to quantify early and medium term renal and neurological outcomes and identify prognostic factors. Therapeutic strategies have evolved with widespread intravenous artesunate, yet [...] Read more.
Background: Data on long-term sequelae after severe imported Plasmodium falciparum malaria in adults are scarce in non-endemic settings. We aimed to quantify early and medium term renal and neurological outcomes and identify prognostic factors. Therapeutic strategies have evolved with widespread intravenous artesunate, yet survivorship data remain limited. Methods: We performed a retrospective study of cases of severe malaria at the University Hospital of Marseille (France) between January 2018 and December 2024. This study is a single-centre retrospective cohort with prospective follow-up using standardised questionnaires. Adults meeting the criteria for severe falciparum malaria were included. The primary endpoint was a composite of renal impairment and/or neurological sequelae assessed at day 28 (D28) and at remote post-discharge follow-up. Patient-reported outcomes were collected at one year. Associations with baseline features were tested using the Fisher’s exact and Wilcoxon–Mann–Whitney tests. Results: Among 474 malaria cases, 66 (13.9%) were severe; of these, 57 met inclusion criteria. Fifty-seven of them were included. All received intravenous artesunate with oral step-down; 35% required ICU care. At D28, 6/41 patients (14.6%) had sequelae (four renal, one neurological, one both). Sequelae at D28 were associated with neurological failure (66.7% vs. 14.3%; p = 0.015), severe metabolic acidosis (50.0% vs. 2.9%; p = 0.007) and renal impairment at admission (83.3% vs. 2.9%; p < 0.001). At remote follow-up, 6/33 patients (18.2%) had sequelae (two renal, three neurological, one both), associated with older age (61.0 ± 5.3 vs. 39.8 ± 15.8 years; p = 0.008), D3 blood smear positivity (66.7% vs. 11.5%; p = 0.012), neurological failure (66.7% vs. 18.5%; p = 0.034) and renal impairment (50.0% vs. 7.4%; p = 0.031). No deaths or relapses occurred. At one year, patient-reported outcomes (n = 14) showed persistent symptoms in 8/14, chiefly fatigue and cognitive complaints. Conclusions: In a high-resource, non-endemic setting, renal and neurological sequelae after severe imported malaria are frequent at D28 and persist in nearly one-fifth of cases during post-discharge follow-up. Neurological failure, metabolic acidosis, renal impairment at presentation, older age and D3 blood smear positivity identify patients at risk and support risk-stratified post-discharge follow-up. Full article
(This article belongs to the Special Issue Malaria in a Changing World)
Show Figures

Figure 1

16 pages, 1906 KB  
Article
The Use of Digital Neurocognitive Assessments to Assess Traumatic Brain Injury and Dementia in Older Trauma Patients: An Emergency Department Feasibility Study
by Justin Weppner, Justin Gray, Damon Kuehl, Danielle Sandsmark, Nazanin Mirshahi, Ramon Diaz-Arrastia, Katya Rascovsky, W. Frank Peacock and Timothy E. Van Meter
Diagnostics 2026, 16(3), 400; https://doi.org/10.3390/diagnostics16030400 - 27 Jan 2026
Viewed by 515
Abstract
Background/Objectives: Older adults are disproportionately affected by traumatic brain injuries (TBIs), representing a significant portion of TBI-related hospitalizations and deaths. The objective of this study was to evaluate the feasibility and effectiveness of BrainCheck (Braincheck, Inc., Austin, TX, USA), a digital cognitive assessment [...] Read more.
Background/Objectives: Older adults are disproportionately affected by traumatic brain injuries (TBIs), representing a significant portion of TBI-related hospitalizations and deaths. The objective of this study was to evaluate the feasibility and effectiveness of BrainCheck (Braincheck, Inc., Austin, TX, USA), a digital cognitive assessment tool, in detecting acute TBI-related cognitive deficits in the context of dementia-related cognitive impairment in older adult emergency department (ED) patients. Methods: From March 2020 to November 2023, participants aged 65+ with mild TBI, as defined by the American College of Rehabilitation Medicine (ACRM) diagnostic criteria, and individuals with isolated orthopedic injuries were recruited from 14 U.S. type 1 and 2 trauma centers. After informed consent, each subject was assessed by well-validated neurocognitive tests to characterize pre- and postinjury cognitive status. The Clinical Dementia Rating (CDR) and Functional Activities Questionnaire (FAQ) were used to assess cognitive impairment, with the informant sections used to classify preinjury status. The Rivermead Post-Concussion Symptoms Questionnaire (RPQ16) was used to assess injury-related symptoms, and the tablet-based BrainCheck Battery was tested as a diagnostic platform for injury-related deficits across several functional domains. Spearman’s correlation was used to assess BrainCheck’s internal validity and its relationship with self-reported cognitive symptoms. Technology familiarity was self-reported on a 1 (lowest) to 5 (highest) Likert scale. ROC curves evaluated the tool’s accuracy in identifying cognitive impairment associated with TBI in the context of pre-existing cognitive impairment. Results: For the 101 mTBI and 52 orthopedic trauma control patients, BrainCheck demonstrated strong internal validity, with significant correlations among its component tests, indicating its effectiveness in assessing cognitive impairment. However, low correlations with RPQ16 self-reported symptoms suggest that BrainCheck and the self-reported questionnaire assess different aspects of cognitive functions. Conclusions: While BrainCheck effectively identified cognitive impairment, the composite battery and scoring did not differentiate TBI and dementia. Technology familiarity did not affect test outcomes. BrainCheck is a useful tool for evaluating cognitive function in adults aged ≥ 65 years with and without TBI in ED settings. Full article
(This article belongs to the Special Issue Clinical Diagnosis and Management in Emergency and Hospital Medicine)
Show Figures

Figure 1

18 pages, 3124 KB  
Article
Diet–Microbiome Relationships in Prostate-Cancer Survivors with Prior Androgen Deprivation-Therapy Exposure and Previous Exercise Intervention Enrollment
by Jacob Raber, Abigail O’Niel, Kristin D. Kasschau, Alexandra Pederson, Naomi Robinson, Carolyn Guidarelli, Christopher Chalmers, Kerri Winters-Stone and Thomas J. Sharpton
Microorganisms 2026, 14(1), 251; https://doi.org/10.3390/microorganisms14010251 - 21 Jan 2026
Viewed by 621
Abstract
The gut microbiome is a modifiable factor in cancer survivorship. Diet represents the most practical intervention for modulating the gut microbiome. However, diet–microbiome relationships in prostate-cancer survivors remain poorly characterized. We conducted a comprehensive analysis of diet–microbiome associations in 79 prostate-cancer survivors (ages [...] Read more.
The gut microbiome is a modifiable factor in cancer survivorship. Diet represents the most practical intervention for modulating the gut microbiome. However, diet–microbiome relationships in prostate-cancer survivors remain poorly characterized. We conducted a comprehensive analysis of diet–microbiome associations in 79 prostate-cancer survivors (ages 62–81) enrolled in a randomized exercise intervention trial, 59.5% of whom still have active metastatic disease. Dietary intake was assessed using the Diet History Questionnaire (201 variables) and analyzed using three validated dietary pattern scores: Mediterranean Diet Adherence Score (MEDAS), Healthy Eating Index-2015 (HEI-2015), and the Mediterranean-Dash Intervention for Neurodegenerative Delay (MIND) diet score. Gut microbiome composition was characterized via 16S rRNA sequencing. Dimensionality reduction strategies, including theory-driven diet scores and data-driven machine learning (Random Forest, and Least Absolute Shrinkage and Selection Operator (LASSO)), were used. Statistical analyses included beta regression for alpha diversity, Permutational Multivariate Analysis of Variance (PERMANOVA) for beta diversity (both Bray–Curtis and Sørensen metrics), and Microbiome Multivariable Associations with Linear Models (MaAsLin2) with negative binomial regression for taxa-level associations. All models tested interactions with exercise intervention, APOLIPOPROTEIN E (APOE) genotype, and testosterone levels. There was an interaction between MEDAS and exercise type on gut alpha diversity (Shannon: p = 0.0022), with stronger diet–diversity associations in strength training and Tai Chi groups than flexibility controls. All three diet-quality scores predicted beta diversity (HEI p = 0.002; MIND p = 0.025; MEDAS p = 0.034) but not Bray–Curtis (abundance-weighted) distance, suggesting diet shapes community membership rather than relative abundances. Taxa-level analysis revealed 129 genera with diet associations or diet × host factor interactions. Among 297 dietary variables tested for cognitive outcomes, only caffeine significantly predicted Montreal Cognitive Assessment (MoCA) scores after False Discovery Rate (FDR) correction (p = 0.0009, q = 0.014) through direct pathways beneficial to cognitive performance without notable gut microbiome modulation. In cancer survivors, dietary recommendations should be tailored to exercise habits, genetic background, and hormonal status. Full article
(This article belongs to the Special Issue The Interactions Between Nutrients and Microbiota)
Show Figures

Figure 1

11 pages, 238 KB  
Article
Association of Skeletal Muscle Strength with Cognitive Performance After Metabolic Bariatric Surgery
by María-José Barahona, Andreu Simó-Servat, Montse Ibarra, Mireia Libran, Verónica Perea, Judith Castejón, Carlos Puig-Jové, Carmen Quirós and Laura Casas
J. Clin. Med. 2026, 15(2), 818; https://doi.org/10.3390/jcm15020818 - 20 Jan 2026
Viewed by 244
Abstract
Background/Objectives: Obesity is associated with cognitive decline, and metabolic bariatric surgery (MBS) can improve both physical and cognitive outcomes. However, cognitive improvements post-surgery are variable. This study explores the role of skeletal muscle health, specifically muscle strength and mass, in cognitive performance after [...] Read more.
Background/Objectives: Obesity is associated with cognitive decline, and metabolic bariatric surgery (MBS) can improve both physical and cognitive outcomes. However, cognitive improvements post-surgery are variable. This study explores the role of skeletal muscle health, specifically muscle strength and mass, in cognitive performance after MBS, aiming to identify factors that influence cognitive recovery. Methods: In this prospective study, 55 patients scheduled for MBS were assessed 1 month before and 12 months after surgery. Body composition, including appendicular lean mass (ALM) and fat mass, was measured using dual-energy X-ray absorptiometry (DXA). Handgrip strength (HGS) was assessed via dynamometry, and neurocognitive performance was evaluated using a standardized test battery. Results: Significant improvements in cognitive performance were observed at 12 months post-surgery in attention, memory, language, executive functions and overall cognitive performance. Regarding body composition, significant reductions were observed in fat mass and body mass index (BMI). A decrease in ALM and no changes in HGS were observed; however, when adjusted for body size, both showed an increase. Regression analysis identified baseline HGS, but not muscle mass, as a significant predictor of cognitive performance at 12 months post-surgery. Conclusions: MBS leads to significant improvements in cognitive function. Our results suggest that baseline HGS may play a role in predicting cognitive outcomes post-surgery, highlighting the need for comprehensive assessments of both physical and cognitive health in patients undergoing MBS. Further longitudinal studies are needed to explore causal relationships and the potential reversibility of cognitive deficits post-surgery. Full article
(This article belongs to the Special Issue Clinical Updates on Metabolic and Bariatric Surgery)
24 pages, 1452 KB  
Article
Safranal-Standardized Saffron Extract Improves Metabolic, Cognitive, and Anxiolytic Outcomes in Aged Mice via Hypothalamic–Amygdalar Peptide Modulation
by Juan A. Navarro, Ana Gavito, Sonia Rivas, Alonso Rodríguez-Martín, Elena Baixeras, Juan Decara, Pedro J. Serrano-Castro, Yolanda Alfonso, Carlos Sanjuan, Antonia Serrano and Fernando Rodríguez de Fonseca
Nutrients 2026, 18(2), 291; https://doi.org/10.3390/nu18020291 - 16 Jan 2026
Viewed by 2308
Abstract
Background: Population aging increases susceptibility to cognitive decline, anxiety, and metabolic dysregulation, yet safe and effective interventions remain limited. Saffron (Crocus sativus L.) has been traditionally used to enhance mood and cognition, and its main metabolites, crocins and safranal, exert neuroprotective, [...] Read more.
Background: Population aging increases susceptibility to cognitive decline, anxiety, and metabolic dysregulation, yet safe and effective interventions remain limited. Saffron (Crocus sativus L.) has been traditionally used to enhance mood and cognition, and its main metabolites, crocins and safranal, exert neuroprotective, anxiolytic, and metabolic effects. However, variability in extract composition and frequent adulteration hinder reproducibility. Objectives: To clarify the efficacy of genuine saffron preparations in aging, we investigated a saffron extract standardized for safranal and crocin content (SSE). Methods: Safranal bioavailability was first characterized in rats, followed by an evaluation of behavioral, neuroendocrine, and metabolic outcomes after 35 days of oral SSE administration (25 or 200 mg/kg/day) in 25-month-old male C57BL/6 mice. Behavioral performance was assessed using open field and novel object recognition tests, while molecular analyses targeted neuropeptides in the hypothalamus and amygdala, hippocampal plasticity markers, cortical inflammatory proteins, and hepatic lipid metabolism genes. Results: SSE administration induced a rapid but transient increase in the plasma’s safranal, confirming its bioavailability. In aged mice, the low dose prevented age-related weight loss and modulated hepatic lipid metabolism, whereas the high dose reduced anxiety-like behavior and improved recognition memory. The anxiolytic effects are consistent with elevated hypothalamic Npy, an anxiolytic peptide, reduced amygdalar Crh, a key mediator of stress and anxiety, and decreased hypothalamic Hcrt, an arousal modulator. The improvement in memory is associated with modulation of the cortical and hippocampal inflammatory and endocannabinoid proteins involved in neural plasticity. Conclusions: These findings highlight content-standardized saffron extracts as a promising multi-target nutraceuticals for healthy aging. Full article
(This article belongs to the Section Nutrition and Neuro Sciences)
Show Figures

Figure 1

20 pages, 5446 KB  
Article
TUDCA Ameliorates Cognitive Impairment in APP/PS1 Mice by Modulating the Microbiota–Gut–Brain Axis
by Minxia Zhan, Hui Chen, Xunzhong Fu, Shijin Tang, Xiaoxian Song, Henghua Li, Liancai Zhu and Bochu Wang
Curr. Issues Mol. Biol. 2026, 48(1), 87; https://doi.org/10.3390/cimb48010087 - 15 Jan 2026
Viewed by 519
Abstract
Tauroursodeoxycholic acid (TUDCA), a bile acid conjugate, has been suggested to improve cognition in models of Alzheimer’s disease (AD), although its underlying mechanisms remain unclear. This study aimed to evaluate the effects of TUDCA and its potential pathways in APP/PS1 mice. Behavioral tests, [...] Read more.
Tauroursodeoxycholic acid (TUDCA), a bile acid conjugate, has been suggested to improve cognition in models of Alzheimer’s disease (AD), although its underlying mechanisms remain unclear. This study aimed to evaluate the effects of TUDCA and its potential pathways in APP/PS1 mice. Behavioral tests, assessments of amyloid-β (Aβ) deposition, neuroinflammation, peripheral inflammatory responses, intestinal barrier integrity, and gut microbiota composition were performed, along with pseudo-sterile mouse experiments and fecal microbiota transplantation (FMT). The expression of genes related to the TLR4/NF-κB/NLRP3 pathway was also examined. TUDCA significantly ameliorated cognitive impairments, reduced Aβ accumulation, and suppressed inflammatory responses in both the central nervous system and peripheral tissues. It improved intestinal barrier function and reshaped gut microbial composition by reducing pro-inflammatory taxa. FMT demonstrated that TUDCA-modulated microbiota contributed to improved learning and memory in AD mice, whereas antibiotic-induced pseudo-sterility indicated that TUDCA also exerted cognitive benefits independent of gut flora. Moreover, TUDCA inhibited the activation of the TLR4/NF-κB/NLRP3 pathway. In conclusion, TUDCA alleviates AD-related cognitive deficits partly through modulation of the microbiota–gut–brain axis while also acting via microbiota-independent mechanisms, supporting its potential as a promising therapeutic strategy for AD. Full article
Show Figures

Graphical abstract

Back to TopTop