Sign in to use this feature.

Years

Between: -

Subjects

remove_circle_outline
remove_circle_outline
remove_circle_outline
remove_circle_outline
remove_circle_outline
remove_circle_outline
remove_circle_outline
remove_circle_outline
remove_circle_outline

Journals

Article Types

Countries / Regions

Search Results (25)

Search Parameters:
Keywords = clustered dictionary learning

Order results
Result details
Results per page
Select all
Export citation of selected articles as:
20 pages, 24086 KB  
Article
Clustering Hyperspectral Imagery via Sparse Representation Features of the Generalized Orthogonal Matching Pursuit
by Wenqi Guo, Xu Xu, Xiaoqiang Xu, Shichen Gao and Zibu Wu
Remote Sens. 2024, 16(17), 3230; https://doi.org/10.3390/rs16173230 - 31 Aug 2024
Cited by 2 | Viewed by 1903
Abstract
This study focused on improving the clustering performance of hyperspectral imaging (HSI) by employing the Generalized Orthogonal Matching Pursuit (GOMP) algorithm for feature extraction. Hyperspectral remote sensing imaging technology, which is crucial in various fields like environmental monitoring and agriculture, faces challenges due [...] Read more.
This study focused on improving the clustering performance of hyperspectral imaging (HSI) by employing the Generalized Orthogonal Matching Pursuit (GOMP) algorithm for feature extraction. Hyperspectral remote sensing imaging technology, which is crucial in various fields like environmental monitoring and agriculture, faces challenges due to its high dimensionality and complexity. Supervised learning methods require extensive data and computational resources, while clustering, an unsupervised method, offers a more efficient alternative. This research presents a novel approach using GOMP to enhance clustering performance in HSI. The GOMP algorithm iteratively selects multiple dictionary elements for sparse representation, which makes it well-suited for handling complex HSI data. The proposed method was tested on two publicly available HSI datasets and evaluated in comparison with other methods to demonstrate its effectiveness in enhancing clustering performance. Full article
Show Figures

Graphical abstract

17 pages, 2512 KB  
Article
Is More Always Better? Government Attention and Environmental Governance Efficiency: Empirical Evidence from China
by Fengyu Wang, Mi Zhou and Huansheng Yu
Sustainability 2024, 16(16), 7146; https://doi.org/10.3390/su16167146 - 20 Aug 2024
Cited by 6 | Viewed by 3051
Abstract
In recent years, the thorough implementation of China’s green development concept has compelled local governments to devote more attention to environmental issues. This study aimed to verify whether increased government environmental attention (GEA) can sustainably ensure the implementation of environmental governance, particularly air [...] Read more.
In recent years, the thorough implementation of China’s green development concept has compelled local governments to devote more attention to environmental issues. This study aimed to verify whether increased government environmental attention (GEA) can sustainably ensure the implementation of environmental governance, particularly air pollution control. Using government work reports (GWRs) from local governments, this study employed machine learning methods to identify and quantify the attitudes of government officials as expressed in policy texts. A weighted dictionary method was used to quantify GEA from 2011 to 2016. The results of spatial econometric models indicated that air pollution exhibited positive spatial clustering effects across different regions, with the Yangtze River Delta and the Beijing–Tianjin–Hebei region being classified as high–high areas, while the western regions were classified as low–low areas. Baseline regression results showed that increased GEA can improve the effectiveness of pollution control, but excessive attention leads to a decline in governance efficiency. Overall, this study helps explain the unsustainability of campaign-style environmental governance and provides guidance for local governments on the rational allocation of attention when addressing environmental issues. Full article
Show Figures

Figure 1

14 pages, 1261 KB  
Article
Technique for Kernel Matching Pursuit Based on Intuitionistic Fuzzy c-Means Clustering
by Yang Lei and Minqing Zhang
Electronics 2024, 13(14), 2777; https://doi.org/10.3390/electronics13142777 - 15 Jul 2024
Cited by 1 | Viewed by 1063
Abstract
Kernel matching pursuit (KMP) requires every step of the searching process to be global optimal searching in the redundant dictionary of functions in order to select the best matching signal structure. Namely, the dictionary learning time of KMP is too long. To solve [...] Read more.
Kernel matching pursuit (KMP) requires every step of the searching process to be global optimal searching in the redundant dictionary of functions in order to select the best matching signal structure. Namely, the dictionary learning time of KMP is too long. To solve the above drawbacks, a rough dataset was divided into some small-sized dictionaries to substitute local searching for global searching by using the property superiority of dynamic clustering performance, which is also superior in the intuitionistic fuzzy c-means (IFCM) algorithm. Then, we proposed a novel technique for KMP based on IFCM (IFCM-KMP). Subsequently, three tests including classification, effectiveness, and time complexity were carried out on four practical sample datasets, the conclusions of which fully demonstrate that the IFCM-KMP algorithm is superior to FCM and KMP. Full article
(This article belongs to the Special Issue Image Processing and Object Detection Using AI)
Show Figures

Figure 1

14 pages, 3443 KB  
Article
Learning the Meta Feature Transformer for Unsupervised Person Re-Identification
by Qing Li, Chuan Yan and Xiaojiang Peng
Mathematics 2024, 12(12), 1812; https://doi.org/10.3390/math12121812 - 11 Jun 2024
Cited by 1 | Viewed by 2081
Abstract
Although unsupervised person re-identification (Re-ID) has drawn increasing research attention, it still faces the challenge of learning discriminative features in the absence of pairwise labels across disjoint camera views. To tackle the issue of label scarcity, researchers have delved into clustering and multilabel [...] Read more.
Although unsupervised person re-identification (Re-ID) has drawn increasing research attention, it still faces the challenge of learning discriminative features in the absence of pairwise labels across disjoint camera views. To tackle the issue of label scarcity, researchers have delved into clustering and multilabel learning using memory dictionaries. Although effective in improving unsupervised Re-ID performance, these methods require substantial computational resources and introduce additional training complexity. To address this issue, we propose a conceptually simple yet effective and learnable module effective block, named the meta feature transformer (MFT). MFT is a streamlined, lightweight network architecture that operates without the need for complex networks or feature memory bank storage. It primarily focuses on learning interactions between sample features within small groups using a transformer mechanism in each mini-batch. It then generates a new sample feature for each group through a weighted sum. The main benefits of MFT arise from two aspects: (1) it allows for the use of numerous new samples for training, which significantly expands the feature space and enhances the network’s generalization capabilities; (2) the trainable attention weights highlight the importance of samples, enabling the network to focus on more useful or distinguishable samples. We validate our method on two popular large-scale Re-ID benchmarks, where extensive evaluations show that our MFT outperforms previous methods and significantly improves Re-ID performances. Full article
(This article belongs to the Section E1: Mathematics and Computer Science)
Show Figures

Figure 1

17 pages, 494 KB  
Article
Classification of Severe Maternal Morbidity from Electronic Health Records Written in Spanish Using Natural Language Processing
by Ever A. Torres-Silva, Santiago Rúa, Andrés F. Giraldo-Forero, Maria C. Durango, José F. Flórez-Arango and Andrés Orozco-Duque
Appl. Sci. 2023, 13(19), 10725; https://doi.org/10.3390/app131910725 - 27 Sep 2023
Cited by 7 | Viewed by 2944
Abstract
One stepping stone for reducing the maternal mortality is to identify severe maternal morbidity (SMM) using Electronic Health Records (EHRs). We aim to develop a pipeline to represent and classify the unstructured text of maternal progress notes in eight classes according to the [...] Read more.
One stepping stone for reducing the maternal mortality is to identify severe maternal morbidity (SMM) using Electronic Health Records (EHRs). We aim to develop a pipeline to represent and classify the unstructured text of maternal progress notes in eight classes according to the silver labels defined by the ICD-10 codes associated with SMM. We preprocessed the text, removing protected health information (PHI) and reducing stop words. We built different pipelines to classify the SMM by the combination of six word-embeddings schemes, three different approaches for the representation of the documents (average, clustering, and principal component analysis), and five well-known machine learning classifiers. Additionally, we implemented an algorithm for typos and misspelling adjustment based on the Levenshtein distance to the Spanish Billion Word Corpus dictionary. We analyzed 43,529 documents constructed by an average of 4.15 progress notes from 22,937 patients. The pipeline with the best performance was the one that included Word2Vec, typos and spelling adjustment, document representation by PCA, and an SVM classifier. We found that it is possible to identify conditions such as miscarriage complication or hypertensive disorders from clinical notes written in Spanish, with a true positive rate higher than 0.85. This is the first approach to classify SMM from the unstructured text contained in the maternal EHRs, which can contribute to the solution of one of the most important public health problems in the world. Future works must test other representation and classification approaches to detect the risk of SMM. Full article
(This article belongs to the Special Issue Natural Language Processing in Healthcare)
Show Figures

Figure 1

15 pages, 2065 KB  
Article
Multimodality Medical Image Fusion Using Clustered Dictionary Learning in Non-Subsampled Shearlet Transform
by Manoj Diwakar, Prabhishek Singh, Ravinder Singh, Dilip Sisodia, Vijendra Singh, Ankur Maurya, Seifedine Kadry and Lukas Sevcik
Diagnostics 2023, 13(8), 1395; https://doi.org/10.3390/diagnostics13081395 - 12 Apr 2023
Cited by 21 | Viewed by 3269
Abstract
Imaging data fusion is becoming a bottleneck in clinical applications and translational research in medical imaging. This study aims to incorporate a novel multimodality medical image fusion technique into the shearlet domain. The proposed method uses the non-subsampled shearlet transform (NSST) to extract [...] Read more.
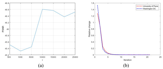
Imaging data fusion is becoming a bottleneck in clinical applications and translational research in medical imaging. This study aims to incorporate a novel multimodality medical image fusion technique into the shearlet domain. The proposed method uses the non-subsampled shearlet transform (NSST) to extract both low- and high-frequency image components. A novel approach is proposed for fusing low-frequency components using a modified sum-modified Laplacian (MSML)-based clustered dictionary learning technique. In the NSST domain, directed contrast can be used to fuse high-frequency coefficients. Using the inverse NSST method, a multimodal medical image is obtained. Compared to state-of-the-art fusion techniques, the proposed method provides superior edge preservation. According to performance metrics, the proposed method is shown to be approximately 10% better than existing methods in terms of standard deviation, mutual information, etc. Additionally, the proposed method produces excellent visual results regarding edge preservation, texture preservation, and more information. Full article
Show Figures

Figure 1

12 pages, 1121 KB  
Article
Discriminatively Unsupervised Learning Person Re-Identification via Considering Complicated Images
by Rong Quan, Biaoyi Xu and Dong Liang
Sensors 2023, 23(6), 3259; https://doi.org/10.3390/s23063259 - 20 Mar 2023
Cited by 2 | Viewed by 2537
Abstract
State-of-the-art purely unsupervised learning person re-ID methods first cluster all the images into multiple clusters and assign each clustered image a pseudo label based on the cluster result. Then, they construct a memory dictionary that stores all the clustered images, and subsequently train [...] Read more.
State-of-the-art purely unsupervised learning person re-ID methods first cluster all the images into multiple clusters and assign each clustered image a pseudo label based on the cluster result. Then, they construct a memory dictionary that stores all the clustered images, and subsequently train the feature extraction network based on this dictionary. All these methods directly discard the unclustered outliers in the clustering process and train the network only based on the clustered images. The unclustered outliers are complicated images containing different clothes and poses, with low resolution, severe occlusion, and so on, which are common in real-world applications. Therefore, models trained only on clustered images will be less robust and unable to handle complicated images. We construct a memory dictionary that considers complicated images consisting of both clustered and unclustered images, and design a corresponding contrastive loss by considering both kinds of images. The experimental results show that our memory dictionary that considers complicated images and contrastive loss can improve the person re-ID performance, which demonstrates the effectiveness of considering unclustered complicated images in unsupervised person re-ID. Full article
(This article belongs to the Special Issue Person Re-Identification Based on Computer Vision)
Show Figures

Figure 1

16 pages, 1047 KB  
Article
Image-Based Radical Identification in Chinese Characters
by Yu Tzu Wu, Eric Fujiwara and Carlos Kenichi Suzuki
Appl. Sci. 2023, 13(4), 2163; https://doi.org/10.3390/app13042163 - 8 Feb 2023
Cited by 2 | Viewed by 9671
Abstract
The Chinese writing system, known as hanzi or Han character, is fundamentally pictographic, composed of clusters of strokes. Nowadays, there are over 85,000 individual characters, making it difficult even for a native speaker to recognize the precise meaning of everything one reads. However, [...] Read more.
The Chinese writing system, known as hanzi or Han character, is fundamentally pictographic, composed of clusters of strokes. Nowadays, there are over 85,000 individual characters, making it difficult even for a native speaker to recognize the precise meaning of everything one reads. However, specific clusters of strokes known as indexing radicals provide the semantic information of the whole character or even of an entire family of characters, are golden features in entry indexing in dictionaries and are essential in learning the Chinese language as a first or second idiom. Therefore, this work aims to identify the indexing radical of a hanzi from a picture through a convolutional neural network model with two layers and 15 classes. The model was validated for three calligraphy styles and presented an average F-score of ∼95.7% to classify 15 radicals within the known styles. For unknown fonts, the F-score varied according to the overall calligraphy size, thickness, and stroke nature and reached ∼83.0% for the best scenario. Subsequently, the model was evaluated on five ancient Chinese poems with a random set of hanzi, resulting in average F-scores of ∼86.0% and ∼61.4% disregarding and regarding the unknown indexing radicals, respectively. Full article
(This article belongs to the Special Issue Machine Learning for Language and Signal Processing)
Show Figures

Figure 1

18 pages, 1166 KB  
Article
Divergence-Based Locally Weighted Ensemble Clustering with Dictionary Learning and L2,1-Norm
by Jiaxuan Xu, Jiang Wu, Taiyong Li and Yang Nan
Entropy 2022, 24(10), 1324; https://doi.org/10.3390/e24101324 - 21 Sep 2022
Cited by 4 | Viewed by 2523
Abstract
Accurate clustering is a challenging task with unlabeled data. Ensemble clustering aims to combine sets of base clusterings to obtain a better and more stable clustering and has shown its ability to improve clustering accuracy. Dense representation ensemble clustering (DREC) and entropy-based locally [...] Read more.
Accurate clustering is a challenging task with unlabeled data. Ensemble clustering aims to combine sets of base clusterings to obtain a better and more stable clustering and has shown its ability to improve clustering accuracy. Dense representation ensemble clustering (DREC) and entropy-based locally weighted ensemble clustering (ELWEC) are two typical methods for ensemble clustering. However, DREC treats each microcluster equally and hence, ignores the differences between each microcluster, while ELWEC conducts clustering on clusters rather than microclusters and ignores the sample–cluster relationship. To address these issues, a divergence-based locally weighted ensemble clustering with dictionary learning (DLWECDL) is proposed in this paper. Specifically, the DLWECDL consists of four phases. First, the clusters from the base clustering are used to generate microclusters. Second, a Kullback–Leibler divergence-based ensemble-driven cluster index is used to measure the weight of each microcluster. With these weights, an ensemble clustering algorithm with dictionary learning and the L2,1-norm is employed in the third phase. Meanwhile, the objective function is resolved by optimizing four subproblems and a similarity matrix is learned. Finally, a normalized cut (Ncut) is used to partition the similarity matrix and the ensemble clustering results are obtained. In this study, the proposed DLWECDL was validated on 20 widely used datasets and compared to some other state-of-the-art ensemble clustering methods. The experimental results demonstrated that the proposed DLWECDL is a very promising method for ensemble clustering. Full article
(This article belongs to the Special Issue Recent Advances in Statistical Theory and Applications)
Show Figures

Figure 1

20 pages, 1838 KB  
Article
Combining Log Files and Monitoring Data to Detect Anomaly Patterns in a Data Center
by Laura Viola, Elisabetta Ronchieri and Claudia Cavallaro
Computers 2022, 11(8), 117; https://doi.org/10.3390/computers11080117 - 26 Jul 2022
Cited by 6 | Viewed by 5681
Abstract
Context—Anomaly detection in a data center is a challenging task, having to consider different services on various resources. Current literature shows the application of artificial intelligence and machine learning techniques to either log files or monitoring data: the former created by services at [...] Read more.
Context—Anomaly detection in a data center is a challenging task, having to consider different services on various resources. Current literature shows the application of artificial intelligence and machine learning techniques to either log files or monitoring data: the former created by services at run time, while the latter produced by specific sensors directly on the physical or virtual machine. Objectives—We propose a model that exploits information both in log files and monitoring data to identify patterns and detect anomalies over time both at the service level and at the machine level. Methods—The key idea is to construct a specific dictionary for each log file which helps to extract anomalous n-grams in the feature matrix. Several techniques of Natural Language Processing, such as wordclouds and Topic modeling, have been used to enrich such dictionary. A clustering algorithm was then applied to the feature matrix to identify and group the various types of anomalies. On the other side, time series anomaly detection technique has been applied to sensors data in order to combine problems found in the log files with problems stored in the monitoring data. Several services (i.e., log files) running on the same machine have been grouped together with the monitoring metrics. Results—We have tested our approach on a real data center equipped with log files and monitoring data that can characterize the behaviour of physical and virtual resources in production. The data have been provided by the National Institute for Nuclear Physics in Italy. We have observed a correspondence between anomalies in log files and monitoring data, e.g., a decrease in memory usage or an increase in machine load. The results are extremely promising. Conclusions—Important outcomes have emerged thanks to the integration between these two types of data. Our model requires to integrate site administrators’ expertise in order to consider all critical scenarios in the data center and understand results properly. Full article
(This article belongs to the Special Issue Selected Papers from ICCSA 2021)
Show Figures

Figure 1

23 pages, 26957 KB  
Article
Hyperspectral Image Super-Resolution Method Based on Spectral Smoothing Prior and Tensor Tubal Row-Sparse Representation
by Le Sun, Qihao Cheng and Zhiguo Chen
Remote Sens. 2022, 14(9), 2142; https://doi.org/10.3390/rs14092142 - 29 Apr 2022
Cited by 8 | Viewed by 3211
Abstract
Due to the limited hardware conditions, hyperspectral image (HSI) has a low spatial resolution, while multispectral image (MSI) can gain higher spatial resolution. Therefore, derived from the idea of fusion, we reconstructed HSI with high spatial resolution and spectral resolution from HSI and [...] Read more.
Due to the limited hardware conditions, hyperspectral image (HSI) has a low spatial resolution, while multispectral image (MSI) can gain higher spatial resolution. Therefore, derived from the idea of fusion, we reconstructed HSI with high spatial resolution and spectral resolution from HSI and MSI and put forward an HSI Super-Resolution model based on Spectral Smoothing prior and Tensor tubal row-sparse representation, termed SSTSR. Foremost, nonlocal priors are applied to refine the super-resolution task into reconstructing each nonlocal clustering tensor. Then per nonlocal cluster tensor is decomposed into two sub tensors under the tensor t-prodcut framework, one sub-tensor is called tersor dictionary and the other is called tensor coefficient. Meanwhile, in the process of dictionary learning and sparse coding, spectral smoothing constraint is imposed on the tensor dictionary, and L1,1,2 norm based tubal row-sparse regularizer is enforced on the tensor coefficient to enhance the structured sparsity. With this model, the spatial similarity and spectral similarity of the nonlocal cluster tensor are fully utilized. Finally, the alternating direction method of multipliers (ADMM) was employed to optimize the solution of our method. Experiments on three simulated datasets and one real dataset show that our approach is superior to many advanced HSI super-resolution methods. Full article
(This article belongs to the Section Remote Sensing Image Processing)
Show Figures

Figure 1

19 pages, 13116 KB  
Article
Locality Constrained Low Rank Representation and Automatic Dictionary Learning for Hyperspectral Anomaly Detection
by Ju Huang, Kang Liu and Xuelong Li
Remote Sens. 2022, 14(6), 1327; https://doi.org/10.3390/rs14061327 - 9 Mar 2022
Cited by 12 | Viewed by 3156
Abstract
Hyperspectral anomaly detection (HAD) as a special target detection can automatically locate anomaly objects whose spectral information are quite different from their surroundings, without any prior information about background and anomaly. In recent years, HAD methods based on the low rank representation (LRR) [...] Read more.
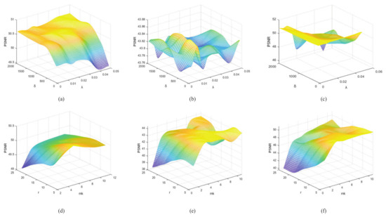
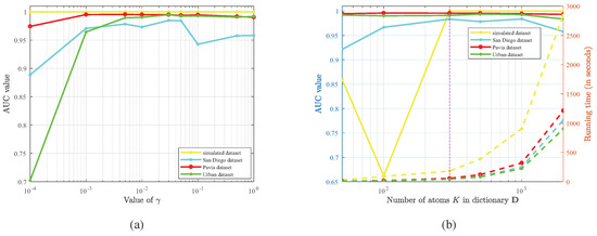
Hyperspectral anomaly detection (HAD) as a special target detection can automatically locate anomaly objects whose spectral information are quite different from their surroundings, without any prior information about background and anomaly. In recent years, HAD methods based on the low rank representation (LRR) model have caught much attention, and achieved good results. However, LRR is a global structure model, which inevitably ignores the local geometrical information of hyperspectral image. Furthermore, most of these methods need to construct dictionaries with clustering algorithm in advance, and they are carried out stage by stage. In this paper, we introduce a locality constrained term inspired by manifold learning topreserve the local geometrical structure during the LRR process, and incorporate the dictionary learning into the optimization process of the LRR. Our proposed method is an one-stage algorithm, which can obtain the low rank representation coefficient matrix, the dictionary matrix, and the residual matrix referring to anomaly simultaneously. One simulated and three real hyperspectral images are used as test datasets. Three metrics, including the ROC curve, AUC value, and box plot, are used to evaluate the detection performance. The visualized results demonstrate convincingly that our method can not only detect anomalies accurately, but also suppress the background information and noises effectively. The three evaluation metrics also prove that our method is superior to other typical methods. Full article
Show Figures

Figure 1

19 pages, 9778 KB  
Article
A Saliency-Based Sparse Representation Method for Point Cloud Simplification
by Esmeide Leal, German Sanchez-Torres, John W. Branch-Bedoya, Francisco Abad and Nallig Leal
Sensors 2021, 21(13), 4279; https://doi.org/10.3390/s21134279 - 23 Jun 2021
Cited by 24 | Viewed by 4100
Abstract
High-resolution 3D scanning devices produce high-density point clouds, which require a large capacity of storage and time-consuming processing algorithms. In order to reduce both needs, it is common to apply surface simplification algorithms as a preprocessing stage. The goal of point cloud simplification [...] Read more.
High-resolution 3D scanning devices produce high-density point clouds, which require a large capacity of storage and time-consuming processing algorithms. In order to reduce both needs, it is common to apply surface simplification algorithms as a preprocessing stage. The goal of point cloud simplification algorithms is to reduce the volume of data while preserving the most relevant features of the original point cloud. In this paper, we present a new point cloud feature-preserving simplification algorithm. We use a global approach to detect saliencies on a given point cloud. Our method estimates a feature vector for each point in the cloud. The components of the feature vector are the normal vector coordinates, the point coordinates, and the surface curvature at each point. Feature vectors are used as basis signals to carry out a dictionary learning process, producing a trained dictionary. We perform the corresponding sparse coding process to produce a sparse matrix. To detect the saliencies, the proposed method uses two measures, the first of which takes into account the quantity of nonzero elements in each column vector of the sparse matrix and the second the reconstruction error of each signal. These measures are then combined to produce the final saliency value for each point in the cloud. Next, we proceed with the simplification of the point cloud, guided by the detected saliency and using the saliency values of each point as a dynamic clusterization radius. We validate the proposed method by comparing it with a set of state-of-the-art methods, demonstrating the effectiveness of the simplification method. Full article
(This article belongs to the Section Remote Sensors)
Show Figures

Figure 1

19 pages, 13164 KB  
Article
A Cascaded Ensemble of Sparse-and-Dense Dictionaries for Vehicle Detection
by Zihao Rong, Shaofan Wang, Dehui Kong and Baocai Yin
Appl. Sci. 2021, 11(4), 1861; https://doi.org/10.3390/app11041861 - 20 Feb 2021
Cited by 2 | Viewed by 1864
Abstract
Vehicle detection as a special case of object detection has practical meaning but faces challenges, such as the difficulty of detecting vehicles of various orientations, the serious influence from occlusion, the clutter of background, etc. In addition, existing effective approaches, like deep-learning-based ones, [...] Read more.
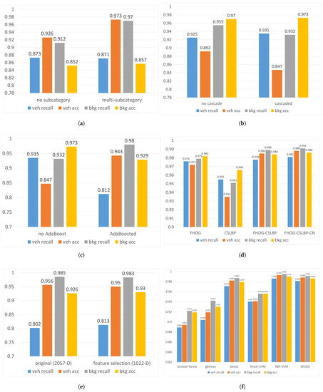
Vehicle detection as a special case of object detection has practical meaning but faces challenges, such as the difficulty of detecting vehicles of various orientations, the serious influence from occlusion, the clutter of background, etc. In addition, existing effective approaches, like deep-learning-based ones, demand a large amount of training time and data, which causes trouble for their application. In this work, we propose a dictionary-learning-based vehicle detection approach which explicitly addresses these problems. Specifically, an ensemble of sparse-and-dense dictionaries (ESDD) are learned through supervised low-rank decomposition; each pair of sparse-and-dense dictionaries (SDD) in the ensemble is trained to represent either a subcategory of vehicle (corresponding to certain orientation range or occlusion level) or a subcategory of background (corresponding to a cluster of background patterns) and only gives good reconstructions to samples of the corresponding subcategory, making the ESDD capable of classifying vehicles from background even though they exhibit various appearances. We further organize ESDD into a two-level cascade (CESDD) to perform coarse-to-fine two-stage classification for better performance and computation reduction. The CESDD is then coupled with a downstream AdaBoost process to generate robust classifications. The proposed CESDD model is used as a window classifier in a sliding-window scan process over image pyramids to produce multi-scale detections, and an adapted mean-shift-like non-maximum suppression process is adopted to remove duplicate detections. Our CESDD vehicle detection approach is evaluated on KITTI dataset and compared with other strong counterparts; the experimental results exhibit the effectiveness of CESDD-based classification and detection, and the training of CESDD only demands small amount of time and data. Full article
(This article belongs to the Section Computing and Artificial Intelligence)
Show Figures

Figure 1

20 pages, 13706 KB  
Article
Endmember Learning with K-Means through SCD Model in Hyperspectral Scene Reconstructions
by Ayan Chatterjee and Peter W. T. Yuen
J. Imaging 2019, 5(11), 85; https://doi.org/10.3390/jimaging5110085 - 15 Nov 2019
Cited by 6 | Viewed by 6329
Abstract
This paper proposes a simple yet effective method for improving the efficiency of sparse coding dictionary learning (DL) with an implication of enhancing the ultimate usefulness of compressive sensing (CS) technology for practical applications, such as in hyperspectral imaging (HSI) scene reconstruction. CS [...] Read more.
This paper proposes a simple yet effective method for improving the efficiency of sparse coding dictionary learning (DL) with an implication of enhancing the ultimate usefulness of compressive sensing (CS) technology for practical applications, such as in hyperspectral imaging (HSI) scene reconstruction. CS is the technique which allows sparse signals to be decomposed into a sparse representation “a” of a dictionary D u . The goodness of the learnt dictionary has direct impacts on the quality of the end results, e.g., in the HSI scene reconstructions. This paper proposes the construction of a concise and comprehensive dictionary by using the cluster centres of the input dataset, and then a greedy approach is adopted to learn all elements within this dictionary. The proposed method consists of an unsupervised clustering algorithm (K-Means), and it is then coupled with an advanced sparse coding dictionary (SCD) method such as the basis pursuit algorithm (orthogonal matching pursuit, OMP) for the dictionary learning. The effectiveness of the proposed K-Means Sparse Coding Dictionary (KMSCD) is illustrated through the reconstructions of several publicly available HSI scenes. The results have shown that the proposed KMSCD achieves ~40% greater accuracy, 5 times faster convergence and is twice as robust as that of the classic Spare Coding Dictionary (C-SCD) method that adopts random sampling of data for the dictionary learning. Over the five data sets that have been employed in this study, it is seen that the proposed KMSCD is capable of reconstructing these scenes with mean accuracies of approximately 20–500% better than all competing algorithms adopted in this work. Furthermore, the reconstruction efficiency of trace materials in the scene has been assessed: it is shown that the KMSCD is capable of recovering ~12% better than that of the C-SCD. These results suggest that the proposed DL using a simple clustering method for the construction of the dictionary has been shown to enhance the scene reconstruction substantially. When the proposed KMSCD is incorporated with the Fast non-negative orthogonal matching pursuit (FNNOMP) to constrain the maximum number of materials to coexist in a pixel to four, experiments have shown that it achieves approximately ten times better than that constrained by using the widely employed TMM algorithm. This may suggest that the proposed DL method using KMSCD and together with the FNNOMP will be more suitable to be the material allocation module of HSI scene simulators like the CameoSim package. Full article
(This article belongs to the Special Issue Multispectral Imaging)
Show Figures

Figure 1

Back to TopTop