Sign in to use this feature.

Years

Between: -

Subjects

remove_circle_outline
remove_circle_outline
remove_circle_outline
remove_circle_outline

Journals

Article Types

Countries / Regions

Search Results (13)

Search Parameters:
Keywords = clearance between punch and die

Order results
Result details
Results per page
Select all
Export citation of selected articles as:
25 pages, 3855 KB  
Article
The Effects of Tool Wear on the Accuracy of Complex Geometry in Sheet Blanking
by Ümit Aldemir, Orhan Çakır and C. Erdem İmrak
J. Manuf. Mater. Process. 2025, 9(12), 391; https://doi.org/10.3390/jmmp9120391 - 27 Nov 2025
Viewed by 647
Abstract
The effects of tool wear on the accuracy of complex geometry in thin-sheet blanking are examined. Two illustrative examples are given. The first example considers the effect of tool wear when using a cutting die with a 5% clearance value. The second example [...] Read more.
The effects of tool wear on the accuracy of complex geometry in thin-sheet blanking are examined. Two illustrative examples are given. The first example considers the effect of tool wear when using a cutting die with a 5% clearance value. The second example considers the effect of tool wear when using a cutting die with a 3% clearance value. The volume loss and the improvement in punch-tip rounding of parts with complex geometries and sharp corners in thin steel sheets are obtained and compared. It is shown that punch wear changes according to the surface roughness of the cut piece and the burr height on sharp corners, radii, and flat surfaces. A strategy for calculating tool wear is also proposed. It was found that a die clearance of 5% provides much better results than a 3% clearance for soft sheets with a thickness of 0.50 mm in terms of minimizing tool wear and maximizing the clearance value. Full article
Show Figures

Figure 1

14 pages, 5900 KB  
Article
Punch Edge Topological Design for Reduction of Work Hardening Damage in Shearing of Non-Oriented Electrical Steel Sheets
by Ryoma Okada, Kentaro Ito, Tatsuya Funazuka, Tatsuhiko Aizawa and Tomomi Shiratori
Materials 2025, 18(4), 878; https://doi.org/10.3390/ma18040878 - 17 Feb 2025
Cited by 1 | Viewed by 1052
Abstract
A new shearing tool is necessary to reduce the iron loss of motor cores by minimizing the work hardening damage on the sheared non-oriented electrical steel sheets. The punch edge topology and the clearance between the punch and the die were controlled to [...] Read more.
A new shearing tool is necessary to reduce the iron loss of motor cores by minimizing the work hardening damage on the sheared non-oriented electrical steel sheets. The punch edge topology and the clearance between the punch and the die were controlled to investigate their influence on the sheared surface condition and the work hardening damage of steel sheets. A non-oriented electrical steel sheet with the thickness of 500 µm was used and sheared at the speed of 5 mm/s. After that, the sheared surface was investigated. In particular, hardness mapping was utilized to quantitatively analyze the work-hardened area of the sheared steel sheets and the dissipation of the plastic work. Among the four punch edge topological configurations explored, the nano-grooved punch employed straight along the shearing direction reduced the damage dealt to the sheared steel sheets and the plastic dissipation work to one-third compared to conventional punches. Full article
Show Figures

Figure 1

14 pages, 7651 KB  
Article
Optimization of Motor Rotor Punch Wear Parameters Based on Response Surface Method
by Shaobo Wen, Ran She, Zhendong Zhao and Yipeng Gong
Machines 2024, 12(10), 671; https://doi.org/10.3390/machines12100671 - 25 Sep 2024
Cited by 2 | Viewed by 1470
Abstract
To reduce the wear of the motor rotor punching punch and ensure the efficiency is the highest in actual production, the finite element analysis software Deform-3Dv11 is used to simulate the punch wear based on the Archard model theory. With punch wear as [...] Read more.
To reduce the wear of the motor rotor punching punch and ensure the efficiency is the highest in actual production, the finite element analysis software Deform-3Dv11 is used to simulate the punch wear based on the Archard model theory. With punch wear as the response target and punch speed, punch clearance, and punch edge fillet as the main factors, 17 groups of response surface Box–Behnken test designs are established, as well as a quadratic polynomial regression model between the main factors and the response. The results revealed that: the influence of various parameters on punch wear is in the order of punch edge fillet C > punch clearance B > punch speed A; the order of the interactive influence of various factors is as follows: punch speed and punch edge fillet AC > punch speed and punch clearance AB > punch clearance and punch edge fillet BC. The optimal blanking process combination obtained by using Design-Expert13 software is as follows: blanking speed 50 mm/s, blanking clearance 0.036 mm, and die cutting edge rounded corner 0.076 mm; the predicted response surface value is 6.95 × 10−12 mm. Through simulation verification, the actual optimized simulation value is 6.93 × 10−12 mm, with an absolute relative error of 2.5% for the predicted response value. Moreover, the optimized simulation value is reduced by 30.4% compared to the one before optimization, effectively reducing the punch wear of the motor rotor punching forming and providing a theoretical foundation for further wear optimization. Full article
(This article belongs to the Special Issue Advances in Design and Manufacturing in Die Casting and Metal Forming)
Show Figures

Figure 1

20 pages, 9161 KB  
Article
Study and Optimization of the Punching Process of Steel Using the Johnson–Cook Damage Model
by Adrián Claver, Andrea Hernández Acosta, Eneko Barba, Juan P. Fuertes, Alexia Torres, José A. García, Rodrigo Luri and Daniel Salcedo
Metals 2024, 14(6), 616; https://doi.org/10.3390/met14060616 - 23 May 2024
Cited by 2 | Viewed by 2286
Abstract
Sheet metal forming processes are widely used in applications such as those in the automotive or aerospace industries. Among them, punching is of great interest due to its high productivity and low operating cost. However, it is necessary to optimize these processes and [...] Read more.
Sheet metal forming processes are widely used in applications such as those in the automotive or aerospace industries. Among them, punching is of great interest due to its high productivity and low operating cost. However, it is necessary to optimize these processes and adjust their parameters, such as clearance, shear force or tool geometry, to obtain the best finishes and minimize crack generation. Thus, the main objective of this research work is to optimize the punching process to achieve parts that do not require subsequent processes, such as deburring, by controlling the properties of the starting materials and with the help of tools such as design of experiments and simulations. In the present study, tensile tests were performed on three steels with different compositions and three sample geometries. The information obtained from these tests has allowed us to determine the parameters of the Johnson–Cook damage criteria. Moreover, punching was performed on real parts and compared with simulations to analyze the percentage of burnish surface. The results obtained show that the methodology used was correct and that it can be extrapolated to other types of die-cutting processes by reducing the percentage of surface fractures and predicting the appearance of cracks. Furthermore, it was observed that clearance has a greater influence than processing speed, while the minimum percentage of the burnish area was observed for the minimum values of clearance. Full article
(This article belongs to the Special Issue Advances in Modeling and Simulation in Metal Forming)
Show Figures

Figure 1

23 pages, 12844 KB  
Article
Prediction of Hole Expansion Ratio for Advanced High-Strength Steel with Image Feature Analysis of Sheared Edge
by Kyucheol Jeong, Yuhyeong Jeong, Jaewook Lee, Chanhee Won and Jonghun Yoon
Materials 2023, 16(7), 2847; https://doi.org/10.3390/ma16072847 - 3 Apr 2023
Cited by 7 | Viewed by 3526
Abstract
The punching process of AHSS induces edge cracks in successive process, limiting the application of AHSS for vehicle bodies. Controlling and predicting edge quality is substantially difficult due to the large variation in edge quality, die wear induced by high strength, and the [...] Read more.
The punching process of AHSS induces edge cracks in successive process, limiting the application of AHSS for vehicle bodies. Controlling and predicting edge quality is substantially difficult due to the large variation in edge quality, die wear induced by high strength, and the complex effect of phase distribution. To overcome this challenge, a quality prediction model that considers the variation of the entire edge should be developed. In this study, the image of the entire edge was analyzed to provide a comprehensive evaluation of its quality. Statistical features were extracted from the edge images to represent the edge quality of DP780, DP980, and MART1500 steels. Combined with punching monitoring signals, a prediction model for hole expansion ratio was developed under punch conditions of varying clearance, punch angle, and punch edge radius. It was found that the features of grayscale variation are affected by the punching conditions and are related to the double burnish and uneven burr, which degrades the edge quality. Prediction of HER was possible based on only edge image and monitoring signals, with the same performance as the prediction based solely on punching parameters and material properties. The prediction performance improved when using all the features. Full article
(This article belongs to the Special Issue Enhancing In-Use Properties of Advanced Steels)
Show Figures

Figure 1

10 pages, 10452 KB  
Article
Dimensioning of the Clearance as a Means of Avoiding Burr and Film Formation during the Punching of PC/ABS Cable Ducts
by Sebastian F. Noller, Roland Heiler and Anja Pfennig
Clean Technol. 2022, 4(4), 1290-1299; https://doi.org/10.3390/cleantechnol4040079 - 14 Dec 2022
Viewed by 3097
Abstract
The production of staple articles such as cable ducts offers reductions in resource and production energy consumption if the process is optimized. Side recesses made of polyvinyl chloride (PVC) have already been punched successfully as one of the process steps during the production [...] Read more.
The production of staple articles such as cable ducts offers reductions in resource and production energy consumption if the process is optimized. Side recesses made of polyvinyl chloride (PVC) have already been punched successfully as one of the process steps during the production of cable ducts. However, punching cable ducts made of flame-retardant polycarbonate/acrylonitrile–butadiene–styrene (PC/ABS) is challenging because increased burr and film formation occurs. This study introduces the correct dimensioning of the clearance as a means of reducing the burr and film formation and presents the ideal clearance dimensions. This new process design approach comprises the dimensioning of the clearance and its subsequent successful application. Tools with clearances in the relevant size range were purchased and examined by means of punching tests. The punch-outs were evaluated regarding the quality characteristics, such as the burr, film, cut surface quality, shear droop, and plastic flow characteristics. Excerpts from high-speed recordings were used to assess the punch-outs qualitatively. The burr formation is significantly decreased by the use of a correctly dimensioned clearance, allowing for the crack initiated at the punch side and the crack initiated at the die side to meet perfectly. It is assumed that film formation can be avoided via a significant reduction in the friction or heat input during the punching process. Full article
Show Figures

Figure 1

15 pages, 10592 KB  
Article
Fabrication of Punch and Die Using Plasma-Assisted 3D Printing Technology for Piercing Sheet Metals
by Tatsuhiko Aizawa, Yohei Suzuki, Tomoaki Yoshino and Tomomi Shiratori
J. Manuf. Mater. Process. 2022, 6(3), 49; https://doi.org/10.3390/jmmp6030049 - 20 Apr 2022
Cited by 5 | Viewed by 4705
Abstract
A pair of punch and die was often fabricated using subtractive manufacturing processes such as milling and other machining processes. However, additive manufacturing could be used to perform the same processes. This study explored this possibility. In particular, this study fabricated a pair [...] Read more.
A pair of punch and die was often fabricated using subtractive manufacturing processes such as milling and other machining processes. However, additive manufacturing could be used to perform the same processes. This study explored this possibility. In particular, this study fabricated a pair of T-shaped punch and die made of AISI316L austenitic stainless steel using an additive manufacturing process called plasma-assisted 3D printing. Accordingly, T-shaped negative and positive 2D patterns were screen-printed onto the mirror-polished surfaces of the substrates made of AISI316L austenitic stainless steel. The printed film worked like a mask to prevent the printed substrate surfaces from nitriding. In order to form a thick nitrided layer, the unprinted substrate surfaces were selectively nitrided at 673 K for 14.4 ks. The un-nitrided segments of the substrates were uniformly removed by sand-blasting that involved shooting silica particles on the substrate’s surfaces. As a result, the substrates printed with negative and positive T-shaped patterns were transformed into the punch head and die cavity. In order to see the efficacy of the fabricated punch and die pair, this pair was used for piercing the electrical steel sheets under a controlled clearance. Scanning Electron Microscopy with Energy Dispersive X-ray (SEM-EDX) was used to measure surface topography after piercing. In addition, SEM and a 3D profilometer were used to measure the punch and die profiles after piercing. The abovementioned measurement results showed that the fabricated punch and die exhibited highly accurate piercing behavior. Thus, the plasma-assisted 3D printing was useful for punch and die fabrication. Full article
Show Figures

Figure 1

15 pages, 12422 KB  
Article
Quantitative Characterization of the Affected Zones in a Single Crystal Fe-6Si Steel Sheet by Fine Piercing
by Tatsuhiko Aizawa, Tomomi Shiratori, Tomoaki Yoshino, Yohei Suzuki and Kuniaki Dohda
Micromachines 2022, 13(4), 562; https://doi.org/10.3390/mi13040562 - 31 Mar 2022
Cited by 3 | Viewed by 2228
Abstract
An iron loss in the motor core was often enhanced by formation of plastically affected zones in piercing the electrical steel sheets. A platform methodology to carry out quantitative evaluation of these affected zones in the pierced electrical steel sheets was proposed to [...] Read more.
An iron loss in the motor core was often enhanced by formation of plastically affected zones in piercing the electrical steel sheets. A platform methodology to carry out quantitative evaluation of these affected zones in the pierced electrical steel sheets was proposed to search for the way to minimize the affected zone widths. A coarse-grained electrical steel sheet was employed as a work material for a fine piercing experiment under the narrowed clearance between the plasma-nitrided SKD11 punch and core-die. The shearing behavior by the applied loading for piercing was described by in situ measurement of the load-stroke relationship. The plastic straining in the single-crystal electrical steel sheet was characterized by SEM (scanning electron microscopy) and EBSD (electron back-scattering diffraction) to define the affected zone size and to analyze the rotation of crystallographic orientations by the induced plastic distortion during piercing. Integral and differentiation of spin rotation measured the affected zones. The effect of punch edge sharpness on these spin-rotation measures was also discussed using the nitrided and ion-milled SKD11 punch and core-die. Full article
(This article belongs to the Special Issue Micro and Nano Manufacturing (WCMNM 2021))
Show Figures

Figure 1

10 pages, 4726 KB  
Article
Elucidation of Shearing Mechanism of Finish-type FB and Extrusion-type FB for Thin Foil of JIS SUS304 by Numerical and EBSD Analyses
by Yohei Suzuki, Tomomi Shiratori, Ming Yang and Masao Murakawa
Materials 2019, 12(13), 2143; https://doi.org/10.3390/ma12132143 - 3 Jul 2019
Cited by 6 | Viewed by 3269
Abstract
A numerical analysis using FE (finite element) analysis was performed to clarify the shearing mechanism in the process of extrusion-type fine blanking (FB) for a thin foil of JIS SUS304 in this study. Extrusion-type FB, in which a negative clearance between the punch [...] Read more.
A numerical analysis using FE (finite element) analysis was performed to clarify the shearing mechanism in the process of extrusion-type fine blanking (FB) for a thin foil of JIS SUS304 in this study. Extrusion-type FB, in which a negative clearance between the punch and the die has been developed and investigated experimentally to improve the quality of the sheared surface in the blanking of thin foils. The resultant sheared surface for extrusion-type FB indicated an almost completely sheared surface, and the fracture portion on the sheared surface was much smaller than that in conventional FB, the so-called finish-type FB. The material flow and fracture criteria in extrusion-type FB were analyzed in comparison with those in finish-type FB. The differences in material flow and so-called critical fracture value were verified for the two processes. The principal stress near the shearing surface has mostly compressive components in extrusion-type FB due to its negative clearance, and the critical fracture value was also less than that in finish-type FB, in which the principal stress near the shearing surface has mostly tensile components. Furthermore, SEM observation with EBSD (electron back-scatter diffraction) analysis of the shearing surface was performed to verify the phenomena. Reductions in deformation-induced crystal orientation rotation and martensite transformation in extrusion-type FB were confirmed in comparison with those in finish-type FB from the analysis results. Full article
(This article belongs to the Special Issue Micromanufacturing of Metallic Materials)
Show Figures

Figure 1

16 pages, 19253 KB  
Article
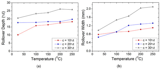
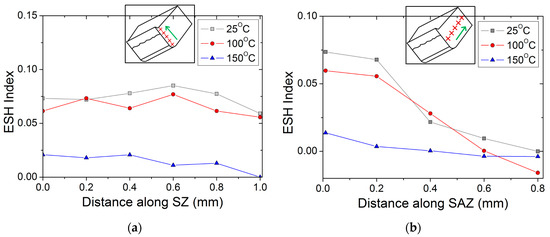
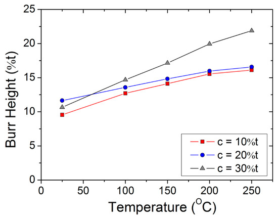
Characterization of Sheared Edges in Warm Blanking of Magnesium Alloy AZ31B
by Piemaan Fazily, Jaehyeong Yu and Chang-Whan Lee
Materials 2019, 12(7), 1023; https://doi.org/10.3390/ma12071023 - 28 Mar 2019
Cited by 12 | Viewed by 5084
Abstract
This research aims to characterize damage at the sheared edge caused by the blanking operation of magnesium alloy AZ31B sheets. Shearing tests were carried out on an in-house blanking die-set and mechanical press (universal testing machine) by varying punch–die clearance and temperature. Edge [...] Read more.
This research aims to characterize damage at the sheared edge caused by the blanking operation of magnesium alloy AZ31B sheets. Shearing tests were carried out on an in-house blanking die-set and mechanical press (universal testing machine) by varying punch–die clearance and temperature. Edge damage was distinguished by the geometrical features of the sheared edge and by the distribution of the edge strain hardening (ESH) index. In this account, optical microscopy and scanning electron microscopy were applied to examine the characteristic dimensions of the sheared edge, fracture profile, and sheared edge quality, while the Vickers hardness test was applied to observe the surface micro-hardness in the shear zone (SZ) and the shear affected zone (SAZ). It was concluded that the blanking of magnesium alloy sheets at room temperature results in sheared edge defects, due to premature fracture, referred to here as micro-cracks, loose particles, and a jagged-plus-curved fracture profile. However, such deformities were completely suppressed with the rise in temperature. In addition, based on optical morphology, micro-hardness tests, and microstructure evolution, the recommendation regarding blanking temperature for the magnesium alloy AZ31B has was proposed. Full article
(This article belongs to the Section Manufacturing Processes and Systems)
Show Figures

Figure 1

15 pages, 5530 KB  
Article
Application of Finite Element Method to Analyze the Influences of Process Parameters on the Cut Surface in Fine Blanking Processes by Using Clearance-Dependent Critical Fracture Criteria
by Phyo Wai Myint, Seiya Hagihara, Toru Tanaka, Shinya Taketomi and Yuichi Tadano
J. Manuf. Mater. Process. 2018, 2(2), 26; https://doi.org/10.3390/jmmp2020026 - 23 Apr 2018
Cited by 6 | Viewed by 4575
Abstract
The correct choice of process parameters is important in predicting the cut surface and obtaining a fully-fine sheared surface in the fine blanking process. The researchers used the value of the critical fracture criterion obtained by long duration experiments to predict the conditions [...] Read more.
The correct choice of process parameters is important in predicting the cut surface and obtaining a fully-fine sheared surface in the fine blanking process. The researchers used the value of the critical fracture criterion obtained by long duration experiments to predict the conditions of cut surfaces in the fine blanking process. In this study, the clearance-dependent critical ductile fracture criteria obtained by the Cockcroft-Latham and Oyane criteria were used to reduce the time and cost of experiments to obtain the value of the critical fracture criterion. The Finite Element Method (FEM) was applied to fine blanking processes to study the influences of process parameters such as the initial compression, the punch and die corner radii and the shape and size of the V-ring indenter on the length of the sheared surface. The effects of stress triaxiality and punch diameters on the cut surface produced by the fine blanking process are also discussed. The verified process parameters and tool geometry for obtaining a fully-fine sheared SPCC surface are described. The results showed that the accurate and stable prediction of ductile fracture initiation can be achieved using the Oyane criterion. Full article
(This article belongs to the Special Issue Precision Manufacturing)
Show Figures

Figure 1

10 pages, 4652 KB  
Article
The Dimensional Precision of Forming Windows in Bearing Cages
by Marius Rîpanu, Gheorghe Nagîţ, Laurenţiu Slătineanu and Oana Dodun
Machines 2018, 6(1), 9; https://doi.org/10.3390/machines6010009 - 1 Mar 2018
Cited by 2 | Viewed by 7210
Abstract
In the case of double row tapered roller bearings, the windows found in bearing cages could be obtained using various machining methods. Some such machining methods are based on the cold forming process. There are many factors that are able to affect the [...] Read more.
In the case of double row tapered roller bearings, the windows found in bearing cages could be obtained using various machining methods. Some such machining methods are based on the cold forming process. There are many factors that are able to affect the machining accuracy of the windows that exist in bearing cages. On the dimensional precision of windows, the clearance between punches and die, the work stroke length, and the workpiece thickness could exert influence. To evaluate this influence, experimental research was developed taking into consideration the height and the length of the cage window and the distance between the contact elements of the cage. By mathematical processing of the experimental results, empirical mathematical models were determined and analyzed. The empirical models highlighted the intensity of the influence exerted by the considered forming process input factors on the dimensional precision of the windows obtained in bearing cages. Full article
(This article belongs to the Special Issue Precision Machining)
Show Figures

Figure 1

13 pages, 5486 KB  
Article
Determination of the Values of Critical Ductile Fracture Criteria to Predict Fracture Initiation in Punching Processes
by Phyo Wai Myint, Seiya Hagihara, Toru Tanaka, Shinya Taketomi and Yuichi Tadano
J. Manuf. Mater. Process. 2017, 1(2), 12; https://doi.org/10.3390/jmmp1020012 - 11 Oct 2017
Cited by 17 | Viewed by 6533
Abstract
Punching processes are widely used for producing automobile parts, mechanical components, and other parts. To produce highly accurate parts, it is important to estimate the ratio of the sheared surface to the cut surface. Many researchers have applied the finite-element method (FEM) to [...] Read more.
Punching processes are widely used for producing automobile parts, mechanical components, and other parts. To produce highly accurate parts, it is important to estimate the ratio of the sheared surface to the cut surface. Many researchers have applied the finite-element method (FEM) to analyze the ratio of the sheared surface to the fracture surface on cut surfaces by using ductile fracture criteria. However, it is difficult to determine the fracture criteria on the cut surface by tensile tests or bending tests because the punching process involves many complicated steps. In this study, FEM was applied to the punching process to determine the values of critical fracture criteria (C) by using the ductile fracture criteria proposed by Cockcroft and Latham, Oyane, and Ayada. The ductile fracture criteria were compared with the boundary between the shear surface and the fracture surfaces using experiments performed with a simple punching system. The values of the ductile fracture criteria for the fracture initiation of the formed cut surface were predicted under various clearances between the punch and the die with various punch diameters. The influence of stress triaxiality and the effect of punch diameter on the sheared surface length are also discussed. Full article
Show Figures

Figure 1

Back to TopTop