Sign in to use this feature.

Years

Between: -

Subjects

remove_circle_outline
remove_circle_outline
remove_circle_outline
remove_circle_outline
remove_circle_outline

Journals

Article Types

Countries / Regions

Search Results (7)

Search Parameters:
Keywords = civil aircraft information visualization

Order results
Result details
Results per page
Select all
Export citation of selected articles as:
19 pages, 4394 KB  
Article
Research on Optimized YOLOv5s Algorithm for Detecting Aircraft Landing Runway Markings
by Wei Huang, Hongrui Guo, Xiangquan Li, Xi Tan and Bo Liu
Processes 2025, 13(8), 2572; https://doi.org/10.3390/pr13082572 - 14 Aug 2025
Viewed by 682
Abstract
During traditional aircraft landings, pilots face significant challenges in identifying runway numbers with the naked eye, particularly at decision height under adverse weather conditions. To address this issue, this study proposes a novel detection algorithm based on an optimized version of the YOLOv5s [...] Read more.
During traditional aircraft landings, pilots face significant challenges in identifying runway numbers with the naked eye, particularly at decision height under adverse weather conditions. To address this issue, this study proposes a novel detection algorithm based on an optimized version of the YOLOv5s model (You Only Look Once, version 5) for recognizing runway markings during civil aircraft landings. By integrating a data augmentation strategy with external datasets, the method effectively reduces both false detections and missed targets through expanded feature representation. An Alpha Complete Intersection over Union (CIOU) Loss function is introduced in place of the original CIOU Loss function, offering improved gradient optimization. Additionally, the model incorporates several advanced modules and techniques, including a Convolutional Block Attention Module (CBAM), Soft Non-Maximum Suppression (Soft-NMS), cosine annealing learning rate scheduling, the FReLU activation function, and deformable convolutions into the backbone and neck of the YOLOv5 architecture. To further enhance detection, a specialized small-target detection layer is added to the head of the network and the resolution of feature maps is improved. These enhancements enable better feature extraction and more accurate identification of smaller targets. As a result, the optimized model shows significantly improved recall (R) and precision (P). Experimental results, visualized using custom-developed software, demonstrate that the proposed optimized YOLOv5s model achieved increases of 5.66% in P, 2.99% in R, and 2.74% in mean average precision (mAP) compared to the baseline model. This study provides valuable data and a theoretical foundation to support the accurate visual identification of runway numbers and other reference markings during aircraft landings. Full article
(This article belongs to the Special Issue Modelling and Optimizing Process in Industry 4.0)
Show Figures

Figure 1

45 pages, 23251 KB  
Review
Autogiros: Review and Classification
by Tsvetomir Gechev, Krasimir Nedelchev and Ivan Kralov
Aerospace 2025, 12(1), 48; https://doi.org/10.3390/aerospace12010048 - 13 Jan 2025
Cited by 1 | Viewed by 4357
Abstract
The article reviews autogiros, concentrating on their flight history, development, application, flight principle, components, and advantages over other aircraft. Firstly, the history of autogiros is presented, focusing on breakthrough inventions and clarifying their significance for overall rotorcraft development. Then, contemporary scientific research on [...] Read more.
The article reviews autogiros, concentrating on their flight history, development, application, flight principle, components, and advantages over other aircraft. Firstly, the history of autogiros is presented, focusing on breakthrough inventions and clarifying their significance for overall rotorcraft development. Then, contemporary scientific research on the autogiro is reviewed in detail, and the available research gap is determined. The flight principle and technical fundamentals of autogiros are also briefly discussed, and a comparison between autogiros, helicopters, and fixed-wing aircraft is performed. Autogiros’ applications for civil, military, and mixed purposes are pointed out and schematically presented. The main part of the article comprises an overview of the different components and systems in the structure of the reviewed aircraft, including the main rotor, propeller, engine, cockpit, and others. Additionally, a comprehensive classification mostly concerning contemporary and homologated autogiros is described and schematically presented. Experimental and compound gyroplane designs are also examined and marked in the classification. The aircraft are categorized depending on the main structure type, mast availability, number of seats, number of rotors and rotor blades, rotor and mast position, propeller and tail type and position, pre-rotator type, and power source. The idea of different autogiro variants presented in the classification is enhanced with visual examples. This work is an addition to the efforts of promoting autogiros and research on them. It offers complete information regarding the aircraft and could serve as a kind of starting point for engineers in the design process of such types of flying machines. Full article
(This article belongs to the Section Aeronautics)
Show Figures

Figure 1

33 pages, 5567 KB  
Article
Implementation and Real-Time Validation of a European Remain Well Clear Function for Unmanned Vehicles
by Gianluca Corraro, Federico Corraro, Umberto Ciniglio, Edoardo Filippone, Niklas Peinecke and Erik Theunissen
Aerospace 2022, 9(10), 531; https://doi.org/10.3390/aerospace9100531 - 21 Sep 2022
Cited by 4 | Viewed by 3081
Abstract
The full integration of Remotely Piloted unmanned vehicles into civil airspace requires first and foremost the integration of a traffic Detect and Avoid (DAA) system into the vehicle. The DAA system supports remote pilots in performing their task of remaining Well Clear from [...] Read more.
The full integration of Remotely Piloted unmanned vehicles into civil airspace requires first and foremost the integration of a traffic Detect and Avoid (DAA) system into the vehicle. The DAA system supports remote pilots in performing their task of remaining Well Clear from other aircraft and avoiding collisions. Several studies related to the design of a Remain Well Clear function have been performed that served as input for the development of technical standards applicable to non-European countries. In this paper, a Remain Well Clear implementation is proposed that, using the results of past international projects, fits European airspace needs and specificities and can be acceptable to both remote pilots and air traffic controllers, with only minimal impact on the standard operating procedures used for manned aircraft. The proposed Remain Well Clear software has been successfully validated through real-time simulations with pilots and controllers in the loop considering traffic encounters and mission scenarios typically found in European airspace. The achieved results highlight the appropriate situational awareness provided by the proposed RWC function and its effective support to the remote pilot in making adequate decisions in conflict solving. Real-time simulation tests showed that, in almost all cases, an RWC maneuver is successfully performed, giving the RP sufficient time to assess the conflict, coordinate with the controller, if needed, and execute the maneuver. The fundamental role of the proposed RWC function has been especially evident in uncontrolled airspace classes where the controller does not provide any separation provision. Moreover, its effectiveness has also been tested in encounters with aircraft flying under visual flight rules in controlled airspace, where the controller is not informed or has less information regarding these aircraft. The results from validation tests imply two key potential safety benefits, namely: the mitigation of performing a collision avoidance maneuver and the prevention of potential conflict while not disrupting the traffic flow with possible further consequences of generating other potentially hazardous situations. Full article
(This article belongs to the Special Issue Recent Advances in See and Avoid Systems for Aircraft)
Show Figures

Figure 1

18 pages, 11288 KB  
Article
Ground Control System for UAS Safe Landing Area Determination (SLAD) in Urban Air Mobility Operations
by Gennaro Ariante, Salvatore Ponte, Umberto Papa, Alberto Greco and Giuseppe Del Core
Sensors 2022, 22(9), 3226; https://doi.org/10.3390/s22093226 - 22 Apr 2022
Cited by 12 | Viewed by 5450
Abstract
The use of the Unmanned Aerial Vehicles (UAV) and Unmanned Aircraft System (UAS) for civil, scientific, and military operations, is constantly increasing, particularly in environments very dangerous or impossible for human actions. Many tasks are currently carried out in metropolitan areas, such as [...] Read more.
The use of the Unmanned Aerial Vehicles (UAV) and Unmanned Aircraft System (UAS) for civil, scientific, and military operations, is constantly increasing, particularly in environments very dangerous or impossible for human actions. Many tasks are currently carried out in metropolitan areas, such as urban traffic monitoring, pollution and land monitoring, security surveillance, delivery of small packages, etc. Estimation of features around the flight path and surveillance of crowded areas, where there is a high number of vehicles and/or obstacles, are of extreme importance for typical UAS missions. Ensuring safety and efficiency during air traffic operations in a metropolitan area is one of the conditions for Urban Air Mobility (UAM) operations. This paper focuses on the development of a ground control system capable of monitoring crowded areas or impervious sites, identifying the UAV position and a safety area for vertical landing or take-off maneuvers (VTOL), ensuring a high level of accuracy and robustness, even without using GNSS-derived navigation information, and with on-board terrain hazard detection and avoidance (DAA) capabilities, in particular during operations conducted in BVLOS (Beyond Visual Line Of Sight). The system is composed by a mechanically rotating real-time LiDAR (Light Detection and Ranging) sensor, linked to a Raspberry Pi 3 as SBC (Session Board Controller), and interfaced to a GCS (Ground Control Station) by wireless connection for data management and 3-D information transfer. Full article
(This article belongs to the Special Issue Short-Range Optical 3D Scanning and 3D Data Processing)
Show Figures

Figure 1

18 pages, 2927 KB  
Article
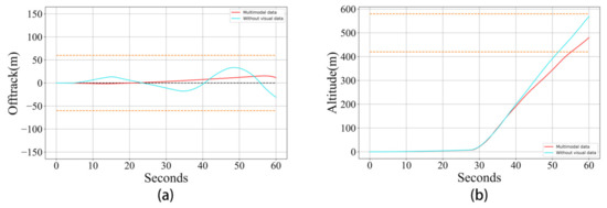
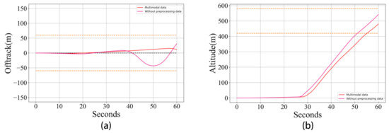
Learning to Have a Civil Aircraft Take Off under Crosswind Conditions by Reinforcement Learning with Multimodal Data and Preprocessing Data
by Feng Liu, Shuling Dai and Yongjia Zhao
Sensors 2021, 21(4), 1386; https://doi.org/10.3390/s21041386 - 16 Feb 2021
Cited by 2 | Viewed by 3450
Abstract
Autopilot technology in the field of aviation has developed over many years. However, it is difficult for an autopilot system to autonomously operate a civil aircraft under bad weather conditions. In this paper, we present a reinforcement learning (RL) algorithm using multimodal data [...] Read more.
Autopilot technology in the field of aviation has developed over many years. However, it is difficult for an autopilot system to autonomously operate a civil aircraft under bad weather conditions. In this paper, we present a reinforcement learning (RL) algorithm using multimodal data and preprocessing data to have a civil aircraft take off autonomously under crosswind conditions. The multimodal data include the common flight status and visual information. The preprocessing is a new design that maps some flight data by nonlinear functions based on the general flight dynamics before these data are fed into the RL model. Extensive experiments under different crosswind conditions with a professional flight simulator demonstrate that the proposed method can effectively control a civil aircraft to take off under various crosswind conditions and achieve better performance than trials without visual information or preprocessing data. Full article
(This article belongs to the Section Intelligent Sensors)
Show Figures

Figure 1

17 pages, 12749 KB  
Article
Upscaling UAS Paradigm to UltraLight Aircrafts: A Low-Cost Multi-Sensors System for Large Scale Aerial Photogrammetry
by Nicolas Latte, Peter Gaucher, Corentin Bolyn, Philippe Lejeune and Adrien Michez
Remote Sens. 2020, 12(8), 1265; https://doi.org/10.3390/rs12081265 - 16 Apr 2020
Cited by 3 | Viewed by 4787
Abstract
The use of unmanned aerial systems (UASs) has rapidly grown in many civil applications since the early 2010s. Nowadays, a large variety of reliable low-cost UAS sensors and controllers are available. However, contrary to ultralight aircrafts (ULAs), UASs have a too small operational [...] Read more.
The use of unmanned aerial systems (UASs) has rapidly grown in many civil applications since the early 2010s. Nowadays, a large variety of reliable low-cost UAS sensors and controllers are available. However, contrary to ultralight aircrafts (ULAs), UASs have a too small operational range to efficiently cover large areas. Flight regulations prevailing in many countries further reduced this operational range; in particular, the “within visual line of sight” rule. This study presents a new system for image acquisition and high-quality photogrammetry of large scale areas (>10 km²). It was developed by upscaling the UAS paradigm, i.e., low-cost sensors and controllers, little (or no) on-board active stabilization, and adequate structure from motion photogrammetry, to an ULA platform. Because the system is low-cost (good quality-price ratio of UAS technologies), multi-sensors (large variety of available UAS sensors) and versatile (high ULA operational flexibility and more lenient regulation than for other platforms), the possible applications are numerous in miscellaneous research domains. The system was described in detail and illustrated from the flight and images acquisition to the photogrammetric routine. The system was successfully used to acquire high resolution and high quality RGB and multispectral images, and produced precisely georeferenced digital elevation model (DEM) and orthophotomosaics for a forested area of 1200 ha. The system can potentially carry any type of sensors. The system compatibility with any sensor can be tested, in terms of image quality and flight plan, with the proposed method. This study also highlighted a major technical limitation of the low-cost thermal infrared cameras: the too high integration time with respect to the flight speed of most UASs and ULAs. By providing the complete information required for reproducing the system, the authors seek to encourage its implementation in different geographical locations and scientific contexts, as well as, its combination with other sensors, in particular, laser imaging detection and ranging (LiDAR) and hyperspectral. Full article
Show Figures

Figure 1

18 pages, 1407 KB  
Article
Holographic Mixed Reality System for Air Traffic Control and Management
by Kyungjin Han, Syed Hammad Hussain Shah and Jong Weon Lee
Appl. Sci. 2019, 9(16), 3370; https://doi.org/10.3390/app9163370 - 15 Aug 2019
Cited by 16 | Viewed by 6905
Abstract
Based on a long-term prediction by the International Civil Aviation Organization indicating steady increases in air traffic demand throughout the world, the workloads of air traffic controllers are expected to continuously increase. Air traffic control and management (ATC/M) includes the processing of various [...] Read more.
Based on a long-term prediction by the International Civil Aviation Organization indicating steady increases in air traffic demand throughout the world, the workloads of air traffic controllers are expected to continuously increase. Air traffic control and management (ATC/M) includes the processing of various unstructured composite data along with the real-time visualization of aircraft data. To prepare for future air traffic, research and development intended to effectively present various complex navigation data to air traffic controllers is necessary. This paper presents a mixed reality-based air traffic control system for the improvement of and support for air traffic controllers’ workflow using mixed reality technology that is effective for the delivery of information such as complex navigation data. The existing control systems involve difficulties in information access and interpretation. Therefore, taking notice of the necessity for the integration of air traffic control systems, this study presents the mixed reality (MR) system, which is a new approach, that enables the control of air traffic in interactive environments. This system is provided in a form usable in actual operational environments with a head-mounted see-through display installed with a controller to enable more structured work support. In addition, since this system can be controlled first-hand by air traffic controllers, it provides a new experience through improved work efficiency and productivity. Full article
(This article belongs to the Special Issue Augmented Reality: Current Trends, Challenges and Prospects)
Show Figures

Graphical abstract

Back to TopTop