Sign in to use this feature.

Years

Between: -

Subjects

remove_circle_outline
remove_circle_outline
remove_circle_outline
remove_circle_outline
remove_circle_outline
remove_circle_outline
remove_circle_outline
remove_circle_outline
remove_circle_outline

Journals

remove_circle_outline
remove_circle_outline
remove_circle_outline
remove_circle_outline
remove_circle_outline
remove_circle_outline
remove_circle_outline
remove_circle_outline
remove_circle_outline
remove_circle_outline
remove_circle_outline
remove_circle_outline
remove_circle_outline
remove_circle_outline
remove_circle_outline
remove_circle_outline
remove_circle_outline
remove_circle_outline
remove_circle_outline
remove_circle_outline
remove_circle_outline
remove_circle_outline
remove_circle_outline
remove_circle_outline
remove_circle_outline
remove_circle_outline

Article Types

Countries / Regions

remove_circle_outline
remove_circle_outline
remove_circle_outline
remove_circle_outline
remove_circle_outline
remove_circle_outline

Search Results (3,297)

Search Parameters:
Keywords = circularity assessment

Order results
Result details
Results per page
Select all
Export citation of selected articles as:
19 pages, 586 KB  
Article
Early-Stage Simplified SSbD Screening of a Removable, PVC-Free Screen-Printing Ink: A Qualitative Life Cycle Perspective
by Olga Lysenko, Sahar Safarian, Pavinee Hasselberg, Nilay Elginoz, Tomas Rydberg, Maja Halling, Steffen Schellenberger, Jutta Hildenbrand, Gustav Utas, Yiming Jia and Romain Bordes
Sustainability 2026, 18(6), 3027; https://doi.org/10.3390/su18063027 - 19 Mar 2026
Abstract
This paper presents a qualitative sustainability assessment of an innovative, water-based, partially bio-based, and potentially removable screen-printing ink designed to replace conventional PVC-based inks in the textile industry. The assessment is conducted in alignment with the European Commission’s tiered Safe and Sustainable by [...] Read more.
This paper presents a qualitative sustainability assessment of an innovative, water-based, partially bio-based, and potentially removable screen-printing ink designed to replace conventional PVC-based inks in the textile industry. The assessment is conducted in alignment with the European Commission’s tiered Safe and Sustainable by Design (SSbD) framework, applying a simplified screening approach suitable for innovations with limited sustainability data availability. The evaluation is conducted using the LCBROM (Life Cycle Based Risk and Opportunity Mapping) methodology, which is a structured approach designed to identify potential environmental, economic, and social drawbacks and benefits throughout the product’s life cycle, from production and use to end of life. The screening incorporates the MET+Ec+S matrix (Material, Energy, Toxicity, and Economic and Social dimensions), providing a comprehensive overview of the sustainability performance of the removable PVC-free ink at each stage of its life cycle. The novel removable PVC-free ink formulation incorporates bio-based pigments, thickeners, and plasticisers, and is designed to facilitate recyclability and reuse in textile applications. Compared to traditional plastisol inks, the screening indicates potential reductions in toxicity and environmental persistence compared to PVC-based plastisol inks, subject to validation in future quantitative studies. However, key trade-offs include reliance on fossil-based ingredients (as bio-based alternatives are still being developed), increased material costs, and durability concerns. Despite these issues, the removable PVC-free ink’s compatibility with existing printing infrastructure and alignment with emerging EU sustainability regulations indicate its potential relevance for circular textile production, subject to validation through quantitative life-cycle assessment and pilot-scale implementation. The results do not constitute a quantitative life cycle assessment but instead provide a structured qualitative basis for guiding further development, data collection, and future LCA modeling. By explicitly positioning the work within a simplified SSbD tier, this study demonstrates how early-stage screening can support innovation design while transparently addressing uncertainty and trade-offs. Full article
Show Figures

Figure 1

33 pages, 5735 KB  
Article
Life Cycle and Circularity: The Assessment of Conventional and Additive Manufacturing Injection Molds
by Joana Matos, Eleonora Caneve, Antonio Silva and Paulo Pedrosa
Environments 2026, 13(3), 169; https://doi.org/10.3390/environments13030169 - 19 Mar 2026
Abstract
The transition to a circular economy requires assessment tools that capture not only the environmental and economic performance of products but also their circular design, functionality, and durability. While Life Cycle Assessment (LCA) and Life Cycle Costing (LCC) are widely used, they alone [...] Read more.
The transition to a circular economy requires assessment tools that capture not only the environmental and economic performance of products but also their circular design, functionality, and durability. While Life Cycle Assessment (LCA) and Life Cycle Costing (LCC) are widely used, they alone do not capture modularity, reparability, reuse potential, or product lifespan. This study introduces a novel, integrated framework combining LCA, LCC, and product-level circularity indicators to provide a holistic evaluation of sustainability and circularity. In this study, two types of injection molds for plastic part production are compared: a conventionally manufactured mold and an additively manufactured metal mold produced by Laser Powder Bed Fusion (L-PBF) technology. The comparison integrates Life Cycle Assessment (LCA), Life Cycle Costing (LCC), and a set of micro-circularity indicators, including the Material Circularity Indicator (MCI), Recycling Desirability Index (RDI), circular design guidelines (CDG), Disassembly Effort Index (DEI), longevity indicator (LI), and Circular Economy Indicator Prototype (CEIP). Results show that the AM mold exhibits lower environmental impacts across almost all categories, while its slightly higher initial cost is largely offset by reduced indirect costs over the product lifecycle. Micro-circularity indicators reveal that the AM mold achieves higher material circularity and better circular design performance (MCI, CDG, CEIP) but shows only minor improvements in disassembly and recyclability (DEI, RDI) and lower longevity (LI) compared to the conventional mold, highlighting potential limitations for remanufacturing and end-of-life recovery. The novelty of this study lies in the integrated application of LCA, LCC, and multiple micro-circularity indicators, providing an operational framework for evaluating circular design, reparability, and durability in additive manufacturing and enabling informed, holistic decision-making for truly circular products. Full article
Show Figures

Graphical abstract

19 pages, 2370 KB  
Article
Carbon Mitigation Potential of Electric Vehicle Battery Circular Economy Strategies in China: An Integrated Dynamic MFA-LCA Framework
by Shaowei Huo, Xiaojing Yi, Jiahang Zhang and Rui Wang
Sustainability 2026, 18(6), 3013; https://doi.org/10.3390/su18063013 - 19 Mar 2026
Abstract
China’s rapid electric vehicle (EV) market expansion—from 331,000 units in 2015 to over 9.5 million in 2023—is generating an unprecedented wave of retired lithium-ion batteries projected to exceed 94 TWh cumulatively by 2060, presenting critical challenges for sustainable resource management. While grid decarbonization [...] Read more.
China’s rapid electric vehicle (EV) market expansion—from 331,000 units in 2015 to over 9.5 million in 2023—is generating an unprecedented wave of retired lithium-ion batteries projected to exceed 94 TWh cumulatively by 2060, presenting critical challenges for sustainable resource management. While grid decarbonization can reduce use-phase emissions, the substantial embodied carbon in battery production (55–130 kg CO2-eq/kWh) remains a critical challenge for achieving carbon neutrality. This study presents an integrated dynamic material flow analysis (MFA) and prospective life cycle assessment (LCA) framework—calibrated against the latest peer-reviewed literature—to quantify the carbon mitigation potential of battery recycling and second-life applications from 2020 to 2060. We evaluate four end-of-life management scenarios: baseline linear economy, enhanced recycling, second-life dominant, and synergistic optimization. Our results reveal that the synergistic scenario achieves the highest cumulative avoided emissions of 3844 Mt CO2-eq, representing a 12.1-fold improvement over the baseline. Monte Carlo uncertainty analysis (n = 10,000) confirms robust scenario differentiation, with 100% probability that synergistic optimization outperforms enhanced recycling alone. Material security analysis shows that recycled supply can meet 100% of lithium, cobalt, nickel, and copper demand by 2060 under optimal management. These findings provide quantitative evidence for chemistry-differentiated battery management policies aligned with China’s dual carbon goals and the transition toward a sustainable circular economy. Full article
Show Figures

Figure 1

32 pages, 2188 KB  
Article
Integrated Assessment of Carbon Footprint in Regenerative Building Design: BIM–LCA-Based Evaluation of Circular Material Scenarios for Zero-Carbon Districts
by Samson Femi Adesope, Klaudia Zwolińska-Glądys, Anna Ostręga and Marek Borowski
Energies 2026, 19(6), 1519; https://doi.org/10.3390/en19061519 - 19 Mar 2026
Abstract
Assessing environmental impacts across the full life cycle of buildings is essential for advancing toward a net-zero and regenerative built environment. However, life cycle inventory generation and impact assessment remain methodologically complex and time-intensive, limiting their integration into early design decision-making. This study [...] Read more.
Assessing environmental impacts across the full life cycle of buildings is essential for advancing toward a net-zero and regenerative built environment. However, life cycle inventory generation and impact assessment remain methodologically complex and time-intensive, limiting their integration into early design decision-making. This study aims to quantify and reduce the embodied carbon of a regenerated building while optimizing material selection based on environmental performance and circularity potential. An integrated Building Information Modeling–Life Cycle Assessment (BIM–LCA) framework combined with Sensitivity Analysis (SA) was applied within a circular economy perspective. A regenerative building was modeled using BIM, and Industry Foundation Classes (IFC) data were employed to conduct a detailed life cycle assessment to quantify embodied carbon and identify emission hotspots across life cycle stages. The results indicate that material extraction, processing, and manufacturing dominate environmental impacts, contributing more than 85% of total CO2 emissions. Sensitivity analysis further demonstrates the influence of material choices on overall carbon performance. The findings underscore the importance of evaluating embodied carbon at early design stages to support informed decisions regarding material efficiency, renewability, and recyclability. The proposed BIM–LCA framework provides a scalable, data-driven approach to support early-stage decarbonization strategies and contributes to reducing the carbon footprint of buildings in alignment with net-zero and regenerative design objectives. Full article
Show Figures

Figure 1

8 pages, 894 KB  
Perspective
Biodegradable Nanoplastics: An Overlooked Polluting Terra Incognita Towards Global Plastic Risk Assessment?
by Xiaowei Wu, Shuai Tang, Kun Lu and Xiaoli Zhao
Nanomaterials 2026, 16(6), 371; https://doi.org/10.3390/nano16060371 - 19 Mar 2026
Abstract
To mitigate environmental plastic accumulation and close the loop on plastic, the development of biodegradable plastics has presented a promising prospect for overcoming the global plastic pollution issue. However, it is critical to examine not only their benefits but also their unintended ecological [...] Read more.
To mitigate environmental plastic accumulation and close the loop on plastic, the development of biodegradable plastics has presented a promising prospect for overcoming the global plastic pollution issue. However, it is critical to examine not only their benefits but also their unintended ecological consequences, especially for smaller-sized biodegradable nanoplastics. Our work highlights the often-overlooked risks associated with biodegradable nanoplastics. Due to the lack of environmental in situ monitoring data, the global occurrence, fate, and ecological risk of biodegradable nanoplastics remain poorly understood. Likewise, it remains unclear and questionable whether nanoplastics are eco-friendly as a promising alternative to the circular and sustainable plastic economy. We, therefore, call for a coordinated global effort to proactively mitigate the potential risks of biodegradable nanoplastics, including establishing a full-chain risk assessment system, developing key detection and simulation technologies, designing and optimizing bioplastic structures, and improving the legal supervision mechanism. These holistic efforts will facilitate the development of a sustainable practice for the closed-loop recycling of biodegradable plastics, which simultaneously helps establish a sustainable biodegradable plastic circular economy. Full article
(This article belongs to the Special Issue Emerging Research of Nanoplastic: Formation, Mechanism and Risk)
Show Figures

Graphical abstract

18 pages, 6368 KB  
Article
Twenty-Four-Hour Continuous Water Purification: Coupling S-Scheme CoFe2O4/BiVO4 Heterojunctions with Phase Change Materials for All-Weather Photocatalytic–Thermocatalytic Dye Removal
by Zan Li, Kun Gao, Wenrui Jiang, Jiao Xu and Pavel Lushchyk
Sustainability 2026, 18(6), 2995; https://doi.org/10.3390/su18062995 - 18 Mar 2026
Abstract
To overcome the limitations imposed by the intermittent nature of sunlight in photocatalytic applications, this research constructs a round-the-clock purification system. We integrated an optimized S-scheme CoFe2O4/BiVO4 (CFO/BV) heterojunction (synthesized via ultrasonic self-assembly at a 0.5:0.5 ratio) with [...] Read more.
To overcome the limitations imposed by the intermittent nature of sunlight in photocatalytic applications, this research constructs a round-the-clock purification system. We integrated an optimized S-scheme CoFe2O4/BiVO4 (CFO/BV) heterojunction (synthesized via ultrasonic self-assembly at a 0.5:0.5 ratio) with a thermal energy storage (TES) unit consisting of SiO2-encapsulated Na2SO4·10H2O phase change materials (PCMs). Comprehensive characterization techniques, including XRD, HRTEM, UV-Vis DRS, EPR, and DSC, confirmed the successful formation of the interface, a broadened visible-light response (λ > 650 nm), efficient radical production, and a high latent heat storage capacity (>200 J/g). Under simulated solar irradiation, the composite exhibited superior performance, degrading 98% of the Rhodamine B within 6 h (k = 0.00994 min−1), significantly surpassing single-component counterparts. More importantly, during the subsequent 12 h dark period, the heat released from the PCM maintained the reaction temperature above 35 °C, driving a 64% degradation efficiency via a thermocatalytic pathway. The system demonstrated robust stability (>90% efficiency after five cycles), excellent magnetic recoverability (98%), and high tolerance to saline textile wastewater (<10% activity loss). Furthermore, Life Cycle Assessment (LCA) indicated a 40% reduction in energy consumption compared to conventional UV/TiO2 processes, highlighting a sustainable strategy for continuous wastewater remediation through synergistic photocatalysis and thermocatalysis. Full article
Show Figures

Figure 1

19 pages, 1602 KB  
Article
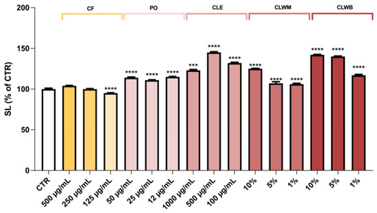
From Lagoons to Biostimulants: Chaetomorpha linum Extracts Enhance Germination Dynamics and Early Seedling Development
by Alfonso Trezza, Luisa Frusciante, Priya Barua, Stefania Lamponi, Michela Geminiani and Annalisa Santucci
Appl. Sci. 2026, 16(6), 2931; https://doi.org/10.3390/app16062931 - 18 Mar 2026
Abstract
Macroalgal biomass accumulation in eutrophic coastal lagoons represents both an environmental challenge and an underexploited bioresource. This study evaluates the biostimulant potential of Chaetomorpha linum (C. linum) harvested in the Orbetello Lagoon (Italy) on tomato (Solanum lycopersicum) seed germination [...] Read more.
Macroalgal biomass accumulation in eutrophic coastal lagoons represents both an environmental challenge and an underexploited bioresource. This study evaluates the biostimulant potential of Chaetomorpha linum (C. linum) harvested in the Orbetello Lagoon (Italy) on tomato (Solanum lycopersicum) seed germination and early seedling development. Four extraction strategies were investigated: a phytohormone-enriched fraction (PO), a hydroethanolic reflux extract (CLE), a room-temperature aqueous maceration extract (CLWM), and a mild-water-bath aqueous extract (CLWB). Bioactivity was assessed through controlled laboratory germination assays, comparing germination performance, seedling growth traits, and vigor index against an untreated control and a commercial fertilizer. Across the tested conditions, aqueous formulations exhibited the strongest overall effects, with CLWB providing the most balanced response and increasing seedling vigor by approximately 20–30% relative to the control. Collectively, these results support the valorization of eutrophic C. linum biomass into natural, low-input biostimulants for seed priming applications within sustainable agriculture and circular economy frameworks. Full article
(This article belongs to the Special Issue Analysis of Antioxidant and Bioactive Compounds in Agriculture)
Show Figures

Figure 1

20 pages, 1013 KB  
Article
Upcycling Roman Chamomile Hydrolate and Apple Pomace Agri-Wastes into Sustainable Cosmetic Ingredients
by Kamil Szymczak, Agnieszka Krajewska, Małgorzata Grzyb, Iga Jodłowska, Katarzyna Mietlińska and Radosław Bonikowski
Antioxidants 2026, 15(3), 380; https://doi.org/10.3390/antiox15030380 - 18 Mar 2026
Abstract
The aim of this study was to evaluate the potential of selected agri-food by-products—apple pomace extract from Malus domestica cv. ‘Grochówka’ and Roman chamomile (Chamaemelum nobile L.) hydrolate—as functional, sustainable ingredients for cosmetic applications. The work focused on their chemical composition, biological [...] Read more.
The aim of this study was to evaluate the potential of selected agri-food by-products—apple pomace extract from Malus domestica cv. ‘Grochówka’ and Roman chamomile (Chamaemelum nobile L.) hydrolate—as functional, sustainable ingredients for cosmetic applications. The work focused on their chemical composition, biological activity, formulation performance, and in vivo effects on skin condition. Volatile compounds, phenolic acids, and triterpenoids were analyzed by GC–MS, while total phenolic content, antioxidant capacity, and enzyme inhibitory activity were evaluated in vitro. An oil-in-water emulsion containing the by-products was formulated and, in a 14-day split-face study, assessed for its effects on skin hydration, elasticity, inflammation, sensitivity, pore visibility, and melanin index. Biochemical analyses have shown that chamomile hydrolate is characterized by very low antioxidant activity (DPPH 5.0 ± 1.25%, FRAP 0%) and weak protease inhibition (9.70 ± 1.84%). In contrast, apple extract contained a significant amount of polyphenols (23.94 ± 0.3 mg GAE/g) and showed strong antioxidant properties (DPPH 79.4 ± 2.12%, FRAP 70.56 ± 2.23%; IC50 = 21.5 ± 0.196 mg/mL), which confirms the dominant role of phenolic compounds in its biological activity. This extract also demonstrated significant protease inhibition (60.88 ± 2.35%; IC50 = 15.02 ± 0.47 mg/mL), while its lipase inhibition activity was moderate (10%), which may be beneficial from a cosmetic perspective. The obtained results indicate that apple extract is a valuable raw material with multifaceted biological potential. Overall, the results demonstrate that apple pomace extract and chamomile hydrolate can be effectively valorized as bioactive cosmetic ingredients, supporting both skin health benefits and circular economy principles in sustainable cosmetic formulation. Full article
Show Figures

Figure 1

28 pages, 2487 KB  
Review
Aquaculture and the Circular Economy: Bibliometric Analysis of the Literature Supported by VOSViewer
by Annalisa De Boni, Roberta Miolla, Claudio Acciani and Rocco Roma
Fishes 2026, 11(3), 178; https://doi.org/10.3390/fishes11030178 - 18 Mar 2026
Abstract
The environmental and social problems caused by overfishing and unsustainable aquaculture practices make it necessary to implement the principles of the circular economy to steer the sector towards sustainability and responsible use of resources. The objective of this study was to assess the [...] Read more.
The environmental and social problems caused by overfishing and unsustainable aquaculture practices make it necessary to implement the principles of the circular economy to steer the sector towards sustainability and responsible use of resources. The objective of this study was to assess the sustainability of the aquaculture sector in the context of current environmental and social concerns in the fisheries sector and to understand the state of research in terms of implementing circular practices, providing a comprehensive mapping of scientific articles focusing on circular practices adopted in the aquaculture sector over the last ten years, describing them and identifying their potential advantages and disadvantages. A bibliometric analysis was conducted using the Scopus database to obtain a clear picture of the sustainable innovations carried out in the aquaculture sector over the last ten years. The analysis focused on the terms ‘aquaculture’ and ‘circular economy’. The results indicate a rising trend in the number of studies on the circular economy in aquaculture from 2020 onwards, which can be attributed to an escalating awareness of environmental concerns. Subsequently, the analysis carried out by the VOSviewer software allowed the articles to be classified in four clusters, according to the relevance of the different adopted circularity practices. A particular focus was placed on the significance of practices minimising environmental impact, optimising resources and pursuing innovative strategies to ensure sustainability. Full article
Show Figures

Figure 1

18 pages, 2515 KB  
Article
Resource Recovery from High-Performance Textile Waste: Carbon Footprint Assessment, Graded Recycling, and Product Development Pathway for Used Firefighting Protective Clothing
by Xing Zhang, Zhenhao Sun, Xiaoxian Wang, Jingru Lu, Hu Gu, Hongjing Zhong, Xiaoyun Long, Qilong Sun and Wei Ye
Materials 2026, 19(6), 1188; https://doi.org/10.3390/ma19061188 - 18 Mar 2026
Abstract
The global textile industry, challenged by resource depletion and environmental pollution, urgently requires a shift toward a circular economy. However, recycling efforts remain limited, focusing mainly on conventional fibers and neglecting high-performance materials like aramid. This study addresses the recycling of used firefighting [...] Read more.
The global textile industry, challenged by resource depletion and environmental pollution, urgently requires a shift toward a circular economy. However, recycling efforts remain limited, focusing mainly on conventional fibers and neglecting high-performance materials like aramid. This study addresses the recycling of used firefighting protective clothing-an aramid-rich, high-turnover waste stream typically landfilled or incinerated. Life cycle assessment reveals the significant carbon footprint of its production and disposal, underscoring the need for circular strategies. A systematic recycling framework is established, integrating collection logistics and redesign principles. A graded “three-tier” approach is proposed, enabling direct reuse, yarn regeneration, and non-woven production based on material conditions. High-value products were developed by incorporating firefighting heritage and intangible cultural crafts into the design, supported by digital product passports for traceability. These strategies enhanced market acceptance and emotional value. The work provides a scalable circular solution for high-performance textiles, aiming to extend material life, reduce carbon emissions, and advance sustainable textile management through a novel combination of technical recycling and cultural value addition. Full article
Show Figures

Graphical abstract

40 pages, 2001 KB  
Review
Botanical and Upcycled Bioactives for Advanced Topical Formulations: Mechanistic Pathways, Cutaneous Delivery, and Sustainability-by-Design
by Salvatore Panza, Beatrice Pellegrini, Dorotea Fiore, Martine Tarsitano, Antonia Mancuso, Maria Chiara Cristiano and Donatella Paolino
Pharmaceutics 2026, 18(3), 375; https://doi.org/10.3390/pharmaceutics18030375 - 18 Mar 2026
Abstract
Natural and sustainable cosmetics represent a rapidly evolving frontier in dermatological science, integrating plant-derived bioactive compounds with advanced delivery technologies and environmentally conscious formulation design. Botanical ingredients, including polyphenols, flavonoids, terpenoids, alkaloids, and polysaccharides, modulate key biological pathways involved in oxidative stress, inflammation, [...] Read more.
Natural and sustainable cosmetics represent a rapidly evolving frontier in dermatological science, integrating plant-derived bioactive compounds with advanced delivery technologies and environmentally conscious formulation design. Botanical ingredients, including polyphenols, flavonoids, terpenoids, alkaloids, and polysaccharides, modulate key biological pathways involved in oxidative stress, inflammation, extracellular matrix remodeling, pigmentation, and immune responses, thereby supporting skin regeneration, protection, and homeostasis. To overcome limitations related to instability, compositional variability, and limited skin penetration, these compounds are increasingly incorporated into advanced delivery systems such as nanoemulsions, solid lipid nanoparticles (SLNs), nanostructured lipid carriers (NLCs), vesicular systems, microneedle platforms, three-dimensional matrices, and plant-derived extracellular vesicles (PDEVs). These technologies enhance cutaneous bioavailability, enable controlled release, and improve tissue targeting, linking formulation design to exposure–response relationships. In parallel, sustainability has become a critical component of product development. Circular economy strategies, including the upcycling of agro-industrial by-products, green extraction technologies, biodegradable packaging, and life cycle assessment, are reshaping cosmetic innovation. Regulatory frameworks are also evolving to address safety, efficacy, and transparency of natural claims, as well as the challenges of botanical standardization. This narrative review, conducted through a structured literature search, provides a mechanistically oriented analysis of botanical ingredients in dermatology, emphasizing molecular pathways, skin delivery science, and safety considerations. Rather than cataloguing ingredients, it proposes a translational framework linking phytochemistry, delivery science, safety-by-design principles, and sustainability to support the rational development of effective and safe dermatological formulations. Full article
Show Figures

Figure 1

33 pages, 9256 KB  
Article
Mitigating Post-Recycling Plastic Waste Pollution Through Co-Hydrothermal Liquefaction with Freshwater Algal Biomass: Pathways to Biofuel and High-Value Products as Resource Recovery: Chi River, Thailand
by Sukanya Hongthong, Piyanan Kankhwao, Saranyu Kohaeoklang, Kowit Suwannahong, Torpong Kreetachat, Saksit Imman, Nopparat Suriyachai, Wipada Dechapanya, Wipawee Dechapanya, Panarat Phadee and Surachai Wongcharee
Sustainability 2026, 18(6), 2962; https://doi.org/10.3390/su18062962 - 17 Mar 2026
Abstract
Post-recycling plastic waste contamination in freshwater ecosystems represents an escalating environmental threat, while algal blooms continue to generate vast quantities of underutilized biomass. Addressing both challenges, this study investigated the co-hydrothermal liquefaction of Chlorella pyrenoidosa with representative post-recycling plastic wastes polypropylene, polyethylene terephthalate, [...] Read more.
Post-recycling plastic waste contamination in freshwater ecosystems represents an escalating environmental threat, while algal blooms continue to generate vast quantities of underutilized biomass. Addressing both challenges, this study investigated the co-hydrothermal liquefaction of Chlorella pyrenoidosa with representative post-recycling plastic wastes polypropylene, polyethylene terephthalate, and Nylon-6 as a dual-resource valorization strategy. Experiments were conducted in a 1000 mL high-pressure batch reactor at 350 °C for 30 min, with varying biomass-to-plastic feed ratios. Systematic product characterization, including functional group, elemental analysis, Van Krevelen diagrams, and heating value assessment, was employed to elucidate synergistic effects and evaluate product quality. Results revealed that co-processing with polyethylene terephthalate achieved the highest biocrude yield of 71.5%, with an enhanced higher heating value of 35.7 MJ kg−1, surpassing the 62.4% yield from microalgae alone. Nylon-6 blends also improved oil yield to 69.6% while producing aqueous fractions enriched with ε-caprolactam, indicating the recovery of valuable nitrogenous monomers. In contrast, PP exhibited limited reactivity toward oil generation but produced carbon-rich biochar with a higher heating value up to 41.4 MJ kg−1, comparable to high-grade solid fuels. Mechanistic analyses confirmed that plastics acted as hydrogen donors, promoting deoxygenation, radical stabilization, and selective depolymerization, thereby improving both liquid and solid fuel fractions. By employing ecologically relevant freshwater feedstocks from Thailand, this work advances beyond prior studies dominated by marine biomass or synthetic surrogates, providing realistic insights into resource integration within polluted inland waters. The co-hydrothermal liquefaction process simultaneously mitigates eutrophication-driven algal blooms and persistent plastic pollution while generating fuels and functional carbon materials, directly contributing to a circular bioeconomy. The demonstrated synergy between biological and synthetic wastes highlights a scalable, catalyst-free route to energy-dense biofuels and multifunctional biochar. These outcomes align strongly with SDG which offer a pragmatic framework for waste-to-energy transition in freshwater-dependent regions. Full article
Show Figures

Figure 1

31 pages, 2654 KB  
Review
Global Research Landscape on Plastic Microfibers in Sludge Treatment: Proteomic Mechanisms and Biotechnological Pathways for Biomass Valorization
by S. Jonathan Rojas-Flores, Rafael Liza, Renny Nazario-Naveda, Félix Díaz, Daniel Delfin-Narciso, Moisés Gallozzo Cardenas and Luis Cabanillas-Chirinos
Polymers 2026, 18(6), 734; https://doi.org/10.3390/polym18060734 - 17 Mar 2026
Abstract
Plastic microfibers (PMFs) increasingly accumulate in wastewater treatment plants, impairing sludge dewatering and raising operational costs. This study combines a bibliometric analysis (2000–2025) with a critical review of the recent mechanistic literature to map the evolving research landscape on PMF–extracellular polymeric substance (EPS) [...] Read more.
Plastic microfibers (PMFs) increasingly accumulate in wastewater treatment plants, impairing sludge dewatering and raising operational costs. This study combines a bibliometric analysis (2000–2025) with a critical review of the recent mechanistic literature to map the evolving research landscape on PMF–extracellular polymeric substance (EPS) interactions. The bibliometric trajectory (R2 = 0.9786) underscores a paradigm shift towards a molecular understanding of the sludge matrix. Our synthesis of recent experimental studies reveals that PMF-induced interference is often driven by the selective adsorption of hydrophobic extracellular proteins, with one study reporting up to 32.5% sequestration. This has been linked to deteriorated dewatering, such as a 45% increase in capillary suction time (CST) under controlled conditions. Proteomic studies have identified more than 40 extracellular proteins with altered expression, directly linking PMFs to impaired sludge rheology. However, this review critically assesses the underlying evidence, highlighting significant methodological heterogeneity, a lack of standardized protocols, and a reliance on laboratory-scale models as key limitations that prevent broad generalization. By identifying these gaps, this work reframes the PMF–EPS research agenda, emphasizing the need for harmonized methods and multi-omics integration to transform mechanistic insights into robust biotechnological solutions for sustainable sludge management within a circular bioeconomy. Full article
(This article belongs to the Section Circular and Green Sustainable Polymer Science)
Show Figures

Figure 1

25 pages, 2557 KB  
Article
Fatigue Assessment of Notched AM Scalmalloy Incorporating Surface Roughness in an Energy-Based Framework
by Sabrina Vantadori, Camilla Ronchei, Andrea Zanichelli and Daniela Scorza
Appl. Sci. 2026, 16(6), 2895; https://doi.org/10.3390/app16062895 - 17 Mar 2026
Abstract
In engineering practice, additively manufactured (AM) metal and metal alloy structural components, which often contain geometric discontinuities to fulfil functional requirements, are subjected to cyclic service loads. Among the possible loading configurations, far-field Mode I loading is frequently considered as a nominal reference [...] Read more.
In engineering practice, additively manufactured (AM) metal and metal alloy structural components, which often contain geometric discontinuities to fulfil functional requirements, are subjected to cyclic service loads. Among the possible loading configurations, far-field Mode I loading is frequently considered as a nominal reference condition. Within this context, a methodology for the fatigue assessment of notched AM Scalmalloy components subjected to Mode I far-field loading is proposed, combining the Strain Energy Density (SED) approach with a multiaxial critical plane-based fatigue criterion. The fatigue assessment is carried out at a verification point whose position is defined as a function of the characteristic length of the SED control volume for Mode I loading, determined through two alternative procedures, and of the surface roughness of the component. The proposed methodology is validated against experimental fatigue data available in the literature for AM Scalmalloy specimens featuring a circumferential semi-circular notch and subjected to Mode I far-field cyclic loading, which induces a locally multiaxial stress state at the notch root, given that the formulation does not rely on material-specific assumptions and could in principle be extended to other notched AM metal and metal alloy components. Full article
(This article belongs to the Special Issue Fatigue and Fracture Behavior of Engineering Materials)
Show Figures

Figure 1

16 pages, 1362 KB  
Article
Cannabis sativa L. Phytoremediation of Heavy Metal Soil Contamination, Followed by Biomass Valorization
by Giulio Picchi, Arianna Callegari, Andrea G. Capodaglio, Tania Martellini, Fabio Masi, Giovanni Mastrolonardo, Marco Nocentini, Chiara Sarti and Dhanalakshmi Vadivel
Sustainability 2026, 18(6), 2926; https://doi.org/10.3390/su18062926 - 17 Mar 2026
Abstract
Soil heavy metal contamination poses a major environmental threat, negatively impacting ecosystems, agricultural productivity, and human health. Phytoremediation offers eco-sustainable alternatives to conventional remediation techniques by employing plant species capable of extracting and stabilizing pollutants. This study assesses the potential of Cannabis sativa [...] Read more.
Soil heavy metal contamination poses a major environmental threat, negatively impacting ecosystems, agricultural productivity, and human health. Phytoremediation offers eco-sustainable alternatives to conventional remediation techniques by employing plant species capable of extracting and stabilizing pollutants. This study assesses the potential of Cannabis sativa L. var. ‘Carmagnola’ for the remediation of Pb, Cr, Cu, and Ni from four different growth substrates. This species was selected for its high biomass yield, tolerance to toxic environments, and capacity for heavy metal accumulation. Experimental results showed that the composition of the growing substrate significantly affected HM uptake, with higher accumulation occurring in less compact mixed substrates. HM removal from contaminated growth substrates varied between 55 and 75% for Cr, 60–78% for Ni, 32–86% for Cu and 43–84% for Pb after four months of growth in a greenhouse environment. In addition to pollutant removal efficiency, the study explored thermochemical harvested biomass post-processing via pyrolysis in order to produce biochar, a material with recognized agronomic beneficial properties and positive environmental value. Biochar generated from harvested biomass after phytoremediation tests showed residual HM content lower than the applicable EU thresholds for agricultural soil amendment. Integrating bioremediation with biochar production can promote a circular bioeconomy approach to environmental restoration, by transforming contaminated residual biomass into a useful resource rather than waste. These findings support the feasibility potential of coupling C. sativa phytoremediation and biochar production as an environmentally sustainable strategy for large-scale remediation of heavy metal-contaminated soils. Full article
Show Figures

Figure 1

Back to TopTop