A Novel Panmacular Strategy for Subthreshold Micropulse Laser in CSC: Two-Year Functional and Morphological Outcomes
Abstract
1. Introduction
2. Materials and Methods
2.1. The Study Groups
- Acute CSC (aCSC): First known episode of SRF with a total area of RPE alteration ≤ 2 DA (disk area) and/or persistent SRF for less than 3 months.
- Recurrent CSC (rCSC): Presence of SRF with history or sign of resolved episode with a total area of RPE alteration ≤ 2 DA and/or persistent SRF for less than 3 months.
- Chronic CSC (cCSC): Presence of persistent SRF > 3 months, with outer retina atrophy including ONL thinning and/or ELM disruption and/or EZ attenuation and total area of RPE alteration > 2 DA or multifocal (including gravitational tract).
2.2. Ophtalmologic Examination
2.3. 577 nm Panmacular Micropulse Laser Treatment
2.4. Statistical Analysis
3. Results
3.1. The Baseline Characteristic of the Groups
3.2. General Outcomes After Panmacular MPLT Treatment
3.3. Changes in Structural and Microvascular Parameters in CSC Patients After MPLT Treatment
3.3.1. Functional Parameters
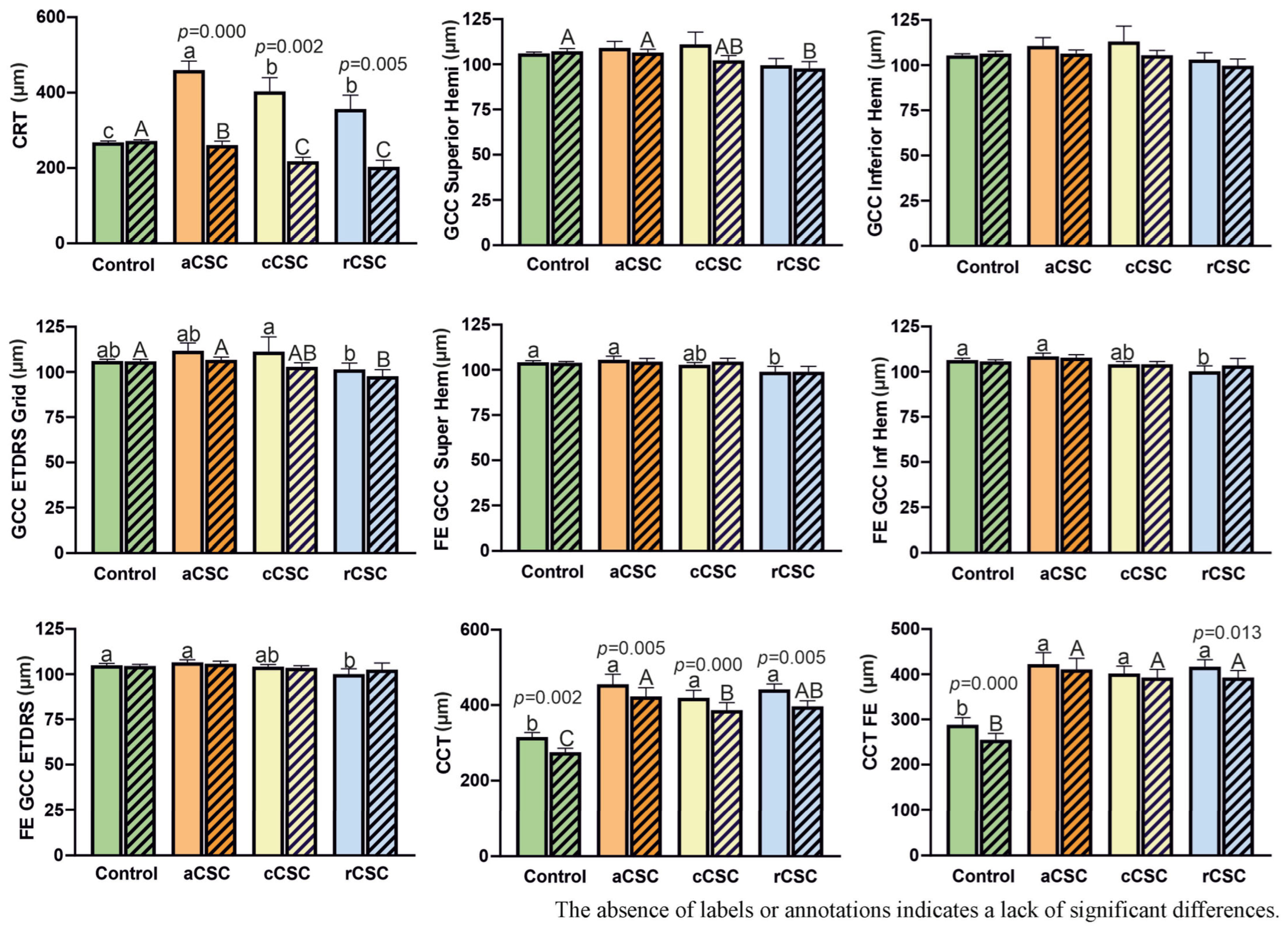
3.3.2. Structural Parameters (Retinal and Choroidal)
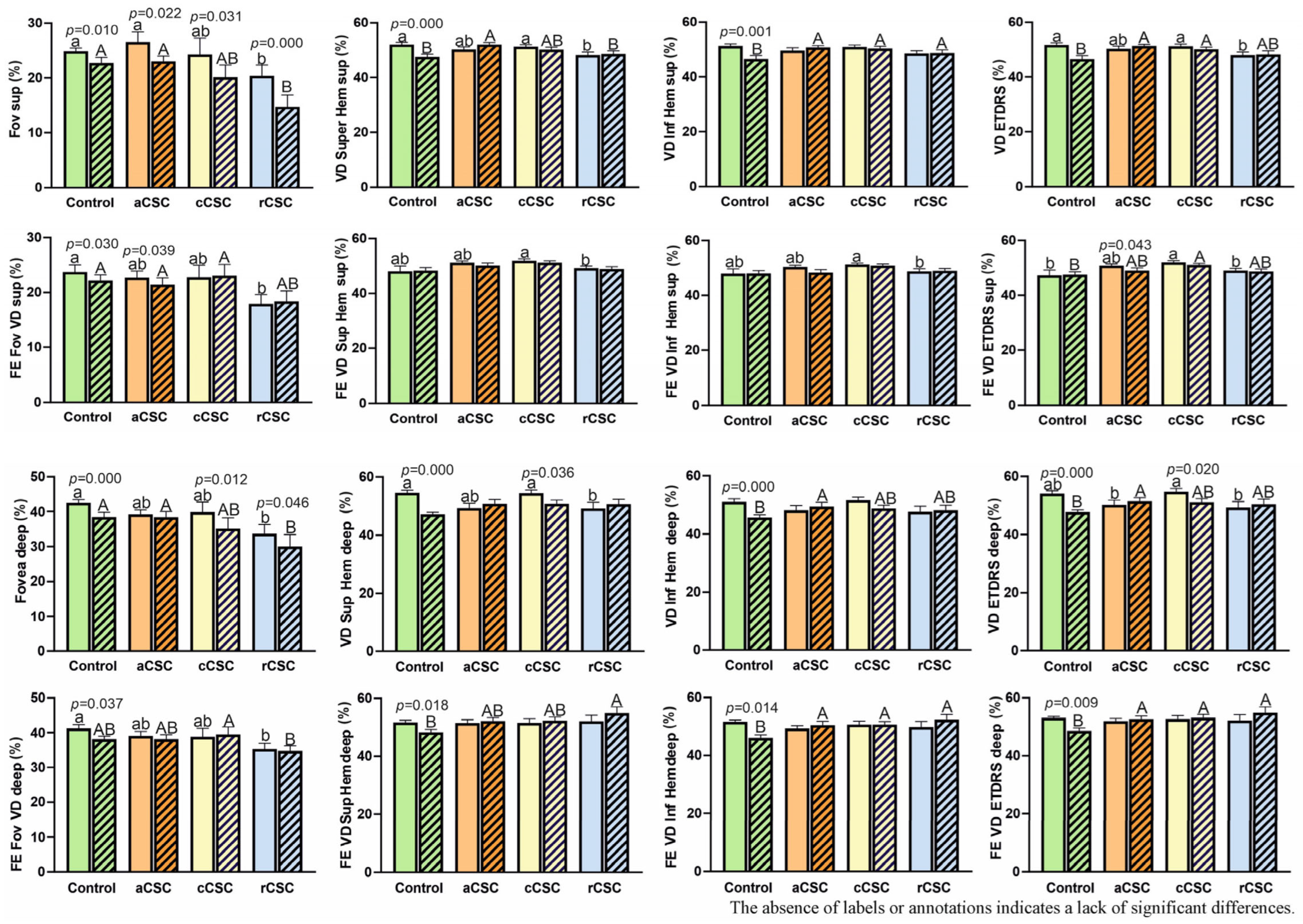
3.3.3. Retinal Microvascular Parameters
3.4. Correlation Analysis
3.4.1. Correlations Between Functional Parameters and Demographic and Clinical Data
3.4.2. Correlations Between Functional, Vascular, and Morphological Parameters
4. Discussion
5. Conclusions
Author Contributions
Funding
Institutional Review Board Statement
Informed Consent Statement
Data Availability Statement
Conflicts of Interest
References
- Kaye, R.; Chandra, S.; Sheth, J.; Boon, C.J.F.; Sivaprasad, S.; Lotery, A. Central Serous Chorioretinopathy: An Update on Risk Factors, Pathophysiology and Imaging Modalities. Prog. Retin. Eye Res. 2020, 79, 100865. [Google Scholar] [CrossRef]
- Von Graefe, A. Ueber Zentrale Recidivierende Retinitis. Graefe’s Arch. Clin. Exp. Ophthalmol. 1866, 12, 211–215. [Google Scholar]
- Spaide, R.F.; Gemmy Cheung, C.M.; Matsumoto, H.; Kishi, S.; Boon, C.J.F.; van Dijk, E.H.C.; Mauget-Faysse, M.; Behar-Cohen, F.; Hartnett, M.E.; Sivaprasad, S.; et al. Venous Overload Choroidopathy: A Hypothetical Framework for Central Serous Chorioretinopathy and Allied Disorders. Prog. Retin. Eye Res. 2022, 86, 100973. [Google Scholar] [CrossRef]
- Brinks, J.; van Dijk, E.H.C.; Meijer, O.C.; Schlingemann, R.O.; Boon, C.J.F. Choroidal Arteriovenous Anastomoses: A Hypothesis for the Pathogenesis of Central Serous Chorioretinopathy and Other Pachychoroid Disease Spectrum Abnormalities. Acta Ophthalmol. 2022, 100, 946–959. [Google Scholar] [CrossRef]
- Spaide, R.F.; Ledesma-Gil, G.; Gemmy Cheung, C.M. Intervortex Venous Anastomosis in Pachychoroid-Related Disorders. Retina 2021, 41, 997. [Google Scholar] [CrossRef]
- Pang, C.E.; Shah, V.P.; Sarraf, D.; Freund, K.B. Ultra-Widefield Imaging with Autofluorescence and Indocyanine Green Angiography in Central Serous Chorioretinopathy. Am. J. Ophthalmol. 2014, 158, 362–371.e2. [Google Scholar] [CrossRef] [PubMed]
- Zarnegar, A.; Ong, J.; Matsyaraja, T.; Arora, S.; Chhablani, J. Pathomechanisms in Central Serous Chorioretinopathy: A Recent Update. Int. J. Retin. Vitr. 2023, 9, 3. [Google Scholar] [CrossRef]
- Bacci, T.; Oh, D.J.; Singer, M.; Sadda, S.; Freund, K.B. Ultra-Widefield Indocyanine Green Angiography Reveals Patterns of Choroidal Venous Insufficiency Influencing Pachychoroid Disease. Investig. Ophthalmol. Vis. Sci. 2022, 63, 17. [Google Scholar] [CrossRef] [PubMed]
- Midena, E.; Bini, S.; Martini, F.; Enrica, C.; Pilotto, E.; Micera, A.; Esposito, G.; Vujosevic, S. Changes of Aqueous Humor Müller Cells’ Biomarkers in Human Patients Affected by Diabetic Macular Edema After Subthreshold Micropulse Laser Treatment. Retina 2020, 40, 126. [Google Scholar] [CrossRef]
- Long, H.; Liu, M.; Hu, Q.; Li, X. 577 Nm Subthreshold Micropulse Laser Treatment for Acute Central Serous Chorioretinopathy: A Comparative Study. BMC Ophthalmol. 2022, 22, 105. [Google Scholar] [CrossRef]
- Gawęcki, M.; Jaszczuk, A.; Grzybowski, A. Short Term Presence of Subretinal Fluid in Central Serous Chorioretinopathy Affects Retinal Thickness and Function. J. Clin. Med. 2020, 9, 3429. [Google Scholar] [CrossRef]
- Arora, S.; Sridharan, P.; Arora, T.; Chhabra, M.; Ghosh, B. Subthreshold Diode Micropulse Laser versus Observation in Acute Central Serous Chorioretinopathy. Clin. Exp. Optom. 2019, 102, 79–85. [Google Scholar] [CrossRef] [PubMed]
- Frizziero, L.; Calciati, A.; Midena, G.; Torresin, T.; Parrozzani, R.; Pilotto, E.; Midena, E. Subthreshold Micropulse Laser Modulates Retinal Neuroinflammatory Biomarkers in Diabetic Macular Edema. J. Clin. Med. 2021, 10, 3134. [Google Scholar] [CrossRef]
- Latalska, M.; Prokopiuk, A.; Wróbel-Dudzińska, D.; Mackiewicz, J. Subthreshold Micropulse Yellow 577 nm Laser Therapy of Diabetic Macular Oedema in Rural and Urban Patients of South-Eastern Poland. Ann. Agric. Environ. Med. 2017, 24, 96–99. [Google Scholar] [CrossRef] [PubMed]
- De Cillà, S.; Vezzola, D.; Farruggio, S.; Vujosevic, S.; Clemente, N.; Raina, G.; Mary, D.; Casini, G.; Rossetti, L.; Avagliano, L.; et al. The Subthreshold Micropulse Laser Treatment of the Retina Restores the Oxidant/Antioxidant Balance and Counteracts Programmed Forms of Cell Death in the Mice Eyes. Acta Ophthalmol. 2019, 97, e559–e567. [Google Scholar] [CrossRef]
- Erol, M.K.; Balkarli, A.; Toslak, D.; Dogan, B.; Durmaz, D.; Süren, E.; Altun, S.; Bulut, M.; Cobankara, V. Evaluation of Nailfold Videocapillaroscopy in Central Serous Chorioretinopathy. Graefe’s Arch. Clin. Exp. Ophthalmol. 2016, 254, 1889–1896. [Google Scholar] [CrossRef] [PubMed]
- Latalska, M.; Bartosińska, J.; Dresler, S.; Toro, M.D.; Krasowska, D.; Rejdak, R. Comparison of Nailfold Videocapillaroscopy with Retinal and Choroidal Vascular Parameters in Patients with Central Serous Chorioretinopathy. J. Clin. Med. 2023, 12, 4817. [Google Scholar] [CrossRef]
- Latalska, M.; Bartosińska, J.; Kosior-Jarecka, E.; Krasowska, D.; Mackiewicz, J. Nailfold Videocapillaroscopy in Patients with Central Serous Chorioretinopathy and Its Relationship to Morphological and Functional Findings. J. Clin. Med. 2020, 9, 3891. [Google Scholar] [CrossRef] [PubMed]
- Luttrull, J.K.; Sinclair, S.H.; Elmann, S.; Chang, D.B.; Kent, D. Slowed Progression of Age-Related Geographic Atrophy Following Subthreshold Laser. Clin. Ophthalmol. 2020, 14, 2983–2993. [Google Scholar] [CrossRef]
- van Dijk, E.H.C.; Fauser, S.; Breukink, M.B.; Blanco-Garavito, R.; Groenewoud, J.M.M.; Keunen, J.E.E.; Peters, P.J.H.; Dijkman, G.; Souied, E.H.; MacLaren, R.E.; et al. Half-Dose Photodynamic Therapy versus High-Density Subthreshold Micropulse Laser Treatment in Patients with Chronic Central Serous Chorioretinopathy: The PLACE Trial. Ophthalmology 2018, 125, 1547–1555. [Google Scholar] [CrossRef]
- Luttrull, J.K. Subthreshold Diode Micropulse Laser (SDM) for Persistent Macular Thickening and Limited Visual Acuity After Epiretinal Membrane Peeling. Clin. Ophthalmol. 2020, 14, 1177–1188. [Google Scholar] [CrossRef] [PubMed]
- Chhablani, J.; Cohen, F.B.; Aymard, P.; Beydoun, T.; Bousquet, E.; Cohen, F.B.; Daruich-Matet, A.; Matet, A.; Zhao, M.; Chhablani, J.; et al. Multimodal Imaging-Based Central Serous Chorioretinopathy Classification. Ophthalmol. Retin. 2020, 4, 1043–1046. [Google Scholar] [CrossRef]
- van Dijk, E.H.C.; Feenstra, H.M.A.; Bjerager, J.; Grauslund, J.; Boon, C.J.F.; Subhi, Y. Comparative Efficacy of Treatments for Chronic Central Serous Chorioretinopathy: A Systematic Review with Network Meta-Analyses. Acta Ophthalmol. 2023, 101, 140–159. [Google Scholar] [CrossRef]
- Gawęcki, M. Micropulse Laser Treatment of Retinal Diseases. J. Clin. Med. 2019, 8, 242. [Google Scholar] [CrossRef]
- Gawęcki, M.; Jaszczuk-Maciejewska, A.; Jurska-Jaśko, A.; Kneba, M.; Grzybowski, A. Transfoveal Micropulse Laser Treatment of Central Serous Chorioretinopathy within Six Months of Disease Onset. J. Clin. Med. 2019, 8, 1398. [Google Scholar] [CrossRef]
- Kiraly, P.; Habjan, M.Š.; Smrekar, J.; Mekjavić, P.J. Functional Outcomes and Safety Profile of Trans-Foveal Subthreshold Micropulse Laser in Persistent Central Serous Chorioretinopathy. Life 2023, 13, 1194. [Google Scholar] [CrossRef]
- Yang, L.; Jonas, J.B.; Wei, W. Choroidal Vessel Diameter in Central Serous Chorioretinopathy. Acta Ophthalmol. 2013, 91, e358–e362. [Google Scholar] [CrossRef]
- Wakatsuki, Y.; Shinojima, A.; Kawamura, A.; Yuzawa, M. Correlation of Aging and Segmental Choroidal Thickness Measurement Using Swept Source Optical Coherence Tomography in Healthy Eyes. PLoS ONE 2015, 10, e0144156. [Google Scholar] [CrossRef] [PubMed]
- Li, H.; Chen, L.; Wu, M.; Zheng, B. Analysis of Retinal Sensitivity between Acute and Recurrent Central Serous Chorioretinopathy by Microperimetry. Photodiagn. Photodyn. Ther. 2023, 42, 103576. [Google Scholar] [CrossRef] [PubMed]
- Guo, J.-J.; Li, X.-J.; Wan, J.-J. Efficacy and Safety of Subthreshold Micropulse Laser in the Treatment of Acute Central Serous Chorioretinopathy. Int. J. Ophthalmol. 2023, 16, 921–927. [Google Scholar] [CrossRef] [PubMed]
- Luttrull, J.K. Low-Intensity/High-Density Subthreshold Diode Micropulse Laser for Central Serous Chorioretinopathy. Retina 2016, 36, 1658–1663. [Google Scholar] [CrossRef] [PubMed]
- Wei, Y.; Jiang, H.; Shi, Y.; Qu, D.; Gregori, G.; Zheng, F.; Rundek, T.; Wang, J. Age-Related Alterations in the Retinal Microvasculature, Microcirculation, and Microstructure. Investig. Ophthalmol. Vis. Sci. 2017, 58, 3804–3817. [Google Scholar] [CrossRef] [PubMed]
- Lejoyeux, R.; Benillouche, J.; Ong, J.; Errera, M.-H.; Rossi, E.A.; Singh, S.R.; Dansingani, K.K.; da Silva, S.; Sinha, D.; Sahel, J.-A.; et al. Choriocapillaris: Fundamentals and Advancements. Prog. Retin. Eye Res. 2022, 87, 100997. [Google Scholar] [CrossRef] [PubMed]





| Parameter | Control | aCSC | cCSC | rCSC | p |
|---|---|---|---|---|---|
| Number of patients (n, %) | 14 (25.5) | 15 (27.3) | 15 (27.3) | 11 (20.0) | — |
| Age (years ± SD) | 45 ± 9.26 | 40.9 ± 5.63 | 46.8 ± 6.58 | 44 ± 8.96 | 0.264 |
| Sex, male (n, %) | 8 (57.14) | 13 (86.6) | 8 (53.33) | 7 (63.33) | 0.988 |
| Residence area, urban (n, %) | 8 (57.14) | 6 (40.0) | 11 (73.33) | 7 (63.63) | 0.460 |
| Duration of symptoms (months ± SD) | 0 | 1.6 ± 0.90 | 15.64 ± 20.15 | 17.45 ± 25.47 | 0.000 |
| Stress, yes (n, %) | 4 (28.57) | 2 (13.33) | 2 (13.33) | 4 (36.36) | 0.190 |
| Smoking history, yes (n, %) | 0 | 2 (13.33) | 4 (26.66) | 3 (27.27) | 0.110 |
| RPE alteration, yes (n, %) | 0 | 2 (13.33) | 12 (80.0) | 10 (90.91) | 0.000 |
| PED, yes (n, %) | 0 | 2 (13.33) | 3 (20.0) | 1 (9.09) | 0.480 |
| HF, yes (n, %) | 0 | 11 (73.33) | 14 (93.33) | 10 (90.91) | 0.000 |
| EZ disruptions, yes (n, %) | 0 | 3 (20.0) | 5 (33.33) | 3 (27.27) | 0.240 |
| BCVA | RetSens | |||
|---|---|---|---|---|
| Variables | Baseline | Final | Baseline | Final |
| Age | −0.198 p = 0.113 | −0.337 * p = 0.006 | 0.031 p = 0.874 | −0.199 p = 0.159 |
| Disease duration/months | −0.420 * p = 0.002 | −0.447 * p = 0.000 | −0.091 p = 0.522 | −0.263 p = 0.062 |
| RPE alteration, yes | −0.614 * p = 0.000 | −0.498 * p = 0.000 | −0.099 p = 0.474 | −0.261 p = 0.63 |
| PED, yes | −0.347 * p = 0.005 | −0.293 * p = 0.017 | −0.040 p = 0.701 | −0.344 * p = 0.013 |
| HF, yes | −0.596 * p = 0.000 | −0.548 * p = 0.000 | −0.215 p = 0.130 | −0.123 p = 0.386 |
| EZ disruptions, yes | −0.525 * p = 0.000 | −0.402 * p = 0.000 | −0.030 p = 0.781 | −0.058 p = 0.685 |
| SRF height | −0.394 * p = 0.001 | −0.267 * p = 0.031 | −0.108 p = 0.590 | 0.003 p = 0.982 |
| Stress, yes | −0.020 p = 0.875 | −0.159 p = 0.210 | −0.013 p = 0.920 | −0.150 p = 0.236 |
| Smoking history | −0.354 * p = 0.004 | −0.320 * p = 0.010 | −0.339 * p = 0.006 | −0.194 p = 0.124 |
| BCVA | RetSens | |||
|---|---|---|---|---|
| Variables | Baseline Baseline/Final | Final Baseline/Final | Baseline Baseline/Final | Final Baseline/Final |
| CRT | −0.127/0.595 * | 0.031/0.371 * | −0.043/0.233 | 0.285 */0.447 * |
| p-value | 0.313/0.000 | 0.801/0.002 | 0.759/0.99 | 0.042/0.000 |
| FAZ | −0.277 */−0.300 * | −0.273 */−0.178 | 0.089/0.053 | −0.334 */−0.369 * |
| p-value | 0.025/0.015 | 0.027/0.155 | 0.533/0.711 | 0.016/0.008 |
| Superficial VD Fovea | 0.393 */0.458 * | 0.380 */0.434 * | −0.122/−0.009 | 0.286 */0.298 * |
| p-value | 0.001/0.000 | 0.001/0.000 | 0.393/0.533 | 0.041/0.033 |
| Superficial VD SupHem | 0.243/−0.015 | 0.382 */0.271 * | 0.031/0.230 | 0.165/0.412 * |
| p-value | 0.051/0.903 | 0.001/0.029 | 0.827/0.104 | 0.246/0.003 |
| Superficial VD InfHem | 0.252 */−0.011 | 0.398 */0.213 | −0.050/0.137 | 0.083/0.258 |
| p-value | 0.042/0.903 | 0.001/0.104 | 0.724/0.335 | 0.558/0.067 |
| Superficial VD ETDRS | 0.234/−0.004 | 0.381 */0.277 * | −0.017/0.180 | 0.136/0.383 * |
| p-value | 0.059/0.972 | 0.001/0.025 | 0.903/0.204 | 0.341/0.005 |
| Deep VD Fovea | 0.375 */0.398 * | 0.477 */0.464 * | −0.112/0.098 | 0.383 */0.537 * |
| p-value | 0.002/0.001 | 0.000/0.000 | 0.430/0.490 | 0.005/0.000 |
| Deep VD SupHem | 0.092/−0.023 | 0.332 */0.257 * | −0.073/0.050 | 0.033/0.128 |
| p-value | 0.462/0.851 | 0.006/0.038 | 0.606/0.724 | 0.814/0.368 |
| Deep VD InfHem | 0.122/0.032 | 0.335 */0.260 * | −0.085/0.051 | 0.027/0.128 |
| p-value | 0.329/0.799 | 0.006/0.038 | 0.551/0.724 | 0.849/0.369 |
| Deep VD ETDRS | 0.122/0.071 | 0.361 */0.344 * | −0.078/0.070 | 0.034/0.188 |
| p-value | 0.329/0.571 | 0.003/0.004 | 0.578/0.624 | 0.809/0.186 |
| Pachyvessel diameter | −0.341 */−0.357 * | −0.086/−0.110 | −0.183/−0.246 | −0.147/−0.197 |
| p-value | 0.005/0.003 | 0.494/0.380 | 0.197/0.081 | 0.302/0.164 |
| GCC SupHem | 0.063/0.206 | 0.214/0.242 | 0.208/0.352 * | 0.359 */0.425 * |
| p-value | 0.613/0.098 | 0.086/0.051 | 0.141/0.11 | 0.009/0.001 |
| GCC InfHem | 0.144/0.244 | 0.283 */0.268 * | 0.226/0.530 * | 0.359 */0.546 * |
| p-value | 0.249/0.051 | 0.022/0.031 | 0.110/0.000 | 0.009/0.000 |
| GCC ETDRS | 0.111/0.197 | 0.286 */0.303 * | 0.226/0.437 * | 0.369 */0.494 * |
| p-value | 0.376/0.114 | 0.021/0.014 | 0.110/0.001 | 0.007/0.000 |
Disclaimer/Publisher’s Note: The statements, opinions and data contained in all publications are solely those of the individual author(s) and contributor(s) and not of MDPI and/or the editor(s). MDPI and/or the editor(s) disclaim responsibility for any injury to people or property resulting from any ideas, methods, instructions or products referred to in the content. |
© 2025 by the authors. Licensee MDPI, Basel, Switzerland. This article is an open access article distributed under the terms and conditions of the Creative Commons Attribution (CC BY) license.
Share and Cite
Latalska, M.; Dresler, S.; Wójciak, M.; Sowa, I.; Rejdak, R. A Novel Panmacular Strategy for Subthreshold Micropulse Laser in CSC: Two-Year Functional and Morphological Outcomes. J. Clin. Med. 2026, 15, 43. https://doi.org/10.3390/jcm15010043
Latalska M, Dresler S, Wójciak M, Sowa I, Rejdak R. A Novel Panmacular Strategy for Subthreshold Micropulse Laser in CSC: Two-Year Functional and Morphological Outcomes. Journal of Clinical Medicine. 2026; 15(1):43. https://doi.org/10.3390/jcm15010043
Chicago/Turabian StyleLatalska, Małgorzata, Sławomir Dresler, Magdalena Wójciak, Ireneusz Sowa, and Robert Rejdak. 2026. "A Novel Panmacular Strategy for Subthreshold Micropulse Laser in CSC: Two-Year Functional and Morphological Outcomes" Journal of Clinical Medicine 15, no. 1: 43. https://doi.org/10.3390/jcm15010043
APA StyleLatalska, M., Dresler, S., Wójciak, M., Sowa, I., & Rejdak, R. (2026). A Novel Panmacular Strategy for Subthreshold Micropulse Laser in CSC: Two-Year Functional and Morphological Outcomes. Journal of Clinical Medicine, 15(1), 43. https://doi.org/10.3390/jcm15010043

