Sign in to use this feature.

Years

Between: -

Subjects

remove_circle_outline
remove_circle_outline
remove_circle_outline
remove_circle_outline
remove_circle_outline

Journals

Article Types

Countries / Regions

Search Results (5)

Search Parameters:
Keywords = cartesian cut-cell method

Order results
Result details
Results per page
Select all
Export citation of selected articles as:
24 pages, 9564 KB  
Article
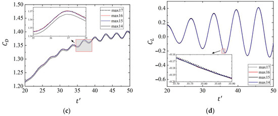
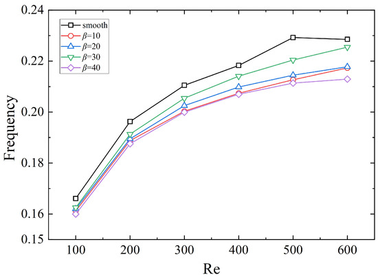
Numerical Investigation of Fluid Flow Past a Cylinder: Effect of Surface Roughness
by Xiaoxiang Wang, Yong Ma, Lei Li and Liangwan Rong
J. Mar. Sci. Eng. 2026, 14(4), 356; https://doi.org/10.3390/jmse14040356 - 12 Feb 2026
Viewed by 579
Abstract
This study employs direct numerical simulation (DNS), combined with the Cartesian cut-cell method and quadtree adaptive mesh refinement, to systematically investigate the effects of surface roughness on the flow past a cylinder. The varying surface roughness is described mainly in terms of the [...] Read more.
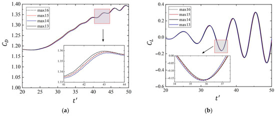
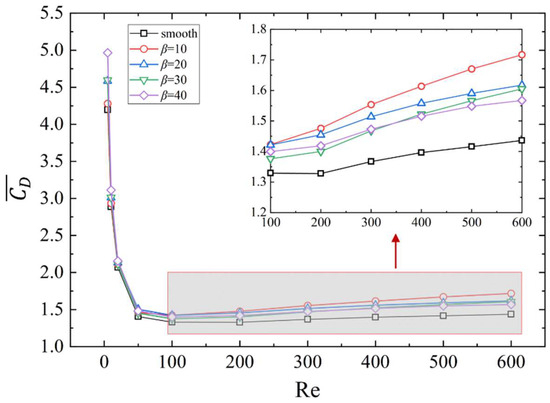
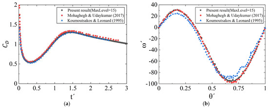
This study employs direct numerical simulation (DNS), combined with the Cartesian cut-cell method and quadtree adaptive mesh refinement, to systematically investigate the effects of surface roughness on the flow past a cylinder. The varying surface roughness is described mainly in terms of the wavenumber β. Results show that the non-uniform roughness disrupts the symmetry of flow structures and randomizes separation, forming a heterogeneous flow with coexisting small-scale groove vortices and large-scale side vortices. At Re=100, the drag coefficient exhibits a maximum at β=30, with a corresponding 1.48-fold increase in the peak local pressure coefficient over a smooth cylinder. The lift coefficient stabilizes between 0.375 and 0.38 for β20. The trend of force varies across different Reynolds number ranges. Beyond a critical roughness at Re>100, the mean drag and lift amplitude become roughness-insensitive. Full article
(This article belongs to the Section Ocean Engineering)
Show Figures

Figure 1

16 pages, 550 KB  
Article
On the Convergence of Normal and Curvature Calculations with the Height Function Method for Two-Phase Flow
by Antonio Cervone, Sandro Manservisi, Jieyun Pan, Ruben Scardovelli and Stéphane Zaleski
Energies 2025, 18(11), 2918; https://doi.org/10.3390/en18112918 - 2 Jun 2025
Viewed by 1436
Abstract
The volume-of-fluid (VOF) method is widely used for multiphase flow simulations, where the VOF function implicitly represents the interface through the volume fraction field. The height function (HF) method on a Cartesian grid integrates the volume fractions of a column of cells across [...] Read more.
The volume-of-fluid (VOF) method is widely used for multiphase flow simulations, where the VOF function implicitly represents the interface through the volume fraction field. The height function (HF) method on a Cartesian grid integrates the volume fractions of a column of cells across the interface. A stencil of three consecutive heights and centered finite differences compute the unit normal n and the curvature κ with second-order convergence with grid refinement. The interface line can cross more than one cell of the column, and the value of the geometrical properties of the interface should be interpolated in the cut cells. We propose a numerical algorithm to interpolate the geometrical data that removes the inconsistency between theoretical and numerical results presented in many papers. A constant approximation in the column of cells provides first-order convergence with grid refinement, while linear and quadratic interpolations indicate second-order convergence. The numerical results obtained with analytical curves agree with the theoretical development presented in this study. Full article
Show Figures

Figure 1

18 pages, 3923 KB  
Article
Local Inverse Mapping Implicit Hole-Cutting Method for Structured Cartesian Overset Grid Assembly
by Jingyuan Wang, Feng Wu, Quanyong Xu and Lei Tan
Entropy 2023, 25(3), 432; https://doi.org/10.3390/e25030432 - 28 Feb 2023
Cited by 3 | Viewed by 2891
Abstract
An automatic hole-cutting method is proposed to search donor cells between a structured Cartesian mesh and an overlapping body-fitted mesh. The main flow is simulated on the structured Cartesian mesh and the viscous flow near the solid boundary is simulated on the body-fitted [...] Read more.
An automatic hole-cutting method is proposed to search donor cells between a structured Cartesian mesh and an overlapping body-fitted mesh. The main flow is simulated on the structured Cartesian mesh and the viscous flow near the solid boundary is simulated on the body-fitted mesh. Through the spatial interpolation of flux, the surface boundary information on the body-fitted mesh is transferred to the Cartesian mesh nodes near the surface. Cartesian mesh box near a body-fitted mesh cell is selected as a local inverse map. The Cartesian nodes located inside the donor cells are marked by the relative coordinate transformation, so that all Cartesian nodes can be classified and the hole boundaries are implicitly cut. This hole-cutting process for overset grid assembly is called Local Inverse Mapping (LIM) method. In the LIM method, spatial interpolation of flux is carried out synchronously with the marking of Cartesian nodes. The LIM method is combined with the in-house finite-difference solver to simulate the unsteady flow field of moving bodies. The numerical results show that the LIM method can accurately mark the Cartesian hole boundary nodes, the search efficiency of donor cells is high, and the result of spatial interpolation is accurate. The calculation time of overset grid assembly (OGA) can be less than 3% of the total simulation time. Full article
Show Figures

Figure 1

24 pages, 3686 KB  
Article
A Multi-Fidelity Framework for Wildland Fire Behavior Simulations over Complex Terrain
by Marcos Vanella, Kevin McGrattan, Randall McDermott, Glenn Forney, William Mell, Emanuele Gissi and Paolo Fiorucci
Atmosphere 2021, 12(2), 273; https://doi.org/10.3390/atmos12020273 - 18 Feb 2021
Cited by 33 | Viewed by 5768
Abstract
A method for the large-eddy simulation (LES) of wildfire spread over complex terrain is presented. In this scheme, a cut-cell immersed boundary method (CC-IBM) is used to render the complex terrain, defined by a tessellation, on a rectilinear Cartesian grid. Discretization of scalar [...] Read more.
A method for the large-eddy simulation (LES) of wildfire spread over complex terrain is presented. In this scheme, a cut-cell immersed boundary method (CC-IBM) is used to render the complex terrain, defined by a tessellation, on a rectilinear Cartesian grid. Discretization of scalar transport equations for chemical species is done via a finite volume scheme on cut-cells defined by the intersection of the terrain geometry and the Cartesian cells. Momentum transport and heat transfer close to the immersed terrain are handled using dynamic wall models and a direct forcing immersed boundary method. A new “open” convective inflow/outflow method for specifying atmospheric wind boundary conditions is presented. Additionally, three basic approaches have been explored to model fire spread: (1) Representing the vegetation as a collection of Lagrangian particles, (2) representing the vegetation as a semi-porous boundary, and (3) representing the fire spread using a level set method, in which the fire spreads as a function of terrain slope, vegetation type, and wind speed. Several test and validation cases are reported to demonstrate the capabilities of this novel wildfire simulation methodology. Full article
(This article belongs to the Special Issue Coupled Fire-Atmosphere Simulation)
Show Figures

Figure 1

17 pages, 3187 KB  
Article
Prediction Capability of Cartesian Cut-Cell Method with a Wall-Stress Model Applied to High Reynolds Number Flows
by Yuki Takeda, Kazuyuki Ueno, Tatsuya Ishikawa and Yuta Takahashi
Appl. Sci. 2020, 10(15), 5050; https://doi.org/10.3390/app10155050 - 22 Jul 2020
Cited by 4 | Viewed by 3767
Abstract
The Cartesian cut-cell method is one of the most promising methods for computational fluid dynamics due to its sharp interface treatment. However, the Cartesian cut-cell method and other Cartesian mesh solvers have difficulty with concentrating grid to boundary layers. The wall-modelling of shear [...] Read more.
The Cartesian cut-cell method is one of the most promising methods for computational fluid dynamics due to its sharp interface treatment. However, the Cartesian cut-cell method and other Cartesian mesh solvers have difficulty with concentrating grid to boundary layers. The wall-modelling of shear stress is one of the most effective methods to reduce computational grids in boundary layers. This study investigated the applicability of a wall-stress model to the Cartesian cut-cell method. In the numerical simulations of the flow around a triangular column, Cartesian cut-cell simulation with the wall-stress model adequately predicted the drag coefficient. In the numerical simulations of the flow around a 30P30N high-lift airfoil configuration, the Cartesian cut-cell simulation with the wall-stress model adequately predicts the lift coefficient. The intermittent vortex structure of the outer layer of the turbulent boundary layer was observed on the suction side of the main element and the flap. The Cartesian cut-cell method with a wall-stress model is useful for predicting high Reynolds number flows at R e 10 6 . Full article
(This article belongs to the Section Aerospace Science and Engineering)
Show Figures

Figure 1

Back to TopTop