Sign in to use this feature.

Years

Between: -

Subjects

remove_circle_outline
remove_circle_outline
remove_circle_outline
remove_circle_outline
remove_circle_outline
remove_circle_outline
remove_circle_outline
remove_circle_outline
remove_circle_outline

Journals

remove_circle_outline
remove_circle_outline
remove_circle_outline
remove_circle_outline
remove_circle_outline
remove_circle_outline

Article Types

Countries / Regions

remove_circle_outline
remove_circle_outline
remove_circle_outline

Search Results (188)

Search Parameters:
Keywords = care bundle

Order results
Result details
Results per page
Select all
Export citation of selected articles as:
13 pages, 751 KB  
Article
Time-of-Day-Dependent Post-Induction Hypotension and Personalized Hemodynamic Management in Emergency Spine Surgery: A Retrospective Pre–Post Cohort Study
by Cheol Lee, Eunsung Park, Jina Kim and Kwangjin Lee
Medicina 2026, 62(3), 473; https://doi.org/10.3390/medicina62030473 - 2 Mar 2026
Viewed by 171
Abstract
Background and Objectives: Post-induction hypotension (PIH) is common in emergency spine surgery and may vary by time of day. We evaluated whether a personalized hemodynamic management (PHM) bundle was associated with reduced PIH and hypotension burden. Materials and Methods: We conducted [...] Read more.
Background and Objectives: Post-induction hypotension (PIH) is common in emergency spine surgery and may vary by time of day. We evaluated whether a personalized hemodynamic management (PHM) bundle was associated with reduced PIH and hypotension burden. Materials and Methods: We conducted a single-center retrospective pre–post cohort study of adults undergoing emergency decompressive or stabilizing spine surgery under general anesthesia. The PHM bundle included documentation of an individualized pre-induction MAP target (default 65 mmHg; higher for selected high-risk phenotypes), dynamic assessment of fluid responsiveness, and proactive vasopressor use (norepinephrine initiated at induction in prespecified high-risk patients), with continuous BP trajectory monitoring. PIH was defined as mean arterial pressure (MAP) < 65 mmHg or a ≥30% decrease from pre-induction MAP within 20 min. We used 1:1 propensity score matching (caliper 0.2) and provider-clustered logistic regression in the matched cohort. Results: Among 312 eligible patients (usual care n = 200; PHM n = 112), PIH varied by time of day, with the highest incidence in morning cases (46.2%; p = 0.041). After matching, 224 patients (112 per group) were analyzed. PHM was associated with lower PIH (43.8% vs. 33.0%; adjusted odds ratio 0.62; 95% CI: 0.41–0.94; p = 0.024). PHM reduced time-weighted average (TWA) MAP below target (5.7 ± 4.2 vs. 3.2 ± 3.6 mmHg; mean difference (MD) −2.3 mmHg; 95% CI −3.3 to −1.3; p = 0.001) and area under MAP < 65 mmHg (ratio 0.62; 95% CI 0.50–0.78; p < 0.001). Norepinephrine-equivalent dose was higher (Δ + 20 μg; p = 0.005) while rescue phenylephrine boluses were fewer (Δ − 1; p < 0.001); crystalloid volume was similar (p = 0.151). Conclusions: In emergency spine surgery, PIH showed time-of-day variation, and PHM implementation was associated with reduced PIH and hypotension burden. Full article
(This article belongs to the Section Intensive Care/ Anesthesiology)
Show Figures

Figure 1

17 pages, 381 KB  
Article
Microorganisms and Mortality Factors in Hospitalized Hemodialysis Patients with Catheter-Related Bloodstream Infection and Infective Endocarditis: 7 Years of Experience
by Feyza Bora, Umit Cakmak, Özlem Esra Yıldırım and Funda Sarı
J. Clin. Med. 2026, 15(5), 1815; https://doi.org/10.3390/jcm15051815 - 27 Feb 2026
Viewed by 173
Abstract
Background and Objectives: Catheter-related bloodstream infections (CRBSIs) and infective endocarditis (IE) lead to substantial morbidity, prolonged hospitalizations, and increased mortality. This study aimed to determine the incidence of IE among hospitalized catheter-dependent HD patients with CRBSI and identify risk factors associated with 90-day [...] Read more.
Background and Objectives: Catheter-related bloodstream infections (CRBSIs) and infective endocarditis (IE) lead to substantial morbidity, prolonged hospitalizations, and increased mortality. This study aimed to determine the incidence of IE among hospitalized catheter-dependent HD patients with CRBSI and identify risk factors associated with 90-day all-cause mortality. Materials and Methods: We conducted a retrospective analysis of patients diagnosed with CRBSI. Clinical, microbiological, and accessible echocardiographic data were evaluated. Risk factors for 90-day mortality were analyzed using univariate analysis and multivariable binary logistic regression analysis models. Results: A total of 85 hospitalized catheter-dependent HD patients with CRBSI were included. Gram-positive organisms were the predominant pathogens (70.6%), with Staphylococcus aureus identified in 35.3% (30/85) of all CRBSI cases. Gram-negative bacteria accounted for 29.4% of all CRBSIs. IE was identified in 9.4% (n = 8) of patients diagnosed with CRBSI. Significant differences were observed between the IE and non-IE groups regarding the need for length of hospital stay, vegetation, embolism (p < 0.05). The 90-day all-cause mortality rate was 14.1% (n = 12). Univariate analysis identified that older age and female gender were associated with increased mortality (p < 0.05). In the multivariable binary logistic regression, only age (OR: 1.055, 95% CI: 1.005–1.107, p = 0.029) remained an independent predictor of 90-day mortality. Conclusions: In catheter-dependent HD patients, Staphylococcus aureus is the predominant organism associated with both CRBSI and IE. With an observed IE occurring in 9.4% hospitalized catheter-dependent HD patients with CRBSI, consistent compliance with prevention bundles must be prioritized as a standard of care for catheter management. Full article
(This article belongs to the Section Infectious Diseases)
Show Figures

Graphical abstract

15 pages, 754 KB  
Review
Evidence on Measures for the Prevention of Pressure Injuries in Mechanically Ventilated Patients in Prone Positioning: A Systematic Review
by Simone Amato, Daniele Napolitano, Alessio Lo Cascio, Elena Conoscenti, Angela Lappa, Emilio D’avino, Mirko Masciullo, Antonello Pucci, Valentina De Bartolo, Claudia Torretta, Lucia Mitello, Anna Rita Marucci and Francesco Gravante
Healthcare 2026, 14(4), 443; https://doi.org/10.3390/healthcare14040443 - 10 Feb 2026
Viewed by 647
Abstract
Background: Therapeutic prone positioning is widely used to improve oxygenation in patients with acute respiratory distress syndrome but is associated with an increased risk of pressure injuries, particularly affecting facial and anterior body regions. Methods: This systematic review was conducted according to PRISMA [...] Read more.
Background: Therapeutic prone positioning is widely used to improve oxygenation in patients with acute respiratory distress syndrome but is associated with an increased risk of pressure injuries, particularly affecting facial and anterior body regions. Methods: This systematic review was conducted according to PRISMA 2020 and Joanna Briggs Institute guidelines and was prospectively registered in PROSPERO (CRD42023442604). PubMed, CINAHL, Web of Science, Scopus, and the Cochrane Library were searched from inception to June 2025, including grey literature. Primary studies involving adult, mechanically ventilated patients undergoing therapeutic prone positioning and evaluating pressure injury prevention strategies were included. Methodological quality was assessed using JBI critical appraisal tools. Owing to clinical and methodological heterogeneity, findings were synthesized using a Synthesis Without Meta-analysis (SWiM) approach. Results: Eight studies with heterogeneous designs were included. Preventive interventions mainly comprised prophylactic dressings, repositioning and support devices, and comprehensive care bundles. Most strategies were associated with a reduction in pressure injury incidence, particularly in facial and anterior anatomical areas. Greater effectiveness was observed when interventions were implemented within structured protocols supported by staff training and multidisciplinary coordination. Conclusions: Preventive strategies appear effective in reducing pressure injuries associated with prone positioning in critically ill patients. The implementation of standardized, bundled prevention protocols may improve patient safety in intensive care settings. Full article
Show Figures

Figure 1

19 pages, 4967 KB  
Article
Interfacial Mechanical Properties and Reinforcement Mechanism of Polyester Yarn Bundled Geogrid for Retaining Structure
by Jiahong Tu, Wei Zhao, Pengyu Zhu and Yuliang Lin
Buildings 2026, 16(3), 565; https://doi.org/10.3390/buildings16030565 - 29 Jan 2026
Viewed by 224
Abstract
Polyester yarn bundle geogrids are widely used materials in flexible retaining structures due to their high toughness and high-strength mechanical properties. To investigate the mechanical characteristics and the interfacial mechanical properties of these geogrids, a series of pull-out tests were conducted under different [...] Read more.
Polyester yarn bundle geogrids are widely used materials in flexible retaining structures due to their high toughness and high-strength mechanical properties. To investigate the mechanical characteristics and the interfacial mechanical properties of these geogrids, a series of pull-out tests were conducted under different pull-out rates and filling water contents. Based on the test results, a DEM-FDM coupled numerical model for pull-out behavior was established to analyze the pull-out deformation behavior of the geogrids. Combined with the theoretical analysis of the load-bearing characteristics of the geogrids, the reinforcement mechanism of polyester yarn bundle geogrids was revealed. The results show that there exists a critical pull-out rate of 1 mm/min that maximizes the pull-out resistance; the interface friction angle decreases with an increase in pull-out rate, while the interface cohesion shows an opposite trend. The filling water content presents a more significant weakening effect on the soil–geogrid interface strength under low stress, resulting in a strain-softening type of pull-out curve. Unlike fine-ribbed plastic geogrids, the sliding frictional resistance of polyester yarn bundle geogrids accounts for 80% of the total pull-out resistance during the pull-out process. The mechanical interlocking force, which arises from the bulges on the mid-section of transverse ribs and the downward bending of longitudinal rib edges, is subject to dynamic changes in the course of the pull-out process. The geogrid exhibits overall shear failure under low normal stress (σn< 200 kPa) and penetration shear failure under high normal stress (σn 200 kPa). In practical engineering installation, polyester yarn bundle geogrids should be placed as parallel as possible to maximize the frictional resistance with filled soil and should take care of the geogrid joints for enhanced durability of the geogrids. Full article
(This article belongs to the Section Building Structures)
Show Figures

Figure 1

25 pages, 1012 KB  
Review
Cognitive Impact of Colorectal Cancer Surgery in Elderly Patients: A Narrative Review
by Oswaldo Moraes Filho, Bruno Augusto Alves Martins, Tuane Colles, Romulo Medeiros de Almeida and João Batista de Sousa
Cancers 2026, 18(3), 417; https://doi.org/10.3390/cancers18030417 - 28 Jan 2026
Viewed by 672
Abstract
Background/Objectives: Postoperative cognitive dysfunction (POCD) represents a significant and potentially preventable complication in elderly patients undergoing colorectal cancer surgery, with reported incidence ranging from 2.8% to 62.2% depending on perioperative management strategies and assessment methods. This narrative review synthesizes current evidence on the [...] Read more.
Background/Objectives: Postoperative cognitive dysfunction (POCD) represents a significant and potentially preventable complication in elderly patients undergoing colorectal cancer surgery, with reported incidence ranging from 2.8% to 62.2% depending on perioperative management strategies and assessment methods. This narrative review synthesizes current evidence on the epidemiology, pathophysiology, risk factors, and prevention strategies for POCD in this vulnerable population. Methods: A comprehensive narrative review was conducted to examine the current literature on POCD in elderly colorectal cancer patients. Evidence was synthesized from published studies addressing epidemiology, assessment tools, risk factors, pathophysiological mechanisms, and prevention strategies, with a particular focus on Enhanced Recovery After Surgery (ERAS) protocols and multicomponent interventions. Results: Advanced age, pre-existing cognitive impairment, frailty, and surgical complexity emerge as key risk factors for POCD. ERAS protocols demonstrate substantial protective effects, reducing POCD incidence from 35% under conventional care to as low as 2.8% in optimized pathways. The pathophysiology involves multifactorial mechanisms, including neuroinflammation, blood–brain barrier disruption, neurotransmitter dysregulation, and oxidative stress, with surgical trauma triggering systemic inflammatory cascades that activate microglial responses within the central nervous system. Evidence-based prevention strategies include preoperative cognitive and frailty screening, minimally invasive surgical techniques, multimodal opioid-sparing analgesia, regional anesthesia, depth-of-anesthesia monitoring, and structured postoperative care bundles adapted from the Hospital Elder Life Program. Conclusions: The integration of comprehensive perioperative cognitive care protocols represents a critical priority as surgical volumes in elderly populations continue to expand globally. Emerging directions include biomarker development for early detection and risk stratification, precision medicine approaches targeting individual vulnerability profiles, and novel therapeutic interventions addressing neuroinflammatory pathways. Standardized assessment tools, multidisciplinary collaboration, and implementation of evidence-based preventive interventions offer substantial promise for preserving cognitive function and improving long-term quality of life in elderly colorectal cancer patients. Full article
(This article belongs to the Special Issue Surgery for Colorectal Cancer)
Show Figures

Figure 1

24 pages, 921 KB  
Review
Neonatal and Pediatric Transport: A Contemporary Review
by Keith Meyer and Balagangadhar R. Totapally
Children 2026, 13(2), 175; https://doi.org/10.3390/children13020175 - 27 Jan 2026
Viewed by 1832
Abstract
Safe transport of critically ill infants and children is an essential component of high-quality, pediatric regionalized care. The modern transport environment blends principles of critical care medicine, aviation physiology, provider training, and coordinated systems of care. This review provides an updated examination of [...] Read more.
Safe transport of critically ill infants and children is an essential component of high-quality, pediatric regionalized care. The modern transport environment blends principles of critical care medicine, aviation physiology, provider training, and coordinated systems of care. This review provides an updated examination of current practices in neonatal and pediatric transport, including team structure, clinical bundles, operational considerations, and emerging technologies. Special attention is given to rapidly evolving areas, including data-informed dispatch, real-time clinical decision support, and next-generation devices. The review closes with a discussion of future priorities for research, workforce development, and system design. Full article
(This article belongs to the Special Issue Addressing Challenges in Pediatric Critical Care Medicine)
Show Figures

Figure 1

22 pages, 586 KB  
Article
Onco-Hem Connectome—Network-Based Phenotyping of Polypharmacy and Drug–Drug Interactions in Onco-Hematological Inpatients
by Sabina-Oana Vasii, Daiana Colibășanu, Florina-Diana Goldiș, Sebastian-Mihai Ardelean, Mihai Udrescu, Dan Iliescu, Daniel-Claudiu Malița, Ioana Ioniță and Lucreția Udrescu
Pharmaceutics 2026, 18(2), 146; https://doi.org/10.3390/pharmaceutics18020146 - 23 Jan 2026
Viewed by 503
Abstract
We introduce the Onco-Hem Connectome (OHC), a patient similarity network (PSN) designed to organize real-world hemato-oncology inpatients by exploratory phenotypes with potential clinical utility. Background: Polypharmacy and drug–drug interactions (DDIs) are pervasive in hemato-oncology and vary with comorbidity and treatment intensity. Methods: We [...] Read more.
We introduce the Onco-Hem Connectome (OHC), a patient similarity network (PSN) designed to organize real-world hemato-oncology inpatients by exploratory phenotypes with potential clinical utility. Background: Polypharmacy and drug–drug interactions (DDIs) are pervasive in hemato-oncology and vary with comorbidity and treatment intensity. Methods: We retrospectively analyzed a 2023 single-center cohort of 298 patients (1158 hospital episodes). Standardized feature vectors combined demographics, comorbidity (Charlson, Elixhauser), comorbidity polypharmacy score (CPS), aggregate DDI severity score (ADSS), diagnoses, and drug exposures. Cosine similarity defined edges (threshold ≥ 0.6) to build an undirected PSN; communities were detected with modularity-based clustering and profiled by drugs, diagnosis codes, and canonical chemotherapy regimens. Results: The OHC comprised 295 nodes and 4179 edges (density 0.096, modularity Q = 0.433), yielding five communities. Communities differed in comorbidity burden (Kruskal–Wallis ε2: Charlson 0.428, Elixhauser 0.650, age 0.125, all FDR-adjusted p < 0.001) but not in utilization (LOS, episodes) after FDR (ε2 ≈ 0.006–0.010). Drug enrichment (e.g., enoxaparin Δ = +0.13 in Community 2; vinblastine Δ = +0.09 in Community 3) and principal diagnoses (e.g., C90.0 23%, C91.1 15%, C83.3 15% in Community 1) supported distinct clinical phenotypes. Robustness analyses showed block-equalized features preserved communities (ARI 0.946; NMI 0.941). Community drug signatures and regimen signals aligned with diagnosis patterns, reflecting the integration of resource-use variables in the feature design. Conclusions: The Onco-Hem Connectome yields interpretable, phenotype-level insights that can inform supportive care bundles, DDI-aware prescribing, and stewardship, and it provides a foundation for phenotype-specific risk models (e.g., prolonged stay, infection, high-DDI episodes) in hemato-oncology. Full article
(This article belongs to the Special Issue Drug–Drug Interactions—New Perspectives)
Show Figures

Figure 1

15 pages, 912 KB  
Systematic Review
Does Paying the Same Sustain Telehealth? A Systematic Review of Payment Parity Laws
by Alina Doina Tanase, Malina Popa, Bogdan Hoinoiu, Raluca-Mioara Cosoroaba and Emanuela-Lidia Petrescu
Healthcare 2026, 14(2), 222; https://doi.org/10.3390/healthcare14020222 - 16 Jan 2026
Viewed by 415
Abstract
Background and Objectives: Payment parity laws require commercial health plans to pay for telehealth on the same basis as in-person care. We systematically reviewed open-access empirical studies to identify and synthesize empirical U.S. studies that explicitly evaluated state telehealth payment parity (distinct [...] Read more.
Background and Objectives: Payment parity laws require commercial health plans to pay for telehealth on the same basis as in-person care. We systematically reviewed open-access empirical studies to identify and synthesize empirical U.S. studies that explicitly evaluated state telehealth payment parity (distinct from coverage-only parity) and to summarize reported effects on telehealth utilization, modality mix, quality/adherence, equity/access, and expenditures. Methods: Following PRISMA 2020, we searched PubMed/MEDLINE, Scopus, and Web of Science for U.S. studies that explicitly modeled state payment parity or stratified results by payment parity vs. coverage-only vs. no parity. We included original quantitative or qualitative studies with a time or geographic comparator and free full-text availability. The primary outcome was telehealth utilization (share or odds of telehealth use); secondary outcomes were modality mix, quality and adherence, equity and access, and spending. Because designs were heterogeneous (interrupted time series [ITS], difference-in-differences [DiD], regression, qualitative), we used structured narrative synthesis. Results: Nine studies met inclusion criteria. In community health centers (CHCs), payment parity was associated with higher telehealth use (42% of visits in parity states vs. 29% without; Δ = +13.0 percentage points; adjusted odds ratio 1.74, 95% CI 1.49–2.03). Among patients with newly diagnosed cancer, adjusted telehealth rates were 23.3% in coverage + payment parity states vs. 19.1% in states without parity, while cross-state practice limits reduced telehealth use (14.9% vs. 17.8%). At the health-system level, parity mandates were linked to a +2.5-percentage-point telemedicine share in 2023, with mental-health (29%) and substance use disorder (SUD) care (21%) showing the highest telemedicine shares. A Medicaid coverage policy bundle increased live-video use by 6.0 points and the proportion “always able to access needed care” by 11.1 points. For hypertension, payment parity improved medication adherence, whereas early emergency department and hospital adoption studies found null associations. Direct spending evidence from open-access sources remained sparse. Conclusions: Across ambulatory settings—especially behavioral health and chronic disease management—state payment parity laws are consistently associated with modest but meaningful increases in telehealth use and some improvements in adherence and perceived access. Effects vary by specialty and are attenuated where cross-state practice limits persist, and the impact of payment parity on overall spending remains understudied. Full article
Show Figures

Figure 1

15 pages, 2594 KB  
Article
Hospital Readmission, Transitions of Care Bundle, and a Cohort of COVID-19 Patients—An Observational Study
by Jenny Bernard, Jazmin Cascante, Themba Nyirenda, Aimee Gabuya and Victor Carrillo
COVID 2026, 6(1), 13; https://doi.org/10.3390/covid6010013 - 6 Jan 2026
Viewed by 1030
Abstract
Vulnerable populations experience higher mortality and readmission after hospital discharge. We sought to evaluate the impact of the Transitions Of Care Bundle (TOCB™) on COVID-19 patient outcomes post-discharge compared to a control cohort. This retrospective study used electronic health record data collected for [...] Read more.
Vulnerable populations experience higher mortality and readmission after hospital discharge. We sought to evaluate the impact of the Transitions Of Care Bundle (TOCB™) on COVID-19 patient outcomes post-discharge compared to a control cohort. This retrospective study used electronic health record data collected for 243 COVID-19 patients (65 TOCB™, 178 control) during the initial pandemic months at a large academic facility in Northeast New Jersey (NJ). Data included demographics, comorbidities, readmissions, mortality, and payor. The TOCB™ cohort had proportionally more Hispanic patients (56.92% vs. 48.3%, p = 0.0885). All TOCB™ patients were discharged home without needing additional services, compared to only 36% of the control group. The implementation of TOCB™ was associated with shorter hospital stays, a potential decrease in readmission rates, and fewer emergency department visits. These results imply that well-coordinated post-discharge services are linked to a diminished risk of mortality, possible hospital readmission, and other adverse health outcomes. Full article
(This article belongs to the Section COVID Clinical Manifestations and Management)
Show Figures

Figure 1

23 pages, 638 KB  
Review
Acute Kidney Injury Biomarkers in Perioperative Care: A Scoping Review of Clinical Implementation
by Konrad Zuzda, Paulina Walczak-Wieteska, Paweł Andruszkiewicz and Jolanta Małyszko
Diagnostics 2026, 16(1), 94; https://doi.org/10.3390/diagnostics16010094 - 27 Dec 2025
Viewed by 1057
Abstract
Background: Acute kidney injury (AKI) remains one of the most common perioperative complications, carrying substantial mortality and healthcare burden. Traditional diagnostic criteria relying on serum creatinine and urine output are limited by delayed detection and inability to characterize the underlying injury phenotype. [...] Read more.
Background: Acute kidney injury (AKI) remains one of the most common perioperative complications, carrying substantial mortality and healthcare burden. Traditional diagnostic criteria relying on serum creatinine and urine output are limited by delayed detection and inability to characterize the underlying injury phenotype. This scoping review examined the current state of novel AKI biomarker research in perioperative care, evaluated their clinical implementation, and identified knowledge gaps. Methods: A systematical search was performed for studies investigating novel AKI biomarkers in surgical settings. Biomarkers were categorized as functional, stress, or damage markers. Data extraction focused on diagnostic performance, clinical outcomes, regulatory approval status, and implementation barriers. A narrative synthesis was organized by biomarker category and thematic areas. Results: Several biomarkers demonstrated superior early diagnostic performance compared to traditional ones, including PENK or CCL-14, showing promising accuracy for AKI detection and outcome prediction. TIMP-2*IGFBP-7 and NGAL achieved regulatory approval, and biomarker-guided KDIGO care bundles significantly reduced AKI incidence in surgical populations. However, substantial heterogeneity exists in assays, cutoff values, and clinical validation across different clinical settings. Conclusions: Novel AKI biomarkers offer a promise for early detection and risk stratification in perioperative care, yet widespread clinical adoption requires addressing standardization challenges, establishing cost-effectiveness, and validating implementation strategies. Full article
Show Figures

Figure 1

27 pages, 1531 KB  
Review
Hospital Influenza Outbreak Management in the Post-COVID Era: A Narrative Review of Evolving Practices and Feasibility Considerations
by Wei-Hsuan Huang, Yi-Fang Ho, Jheng-Yi Yeh, Po-Yu Liu and Po-Hsiu Huang
Healthcare 2026, 14(1), 50; https://doi.org/10.3390/healthcare14010050 - 24 Dec 2025
Viewed by 846
Abstract
Background: Hospital-acquired influenza remains a persistent threat that amplifies morbidity, mortality, length of stay, and operational strain, particularly among older and immunocompromised inpatients. The COVID-19 era reshaped control norms—normalizing N95 use during surges, ventilation improvements, and routine multiplex PCR—creating an opportunity to [...] Read more.
Background: Hospital-acquired influenza remains a persistent threat that amplifies morbidity, mortality, length of stay, and operational strain, particularly among older and immunocompromised inpatients. The COVID-19 era reshaped control norms—normalizing N95 use during surges, ventilation improvements, and routine multiplex PCR—creating an opportunity to strengthen hospital outbreak management. Methods: We conducted a targeted narrative review of WHO/CDC/Infectious Diseases Society of America (IDSA) guidance and peer-reviewed studies (January 2015–August 2025), emphasizing adult inpatient care. This narrative review synthesizes recent evidence and discusses theoretical implications for practice, rather than establishing formal guidelines. Evidence was synthesized into pragmatic practice statements on detection, diagnostics, isolation/cohorting, antivirals, chemoprophylaxis, vaccination, surveillance, and communication. Results: Early recognition and test-based confirmation are pivotal. For inpatients, nucleic-acid amplification tests are preferred; negative antigen tests warrant PCR confirmation, and lower-respiratory specimens improve yield in severe disease. A practical outbreak threshold is ≥2 epidemiologically linked, laboratory-confirmed cases within 72 h on the same ward. Effective control may require immediate isolation or cohorting with dedicated staff, strict droplet/respiratory protection, and daily active surveillance. Early oseltamivir (≤48 h from onset or on admission) reduces mortality and length of stay; short-course post-exposure prophylaxis for exposed patients or staff lowers secondary attack rates. Integrated vaccination efforts for healthcare personnel and high-risk patients reinforce workforce resilience and reduce transmission. Conclusions: A standardized, clinician-led bundle—early molecular testing, do-not-delay antivirals, decisive cohorting and Personal protective equipment (PPE), targeted chemoprophylaxis, vaccination, and disciplined communication— could help curb transmission, protect vulnerable patients and staff, and preserve capacity. Hospitals should codify COVID-era layered controls for seasonal influenza and rehearse unit-level outbreak playbooks to accelerate response and recovery. These recommendations target clinicians and infection-prevention leaders in acute-care hospitals. Full article
Show Figures

Figure 1

18 pages, 841 KB  
Review
Cutaneous Adverse Events of Tyrosine Kinase Inhibitors in Endocrine Tumors: Clinical Features, Mechanisms, and Management Strategies
by Marta Marino, Francois Rosset, Alice Nervo, Alessandro Piovesan, Valentina Pala, Elisa Vaccaro, Luca Mastorino, Aldo E. Calogero and Emanuela Arvat
Biomedicines 2025, 13(12), 3044; https://doi.org/10.3390/biomedicines13123044 - 11 Dec 2025
Viewed by 991
Abstract
Background: Tyrosine kinase inhibitors (TKIs) are crucial to treating endocrine-related malignancies, including advanced thyroid cancers and neuroendocrine tumors, but their benefit is tempered by cutaneous adverse events (CAEs) that impair adherence and quality of life. Objective: To summarize the dermatologic toxicities of TKIs [...] Read more.
Background: Tyrosine kinase inhibitors (TKIs) are crucial to treating endocrine-related malignancies, including advanced thyroid cancers and neuroendocrine tumors, but their benefit is tempered by cutaneous adverse events (CAEs) that impair adherence and quality of life. Objective: To summarize the dermatologic toxicities of TKIs used in endocrine oncology and provide practical, multidisciplinary guidance for prevention and management. Methods: Narrative synthesis of clinical trial reports, post-marketing studies, and specialty guidelines pertinent to lenvatinib, vandetanib, cabozantinib, and other commonly used TKIs, integrating dermatologic and endocrine perspectives on mechanisms and care pathways. Results: VEGFR-targeted TKIs frequently cause hand–foot skin reaction, xerosis, fissuring, paronychia, and impaired wound healing; multikinase inhibition also produces alopecia, pigmentary changes, and mucositis. Epidermal growth factor receptor (EGFR) and rearranged during transfection (RET) inhibition with vandetanib is associated with acneiform eruption, photosensitivity, and nail fragility. Pathogenesis reflects on-target inhibition of VEGF/EGFR signaling leading to keratinocyte dysfunction, vascular fragility, and altered eccrine mechanics. Early risk stratification, patient education, and bundle-based prophylaxis (emollients, keratolytics, urea-based creams, sun protection) reduce incidence and severity. Grade-based algorithms combining topical corticosteroids/antibiotics, dose interruptions or reductions, and short systemic courses (e.g., doxycycline, antihistamines) enable symptom control while maintaining anticancer intensity. Close coordination around procedures minimizes wound-healing complications. Conclusions: Dermatologic toxicities are predictable, mechanism-linked, and manageable with proactive, multidisciplinary care. Standardized prevention and treatment pathways tailored to specific TKIs—particularly lenvatinib, vandetanib, and cabozantinib—can preserve dose intensity, optimize quality of life, and sustain antineoplastic efficacy. Full article
Show Figures

Graphical abstract

11 pages, 590 KB  
Article
A Quality Improvement Bundle to Reduce Central Line-Associated Bloodstream Infections in Neonatal Intensive Care Unit: An Observational Study
by Chiara Poggi, Giulia Fontanelli, Martina Ciarcià, Giovanni Sassudelli, Camilla Fazi, Leonardo Fioravanti, Silvia Grassellini, Monica Piazza and Carlo Dani
Antibiotics 2025, 14(12), 1208; https://doi.org/10.3390/antibiotics14121208 - 1 Dec 2025
Viewed by 1304
Abstract
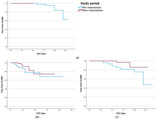
Background: Dedicated bundles were proven to reduce CLABSIs in a neonatal intensive care unit (NICU). Methods: We performed an observational pre–post study to evaluate the impact of a bundle for CLABSI prevention in our NICU. All umbilical vein catheters (UVCs) and epicutaneo-caval catheters [...] Read more.
Background: Dedicated bundles were proven to reduce CLABSIs in a neonatal intensive care unit (NICU). Methods: We performed an observational pre–post study to evaluate the impact of a bundle for CLABSI prevention in our NICU. All umbilical vein catheters (UVCs) and epicutaneo-caval catheters (ECCs) with dwell time > 2 days were included. The primary outcome was CLABSI rate/1000 central line days. Results: A total of 145 catheters (67 UVCs and 78 ECCs) and 142 catheters (65 UVCs and 77 ECCs) were inserted before and after bundle implementation, respectively. The duration of the UVC was significantly shorter before than after the bundle [4 (3–6) vs. 8 (6–11) days; p < 0.0001], while the duration of the ECC did not differ [10 (6–17) vs. 11 (6–19) days; p = 0.711]. CLABSI were less frequent after than before bundle (3.6 vs. 10.7/1000 CL days; p = 0.042); both UVC-related and ECC-related CLABSI were significantly reduced (0 vs. 7.2/1000 CL days, p = 0.015; and 4.4 vs. 12.3/1000 CL days, p = 0.044, respectively). The Kaplan–Meier curve for ECC-related CLABSIs showed no differences between the two periods (p = 0.255), but higher survival without CLABSIs after vs. before bundle was found if considering only ECC with dwell time < 14 days (p = 0.040). Gestational age (p = 0.004) and bundle (p = 0.026) were predictive factors for CLABSIs. Non-infective complications were significantly less frequent after than before bundle (11 vs. 20%, p = 0.033). Conclusions: Our bundle reduced the overall CLABSI rate, and both UVC- and ECC-related CLABSI occurrence. The efficacy for the reduction in ECC-related CLABSIs seems limited to the first 14 days of dwell time. Full article
Show Figures

Figure 1

25 pages, 373 KB  
Review
Rapid Molecular Diagnostics for MDR Nosocomial Infections in ICUs: Integration with Prevention, Stewardship, and Novel Therapies
by Karina Cristina Marin, Stelian Adrian Ritiu, Adelina Băloi, Claudiu Rafael Barsac, Dorel Sandesc, Marius Papurica, Alexandru Florin Rogobete, Daiana Toma, Mirela Tamara Porosnicu, Ciprian Gindac, Madalina Butaș and Ovidiu Horea Bedreag
Diagnostics 2025, 15(23), 3060; https://doi.org/10.3390/diagnostics15233060 - 30 Nov 2025
Cited by 1 | Viewed by 1113
Abstract
Background/Objectives: Multidrug-resistant (MDR) nosocomial infections remain a major challenge in intensive care units (ICUs), where delays in diagnosis and suboptimal antimicrobial therapy significantly impact outcomes. This narrative review synthesizes international literature and local epidemiological data from Western Romania to examine the role [...] Read more.
Background/Objectives: Multidrug-resistant (MDR) nosocomial infections remain a major challenge in intensive care units (ICUs), where delays in diagnosis and suboptimal antimicrobial therapy significantly impact outcomes. This narrative review synthesizes international literature and local epidemiological data from Western Romania to examine the role of rapid molecular diagnostics in the management of MDR infections and their integration with prevention and antimicrobial stewardship (AMS) strategies. Methods: Evidence was collected through a narrative literature review using PubMed, WHO, and ECDC sources published between 2010 and 2025. Key terms included “rapid molecular diagnostics,” “sepsis,” “ICU,” “UNYVERO,” “GeneXpert,” “BioFire,” and “carbapenem resistance.” Studies were selected based on clinical relevance to rapid diagnostics and MDR pathogens; no PRISMA-based systematic methodology was applied. Results: Diagnostic performance varies by platform and clinical syndrome. UNYVERO Hospitalized Pneumonia panel demonstrates a sensitivity range of 88.8–91.4% and specificity of 94.9–99.5% in respiratory infections, with a turnaround time of approximately 4–5 h. The GeneXpert Carba-R assay identifies major carbapenemases within 45–60 min with reported sensitivity 96–100% and specificity of 93–99%. BioFire® Pneumonia and Blood Culture Identification panels similarly provide rapid syndromic results within 1 h, enabling earlier optimization of antimicrobial therapy. Local ICU data from Western Romania identified a substantial burden of carbapenem-resistant Acinetobacter baumannii, underscoring the need for rapid resistance detection to guide therapy. Conclusions: Rapid molecular diagnostics, when integrated with prevention bundles and AMS programs, facilitate earlier targeted therapy, support responsible antimicrobial use, and improve clinical decision-making in MDR infections. Their value is amplified in settings with high resistance prevalence. Wider implementation, combined with surveillance and access to novel antimicrobials, is essential to improve outcomes in critically ill patients. Full article
(This article belongs to the Section Diagnostic Microbiology and Infectious Disease)
14 pages, 845 KB  
Article
Impact of an Evidence-Based Bundle on Catheter-Associated Sepsis Incidence in Neonatal Intensive Care: A Quality Improvement Project
by Anna Sala, Valentina Pivetti, Francesca Castoldi, Francesca Viaroli, Marco Chiera, Gianluca Lista and Francesco Cavigioli
Diseases 2025, 13(12), 386; https://doi.org/10.3390/diseases13120386 - 28 Nov 2025
Viewed by 706
Abstract
Background: Central line-associated bloodstream infections (CLABSIs) in neonatal intensive care units (NICUs) pose a significant risk, especially for very low birth weight infants due to their immature immune systems and the need for invasive procedures. The implementation of evidence-based bundles, as recommended by [...] Read more.
Background: Central line-associated bloodstream infections (CLABSIs) in neonatal intensive care units (NICUs) pose a significant risk, especially for very low birth weight infants due to their immature immune systems and the need for invasive procedures. The implementation of evidence-based bundles, as recommended by international guidelines, has proven effective in significantly reducing CLABSI rates, improving clinical outcomes, and lowering hospital costs. However, evidence from long-term, real-world quality-improvement programs in European NICUs—especially those using repeated PDSA cycles and detailed monitoring across multiple periods—remains limited. Methods: This quality improvement prospective study, conducted in the NICU of “V. Buzzi” Children’s Hospital, aimed to reduce high CLABSI rates using a plan-do-study-act (PDSA) framework. A multidisciplinary team developed and implemented a new evidence-based central line bundle in 2021, focusing on standardized practices, enhanced training, and monitoring. The study analyzed 594 CVCs placed in 348 neonates across a total 4-years period (P1–P12). Results: Implementation of a central line bundle significantly reduced CLABSI rates from 29.1 to 2.2 per 1000 CVC days (p-value 0.002), with notable variations during intermediate periods. Birth weight and study period progression were the only variables significantly associated with CLABSI reduction. Conclusions: Infection rates dropped significantly post-intervention, achieving zero in one of the latest periods: continuous monitoring, staff training, and targeted interventions were pivotal. Future efforts will focus on refining practices, increasing tunneled centrally inserted central catheter (CICC) use, and sustaining prevention measures. Full article
Show Figures

Figure 1

Back to TopTop