Sign in to use this feature.

Years

Between: -

Subjects

remove_circle_outline
remove_circle_outline
remove_circle_outline
remove_circle_outline
remove_circle_outline

Journals

Article Types

Countries / Regions

Search Results (9)

Search Parameters:
Keywords = cab suspension

Order results
Result details
Results per page
Select all
Export citation of selected articles as:
24 pages, 5278 KB  
Article
Research on Optimization and Matching of Cab Suspension Systems for Commercial Vehicles Based on Ride Comfort
by Changcheng Yin, Yiyang Liu, Jiwei Zhang, Hui Yuan, Baohua Wang and Yunfei Zhang
Vehicles 2026, 8(1), 15; https://doi.org/10.3390/vehicles8010015 - 12 Jan 2026
Abstract
Improving the ride comfort of commercial vehicles is crucial for driver health and operational safety. This study focuses on optimizing the parameters of a cab suspension system to improve its vibration isolation performance. Initially, nonlinear fitting was applied to experimental data characterizing air [...] Read more.
Improving the ride comfort of commercial vehicles is crucial for driver health and operational safety. This study focuses on optimizing the parameters of a cab suspension system to improve its vibration isolation performance. Initially, nonlinear fitting was applied to experimental data characterizing air spring stiffness and damping, which informed the development of a multi-body rigid-flexible coupled dynamic model of the suspension system; its dynamic characteristics were subsequently validated through modal analysis. Road excitation data, filtered through the chassis suspension, were collected during vehicle testing, and displacement excitations for ride comfort simulation were reconstructed using virtual iteration technology. Thereafter, an integrated ISIGHT platform, combining ADAMS and MATLAB, was employed to systematically optimize suspension parameters and key bushing stiffness via a multi-island genetic algorithm. The optimization results demonstrated significant performance improvements: on General roads, the overall weighted root-mean-square acceleration was markedly reduced with enhanced isolation efficiency; on Belgian pave roads, resonance in the cab’s X-axis direction was effectively suppressed; and on Cobblestone roads, the pitch angle was successfully constrained within the design limit. This research provides an effective parameter matching methodology for performance optimization of cab suspension systems. Full article
(This article belongs to the Special Issue Tire and Suspension Dynamics for Vehicle Performance Advancement)
Show Figures

Figure 1

20 pages, 13675 KB  
Article
Research on the Use of Hydro-Pneumatic Shock Absorbers for the Rear Suspension of a Vehicle Cabin
by Vasile Gheorghe, Eliza Chircan and Horatiu Teodorescu Draghicescu
Appl. Sci. 2025, 15(14), 7759; https://doi.org/10.3390/app15147759 - 10 Jul 2025
Viewed by 1111
Abstract
This work explores enhancing rear cabin suspension in vehicles using hydro-pneumatic shock absorbers to maintain the cabin position regardless of load and improve safety by mitigating oscillation impacts. Advanced solutions employ pneumatic elastic elements with automatic adjustment, addressing classic suspension disadvantages like variable [...] Read more.
This work explores enhancing rear cabin suspension in vehicles using hydro-pneumatic shock absorbers to maintain the cabin position regardless of load and improve safety by mitigating oscillation impacts. Advanced solutions employ pneumatic elastic elements with automatic adjustment, addressing classic suspension disadvantages like variable cab position and natural frequency with load changes. The experimental analysis of reinforced rubber samples from the air socket material involved tensile testing and scanning electron microscopy. The tensile results showed a clear trend: weak reinforced samples (L, T) were ductile but had a lower strength, while the ones on the reinforcing direction (D_45, D_60) exhibited a significantly increased strength and stiffness, with D_60 being the strongest but least ductile. Stress–strain curves visually confirmed these mechanical behaviors. Crucially, SEM images of fracture surfaces consistently revealed widespread fiber pull out. This indicates that weak interfacial adhesion between the reinforcing fibers and the rubber matrix is a primary limiting factor for the composite′s overall strength. Full article
(This article belongs to the Section Mechanical Engineering)
Show Figures

Figure 1

25 pages, 6663 KB  
Article
Optimization of Dynamic Characteristics of Rubber-Based SMA Composite Dampers Using Multi-Body Dynamics and Response Surface Methodology
by Yizhe Huang, Qiyuan Fan, Huizhen Zhang, Lefei Shao and Yuanyuan Shi
Appl. Sci. 2024, 14(21), 10063; https://doi.org/10.3390/app142110063 - 4 Nov 2024
Cited by 3 | Viewed by 2569
Abstract
The suspension system of a commercial vehicle cab plays a crucial role in enhancing ride comfort by mitigating vibrations. However, conventional rubber suspension systems have relatively fixed stiffness and damping properties, rendering them inflexible to load variations and resulting in suboptimal ride comfort [...] Read more.
The suspension system of a commercial vehicle cab plays a crucial role in enhancing ride comfort by mitigating vibrations. However, conventional rubber suspension systems have relatively fixed stiffness and damping properties, rendering them inflexible to load variations and resulting in suboptimal ride comfort under extreme road conditions. Shape memory alloys (SMAs) represent an innovative class of intelligent materials characterized by superelasticity, shape memory effects, and high damping properties. Recent advancements in materials science and engineering technology have focused on rubber-based SMA composite dampers due to their adjustable stiffness and damping through temperature or strain rate. This paper investigates how various structural parameters affect the stiffness and damping characteristics of sleeve-type rubber-based SMA composite vibration dampers. We developed a six-degree-of-freedom vibration differential equation and an Adams multi-body dynamics model for the rubber-based SMA suspension system in commercial vehicle cabins. We validated the model’s reliability through theoretical analysis and simulation comparisons. To achieve a 45% increase in stiffness and a 64.5% increase in damping, we optimized the suspension system’s z-axis stiffness and damping parameters under different operating conditions. This optimization aimed to minimize the z-axis vibration acceleration at the driver’s seat. We employed response surface methodology to design the composite shock absorber structure and then conducted a comparative analysis of the vibration reduction performance of the optimized front and rear suspension systems. This study provides significant theoretical foundations and practical guidelines for enhancing the performance of commercial vehicle cab suspension systems. Full article
Show Figures

Figure 1

26 pages, 3728 KB  
Article
Experimental Validation of Truck Cab Suspension Model and Ride Comfort Improvement under Various Semi-Active Control Strategies
by Qihao Sun, Changcheng Yin and Baohua Wang
Processes 2024, 12(9), 1880; https://doi.org/10.3390/pr12091880 - 2 Sep 2024
Cited by 3 | Viewed by 2474
Abstract
The semi-active cab suspension system for trucks is gaining increasing importance due to its economic advantages, low energy consumption, and significant enhancement of ride comfort. This paper investigates the effects of three control methods on improving ride comfort of semi-active cab suspension systems [...] Read more.
The semi-active cab suspension system for trucks is gaining increasing importance due to its economic advantages, low energy consumption, and significant enhancement of ride comfort. This paper investigates the effects of three control methods on improving ride comfort of semi-active cab suspension systems under random and bump road conditions: Proportional-Integral-Derivative (PID) control, fuzzy PID control, and Model Predictive Control (MPC). Initially, an accurate multi-degree-of-freedom truck cab suspension model was developed and validated through actual road tests. Based on this model, three control strategies were designed and implemented. Finally, the effectiveness of each control strategy was evaluated under various road conditions, including random and bump road scenarios. The results indicate that these control strategies can effectively reduce vibrations and impacts, significantly improving ride comfort. This improvement is crucial for alleviating driver fatigue and enhancing driving safety. Among them, the MPC control showed superior performance, reducing vibrations by at least 31% under both random and bump road conditions, outperforming PID and Fuzzy PID in terms of effectiveness and robustness. Full article
(This article belongs to the Section Automation Control Systems)
Show Figures

Figure 1

16 pages, 2443 KB  
Article
Analysis of Vibration Characteristics of Tractor–Rotary Cultivator Combination Based on Time Domain and Frequency Domain
by Yuanyuan Gao, Yifei Yang, Shuai Fu, Kangyao Feng, Xing Han, Yongyue Hu, Qingzhen Zhu and Xinhua Wei
Agriculture 2024, 14(7), 1139; https://doi.org/10.3390/agriculture14071139 - 13 Jul 2024
Cited by 32 | Viewed by 4010
Abstract
A good planting bed is a prerequisite for improving planting quality, while complex ground excitation often leads to machine bouncing and operation vibration, which then affects the operation effect. In order to improve the quality of rotary tillage operations, it is necessary to [...] Read more.
A good planting bed is a prerequisite for improving planting quality, while complex ground excitation often leads to machine bouncing and operation vibration, which then affects the operation effect. In order to improve the quality of rotary tillage operations, it is necessary to study the effects of various vibration excitations on the unit during tractor rotary tillage operations and analyze the vibration interaction relationship among the tractor, the three-point suspension mechanism, and the rotary tiller. For this purpose, multiple three-way acceleration sensors were installed at different positions on the rotary tiller unit of a Lexing LS1004 tractor(Lexing Agricultural Equipment Co. Ltd., Qingdao, China) to collect vibration data at different operating speeds and conduct vibration characteristic analysis between different components. The test results showed that when the unit moved forward at 2.1 km/h, 3.6 km/h, and 4.5 km/h, respectively, the vibration acceleration of the tractor, the three-point suspension mechanism, and the rotary tiller increased with the increase in speed, and there was indeed interaction between them. The vertical acceleration change during the test in the three-point suspension mechanism was the most significant (5.914 m/s2) and was related to the increase in the speed of the vehicle and the vibration transfer of the rotary tiller. Meanwhile, the vertical vibration acceleration of the tractor’s symmetrical structure was not similar, suggesting the existence of structural assembly problems. From the perspective of frequency domain analysis, the resonant frequency at the cab of the tractor was reduced in a vertical vibration environment, with relatively low frequencies (0~80 Hz) and small magnitudes, which might be beneficial to the driver’s health. The rotary tillage group resonated around 350 Hz, and this characteristic can be used to appropriately increase the vibration of the rotary tiller to reduce resistance. The tractor cab resonated around 280 Hz, which must be avoided during field operations to ensure driver health and reduce machine wear. The research results can provide a reference for reducing vibration and resistance during tractor rotary tillage operations, as well as optimizing and improving the structure of rotary tillers and tractors. Full article
Show Figures

Figure 1

21 pages, 6033 KB  
Article
Takagi–Sugeno Fuzzy Model-Based Control for Semi-Active Cab Suspension Equipped with an Electromagnetic Damper and an Air Spring
by Bangji Zhang, Minyao Liu, Kunjun Wang, Bohuan Tan, Yuanwang Deng, An Qin and Jingang Liu
Machines 2023, 11(2), 226; https://doi.org/10.3390/machines11020226 - 3 Feb 2023
Cited by 18 | Viewed by 2747
Abstract
Variable damping shock absorbers have received extensive attention for their efficient vibration reduction performance, and air springs have also been widely used in high-end commercial vehicles due to their nonlinear stiffness characteristics. This paper presents a novel semi-active cab suspension integrated with an [...] Read more.
Variable damping shock absorbers have received extensive attention for their efficient vibration reduction performance, and air springs have also been widely used in high-end commercial vehicles due to their nonlinear stiffness characteristics. This paper presents a novel semi-active cab suspension integrated with an air spring and a variable damping electromagnetic damper (A-EMD). The electromagnetic damper (EMD) prototype was designed, manufactured and tested. Then, due to the interference of nonlinear stiffness characteristics of the air spring with the controller in the subsequent design, the Takagi–Sugeno fuzzy method was adopted to segmentally linearize its nonlinearity, based on which an H∞ state feedback semi-active controller was designed to control the EMD to generate variable damping force. Furthermore, a Luenberger state observer was designed to provide immeasurable state parameters for the controller. Numerical simulations were carried out to validate the effectiveness of the proposed approaches, and the results show that the proposed control strategy can significantly improve the ride comfort of the A-EMD system. The vibration dose value (VDV) acceleration under the bump road and the frequency-weighted acceleration root mean square (FWA-RMS) under the random road decreased by 36.05% and 19.77%, respectively, compared with the passive suspension system. Full article
(This article belongs to the Special Issue Low-Frequency Vibration Control with Advanced Technologies)
Show Figures

Figure 1

12 pages, 1517 KB  
Article
Levels of Whole-Body Vibrations Transmitted to the Driver of a Tractor Equipped with Self-Levelling Cab during Soil Primary Tillage
by Daniele Pochi, Laura Fornaciari, Gennaro Vassalini, Renato Grilli and Roberto Fanigliulo
AgriEngineering 2022, 4(3), 695-706; https://doi.org/10.3390/agriengineering4030044 - 1 Aug 2022
Cited by 14 | Viewed by 3887
Abstract
Agricultural tractor drivers’ health preservation and comfort represent important aspects of the evolution of agricultural machinery and led to the development of devices aimed at improving working conditions, such as soundproof cab and driver seat suspension, nowadays commonly adopted in tractors. The vibrations [...] Read more.
Agricultural tractor drivers’ health preservation and comfort represent important aspects of the evolution of agricultural machinery and led to the development of devices aimed at improving working conditions, such as soundproof cab and driver seat suspension, nowadays commonly adopted in tractors. The vibrations are one of the factors mostly affecting health and comfort conditions, resulting from the characteristics and interaction of specific tractor’s parts (tyres, axles, chassis, cab). Trying to improve their products, manufacturers developed a cab prototype equipped with an automatic self-levelling system, whose goal is to maintain the driver’s vertebral column in a correct position during heavy agricultural operations such as primary soil tillage. A tractor with a such a prototype was tested to assess its effectiveness in maintaining the cab horizontal and any effects on the transmitted levels of whole-body vibration, during soil primary tillage carried out by means of a mouldboard plough and a subsoiling plough, both in plain and hilly surfaces. The results showed that the device worked well at a slope lower than the operating limits of the system, keeping the cabin horizontal through progressive adjustments. A slight reduction of the level of vibration was observed with a self-levelling system working during the tillage tests in the plain, compared to the traditional condition. Full article
Show Figures

Figure 1

20 pages, 6479 KB  
Article
Theoretical Modeling and Vibration Isolation Performance Analysis of a Seat Suspension System Based on a Negative Stiffness Structure
by Xin Liao, Ning Zhang, Xiaofei Du and Wanjie Zhang
Appl. Sci. 2021, 11(15), 6928; https://doi.org/10.3390/app11156928 - 28 Jul 2021
Cited by 13 | Viewed by 3817
Abstract
In this study, to improve the vibration isolation performance of a cab seat and the ride comfort of the driver, we propose a mathematical model for a seat suspension system of a construction machinery cab based on a negative stiffness structure (NSS). First, [...] Read more.
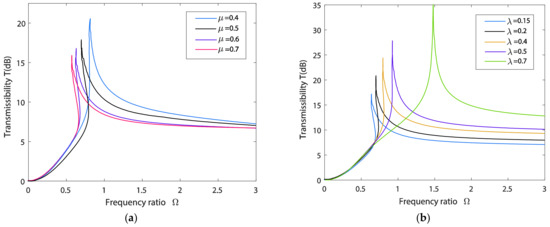
In this study, to improve the vibration isolation performance of a cab seat and the ride comfort of the driver, we propose a mathematical model for a seat suspension system of a construction machinery cab based on a negative stiffness structure (NSS). First, a static analysis of a seat suspension system is conducted and the different parameters and their influences on the dynamic stiffness are discussed. Thereby, the ideal configuration parameter range of the suspension system is obtained. Moreover, the nonlinear dynamic model of the designed seat suspension system is established. The frequency response and the stability are analyzed by using the HBM method and numerical simulation. The vibration transmissibility characteristics and vibration suppression effects of the seat suspension system are presented in detail. The results show that, as compared with a quasi-zero-stiffness system, the QZS-IE system has higher vibration suppression advantages under large excitation and small damping, as well as lower transmissibility and a wider vibration isolation frequency range. In addition, an inerter element with a larger mass ratio and relatively shorter distance ratio is better for vibration isolation performance of the QZS-IE system in a practical engineering application. The results of this study provide a scientific basis for the design and improvement of a seat suspension system. Full article
(This article belongs to the Section Acoustics and Vibrations)
Show Figures

Figure 1

18 pages, 2086 KB  
Article
The Influence of Tractor-Seat Height above the Ground on Lateral Vibrations
by Jaime Gomez-Gil, Francisco Javier Gomez-Gil and Rebeca Martin-de-Leon
Sensors 2014, 14(10), 19713-19730; https://doi.org/10.3390/s141019713 - 22 Oct 2014
Cited by 17 | Viewed by 8244
Abstract
Farmers experience whole-body vibrations when they drive tractors. Among the various factors that influence the vibrations to which the driver is exposed are terrain roughness, tractor speed, tire type and pressure, rear axle width, and tractor seat height above the ground. In this [...] Read more.
Farmers experience whole-body vibrations when they drive tractors. Among the various factors that influence the vibrations to which the driver is exposed are terrain roughness, tractor speed, tire type and pressure, rear axle width, and tractor seat height above the ground. In this paper the influence of tractor seat height above the ground on the lateral vibrations to which the tractor driver is exposed is studied by means of a geometrical and an experimental analysis. Both analyses show that: (i) lateral vibrations experienced by a tractor driver increase linearly with tractor-seat height above the ground; (ii) lateral vibrations to which the tractor driver is exposed can equal or exceed vertical vibrations; (iii) in medium-size tractors, a feasible 30 cm reduction in the height of the tractor seat, which represents only 15% of its current height, will reduce the lateral vibrations by around 20%; and (iv) vertical vibrations are scarcely influenced by tractor-seat height above the ground. The results suggest that manufacturers could increase the comfort of tractors by lowering tractor-seat height above the ground, which will reduce lateral vibrations. Full article
(This article belongs to the Special Issue Agriculture and Forestry: Sensors, Technologies and Procedures)
Show Figures

Back to TopTop