Sign in to use this feature.

Years

Between: -

Subjects

remove_circle_outline
remove_circle_outline
remove_circle_outline
remove_circle_outline
remove_circle_outline
remove_circle_outline
remove_circle_outline

Journals

Article Types

Countries / Regions

Search Results (6)

Search Parameters:
Keywords = body freedom flutter

Order results
Result details
Results per page
Select all
Export citation of selected articles as:
14 pages, 1753 KB  
Article
Long-Term Outcomes after Convergent Procedure for Atrial Fibrillation
by Borut Geršak, Veronika Podlogar, Tine Prolič Kalinšek and Matevž Jan
J. Clin. Med. 2024, 13(18), 5508; https://doi.org/10.3390/jcm13185508 - 18 Sep 2024
Cited by 2 | Viewed by 2813
Abstract
Background: The aim of this single-center retrospective study was to evaluate the long-term outcomes after the convergent procedure (CP) for treatment of AF. Methods: We analyzed the outcomes of patients that underwent CP from January 2009 until July 2020. A total [...] Read more.
Background: The aim of this single-center retrospective study was to evaluate the long-term outcomes after the convergent procedure (CP) for treatment of AF. Methods: We analyzed the outcomes of patients that underwent CP from January 2009 until July 2020. A total of 119 patients with paroxysmal AF (23.5%), persistent AF (5.9%), or long-standing persistent AF (70.6%) that attended long-term follow-up were included. The outcomes were assessed 1 year after the CP and at long-term follow-up. At the 1-year follow-up, rhythm and AF burden were assessed for patients with an implantable loop recorder (61.2%). For others, rhythm was assessed by clinical presentation and 12-lead ECG. At long-term follow-up, patients with sinus rhythm (SR) or an unclear history were assessed with a 7-day Holter ECG monitor, and AF burden was determined. Long-term success was defined as freedom from AF/atrial flutter (AFL) with SR on a 12-lead ECG and AF/AFL burden < 1% on the 7-day Holter ECG. Results: At 1-year follow-up, 91.4% of patients had SR and 76.1% of patients had AF/AFL burden < 1%. At long-term follow-up (8.3 ± 2.8 years), 65.5% of patients had SR and 53.8% of patients had AF/AFL burden < 1% on the 7-day Holter ECG. Additional RFAs were performed in 32.8% of patients who had AF or AFL burden < 1%. At long-term follow-up, age, body mass index, and left atrial volume index were associated with an increased risk of AF recurrence. Conclusions: CP resulted in high long-term probability of SR maintenance. During long-term follow-up, additional RFAs were required to maintain SR in a substantial number of patients. Full article
(This article belongs to the Special Issue Clinical Perspectives on Cardiac Electrophysiology and Arrhythmias)
Show Figures

Graphical abstract

18 pages, 5167 KB  
Article
Experimental Research of Symmetrical Airfoil Piezoelectric Energy Harvester Excited by Vortex-Induced Flutter Coupling
by Xia Li, Xiaoxiao Wang, Haigang Tian, Chengming Wang and Benxue Liu
Appl. Sci. 2022, 12(24), 12514; https://doi.org/10.3390/app122412514 - 7 Dec 2022
Cited by 8 | Viewed by 2405
Abstract
In order to solve the problem of self-energy supply of vehicle-mounted micro-sensors, bridge detection and some other low-power electronic devices in their working state, a vortex-induced flutter composite nonlinear piezoelectric energy harvester (VFPEH) with symmetrical airfoils on both sides of a cylindrical bluff [...] Read more.
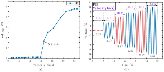
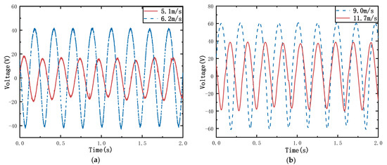
In order to solve the problem of self-energy supply of vehicle-mounted micro-sensors, bridge detection and some other low-power electronic devices in their working state, a vortex-induced flutter composite nonlinear piezoelectric energy harvester (VFPEH) with symmetrical airfoils on both sides of a cylindrical bluff body is designed. The VFPEH consists of a cantilever beam, a cylindrical bluff body connected to the free end of the cantilever beam, and two airfoil components symmetrically fixed at both ends of the shaft, which enables coupling between vortex-induced vibration and flutter. The airfoil symmetrically arranged on both sides of the cylindrical bluff body induces the cantilever beam to produce bending and torsional composite vibrations at high wind velocities, realizing energy harvest in the two degrees of freedom motion direction, which can effectively improve the output power of the energy harvester. Based on a wind tunnel experimental platform, the effect of key parameters matching impedance and the diameter of the cylindrical bluff body on the output performance of the VFPEH is investigated, together with the output performance of the classical vortex-induced energy harvester (VEH), the flutter energy harvester (FEH) and the VFPEH. The experimental results show that for the VFPEH under a combination of vortex-induced vibrations and flutter vibrations has a better output performance than the VEH and the FEH when using the same size. The coupling of vortex-induced vibration and flutter can reduce the start-up wind velocity of the VFPEH and expand the wind velocity range of the high output power of the VFPEH. The VFPEH has a better output performance at the cylindrical bluff body diameter of 30 mm and a load resistance of 140 kΩ. When the wind velocity range is 2 m/s–15 m/s, the maximum output power of the VFPEH is 6.47 mW, which is 129.4 times and 24.9 times of the maximum output power of the VEH (0.05 mW) and FEH (0.26 mW), respectively. Full article
Show Figures

Figure 1

18 pages, 5908 KB  
Article
Linear and Nonlinear Reduced Order Models for Sloshing for Aeroelastic Stability and Response Predictions
by Marco Pizzoli, Francesco Saltari and Franco Mastroddi
Appl. Sci. 2022, 12(17), 8762; https://doi.org/10.3390/app12178762 - 31 Aug 2022
Cited by 3 | Viewed by 2539
Abstract
This paper makes use of sloshing reduced-order models to investigate the effects of sloshing dynamics on aeroelastic stability and response of flying wing structure. More specifically, a linear frequency-domain operator derived by an equivalent mechanical model is used to model lateral (linear) sloshing [...] Read more.
This paper makes use of sloshing reduced-order models to investigate the effects of sloshing dynamics on aeroelastic stability and response of flying wing structure. More specifically, a linear frequency-domain operator derived by an equivalent mechanical model is used to model lateral (linear) sloshing dynamics whereas data-driven neural-networks are used to model the vertical (nonlinear) sloshing dynamics. These models are integrated into a formulation that accounts for both the rigid and flexible behavior of aircraft. A time domain representation of the unsteady aerodynamics is achieved by rational function approximation of the fully unsteady aerodynamics obtained via the doublet lattice method. The case study consists of the so called Body Freedom Flutter research model in two different configurations with one or two tanks partially filled with liquid with a mass comprising 25% of the aircraft structure. The results show that linear sloshing dynamics are able to change the stability margin of the aircraft in addition to having non-negligible effects on rigid body dynamics. On the other hand, vertical sloshing acts as a nonlinear damper and eventually provides limit cycle oscillations after flutter onset. Full article
(This article belongs to the Special Issue Liquid Slosh Damping: Experimental and Numerical Developments)
Show Figures

Figure 1

18 pages, 11921 KB  
Article
The Development of a Flight Test Platform to Study the Body Freedom Flutter of BWB Flying Wings
by Pengtao Shi, Feng Liu, Yingsong Gu and Zhichun Yang
Aerospace 2021, 8(12), 390; https://doi.org/10.3390/aerospace8120390 - 10 Dec 2021
Cited by 9 | Viewed by 4430
Abstract
A flight test platform is designed to conduct an experimental study on the body freedom flutter of a BWB flying wing, and a flight test is performed by using the proposed platform. A finite element model of structural dynamics is built, and unsteady [...] Read more.
A flight test platform is designed to conduct an experimental study on the body freedom flutter of a BWB flying wing, and a flight test is performed by using the proposed platform. A finite element model of structural dynamics is built, and unsteady aerodynamics and aeroelastic characteristics of the flying wing are analyzed by the doublet lattice method and g-method, respectively. Based on the foregoing analyses, a low-cost and low-risk flying-wing test platform is designed and manufactured. Then, the ground vibration test is implemented, and according to its results, the structural dynamics model is updated. The flight test campaign shows that the body freedom flutter occurs at low flight speed, which is consistent with the updated analytical result. Finally, an active flutter suppression controller is designed using a genetic algorithm for the developed flying wing for future tests, considering the gains and sensor location as design parameters. The open- and closed-loop analyses in time- and frequency-domain analyses demonstrate that the designed controller can improve the instability boundary of the closed-loop system effectively. Full article
(This article belongs to the Special Issue Flutter Phenomena – Modeling, Identification and Control)
Show Figures

Figure 1

15 pages, 5772 KB  
Article
Verification of a Body Freedom Flutter Numerical Simulation Method Based on Main Influence Parameters
by Pengxuan Lei, Hongtao Guo, Binbin LYu, Dehua Chen and Li Yu
Machines 2021, 9(10), 243; https://doi.org/10.3390/machines9100243 - 18 Oct 2021
Cited by 6 | Viewed by 3261
Abstract
The body freedom flutter characteristics of an airfoil and a fly wing aircraft model were calculated based on a CFD method for the Navier–Stokes equations. Firstly, a rigid elastic coupling dynamic model of a two-dimensional airfoil with a free–free boundary condition was derived [...] Read more.
The body freedom flutter characteristics of an airfoil and a fly wing aircraft model were calculated based on a CFD method for the Navier–Stokes equations. Firstly, a rigid elastic coupling dynamic model of a two-dimensional airfoil with a free–free boundary condition was derived in an inertial frame and decoupled by rigid body mode and elastic mode. In the fluid–solid coupling method, the rigid body was trimmed by subtracting the generalized steady aerodynamic force from the structural dynamic equation. The flutter characteristics were predicted by the variable stiffness method at a fixed Mach number and flight altitude. Finally, validation of the predicted body freedom flutter characteristics was performed through a comparison of theoretical solutions based on a Theodorsen unsteady aerodynamic model for airfoil and experimental results for a fly wing aircraft model. The mechanism of the influence of the bending mode stiffness and the position of the center of gravity on the body freedom flutter characteristics were briefly analyzed. Full article
(This article belongs to the Special Issue Dynamic Stability Analysis of Aerospace Structures)
Show Figures

Figure 1

16 pages, 4824 KB  
Article
Full-Span Flying Wing Wind Tunnel Test: A Body Freedom Flutter Study
by Pengtao Shi, Jihai Liu, Yingsong Gu, Zhichun Yang and Pier Marzocca
Fluids 2020, 5(1), 34; https://doi.org/10.3390/fluids5010034 - 16 Mar 2020
Cited by 17 | Viewed by 5624
Abstract
Aiming at the experimental test of the body freedom flutter for modern high aspect ratio flexible flying wing, this paper conducts a body freedom flutter wind tunnel test on a full-span flying wing flutter model. The research content is summarized as follows: (1) [...] Read more.
Aiming at the experimental test of the body freedom flutter for modern high aspect ratio flexible flying wing, this paper conducts a body freedom flutter wind tunnel test on a full-span flying wing flutter model. The research content is summarized as follows: (1) The full-span finite element model and aeroelastic model of an unmanned aerial vehicle for body freedom flutter wind tunnel test are established, and the structural dynamics and flutter characteristics of this vehicle are obtained through theoretical analysis. (2) Based on the preliminary theoretical analysis results, the design and manufacturing of this vehicle are completed, and the structural dynamic characteristics of the vehicle are identified through ground vibration test. Finally, the theoretical analysis model is updated and the corresponding flutter characteristics are obtained. (3) A novel quasi-free flying suspension system capable of releasing pitch, plunge and yaw degrees of freedom is designed and implemented in the wind tunnel flutter test. The influence of the nose mass balance on the flutter results is explored. The study shows that: (1) The test vehicle can exhibit body freedom flutter at low airspeeds, and the obtained flutter speed and damping characteristics are favorable for conducting the body freedom flutter wind tunnel test. (2) The designed suspension system can effectively release the degrees of freedom of pitch, plunge, and yaw. The flutter speed measured in the wind tunnel test is 9.72 m/s, and the flutter frequency is 2.18 Hz, which agree well with the theoretical results (with flutter speed of 9.49 m/s and flutter frequency of 2.03 Hz). (3) With the increasing of the mass balance at the nose, critical speed of body freedom flutter rises up and the flutter frequency gradually decreases, which also agree well with corresponding theoretical results. Full article
(This article belongs to the Special Issue Flow and Aeroelastic Control)
Show Figures

Figure 1

Back to TopTop