Sign in to use this feature.

Years

Between: -

Subjects

remove_circle_outline
remove_circle_outline
remove_circle_outline
remove_circle_outline
remove_circle_outline
remove_circle_outline
remove_circle_outline
remove_circle_outline
remove_circle_outline

Journals

Article Types

Countries / Regions

Search Results (133)

Search Parameters:
Keywords = bionanoconjugates

Order results
Result details
Results per page
Select all
Export citation of selected articles as:
17 pages, 2657 KB  
Article
Polyethyleneimine-Directed In Situ Gold Deposition on Gallium Nitride Nanoparticles for Enhanced Electrochemical Detection of Erythromycin
by Oana Elena Carp, Denisse-Iulia Bostiog, Elena Laura Ursu, Rares-Georgian Mocanu, Narcisa Laura Marangoci, Ion Tiginyanu and Alexandru Rotaru
Int. J. Mol. Sci. 2026, 27(6), 2728; https://doi.org/10.3390/ijms27062728 - 17 Mar 2026
Viewed by 237
Abstract
Hybrid nanomaterials that integrate surface functionality, colloidal stability, and efficient electron-transfer pathways are highly attractive for improving electrochemical sensing performance. Herein, we report the fabrication and evaluation of polyethyleneimine-functionalized gallium nitride nanoparticles (GaN) decorated with gold nanoparticles (GaN-PEI-Au) as a tunable electrode modifier [...] Read more.
Hybrid nanomaterials that integrate surface functionality, colloidal stability, and efficient electron-transfer pathways are highly attractive for improving electrochemical sensing performance. Herein, we report the fabrication and evaluation of polyethyleneimine-functionalized gallium nitride nanoparticles (GaN) decorated with gold nanoparticles (GaN-PEI-Au) as a tunable electrode modifier for enhanced differential pulse voltammetry (DPV) detection of erythromycin. Branched polyethyleneimine was employed as a multifunctional interfacial layer to stabilize GaN dispersions, introduce amine-rich surface chemistry, and enable in situ gold nanoparticle formation at the GaN-PEI. The optimized GaN-PEI-Au material exhibited high colloidal stability, a characteristic Au localized surface plasmon resonance in the ~520–525 nm range, and well-defined Au nanoparticles attached to the GaN surface. When applied as an electrode coating, GaN-PEI-Au significantly enhanced the erythromycin oxidation response compared to bare Au and GaN-PEI interfaces, consistent with synergistic increases in electroactive surface area and interfacial charge-transfer efficiency. Under optimized DPV conditions, GaN-PEI-Au-modified electrodes enabled quantitative erythromycin determination with a linear range of 5 nM–2 µM (R2 = 0.990), sensitivity of 1.32 × 10−3 µA nM−1, and a limit of detection of 52.5 nM, while maintaining stable baseline behavior during repeated scans. The reported GaN-PEI-Au nanocomposites represent a robust platform for sensitive electrochemical detection of pharmaceutical compounds. Full article
Show Figures

Figure 1

16 pages, 1428 KB  
Article
Differential Expression of Fibrosis-Related Genes in Intrauterine Adhesions and Cesarean Scar Defects: A Cohort Study
by Loredana Maria Toma, Natalia Simionescu, Raluca Balan, Demetra Socolov, Ioana-Sadiye Scripcariu, Florin Zugun-Eloae, Mihaela Tirnovanu, Daniela Viorelia Matei and Razvan Socolov
J. Clin. Med. 2026, 15(5), 2021; https://doi.org/10.3390/jcm15052021 - 6 Mar 2026
Viewed by 253
Abstract
Objectives: This study aimed to characterize the expression patterns and interrelationship of key fibrosis-related markers—TGF-β1, SMAD2, SMAD3, and fibronectin—in human endometrial tissue, and to explore their potential diagnostic relevance in differentiating intrauterine adhesions (IUAs) from cesarean scar defects [...] Read more.
Objectives: This study aimed to characterize the expression patterns and interrelationship of key fibrosis-related markers—TGF-β1, SMAD2, SMAD3, and fibronectin—in human endometrial tissue, and to explore their potential diagnostic relevance in differentiating intrauterine adhesions (IUAs) from cesarean scar defects (isthmocele), with a particular focus on underlying fibrotic remodeling processes. Methods: Endometrial samples were obtained from women diagnosed with IUAs, isthmocele, or without uterine pathology. Total RNA was extracted from all specimens, and gene expression levels were quantified using real-time quantitative polymerase chain reaction (PCR). Statistical analyses included intergroup comparisons, parametric and non-parametric correlation analysis, multivariable linear and logistic regression models, and receiver operating characteristic (ROC) curve analysis to explore the discriminatory potential of the evaluated markers. Results: Significant positive correlations were observed across the study population between SMAD2 and SMAD3 (r = 0.892; p = 0.001), SMAD2 and TGF-β1 (r = 0.697; p = 0.001), and SMAD3 and TGF-β1 (r = 0.910; p = 0.001), indicating coordinated activation of profibrotic signaling pathways. ROC curve analysis showed high discriminatory performance for isthmocele across all evaluated markers, with area under the curve (AUC) values of 0.976 for SMAD3, 0.961 for TGF-β1, 0.913 for fibronectin, and 0.928 for SMAD2 (all p = 0.001). In contrast, although elevated expression levels of fibrotic markers were observed across different American Fertility Society (AFS) stages in IUAs, these differences did not reach statistical significance. Conclusions: This study provides molecular evidence distinguishing isthmocele from IUAs with respect to fibrosis-related signaling in human endometrial tissue. The markedly elevated and coordinated expression of TGF-β1, SMAD2, SMAD3, and fibronectin in isthmocele reflects activation of post-cesarean fibrotic remodeling pathways. However, given the limited sample size and the exploratory nature of the analyses, larger cohorts and future studies are required to validate these findings and to allow extrapolation of the results to the general population. At this stage, these biomarkers should therefore be regarded as indicators of underlying pathophysiological processes. Full article
(This article belongs to the Section Obstetrics & Gynecology)
Show Figures

Figure 1

21 pages, 3586 KB  
Article
Electrospun Chitosan–Poly(vinyl alcohol) Nanofibers Functionalized with Natural Bioactive Compounds: Design, Physicochemical Characterization and Release Profiles
by Teodora Iurascu, Andreea-Teodora Iacob, Cristina Mariana Uritu, Narcisa Laura Marangoci, Adina Coroaba, Ana Maria Trofin, Bianca-Stefania Profire, Mihaela Baican, Alexandru Sava, Tudor Pinteala and Lenuta Profire
Polymers 2026, 18(5), 574; https://doi.org/10.3390/polym18050574 - 27 Feb 2026
Viewed by 331
Abstract
This study reports the development and characterization of chitosan–poly(vinyl alcohol) (CH/PVA) nanofibers (NFs), functionalized with bioactive compounds (ACs) relevant for wound healing and tissue regeneration. CH/PVA NFs loaded with L-arginine (ARG), allantoin (ALA), royal jelly (RJ) and curcumin (CUR), either as single or [...] Read more.
This study reports the development and characterization of chitosan–poly(vinyl alcohol) (CH/PVA) nanofibers (NFs), functionalized with bioactive compounds (ACs) relevant for wound healing and tissue regeneration. CH/PVA NFs loaded with L-arginine (ARG), allantoin (ALA), royal jelly (RJ) and curcumin (CUR), either as single or co-loaded systems, were prepared by electrospinning. The polymer solutions were characterized in terms of key physicochemical properties relevant to electrospinning. The CH/PVA@ACs NFs were characterized morphologically and structurally through scanning electron microscopy (SEM) and Fourier transform infrared spectroscopy (FTIR). Additionally, surface-related, physical, and functional properties such as wettability, swelling behavior, and in vitro release profiles were examined. The NFs were successfully produced in a uniform and continuous manner, with the fiber diameter and morphology being influenced by the type of ACs. FTIR analysis validated the characteristic functional groups linked to both the polymeric matrix and ACs. The nanofibrous systems demonstrated a high swelling capacity and a release behavior that is dependent on pH. Analyses of surface free energy and wettability revealed favorable interfacial interactions between solid and liquid, indicating compatibility with aqueous biological environments. In summary, the developed CH/PVA@ACs NFs exhibited appropriate morphological, structural, surface, and functional properties, underscoring their potential as effective materials for wound dressings. Full article
(This article belongs to the Collection Electrospun Nanofibers)
Show Figures

Figure 1

30 pages, 16901 KB  
Article
Analytical Protocol for the Scientific Investigation of Black Crusts on the Exterior Finish of the West Enclosure Wall of Golia Monastery (Iași, Romania): A Case Study on Urban Pollution Impact
by Vasile Pelin, Viorica Vasilache, Silvia Garofalide, Ioan-Andrei Dascalu, Ovidiu Chiscan, Bobi Apavaloaei, Silviu Gurlui and Ion Sandu
Appl. Sci. 2026, 16(4), 2080; https://doi.org/10.3390/app16042080 - 20 Feb 2026
Viewed by 311
Abstract
Black crusts are multilayered alteration products that develop on historic masonry exposed to urban pollution. This study investigates the west enclosure wall of the XVIIth-century Golia Monastery in Iași, Romania—located along a busy traffic corridor—and presents multi-analytical results on two lime-based [...] Read more.
Black crusts are multilayered alteration products that develop on historic masonry exposed to urban pollution. This study investigates the west enclosure wall of the XVIIth-century Golia Monastery in Iași, Romania—located along a busy traffic corridor—and presents multi-analytical results on two lime-based mortar fragments exhibiting well-developed blackened surface layers. Both the exposed (blackened) finishes and protected verso areas were analyzed using portable X-ray fluorescence (pXRF), scanning electron microscopy with energy-dispersive X-ray analysis (SEM–EDX), micro-FTIR spectroscopy, X-ray diffraction (XRD), CIE Lab colorimetry and optical microscopy (OM). The data reveal gypsum-rich surface layers enriched in traffic-derived particles, including metal oxides and soot, with marked contrasts relative to the minimally altered verso. Handheld XRF and SEM–EDX indicate elevated sulfur and associated traffic-related elements within porous gypsum matrices, while FTIR and XRD consistently identify calcium sulfate as the dominant secondary phase. Colorimetric measurements additionally document pronounced lightness loss and visible darkening on exposed surfaces. These results demonstrate the onset of directional sulfation and black crust formation on mortars under urban pollution pressure and establish an integrated analytical protocol for diagnosing black crusts on historic lime mortars in urban heritage settings. Full article
(This article belongs to the Section Materials Science and Engineering)
Show Figures

Figure 1

31 pages, 4097 KB  
Article
Chitosan-Coated Niosomal Nanocarriers for the Co-Delivery of Glibenclamide and Curcumin in Diabetes Mellitus
by Andra Ababei-Bobu, Alexandru Sava, Florentina Geanina Lupascu, Oana-Maria Chirliu, Bianca-Stefania Profire, Ioana-Andreea Turin-Moleavin, Cristian-Dragos Varganici, Ioan-Andrei Dascalu, Tudor Pinteala and Lenuta Profire
Polymers 2026, 18(4), 466; https://doi.org/10.3390/polym18040466 - 12 Feb 2026
Viewed by 516
Abstract
Glibenclamide (Gli), widely used in the management of type 2 diabetes mellitus (T2DM), shows low oral bioavailability, while curcumin (Cur) is limited by poor aqueous solubility and instability. This study reports the development of a niosomal co-delivery system combining hypoglycemic and antioxidant agents [...] Read more.
Glibenclamide (Gli), widely used in the management of type 2 diabetes mellitus (T2DM), shows low oral bioavailability, while curcumin (Cur) is limited by poor aqueous solubility and instability. This study reports the development of a niosomal co-delivery system combining hypoglycemic and antioxidant agents to improve formulation performance for T2DM. Gli and Cur were co-encapsulated into niosomal vesicles (NIOs) using the thin-film hydration method, followed by surface coating with chitosan (CS). The formulations were characterized by dynamic light scattering, scanning transmission electron microscopy, X-ray diffraction, and Fourier-transform infrared spectroscopy, complemented by in vitro release studies under simulated gastrointestinal conditions. The prepared NIOs exhibited particle sizes between 413.5 and 576.9 nm, with encapsulation efficiency strongly dependent on formulation composition. The optimized system showed high encapsulation efficiency for both Gli (98.95 ± 0.87%) and Cur (91.09 ± 2.00%). In vitro release studies demonstrated enhanced release compared with the physical mixture, providing gastric protection and sustained intestinal delivery. Release kinetics indicated controlled drug release governed by diffusion- and erosion-based mechanisms. Both uncoated and CS-coated NIOs displayed good physical and osmotic stability, with CS coating further reducing drug leakage. These results highlight the potential of niosomal systems for efficient Gli and Cur administration in T2DM. Full article
(This article belongs to the Topic Recent Advances in Composite Biomaterials)
Show Figures

Figure 1

33 pages, 2777 KB  
Review
Carbon Dots Meet MRI: Metal Doping for a Smart Contrast Agent Design
by Oana Elena Carp, Cristina Mariana Uritu, Adina Coroaba, Silviu-Iulian Filipiuc, Conchi O. Ania, Narcisa Laura Marangoci and Mariana Pinteala
Int. J. Mol. Sci. 2026, 27(3), 1436; https://doi.org/10.3390/ijms27031436 - 31 Jan 2026
Viewed by 626
Abstract
In clinical and preclinical magnetic resonance imaging (MRI), image quality is often limited by intrinsic tissue contrast, so paramagnetic agents are used to amplify relaxation differences and improve lesion detectability. Widely used gadolinium-based contrast agents present recognized drawbacks, stimulating interest in nanoscale platforms [...] Read more.
In clinical and preclinical magnetic resonance imaging (MRI), image quality is often limited by intrinsic tissue contrast, so paramagnetic agents are used to amplify relaxation differences and improve lesion detectability. Widely used gadolinium-based contrast agents present recognized drawbacks, stimulating interest in nanoscale platforms with tuneable magnetic and biological properties. This review provides a critical analysis on the use of metal-doped carbon nanodots (C-dots) as MRI contrast candidates. We briefly revisit MRI signal formation, spin–lattice (T1) and spin–spin (T2) relaxation, and relaxometric parameters r1 and r2 and outline how pulse-sequence choice favours T1- or T2-dominant agents. We compare approved small-molecule agents with nanostructured systems, highlighting unmet needs in safety, field-strength dependence, multimodality, and organ-specific imaging. A central focus is how nano- and molecular architectures of metal-doped carbon dots govern r1 and r2: the metal species and oxidation state, its location within the carbon matrix, surface chemistry and hydration, and the accessibility for proton and water exchange can shift performance toward T1 or T2. Engineered C-dots with controlled composition and metal dopants have proven to pair improved relaxivity with fluorescence, targeting ligands, or therapeutic payloads. Overall, metal-doped C-dots represent a flexible and potentially safer alternative to classical contrast agents; however, successful clinical translation and market uptake will still require standardized relaxometry at clinical field strengths, scalable and reproducible synthesis, and comprehensive in vivo safety and efficacy validation. Full article
Show Figures

Figure 1

30 pages, 9345 KB  
Article
Naringin and Naringenin Functionalized Silver Nanoparticles: Synthesis, Characterization and Biological Evaluation
by Ozana-Andreea Măriuț, Cornelia Mircea, Bianca Ivănescu, Irina Macovei, Adrian Fifere, Irina Roșca, Ioana-Andreea Turin-Moleavin, Ana Flavia Burlec, Monica Hăncianu and Andreia Corciovă
Pharmaceutics 2025, 17(12), 1569; https://doi.org/10.3390/pharmaceutics17121569 - 5 Dec 2025
Viewed by 779
Abstract
Background/Objectives: Flavonoids have been extensively investigated as reducing and stabilizing agents in the green synthesis of metallic nanoparticles. However, studies specifically employing pure naringin (NG) and naringenin (NGN) remain relatively scarce. Methods: In the present work, silver nanoparticles (AgNPs) were synthesized [...] Read more.
Background/Objectives: Flavonoids have been extensively investigated as reducing and stabilizing agents in the green synthesis of metallic nanoparticles. However, studies specifically employing pure naringin (NG) and naringenin (NGN) remain relatively scarce. Methods: In the present work, silver nanoparticles (AgNPs) were synthesized under controlled laboratory conditions using NG and NGN as bioreductants, and critical parameters governing nanoparticle formation were optimized. The synthesized AgNPs were comprehensively characterized using ultraviolet–visible (UV–Vis) spectroscopy, dynamic light scattering (DLS), scanning transmission electron microscopy (STEM), energy-dispersive X-ray spectroscopy (EDX), and Fourier-transform infrared spectroscopy (FTIR). Results: The characterization analyses confirmed the successful formation of predominantly spherical AgNPs with average particle sizes of 17 nm (AgNG) and 20.4 nm (AgNGN). DLS analysis indicated zeta potentials of approximately −30 mV and PDIs of 0.45 (AgNG) and 0.29 (AgNGN), consistent with stable colloidal dispersions. Biological evaluations revealed that both AgNP systems exhibited notable antioxidant and antimicrobial activities. Furthermore, cytogenetic assessment using the Allium cepa assay demonstrated concentration-dependent alterations in mitotic index and chromosomal integrity, indicating biological activity at cellular level. Conclusions: Collectively, these results underscore the potential of flavonoid-mediated synthesis as an eco-friendly and effective approach for generating stable, bioactive nanomaterials with promising biological applications. Full article
Show Figures

Figure 1

24 pages, 7439 KB  
Article
Trastuzumab-Conjugated pH-Sensitive Micelles Exhibit Antitumor Activity and Induce Mesenchymal-to-Epithelial Transition in Triple-Negative Breast Cancer Cell Lines
by Crina Elena Tiron, Gabriel Luta, Razvan Ghiarasim, Adrian Tiron, Valentin Nastasa, Dragos Constantin Anita, Tore Geir Iversen, Tore Skotland, Kirsten Sandvig, Mihai Mares and Mihail-Gabriel Dimofte
Pharmaceutics 2025, 17(12), 1554; https://doi.org/10.3390/pharmaceutics17121554 - 2 Dec 2025
Viewed by 812
Abstract
Background: Despite improved knowledge on cancer prevention, progression, and treatment, the incidence of cancer is still increasing. Patients with highly aggressive triple-negative breast cancer benefit from chemotherapy as the only systemic therapeutic alternative. Here, we performed studies that demonstrate the effects of trastuzumab [...] Read more.
Background: Despite improved knowledge on cancer prevention, progression, and treatment, the incidence of cancer is still increasing. Patients with highly aggressive triple-negative breast cancer benefit from chemotherapy as the only systemic therapeutic alternative. Here, we performed studies that demonstrate the effects of trastuzumab linked to nanostructures with pH-dependent release on triple-negative models. Methods: We assessed in vitro cell proliferation, migration, invasion, mammospheres, spheroids, and organoid formation of human and murine cell lines. Balb/c mice were used to investigate the in vivo anti-tumoral effects of functionalized nanostructures. Ex vivo samples and cell lines were used to investigate, using immunohistochemistry and Western blot, the modulation of key molecular pathways. Results: Using a human normal cell line and human and murine triple-negative breast cancer cell lines, we found that trastuzumab exhibits anti-tumoral properties on triple-negative breast cancer cell lines only when linked to pH-sensitive micelles. In addition, the data demonstrates that functionalized micelles induce mesenchymal-to-epithelial transitions, impairing the metastasis. Conclusions: Taken together, these results indicate that functionalization of micelles by linking trastuzumab may open the way of treating triple-negative patients with trastuzumab, a treatment which is currently in use for patients with Her2 overexpression. The functionalized micelles may be loaded with various molecules to further improve the anti-tumoral effects. Full article
Show Figures

Graphical abstract

19 pages, 2948 KB  
Article
Reinvestigating Pyrrol-2-One-Based Compounds: From Antimicrobial Agents to Promising Antitumor Candidates
by Natalia Simionescu, Ashraf Al-Matarneh, Ionel I. Mangalagiu, Narcis Cibotariu, Cristina Mariana Uritu, Cristina Maria Al-Matarneh and Mariana Pinteala
Pharmaceuticals 2025, 18(12), 1813; https://doi.org/10.3390/ph18121813 - 27 Nov 2025
Viewed by 609
Abstract
Background: Heteroaromatic iodine-containing compounds have been previously recognized for their broad-spectrum antimicrobial activity. This study aims to systematically investigate their potential repurposing as anticancer agents, with a particular focus on understanding the structural determinants that influence their cytotoxicity and selectivity toward malignant cells. [...] Read more.
Background: Heteroaromatic iodine-containing compounds have been previously recognized for their broad-spectrum antimicrobial activity. This study aims to systematically investigate their potential repurposing as anticancer agents, with a particular focus on understanding the structural determinants that influence their cytotoxicity and selectivity toward malignant cells. Methods: A series of heteroaromatic iodine-containing derivatives were synthesized and evaluated for anticancer activity. Their cytotoxic effects were measured and compared between cancerous and normal cell lines to determine selectivity. Structural features, including heteroaromatic moieties and substituents, were analyzed to identify correlations with biological activity. Results: Among the tested compounds, derivatives 3e, 3g, and 3l demonstrated significant cytotoxic effects while exhibiting favorable selectivity indices. These findings indicate that these compounds preferentially target malignant cells over normal cells, thereby mitigating the issue of systemic toxicity often associated with traditional chemotherapeutics. The enhanced anticancer activity appears to be influenced by specific structural elements within the heteroaromatic framework. Conclusions: The study highlights the potential of heteroaromatic iodine-containing compounds as promising anticancer candidates. Rational structural modifications within these heterocyclic systems can effectively modulate bioactivity and improve therapeutic selectivity. These results support further development of this compound class for anticancer applications. Full article
(This article belongs to the Special Issue Antimicrobial and Anticancer Scaffolds in Medicinal Chemistry)
Show Figures

Graphical abstract

128 KB  
Abstract
Leveraging the “Grafting-Through” Approach for the Synthesis of “Rod-graft-Coil” Conducting Polymers Suitable as Biomedical Materials: Polythiophene Grafted with Oligo-(D,L-Lactide)
by Anca-Dana Bendrea, Natalia Simionescu, Luminita Cianga, Sorin-Alexandru Ibanescu, Mariana Pinteala and Ioan Cianga
Proceedings 2026, 136(1), 59; https://doi.org/10.3390/proceedings2026136059 - 14 Nov 2025
Viewed by 105
Abstract
The development and industrial application of synthetic polymers have had a great impact on society as these materials are used virtually everywhere [...] Full article
(This article belongs to the Proceedings of The 3rd International Online Conference on Polymer Science)
21 pages, 3712 KB  
Article
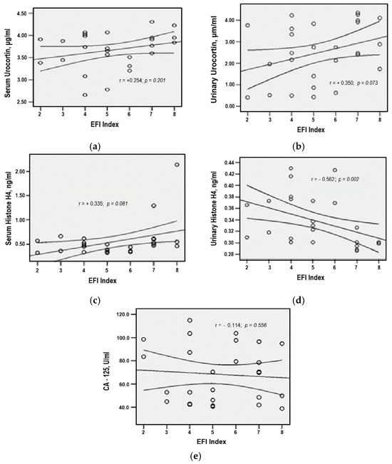
Urinary Urocortin as a Potential Non-Invasive Biomarker in Endometriosis: Exploratory Study with Histone H4
by Bogdan Toma, Irina-Draga Caruntu, Natalia Simionescu, Mircea Onofriescu, Demetra Socolov, Ciprian Ilea, Bianca Chifu, Simona-Eliza Giusca, Andrei Daniel Timofte, Mihaela Tirnovanu and Razvan Socolov
Medicina 2025, 61(9), 1671; https://doi.org/10.3390/medicina61091671 - 15 Sep 2025
Viewed by 1168
Abstract
Background and Objectives: Endometriosis, a complex and often underdiagnosed gynecological condition, frequently manifests with ovarian involvement, posing significant clinical challenges. Current diagnostic protocols primarily rely on invasive techniques, thus highlighting the critical need for reliable, non-invasive biomarkers. This study aimed to evaluate [...] Read more.
Background and Objectives: Endometriosis, a complex and often underdiagnosed gynecological condition, frequently manifests with ovarian involvement, posing significant clinical challenges. Current diagnostic protocols primarily rely on invasive techniques, thus highlighting the critical need for reliable, non-invasive biomarkers. This study aimed to evaluate the diagnostic performance and clinical relevance of Urocortin and Histone H4, assessed in both serum and urine, as potential biomarkers for ovarian endometriosis. Materials and Methods: We implemented an exploratory study design to investigate potential biomarkers for ovarian endometriosis. The study cohort consisted of 40 women, divided into three groups: Those with histologically confirmed ovarian endometriosis are 30, those with parietal endometriosis are 5, and 5 healthy controls. Standardized ELISA protocols were employed for the quantification of Urocortin and Histone H4 in both serum and urine samples. To ensure consistency, all participants were assessed during the proliferative phase of their menstrual cycle. Finally, comparative and multivariate statistical analyses were conducted to evaluate biomarker variability in the context of relevant clinical parameters. Results: Serum Urocortin levels were comparable across the three groups (mean ± SD: 3.63 ± 0.41 µg/mL in ovarian endometriosis vs. 3.59 ± 0.31 µg/mL in parietal endometriosis and 3.70 ± 0.38 µg/mL in controls; p > 0.05). In contrast, urinary Urocortin levels were significantly elevated in patients with ovarian endometriosis (2.51 ± 1.36 µg/mL), compared to both parietal endometriosis (0.13 ± 0.04 µg/mL) and controls (0.33 ± 0.18 µg/mL; p = 0.001). Multivariate linear regression revealed that age, age at menarche, and disease duration accounted for 28.3% of the variance in urinary Urocortin levels (adjusted R2 = 0.283; p = 0.002). Serum Histone H4 concentrations were modestly elevated in the ovarian endometriosis group (0.49 ± 0.18 ng/mL), although no statistically significant intergroup differences were observed. Urinary Histone H4 levels showed subtle variation but lacked discriminatory value. Conclusions: Urinary Urocortin showed a preliminary diagnostic signal in this small exploratory cohort, whereas Histone H4 did not perform significantly. Our findings require replication in larger, multicenter, and rigorously controlled studies with validated urine normalization methods. Nonetheless, our study opens further perspectives for complementing the biomarker panel with potential non-invasive diagnostic value with new candidates. Full article
(This article belongs to the Section Obstetrics and Gynecology)
Show Figures

Figure 1

24 pages, 2706 KB  
Article
Functionalized Indolizines as Potential Anticancer Agents: Synthetic, Biological and In Silico Investigations
by Roxana Ciorteanu, Catalina Ionica Ciobanu, Narcis Cibotariu, Sergiu Shova, Vasilichia Antoci, Ionel I. Mangalagiu and Ramona Danac
Int. J. Mol. Sci. 2025, 26(17), 8368; https://doi.org/10.3390/ijms26178368 - 28 Aug 2025
Cited by 1 | Viewed by 1482
Abstract
Three new series of indolizines (5af, 6af and 7ag), functionalized with bromine or ethyl ester substituents on the pyridine ring, were designed and synthesized as promising anticancer agents. The synthesis of indolizine derivatives was [...] Read more.
Three new series of indolizines (5af, 6af and 7ag), functionalized with bromine or ethyl ester substituents on the pyridine ring, were designed and synthesized as promising anticancer agents. The synthesis of indolizine derivatives was carried out using the 1,3-dipolar cycloaddition of pyridinium N-ylides to ethyl propiolate as a key step. Spectral characterization (using NMR, FT-IR, HRMS and X-ray diffraction) showed that two types of cycloadducts 5af and 6af were obtained when the ylides generated by the 3-bromopyridinium salts were used as 1,3-dipoles in Huisgen cycloaddition reactions to ethyl propiolate. The anticancer effect of selected compounds was in vitro assessed against the National Cancer Institute (NCI) panel of 60 human tumor cells, at 10 μM concentration, with three compounds (5c, 6c and 7g) showing promising inhibitory activity on the growth of several cell lines including lung, brain, renal cancer and melanoma, as well as a cytotoxic effect against HOP-62 non-small cell lung cells (34% for compound 5c and 15% for compound 7g) and SNB-75 glioblastoma cells (15% for compound 5c and 14% for derivative 7c). Molecular docking revealed favorable binding affinities for 5c, 6c and 7g (–9.22 to –9.88 kcal/mol) at the colchicine-binding site of tubulin with key interactions involving βASN-258, βALA-317, and βLYS-352 residues for 5c, βASN-258 in case of 6c, and αVAL-181 and βLYS-254 for derivative 7g. According to the in silico ADMET analysis, the active compounds are predicted to exhibit good oral bioavailability, promising drug-like qualities and low toxicity risks. Full article
(This article belongs to the Section Molecular Pharmacology)
Show Figures

Graphical abstract

21 pages, 7004 KB  
Article
Mn-Doped Carbon Dots as Contrast Agents for Magnetic Resonance and Fluorescence Imaging
by Corneliu S. Stan, Adina Coroaba, Natalia Simionescu, Cristina M. Uritu, Dana Bejan, Laura E. Ursu, Andrei-Ioan Dascalu, Florica Doroftei, Marius Dobromir, Cristina Albu and Conchi O. Ania
Int. J. Mol. Sci. 2025, 26(13), 6293; https://doi.org/10.3390/ijms26136293 - 29 Jun 2025
Cited by 4 | Viewed by 2071
Abstract
Carbon nanodots have recently attracted attention as fluorescence imaging probes and magnetic resonance imaging (MRI) contrast agents in diagnostic and therapeutic applications due to their unique optical properties. In this work we report the synthesis of biocompatible Mn (II)-doped carbon nanodots and their [...] Read more.
Carbon nanodots have recently attracted attention as fluorescence imaging probes and magnetic resonance imaging (MRI) contrast agents in diagnostic and therapeutic applications due to their unique optical properties. In this work we report the synthesis of biocompatible Mn (II)-doped carbon nanodots and their performance as fluorescence and MRI contrast agents in in vitro assays. The thermal decomposition of a Diphenylhydantoin–Mn(II) complex assured the incorporation of manganese (II) ions in the carbon dots. The obtained materials display a favorable spin density for MRI applications. The synthesized Mn(II)-CNDs also displayed remarkable photoluminescence, with a bright blue emission and good response in in vitro fluorescence imaging. Cytotoxicity investigations revealed good cell viability on malignant melanoma cell lines in a large concentration range. A cytotoxic effect was observed for MG-63 osteosarcoma and breast adenocarcinoma cell lines. The in vitro MRI assays demonstrated the potentialities of the Mn(II)-CNDs as T2 contrast agents at low dosages, with relaxivity values higher than those of commercial ones. Due to the simplicity of their synthetic pathway and their low cytotoxicity, the prepared Mn(II)-CNDs are potential alternatives to currently used contrast agents based on gadolinium complexes. Full article
(This article belongs to the Section Materials Science)
Show Figures

Figure 1

23 pages, 2553 KB  
Article
A Green Integrated Approach to Multifunctional Silver Nanoparticles Derived from Aronia melanocarpa
by Andreia Corciova, Cornelia Mircea, Adrian Fifere, Ioana-Andreea Turin Moleavin, Ana Flavia Burlec, Bianca Ivanescu, Ana-Maria Vlase, Monica Hancianu and Irina Macovei
Pharmaceutics 2025, 17(5), 669; https://doi.org/10.3390/pharmaceutics17050669 - 20 May 2025
Cited by 5 | Viewed by 1369
Abstract
Background/Objectives: This study reports the green synthesis, optimization, characterization, and multifunctional evaluation of silver nanoparticles (AgNPs) using an ethanolic Aronia melanocarpa berry extract. The objective was to establish optimal synthesis conditions; assess the in vitro stability; and evaluate the antioxidant, photocatalytic, and photoprotective [...] Read more.
Background/Objectives: This study reports the green synthesis, optimization, characterization, and multifunctional evaluation of silver nanoparticles (AgNPs) using an ethanolic Aronia melanocarpa berry extract. The objective was to establish optimal synthesis conditions; assess the in vitro stability; and evaluate the antioxidant, photocatalytic, and photoprotective activities. Methods: The cytogenotoxic effects of the AgNPs were evaluated on Triticum aestivum roots. The AgNPs were synthesized via bioreduction using an ethanolic extract of A. melanocarpa under varied pH, AgNO3 concentration, extract/AgNO3 ratio, temperature, and stirring time, with optimization guided by UV–Vis spectral analysis. The AgNPs were further characterized by FTIR, DLS, TEM, and EDX. In vitro stability was evaluated over six months in different dispersion media (ultrapure water; 5% NaCl; and PBS at pH 6, 7, and 8). Biological assessments included antioxidant assays (lipoxygenase inhibition, DPPH radical scavenging, metal chelation, and hydroxyl radical scavenging), photocatalytic dye degradation, and SPF determination. Results: Optimal synthesis was achieved at pH 8, 3 mM AgNO3, extract/AgNO3 ratio of 1:9, 40 °C, and 240 min stirring. The AgNPs were spherical (TEM), well dispersed (PDI = 0.32), and highly stable (zeta potential = −40.71 mV). PBS pH 6 and 7 ensured the best long-term colloidal stability. The AgNPs displayed strong dose-dependent antioxidant activity, with superior lipoxygenase inhibition (EC50 = 18.29 µg/mL) and the effective photocatalytic degradation of dyes under sunlight. Photoprotective properties were confirmed through UV absorption analysis. The AgNPs showed a strong antimitotic effect on wheat root cells. Conclusions: The study demonstrates that A. melanocarpa-mediated AgNPs are stable, biologically active, and suitable for potential biomedical, cosmetic, and environmental applications, reinforcing the relevance of plant-based nanotechnology. Full article
Show Figures

Figure 1

20 pages, 6980 KB  
Article
Electrodeposition of Au Nanoparticles on 2D Layered Materials and Their Applications in Electrocatalysis of Nitrite
by Oana Elena Carp, Mirela-Fernanda Zaltariov, Mariana Pinteala and Adina Arvinte
Chemosensors 2025, 13(5), 180; https://doi.org/10.3390/chemosensors13050180 - 12 May 2025
Viewed by 2264
Abstract
This study presents a comparative analysis of gold nanoparticles electrodeposited on different two-dimensional materials used as electrode substrates, graphene (Gr) and MoS2, or co-deposited with the metallic material MoS2. The morphological and electrochemical data demonstrate the efficiency of the [...] Read more.
This study presents a comparative analysis of gold nanoparticles electrodeposited on different two-dimensional materials used as electrode substrates, graphene (Gr) and MoS2, or co-deposited with the metallic material MoS2. The morphological and electrochemical data demonstrate the efficiency of the electrodeposition process and the preferability of gold nanoparticles for certain attachment sites depending on the nature of the material used as a substrate and the deposition method used. The electrocatalytic activity of the gold nanoparticles obtained in these configurations was evaluated via the oxidation of nitrite ions (NO2), using both qualitative and quantitative approaches, by cyclic voltammetry and amperometry techniques. The electrocatalytic activity of gold nanoparticles co-deposited with MoS2 is superior compared to that of gold nanoparticles deposited either on bare gold electrodes or on 2D materials (graphene and MoS2), showing good performance with a specific sensitivity of 1.043 μA µM−1 cm−2 on the linear range of 0.5–600 µM nitrite, with a limit of detection of 0.16 µM and good anti-interference ability. Full article
Show Figures

Figure 1

Back to TopTop