Polyethyleneimine-Directed In Situ Gold Deposition on Gallium Nitride Nanoparticles for Enhanced Electrochemical Detection of Erythromycin
Abstract
1. Introduction
2. Results and Discussion
2.1. PEI-Mediated Interfacial Formation of GaN-PEI-Au Nanocomposites
2.2. Physicochemical Characterization of GaN-PEI-Au Nanocomposites
2.2.1. Colloidal Properties as a Function of Au Precursor Loading
2.2.2. Optical Evidence of Au Formation and Onset of Interparticle Coupling
2.2.3. Morphological Analysis and EDX Elemental Analyses of GaN-PEI and GaN-PEI-Au Samples
2.3. Electrochemical Investigation of GaN-PEI-Au Nanocomposites
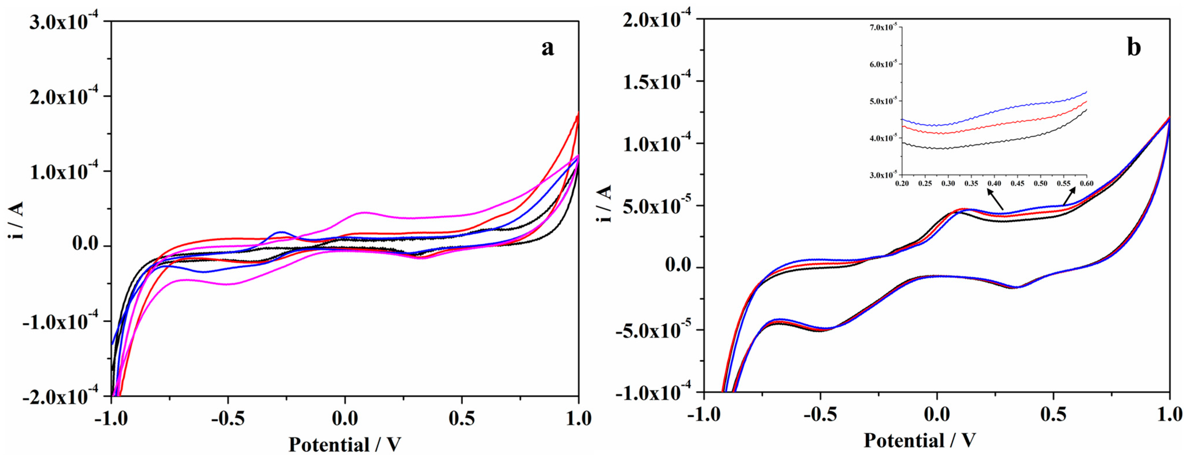
2.3.1. Electrochemical Oxidation of Erythromycin at GaN-PEI and GaN-PEI-Au-Modified Electrodes
2.3.2. Influence of the Supporting Electrolyte on the Electrochemical Oxidation of Erythromycin
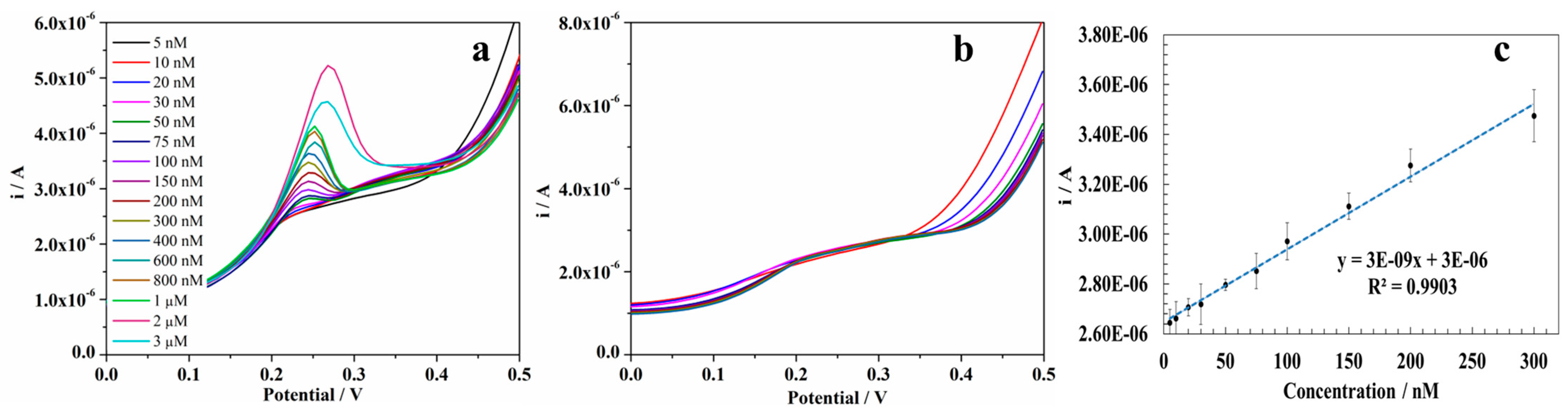
2.3.3. Calibration
3. Materials and Methods
3.1. Chemicals and Reagents
3.2. Instruments and Measurements
3.3. Preparation of GaN-PEI-Au
3.3.1. GaN-PEI Synthesis
3.3.2. GaN-PEI-Au Optimization
3.3.3. Preparation of the Modified Electrodes
4. Conclusions
Supplementary Materials
Author Contributions
Funding
Institutional Review Board Statement
Informed Consent Statement
Data Availability Statement
Acknowledgments
Conflicts of Interest
References
- Crapnell, R.D.; Ferrari, A.G.-M.; Dempsey, N.C.; Banks, C.E. Electroanalytical Overview: Screen-Printed Electrochemical Sensing Platforms for the Detection of Vital Cardiac, Cancer and Inflammatory Biomarkers. Sens. Diagn. 2022, 1, 405–428. [Google Scholar] [CrossRef]
- Costa-Rama, E.; Fernández-Abedul, M.T. Paper-Based Screen-Printed Electrodes: A New Generation of Low-Cost Electroanalytical Platforms. Biosensors 2021, 11, 51. [Google Scholar] [CrossRef]
- Haroon, N.; Stine, K.J. Surface Modification of Screen-Printed Carbon Electrodes. Coatings 2025, 15, 1182. [Google Scholar] [CrossRef]
- Pingarrón, J.M.; Yáñez-Sedeño, P.; González-Cortés, A. Gold Nanoparticle-Based Electrochemical Biosensors. Electrochim. Acta 2008, 53, 5848–5866. [Google Scholar] [CrossRef]
- Petković, B.B.; Ognjanović, M.; Stanković, D.M. Recent Progress in Nanomaterials for Electrochemical Sensing of Natural Bioactive Compounds. Chemosensors 2025, 13, 429. [Google Scholar] [CrossRef]
- Kumalasari, M.R.; Alfanaar, R.; Andreani, A.S. Gold Nanoparticles (AuNPs): A Versatile Material for Biosensor Application. Talanta Open 2024, 9, 100327. [Google Scholar] [CrossRef]
- Chandra, P.; Singh, J.; Singh, A.; Srivastava, A.; Goyal, R.N.; Shim, Y.B. Gold Nanoparticles and Nanocomposites in Clinical Diagnostics Using Electrochemical Methods. J. Nanopart. 2013, 2013, 535901. [Google Scholar] [CrossRef]
- Zhang, G. Functional Gold Nanoparticles for Sensing Applications. Nanotechnol. Rev. 2013, 2, 269–288. [Google Scholar] [CrossRef]
- Javed, R.; Zia, M.; Naz, S.; Aisida, S.O.; Ain, N.U.; Ao, Q. Role of Capping Agents in the Application of Nanoparticles in Biomedicine and Environmental Remediation: Recent Trends and Future Prospects. J. Nanobiotechnol. 2020, 18, 172. [Google Scholar] [CrossRef] [PubMed]
- Thanh, N.T.K.; Maclean, N.; Mahiddine, S. Mechanisms of Nucleation and Growth of Nanoparticles in Solution. Chem. Rev. 2014, 114, 7610–7630. [Google Scholar] [CrossRef] [PubMed]
- Kuntamung, K.; Jakmunee, J.; Ounnunkad, K. A Label-Free Multiplex Electrochemical Biosensor for the Detection of Three Breast Cancer Biomarker Proteins Employing Dye/Metal Ion-Loaded and Antibody-Conjugated Polyethyleneimine-Gold Nanoparticles. J. Mater. Chem. B 2021, 9, 6576–6585. [Google Scholar] [CrossRef]
- Putnin, T.; Chanarsa, S.; Yaiwong, P.; Ngamaroonchote, A.; Aroonyadet, N.; Jakmunee, J.; Bamrungsap, S.; Laocharoensuk, R.; Ounnunkad, K. Unraveling the Impact of Polyethylenimine-Coated Gold Nanoparticle Size on the Efficiency of Sandwich-Style Electrochemical Immunosensors. ACS Meas. Sci. Au 2025, 5, 96–108. [Google Scholar] [CrossRef] [PubMed]
- Chandran, B.; Janakiraman, K. New Disposable Nitric Oxide Sensor Fabrication Using GaN Nanowires. ACS Omega 2019, 4, 17171–17176. [Google Scholar] [CrossRef]
- Alifragis, Y.; Roussos, G.; Pantazis, A.K.; Konstantinidis, G.; Chaniotakis, N. Free-Standing Gallium Nitride Membrane-Based Sensor for the Impedimetric Detection of Alcohols. J. Appl. Phys. 2016, 119, 074502. [Google Scholar] [CrossRef]
- Rais-Zadeh, M.; Gokhale, V.J.; Ansari, A.; Faucher, M.; Theron, D.; Cordier, Y.; Buchaillot, L. Gallium Nitride as an Electromechanical Material. J. Microelectromech. Syst. 2014, 23, 1252–1271, Erratum in J. Microelectromech. Syst. 2015, 24, 249. [Google Scholar] [CrossRef]
- Schubert, T.; Steinhoff, G.; von Ribbeck, H.-G.; Stutzmannn, M.; Eickhoff, M.; Tanaka, M. Gallium Nitride Electrodes for Membrane-Based Electrochemical Biosensors. Eur. Phys. J. E 2009, 30, 233–238. [Google Scholar] [CrossRef]
- Munusamy, S.; Sivasankaran, R.P.; Sivaranjan, K.; Sabhapathy, P.; Narayanan, V.; Mohammad, F.; Sagadevan, S. Gallium Nitride-Polyaniline-Polypyrrole Hybrid Nanocomposites as an Efficient Electrochemical Sensor for Mebendazole Detection in Drugs. Electrochim. Acta 2023, 448, 142148. [Google Scholar] [CrossRef]
- Xi, R.; Zhang, S.-H.; Zhang, L.; Wang, C.; Wang, L.-J.; Yan, J.-H.; Pan, G.-B. Electrodeposition of Pd-Pt Nanocomposites on Porous GaN for Electrochemical Nitrite Sensing. Sensors 2019, 19, 606. [Google Scholar] [CrossRef]
- Zhang, M.-R.; Chen, X.-Q.; Pan, G.-B. Electrosynthesis of Gold Nanoparticles/Porous GaN Electrode for Non-Enzymatic Hydrogen Peroxide Detection. Sens. Actuator B-Chem. 2017, 240, 142–147. [Google Scholar] [CrossRef]
- Cizmas, L.; Sharma, V.K.; Gray, C.M.; McDonald, T.J. Pharmaceuticals and Personal Care Products in Waters: Occurrence, Toxicity, and Risk. Environ. Chem. Lett. 2015, 13, 381–394. [Google Scholar] [CrossRef] [PubMed]
- Liu, N.; Jin, X.; Johnson, A.C.; Zhou, S.; Liu, Y.; Hou, L.; Meng, F.; Wu, F. Pharmaceutical and Personal Care Products (PPCPs) in Global Surface Waters: Risk and Drivers. Environ. Sci. Technol. 2025, 59, 19146–19159. [Google Scholar] [CrossRef] [PubMed]
- Frigoli, M.; Krupa, M.P.; Hooyberghs, G.; Lowdon, J.W.; Cleij, T.J.; Diliën, H.; Eersels, K.; van Grinsven, B. Electrochemical Sensors for Antibiotic Detection: A Focused Review with a Brief Overview of Commercial Technologies. Sensors 2024, 24, 5576. [Google Scholar] [CrossRef] [PubMed]
- Schafhauser, B.H.; Kristofco, L.A.; de Oliveira, C.M.R.; Brooks, B.W. Global Review and Analysis of Erythromycin in the Environment: Occurrence, Bioaccumulation and Antibiotic Resistance Hazards. Environ. Pollut. 2018, 238, 440–451. [Google Scholar] [CrossRef]
- Alsaiari, N.S.; Katubi, K.M.M.; Alzahrani, F.M.; Siddeeg, S.M.; Tahoon, M.A. The Application of Nanomaterials for the Electrochemical Detection of Antibiotics: A Review. Micromachines 2021, 12, 308. [Google Scholar] [CrossRef] [PubMed]
- Craciun, B.F.; Clima, L.; Bostiog, D.-I.; Silion, M.; Calin, M.; Peptanariu, D.; Pinteala, M. Multilayer Gold Nanoparticles as Non-Viral Vectors for Targeting MCF-7 Cancer Cells. Biomater. Adv. 2023, 144, 213201. [Google Scholar] [CrossRef]
- Malm, A.V.; Corbett, J.C.W. Improved Dynamic Light Scattering Using an Adaptive and Statistically Driven Time Resolved Treatment of Correlation Data. Sci. Rep. 2019, 9, 13519, Erratum in Sci. Rep. 2024, 14, 2021. https://doi.org/10.1038/s41598-024-51806-0. [Google Scholar] [CrossRef]
- Stetefeld, J.; McKenna, S.A.; Patel, T.R. Dynamic Light Scattering: A Practical Guide and Applications in Biomedical Sciences. Biophys. Rev. 2016, 8, 409–427. [Google Scholar] [CrossRef]
- Ballauff, M.; Borisov, O. Polyelectrolyte Brushes. Curr. Opin. Colloid Interface Sci. 2006, 11, 316–323. [Google Scholar] [CrossRef]
- Curtis, K.A.; Miller, D.; Millard, P.; Basu, S.; Horkay, F.; Chandran, P.L. Unusual Salt and pH Induced Changes in Polyethylenimine Solutions. PLoS ONE 2016, 11, e0158147. [Google Scholar] [CrossRef]
- Maguire, C.M.; Rösslein, M.; Wick, P.; Prina-Mello, A. Characterisation of Particles in Solution—A Perspective on Light Scattering and Comparative Technologies. Sci. Technol. Adv. Mater. 2018, 19, 732–745. [Google Scholar] [CrossRef]
- Pfeiffer, C.; Rehbock, C.; Hühn, D.; Carrillo-Carrion, C.; de Aberasturi, D.J.; Merk, V.; Barcikowski, S.; Parak, W.J. Interaction of Colloidal Nanoparticles with Their Local Environment: The (Ionic) Nanoenvironment around Nanoparticles Is Different from Bulk and Determines the Physico-Chemical Properties of the Nanoparticles. J. R. Soc. Interface 2014, 11, 20130931. [Google Scholar] [CrossRef]
- Balu, B.; Khair, A.S. Dynamic Double Layer Force between Charged Surfaces. Phys. Rev. Res. 2020, 2, 013138. [Google Scholar] [CrossRef]
- Lee, M.-L.; Huang, F.-W.; Chen, P.-C.; Sheu, J.-K. GaN Intermediate Band Solar Cells with Mn-Doped Absorption Layer. Sci. Rep. 2018, 8, 8641. [Google Scholar] [CrossRef]
- Dileseigres, A.S.; Prado, Y.; Pluchery, O. How to Use Localized Surface Plasmon for Monitoring the Adsorption of Thiol Molecules on Gold Nanoparticles? Nanomaterials 2022, 12, 292. [Google Scholar] [CrossRef]
- Montaño-Priede, J.L.; Sanromán-Iglesias, M.; Zabala, N.; Grzelczak, M.; Aizpurua, J. Robust Rules for Optimal Colorimetric Sensing Based on Gold Nanoparticle Aggregation. ACS Sens. 2023, 8, 1827–1834. [Google Scholar] [CrossRef] [PubMed]
- Agasti, S.S.; Rana, S.; Park, M.-H.; Kim, C.K.; You, C.-C.; Rotello, V.M. Nanoparticles for Detection and Diagnosis. Adv. Drug Deliv. Rev. 2010, 62, 316–328. [Google Scholar] [CrossRef]
- Note, C.; Kosmella, S.; Koetz, J. Poly(Ethyleneimine) as Reducing and Stabilizing Agent for the Formation of Gold Nanoparticles in w/o Microemulsions. Colloids Surf. A-Physicochem. Eng. Asp. 2006, 290, 150–156. [Google Scholar] [CrossRef]
- Haiss, W.; Thanh, N.T.K.; Aveyard, J.; Fernig, D.G. Determination of Size and Concentration of Gold Nanoparticles from UV–Vis Spectra. Anal. Chem. 2007, 79, 4215–4221. [Google Scholar] [CrossRef] [PubMed]
- Philip, A.; Ankudze, B.; Pakkanen, T.T. Polyethylenimine-Assisted Seed-Mediated Synthesis of Gold Nanoparticles for Surface-Enhanced Raman Scattering Studies. Appl. Surf. Sci. 2018, 444, 243–252. [Google Scholar] [CrossRef]
- Bard, A.J.; Faulkner, L.R.; White, H.S. Electrochemical Methods: Fundamentals and Applications, 3rd ed.; John Wiley & Sons, Ltd.: Hoboken, NJ, USA, 2022. [Google Scholar]
- Compton, R.G.; Banks, C.E. Understanding Voltammetry, 3rd ed.; World Scientific Publishing Company: London, UK, 2018. [Google Scholar]
- Golubenko, D.; Al-Juboori, R.A.; Hilal, N. The Role of Polyethylenimines in PEI-Based Anion Exchange Membranes: Enhancing Phosphate Recovery in Electrodialysis. ACS Electrochem. 2025, 1, 2122–2138. [Google Scholar] [CrossRef]
- Zamarchi, F.; Silva, T.R.; Winiarski, J.P.; Santana, E.R.; Vieira, I.C. Polyethylenimine-Based Electrochemical Sensor for the Determination of Caffeic Acid in Aromatic Herbs. Chemosensors 2022, 10, 357. [Google Scholar] [CrossRef]
- Zhu, Y.; Cao, Y.; Sun, X.; Wang, X. Amperometric Immunosensor for Carbofuran Detection Based on MWCNTs/GS-PEI-Au and AuNPs-Antibody Conjugate. Sensors 2013, 13, 5286–5301. [Google Scholar] [CrossRef]
- Duan, S.; Yue, R.; Huang, Y. Polyethylenimine-Carbon Nanotubes Composite as an Electrochemical Sensing Platform for Silver Nanoparticles. Talanta 2016, 160, 607–613. [Google Scholar] [CrossRef]
- Zhao, H.; Liu, Q.; Wang, J.; Huang, A.; Qiu, B.; Lin, Z. Electrochemical Aptamer Sensor Based on Metal Ion-Labeled Polyethyleneimine Gold Nanoparticles for Simultaneous Detection of Multiple Disease Markers. Electrochim. Acta 2021, 399, 139423. [Google Scholar] [CrossRef]
- Hu, X.; Wang, P.; Yang, J.; Zhang, B.; Li, J.; Luo, J.; Wu, K. Enhanced Electrochemical Detection of Erythromycin Based on Acetylene Black Nanoparticles. Colloids Surf. B Biointerfaces 2010, 81, 27–31. [Google Scholar] [CrossRef] [PubMed]
- Avramov Ivić, M.L.; Petrović, S.D.; Mijin, D.Ž.; Vanmoos, F.; Orlović, D.Ž.; Marjanović, D.Ž.; Radović, V.V. The Electrochemical Behavior of Erythromycin A on a Gold Electrode. Electrochim. Acta 2008, 54, 649–654. [Google Scholar] [CrossRef]
- Firdaus, I.; Yaqub, A.; Ajab, H.; Khan, I.; Ahmed, B.; Amin, Z.; Baig, A.; Isa, M.H. Electrochemical Oxidation of Amoxicillin, Ciprofloxacin and Erythromycin in Water: Effect of Experimental Factors on COD Removal. Pak. J. Pharm. Sci. 2021, 34, 119–128. [Google Scholar] [CrossRef]
- Dinos, G.P. The Macrolide Antibiotic Renaissance. Br. J. Pharmacol. 2017, 174, 2967–2983. [Google Scholar] [CrossRef]
- Veseli, A.; Mullallari, F.; Balidemaj, F.; Berisha, L.; Švorc, Ľ.; Arbneshi, T. Electrochemical Determination of Erythromycin in Drinking Water Resources by Surface Modified Screen-Printed Carbon Electrodes. Microchem. J. 2019, 148, 412–418. [Google Scholar] [CrossRef]
- Song, B.; Zhou, Y.; Jin, H.; Jing, T.; Zhou, T.; Hao, Q.; Zhou, Y.; Mei, S.; Lee, Y.-I. Selective and Sensitive Determination of Erythromycin in Honey and Dairy Products by Molecularly Imprinted Polymers Based Electrochemical Sensor. Microchem. J. 2014, 116, 183–190. [Google Scholar] [CrossRef]
- Lian, W.; Liu, S.; Yu, J.; Xing, X.; Li, J.; Cui, M.; Huang, J. Electrochemical Sensor Based on Gold Nanoparticles Fabricated Molecularly Imprinted Polymer Film at Chitosan-Platinum Nanoparticles/Graphene-Gold Nanoparticles Double Nanocomposites Modified Electrode for Detection of Erythromycin. Biosens. Bioelectron. 2012, 38, 163–169. [Google Scholar] [CrossRef]
- Lai, T.; Shu, H.; Tian, X.; Ren, J.; Cui, X.; Bai, H.; Xiao, X.C.; Wang, Y.D. Electrochemical Sensor Based on Molecularly Imprinted Poly-Arginine for Highly Sensitive and Selective Erythromycin Determination. J. Mater. Sci. Mater. Electron. 2023, 34, 6. [Google Scholar] [CrossRef]
- Ayankojo, A.G.; Reut, J.; Ciocan, V.; Öpik, A.; Syritski, V. Molecularly Imprinted Polymer-Based Sensor for Electrochemical Detection of Erythromycin. Talanta 2020, 209, 120502. [Google Scholar] [CrossRef]
- Li, N.; Xie, D.; Zhao, H.; Yu, C.; Li, Z.; Li, F.; Cao, Q. A Novel Molecularly Imprinted Electrode Modified with Carbon Nanohorn and Polydopamine for Highly Sensitive Determination of Erythrocin in Food. Microchem. J. 2022, 181, 107728. [Google Scholar] [CrossRef]
- Almehizia, A.A.; Naglah, A.M.; Alanazi, M.G.; Amr, A.E.-G.E.; Kamel, A.H. Potentiometric Planar Platforms Modified with a Multiwalled Carbon Nanotube/Polyaniline Nanocomposite and Based on Imprinted Polymers for Erythromycin Assessment. RSC Adv. 2023, 13, 35926–35936. [Google Scholar] [CrossRef] [PubMed]










| Sample | Z-Average (nm) | PDI | ζ-Potential (mV) |
|---|---|---|---|
| GaN-PEI-Au50 | 484.2 ± 14.3 | 0.34 ± 0.02 | 34.0 ± 0.2 |
| GaN-PEI-Au100 | 432.2 ± 4.2 | 0.32 ± 0.04 | 35.4 ± 0.4 |
| GaN-PEI-Au150 | 169.6 ± 5.8 | 0.39 ± 0.01 | 44.2 ± 1.0 |
| GaN-PEI-Au200 | 162.3 ± 1.4 | 0.36 ± 0.02 | 43.1 ± 0.5 |
| GaN-PEI-Au250 | 221.2 ± 0.9 | 0.32 ± 0.03 | 52.1 ± 0.2 |
| GaN-PEI-Au300 | 141.3 ± 0.4 | 0.30 ± 0.02 | 55.8 ± 0.1 |
| GaN-PEI | 826.3 ± 22.8 | 0.27 ± 0.02 | 34.7 ± 0.7 |
| Electrode Modification | Detection Technique | LOD | Linear Range | Sensitivity | Ref. |
|---|---|---|---|---|---|
| screen-printed carbon electrodes with sodium dodecyl sulfate surfactant | Amperometry | 0.14 mg L−1 (0.19 µM) | 0.14–15 mg L−1 | - | [51] |
| screen-printed carbon electrodes with molecularly imprinted polymers | Differential Pulse Voltammetry | 1.9 × 10−8 mol L−1 | 5.0 × 10−8–1.0 × 10−5 mol L−1 | - | [52] |
| gold electrode with CS-Pt and GR-Au nanocomposites + MIP | Cyclic Voltammetry/Amperometry | 2.3 × 10−8 mol L−1 | 7.0 × 10−8–9.0 × 10−5 mol L−1 | - | [53] |
| glassy carbon electrode with acetylene black nanoparticle-modified | Cyclic Voltammetry | 8 × 10−8 mol L−1 | 2 × 10−7–1 × 10−5 mol L−1 | - | [47] |
| glassy carbon electrode with arginine molecularly imprinted polymer | Differential Pulse Voltammetry/ Cyclic Voltammetry | 2.0 × 10−9 mol L−1 | 3 × 10−9–1.6 × 10−6 mol L−1 | 57,300 µA cm−2 µM−1 | [54] |
| screen-printed electrode with molecularly imprinted polymer based on m-phenylenediamine | Differential Pulse Voltammetry | 1 × 10−10 mol L−1 | - | - | [55] |
| glassy carbon electrode with carbon nanohorns, polydopamine and erythromycin molecularly imprinted membrane | Cyclic Voltammetry/Differential Pulse Voltammetry | 2.7 × 10−9 mol L−1 | 1.0 × 10−5–1.0 × 10−8 mol L−1 | - | [56] |
| carbon electrode with erythromycin molecularly imprinted polymer and multiwalled carbon nanotubes and polyaniline | Potentiometric | 9.6 ± 0.4 × 10−7 mol L−1 | 4.6 × 10−6 to 1.0 × 10−3 M | - | [57] |
| GaN-PEI-Au-modified gold electrode | Differential Pulse Voltammetry | 52.5 nM | 5 nM–2 µM | 1.32 × 10−3 µA nM−1 | This work |
Disclaimer/Publisher’s Note: The statements, opinions and data contained in all publications are solely those of the individual author(s) and contributor(s) and not of MDPI and/or the editor(s). MDPI and/or the editor(s) disclaim responsibility for any injury to people or property resulting from any ideas, methods, instructions or products referred to in the content. |
© 2026 by the authors. Licensee MDPI, Basel, Switzerland. This article is an open access article distributed under the terms and conditions of the Creative Commons Attribution (CC BY) license.
Share and Cite
Carp, O.E.; Bostiog, D.-I.; Ursu, E.L.; Mocanu, R.-G.; Marangoci, N.L.; Tiginyanu, I.; Rotaru, A. Polyethyleneimine-Directed In Situ Gold Deposition on Gallium Nitride Nanoparticles for Enhanced Electrochemical Detection of Erythromycin. Int. J. Mol. Sci. 2026, 27, 2728. https://doi.org/10.3390/ijms27062728
Carp OE, Bostiog D-I, Ursu EL, Mocanu R-G, Marangoci NL, Tiginyanu I, Rotaru A. Polyethyleneimine-Directed In Situ Gold Deposition on Gallium Nitride Nanoparticles for Enhanced Electrochemical Detection of Erythromycin. International Journal of Molecular Sciences. 2026; 27(6):2728. https://doi.org/10.3390/ijms27062728
Chicago/Turabian StyleCarp, Oana Elena, Denisse-Iulia Bostiog, Elena Laura Ursu, Rares-Georgian Mocanu, Narcisa Laura Marangoci, Ion Tiginyanu, and Alexandru Rotaru. 2026. "Polyethyleneimine-Directed In Situ Gold Deposition on Gallium Nitride Nanoparticles for Enhanced Electrochemical Detection of Erythromycin" International Journal of Molecular Sciences 27, no. 6: 2728. https://doi.org/10.3390/ijms27062728
APA StyleCarp, O. E., Bostiog, D.-I., Ursu, E. L., Mocanu, R.-G., Marangoci, N. L., Tiginyanu, I., & Rotaru, A. (2026). Polyethyleneimine-Directed In Situ Gold Deposition on Gallium Nitride Nanoparticles for Enhanced Electrochemical Detection of Erythromycin. International Journal of Molecular Sciences, 27(6), 2728. https://doi.org/10.3390/ijms27062728

