Sign in to use this feature.

Years

Between: -

Subjects

remove_circle_outline
remove_circle_outline
remove_circle_outline
remove_circle_outline

Journals

Article Types

Countries / Regions

Search Results (7)

Search Parameters:
Keywords = bimodal polypropylene

Order results
Result details
Results per page
Select all
Export citation of selected articles as:
13 pages, 1413 KB  
Article
Evolution of Microplastics Released from Tea Bags into Water
by Alexander A. Yaroslavov, Anna A. Efimova, Tatyana E. Grokhovskaya, Anastasiia G. Badikova, Vasily V. Spiridonov, Denis V. Pozdyshev, Sergey V. Lyulin and Jose M. Kenny
Polymers 2025, 17(19), 2700; https://doi.org/10.3390/polym17192700 - 7 Oct 2025
Viewed by 1617
Abstract
Eight different types of tea bags were investigated in this work using dynamic light scattering, electrophoretic mobility and nanoparticle tracking analysis methods to determine the concentration and size of released particles from the bag materials at different temperatures and times. Infrared spectroscopy and [...] Read more.
Eight different types of tea bags were investigated in this work using dynamic light scattering, electrophoretic mobility and nanoparticle tracking analysis methods to determine the concentration and size of released particles from the bag materials at different temperatures and times. Infrared spectroscopy and calorimetric methods confirmed that the bag material consisted of synthetic (nylon or polypropylene) or natural polymers (cellulose). The size of the released particles lies in the range of 200 nm–1 µm with an initial bimodal distribution and with an average diameter of about 600 nm. The concentration of released particles increases with increasing temperature and brewing time. The released particles of synthetic polymers remain quite stable and are not affected by natural enzymes, while cellulose particles are easily degraded by the proteolytic complex Morikrase. When analyzing the electrophoretic mobility, it was found that the released particles have a negative surface charge, which probably determines the absence of cytotoxicity established on the epithelial cell line Caco-2 even at the maximum values of the observed particle concentrations (14 × 109 particle/L for synthetic polymers and 170 × 109 particle/L for cellulose). Full article
(This article belongs to the Special Issue Degradation and Stabilization of Polymer Materials 2nd Edition)
Show Figures

Graphical abstract

16 pages, 6386 KB  
Article
The Role of Ligand Exchange in Salen Cobalt Complexes in the Alternating Copolymerization of Propylene Oxide and Carbon Dioxide
by Sergey A. Rzhevskiy, Olga V. Shurupova, Andrey F. Asachenko, Anna V. Plutalova, Elena V. Chernikova and Irina P. Beletskaya
Int. J. Mol. Sci. 2024, 25(20), 10946; https://doi.org/10.3390/ijms252010946 - 11 Oct 2024
Cited by 7 | Viewed by 1963
Abstract
A comparative study of the copolymerization of racemic propylene oxide (PO) with CO2 catalyzed by racemic (salcy)CoX (salcy = N,N′-bis(3,5-di-tert-butylsalicylidene)-1,2-diaminocyclohexane; X = perfluorobenzoate (OBzF5) or 2,4-dinitrophenoxy (DNP)) in the presence of a [PPN]Cl ([PPN] = [...] Read more.
A comparative study of the copolymerization of racemic propylene oxide (PO) with CO2 catalyzed by racemic (salcy)CoX (salcy = N,N′-bis(3,5-di-tert-butylsalicylidene)-1,2-diaminocyclohexane; X = perfluorobenzoate (OBzF5) or 2,4-dinitrophenoxy (DNP)) in the presence of a [PPN]Cl ([PPN] = bis(triphenylphosphine)iminium) cocatalyst is performed in bulk at 21 °C and a 2.5 MPa pressure of CO2. The increase in the nucleophilicity of an attacking anion results in the increase in the copolymerization rate. Racemic (salcy)CoX provides a high selectivity of the copolymerization, which can be higher than 99%, and the living polymerization mechanism. Poly(propylene carbonate) (PPC) with bimodal molecular weight distribution (MWD) is formed throughout copolymerization. Both modes are living and are characterized by low dispersity, while their contribution to MWD depends on the nature of the attacking anion. The racemic (salcy)CoDNP/[PPN]DNP system is found to be preferable for the production of PPC with a high yield and selectivity. Full article
(This article belongs to the Section Biochemistry)
Show Figures

Figure 1

13 pages, 4726 KB  
Article
Non-Wettable Microporous Sheets Using Mixed Polyolefin Waste for Oil–Water Separation
by Junaid Saleem, Zubair Khalid Baig Moghal, Rana A. Shakoor, Adriaan S. Luyt and Gordon McKay
Polymers 2023, 15(14), 3072; https://doi.org/10.3390/polym15143072 - 17 Jul 2023
Cited by 6 | Viewed by 1932
Abstract
Mixed polyolefin-based waste needs urgent attention to mitigate its negative impact on the environment. The separation of these plastics requires energy-intensive processes due to their similar densities. Additionally, these materials cannot be blended without compatibilizers, as they are inherently incompatible and immiscible. Herein, [...] Read more.
Mixed polyolefin-based waste needs urgent attention to mitigate its negative impact on the environment. The separation of these plastics requires energy-intensive processes due to their similar densities. Additionally, these materials cannot be blended without compatibilizers, as they are inherently incompatible and immiscible. Herein, non-wettable microporous sheets from recycled polyethylene (PE) and polypropylene (PP) are presented. The methodology involves the application of phase separation and spin-casting techniques to obtain a bimodal porous structure, facilitating efficient oil–water separation. The resulting sheets have an immediate and equilibrium sorption uptake of 100 and 55 g/g, respectively, due to the presence of micro- and macro-pores, as revealed by SEM. Moreover, sheets possess enhanced crystallinity, as evidenced by XRD; hence, they retain their structure during sorption and desorption and are reusable with 98% efficiency. The anti-wetting properties of the sheets are enhanced by applying a silane coating, ensuring waterless sorption and a contact angle of 140°. These results highlight the importance of implementing sustainable solutions to recycle plastics and mitigate the oil spill problem. Full article
(This article belongs to the Special Issue Polymeric Materials for Water/Wastewater Treatment Applications)
Show Figures

Figure 1

12 pages, 39773 KB  
Article
The Synergistic Effect of Temperature and Loading Rate on Deformation for Thermoplastic Fiber Metal Laminates
by Kai Jin, Shanyong Xuan, Jie Tao and Yujie Chen
Materials 2021, 14(15), 4210; https://doi.org/10.3390/ma14154210 - 28 Jul 2021
Cited by 6 | Viewed by 2475
Abstract
The glass fiber reinforced polypropylene/AA2024 hybrid laminates (short for Al/Gf/PP laminates) as structural materials were prepared and formed by hot pressing. The synergistic effects of temperature and loading speed on the laminate deformation under tensile and bending conditions were investigated and analyzed in [...] Read more.
The glass fiber reinforced polypropylene/AA2024 hybrid laminates (short for Al/Gf/PP laminates) as structural materials were prepared and formed by hot pressing. The synergistic effects of temperature and loading speed on the laminate deformation under tensile and bending conditions were investigated and analyzed in this study. In tension, stress–strain curves presented bimodal types effected by tensile rates and temperatures. The state of PP resin determines the mechanical behavior of the FMLs. The tensile rate has no effect on FML deformation without heating or over the melting point of PP resin (about 170 °C). The softening point of PP resin (about 100 °C) is characteristic temperature. When the temperature exceeds the softening point but does not reach the melting point, the tensile strength and elongation will demonstrate coordinated growth at a relatively high tensile speed. The efficiency of fiber bridging is affected significantly since the resin is the medium that transfers load from the metal to the fiber. Under bending, the curves presented a waterfall decrement with temperature increment. The softening point of resin matrix is the key in a bending process. When the temperature is near the softening point, deformation is sensitive to both the temperature and the loading speed to a certain extent. If temperature is lower than softening point, deformation is mainly guided by temperature. If the temperature is beyond the softening point, loading speed is in a leading position of deformation. The bending strength gradually increases with loading rate. By using these deformation characteristics, the deformation of the thermoplastic laminates can be controlled in stamping or other plastic forming processes for thermoplastic fiber metal laminates. Full article
Show Figures

Figure 1

20 pages, 5770 KB  
Article
Kinetic and Thermal Study of Ethylene and Propylene Homo Polymerization Catalyzed by ansa-Zirconocene Activated with Alkylaluminum/Borate: Effects of Alkylaluminum on Polymerization Kinetics and Polymer Structure
by Amjad Ali, Nadeem Muhammad, Shahid Hussain, Muhammad Imran Jamil, Azim Uddin, Tariq Aziz, Muhammad Khurram Tufail, Yintian Guo, Tiantian Wei, Ghulam Rasool, Zhiqiang Fan and Li Guo
Polymers 2021, 13(2), 268; https://doi.org/10.3390/polym13020268 - 15 Jan 2021
Cited by 32 | Viewed by 6283
Abstract
The kinetics of ethylene and propylene polymerization catalyzed by homogeneous metallocene were investigated using 2-thiophenecarbonyl chloride followed by quenched-flow methods. The studied metallocene catalysts are: rac-Me2Si(2-Me-4-Ph-Ind)2ZrCl2 (Mt-I), rac-Et(Ind)2ZrCl2 (Mt-II) activated with ([Me2 [...] Read more.
The kinetics of ethylene and propylene polymerization catalyzed by homogeneous metallocene were investigated using 2-thiophenecarbonyl chloride followed by quenched-flow methods. The studied metallocene catalysts are: rac-Me2Si(2-Me-4-Ph-Ind)2ZrCl2 (Mt-I), rac-Et(Ind)2ZrCl2 (Mt-II) activated with ([Me2NPh][B(C6F5)4] (Borate-I), [Ph3C][B(C6F5)4] (Borate-II), and were co-catalyzed with different molar ratios of alkylaluminum such as triethylaluminium (TEA) and triisobutylaluminium (TIBA). The change in molecular weight, molecular weight distribution, microstructure and thermal properties of the synthesized polymer are discussed in detail. Interestingly, both Mt-I and Mt-II showed high activity in polyethylene with productivities between 3.17 × 106 g/molMt·h to 5.06 × 106 g/molMt·h, activities were very close to each other with 100% TIBA, but Mt-II/borate-II became more active when TEA was more than 50% in cocatalyst. Similarly, Polypropylene showed the highest activity of 11.07 106 g /molMt·h with Mt-I/Borate-I/TIBA. The effects of alkylaluminum on PE molecular weight were much more complicated; MWD curve changed from mono-modal in Mt-I/borate-I/TIBA to bimodal type when TIBA was replaced by different amounts of TEA. In PE, the active center fractions [C*]/[Zr] of Mt-I/borate were higher than that of Mt-II/borate and average chain propagation rate constant (kp) value slightly decreased with the increase of TEA/TIBA ratio, but the Mt-II/borate systems showed higher kp 1007 kp (L/mol·s). In PP, the Mt-I/borate presented much higher [C*]/[Zr] and kp value than the Mt-II. This work also extend to investigate the mechanistic features of zirconocenes catalyzed olefin polymerizations that addressed the largely unknown issues in zirconocenes in the distribution of the catalyst, between species involved in polymer chain growth and dormant state. In both metallocene systems, chain transfer with alkylaluminum is the dominant way of chain termination. To understand the mechanism of cocatalyst effects on PE Mw and (MWD), the unsaturated chain ends formed via β-H transfer have been investigated by 1H NMR analysis. Full article
(This article belongs to the Section Polymer Chemistry)
Show Figures

Graphical abstract

15 pages, 4262 KB  
Article
New Insights into Crystallization of Heterophasic Isotactic Polypropylene by Fast Scanning Chip Calorimetry
by Daniela Mileva, Jingbo Wang, Markus Gahleitner, Katalee Jariyavidyanont and René Androsch
Polymers 2020, 12(8), 1683; https://doi.org/10.3390/polym12081683 - 28 Jul 2020
Cited by 14 | Viewed by 4134
Abstract
The crystallization kinetics of metallocene-catalyzed heterophasic isotactic polypropylene composed of a matrix of isotactic polypropylene (iPP) and rubbery particles made of random ethylene–propylene copolymers (EPC), often denoted as heterophasic iPP copolymers, was analyzed as a function of the cooling rate and supercooling in [...] Read more.
The crystallization kinetics of metallocene-catalyzed heterophasic isotactic polypropylene composed of a matrix of isotactic polypropylene (iPP) and rubbery particles made of random ethylene–propylene copolymers (EPC), often denoted as heterophasic iPP copolymers, was analyzed as a function of the cooling rate and supercooling in nonisothermal and isothermal crystallization experiments, respectively. Fast scanning chip calorimetry (FSC) allowed assessing crystallization at processing-relevant conditions, and variation of the content (0–39 wt %) and composition (0–35 wt % propylene counits) of the EPC particles revealed qualitatively new insight about mechanisms of heterogeneous crystal nucleation. For neat iPP homopolymer, the characteristic bimodal temperature dependence of the crystallization rate due to predominance of heterogeneous and homogeneous crystal nucleation at high and low temperatures, respectively, is reconfirmed. At high temperatures, in heterophasic iPP, the here studied ethylene-(C2)-rich EPC particles accelerate crystallization of the iPP-matrix, with the acceleration or nucleation efficacy correlating with the EPC-particle content. The crystallization time reduces by more than half in presence of 39 wt % EPC particles. An additional nucleating effect of the EPC particles on iPP-matrix crystallization is detected after their crystallization, suggesting that liquid/rubbery particles are less effective than solid/semicrystalline particles in affecting crystallization of the surrounding iPP-matrix. At low temperature, homogeneous crystal nucleation in the iPP-matrix outpaces all heterogeneous nucleation effects, and the matrix-crystallization rate is independent of the sample composition. The obtained results lead to the conclusion that the crystallization kinetics of iPP can be affected significantly by the content and composition of EPC particles, even towards superfast crystallizing iPP grades. Full article
Show Figures

Figure 1

15 pages, 2982 KB  
Article
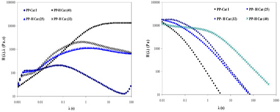
Correlation of Microstructure, Rheological and Morphological Characteristics of Synthesized Polypropylene (PP) Reactor Blends Using Homogeneous Binary Metallocene Catalyst
by Javid Vaezi, Mehdi Nekoomanesh, Hossein Ali Khonakdar, Seyed Hassan Jafari and Alireza Mojarrad
Polymers 2017, 9(3), 75; https://doi.org/10.3390/polym9030075 - 24 Feb 2017
Cited by 5 | Viewed by 5817
Abstract
A novel binary homogeneous catalyst system based on (I): rac-Me2Si(2-Me-4-PhIn)2ZrCl2 and (II): (2-PhIn)2ZrCl2 catalysts at various molar ratios was utilized for the synthesis of polypropylene (PP) reactor blends with bimodal molecular weight distribution (MWD). [...] Read more.
A novel binary homogeneous catalyst system based on (I): rac-Me2Si(2-Me-4-PhIn)2ZrCl2 and (II): (2-PhIn)2ZrCl2 catalysts at various molar ratios was utilized for the synthesis of polypropylene (PP) reactor blends with bimodal molecular weight distribution (MWD). The results of gel permeation chromatography analyses revealed that the catalyst (I) was responsible for the production of i-PP with high molecular weight (MW) while the individual use of catalyst (II) led to the production of an elastomeric PP with relatively low MW. However, application of the binary catalyst system led to high MW bimodal MWD products being highly dependent on the catalysts’ molar ratios. Increasing the molar ratio of catalyst (II) to catalyst (I) resulted in a notable enhancement of the products’ complex viscosity due to the increased MW, a higher level of chains’ entanglements and formation of amorphous blocks along the polymer chains. All products exhibited a single relaxation that shifted towards longer times upon changing the catalysts’ molar ratios. Scanning electron microscopy results revealed that the fracture surface of the blends, synthesized by the binary catalyst system, became more heterogeneous in comparison with the products obtained by the individual use of the catalyst (I). The observed heterogeneity was found to increase by increasing the amount of catalyst (II). Such morphological change was further corroborated by the dynamic rheological data, indicating a promising correlation between the linear rheological results and the morphological features of the synthesized PP reactor blends. Full article
Show Figures

Figure 1

Back to TopTop