Sign in to use this feature.

Years

Between: -

Subjects

remove_circle_outline
remove_circle_outline
remove_circle_outline
remove_circle_outline
remove_circle_outline

Journals

Article Types

Countries / Regions

Search Results (11)

Search Parameters:
Keywords = beampattern matching

Order results
Result details
Results per page
Select all
Export citation of selected articles as:
26 pages, 11056 KB  
Article
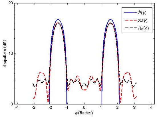
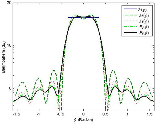
Design of Differential Loudspeaker Line Array for Steerable Frequency-Invariant Beamforming
by Yankai Zhang, Qian Xiang and Qiaoxi Zhu
Sensors 2024, 24(19), 6277; https://doi.org/10.3390/s24196277 - 27 Sep 2024
Cited by 1 | Viewed by 1631
Abstract
Differential beamforming has attracted much research since it can utilize an array with a small aperture size to form frequency-invariant beampatterns and achieve high directional gains. It has recently been applied to the loudspeaker line array to produce a broadside frequency-invariant radiation pattern. [...] Read more.
Differential beamforming has attracted much research since it can utilize an array with a small aperture size to form frequency-invariant beampatterns and achieve high directional gains. It has recently been applied to the loudspeaker line array to produce a broadside frequency-invariant radiation pattern. However, designing steerable frequency-invariant beampatterns for the loudspeaker line array has yet to be explored. This paper proposes a method to design a steerable differential beamformer with a loudspeaker line array. We first determine the target differential beampatterns according to the desired direction, the main lobe width, and the beampattern order. Then, we transform the target beampattern into the modal domain for representation. The Jacobi-Anger expansion is subsequently used to design the beamformer so that the resulting beampattern matches the target differential beampattern. Furthermore, based on the criterion of minimizing the mean square error between the synthesized beampattern and the ideal one, a multi-constraint optimization problem, which compromises between the robustness and the mean square error, is formulated to calculate the optimal desired weighting vector. Simulations and experimental results show that the proposed method can achieve steerable frequency-invariant beamforming from 300 Hz–4 kHz. Full article
(This article belongs to the Special Issue Signal Detection and Processing of Sensor Arrays)
Show Figures

Figure 1

24 pages, 1921 KB  
Article
Perturbation Transmit Beamformer Based Fast Constant Modulus MIMO Radar Waveform Design
by Hao Zheng, Hao Wu, Yinghui Zhang, Junkun Yan, Jian Xu and Yantao Sun
Remote Sens. 2024, 16(16), 2950; https://doi.org/10.3390/rs16162950 - 12 Aug 2024
Cited by 1 | Viewed by 1784
Abstract
In this paper, a fast method to generate a constant-modulus (CM) waveform for a multiple-input, multiple-output, (MIMO) radar is proposed. To simplify the optimization process, the design of the transmit waveform is decoupled from the design of transmit beamformers (TBs) and subpulses. To [...] Read more.
In this paper, a fast method to generate a constant-modulus (CM) waveform for a multiple-input, multiple-output, (MIMO) radar is proposed. To simplify the optimization process, the design of the transmit waveform is decoupled from the design of transmit beamformers (TBs) and subpulses. To further improve the computational efficiency, the TBs’ optimization is conducted in parallel, and a linear programming model is proposed to match the desired beampattern. Additionally, we incorporate the perturbation vectors into the TBs’ optimization so that the TBs can be adjusted to satisfy the CM constraint. To quickly generate the CM subpulses with the desired range-compression (RC) performance, the classical linear frequency modulation (LFM) signal and non-LFM (NLFM) are adopted as subpulses. Meanwhile, to guarantee the RC performance of the final angular waveform, the selection of LFM signal parameters is analyzed to achieve a low cross-correlation between subpulses. Numerical simulations verify the transmit beampattern performance, RC performance, and computational efficiency of the proposed method. Full article
Show Figures

Graphical abstract

22 pages, 6169 KB  
Article
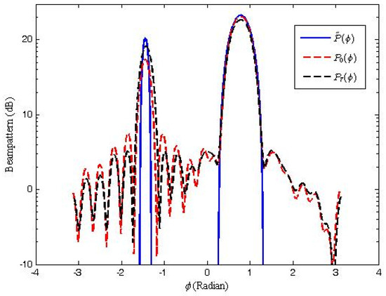
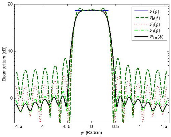
Design of Robust Broadband Frequency-Invariant Broadside Beampatterns for the Differential Loudspeaker Array
by Yankai Zhang, Hongjian Wei and Qiaoxi Zhu
Appl. Sci. 2024, 14(14), 6383; https://doi.org/10.3390/app14146383 - 22 Jul 2024
Cited by 1 | Viewed by 1491
Abstract
The directional loudspeaker array has various applications due to its capability to direct sound generation towards the target listener and reduce noise pollution. Differential beamforming has recently been applied to the loudspeaker line array to produce a broadside frequency-invariant radiation pattern. However, the [...] Read more.
The directional loudspeaker array has various applications due to its capability to direct sound generation towards the target listener and reduce noise pollution. Differential beamforming has recently been applied to the loudspeaker line array to produce a broadside frequency-invariant radiation pattern. However, the existing methods cannot achieve a compromise between robustness and broadband frequency-invariant beampattern preservation. This paper proposed a robust broadband differential beamforming design to allow the loudspeaker line array to radiate broadside frequency-invariant radiation patterns with robustness. Specifically, we propose a method to determine the ideal broadside differential beampattern by combining multiple criteria, namely null positions, maximizing the directivity factor, and achieving a desired beampattern with equal sidelobes. We derive the above ideal broadside differential beampattern into the target beampattern in the modal domain. We propose a robust modal matching method with Tikhonov regularization to optimize the loudspeaker weights in the modal domain. Simulations and experiments show improved frequency-invariant broadside beamforming over the 250–4k Hz frequency range compared with the existing modal matching and null-constrained methods. Full article
(This article belongs to the Special Issue Noise Measurement, Acoustic Signal Processing and Noise Control)
Show Figures

Figure 1

21 pages, 20321 KB  
Article
Spatial–Temporal Joint Design and Optimization of Phase-Coded Waveform for MIMO Radar
by Wei Lei, Yue Zhang, Zengping Chen, Xiaolong Chen and Qiang Song
Remote Sens. 2024, 16(14), 2647; https://doi.org/10.3390/rs16142647 - 19 Jul 2024
Cited by 1 | Viewed by 1487
Abstract
By simultaneously transmitting multiple different waveform signals, a multiple-input multiple-output (MIMO) radar possesses higher degrees of freedom and potential in many aspects compared to a traditional phased-array radar. The spatial–temporal characteristics of waveforms are the key to determining their performance. In this paper, [...] Read more.
By simultaneously transmitting multiple different waveform signals, a multiple-input multiple-output (MIMO) radar possesses higher degrees of freedom and potential in many aspects compared to a traditional phased-array radar. The spatial–temporal characteristics of waveforms are the key to determining their performance. In this paper, a transmitting waveform design method based on spatial–temporal joint (STJ) optimization for a MIMO radar is proposed, where waveforms are designed not only for beam-pattern matching (BPM) but also for minimizing the autocorrelation sidelobes (ACSLs) of the spatial synthesis signals (SSSs) in the directions of interest. Firstly, the STJ model is established, where the two-step strategy and least squares method are utilized for BPM, and the L2p-Norm of the ACSL is constructed as the criterion for temporal characteristics optimization. Secondly, by transforming it into an unconstrained optimization problem about the waveform phase and using the gradient descent (GD) algorithm, the hard, non-convex, high-dimensional, nonlinear optimization problem is solved efficiently. Finally, the method’s effectiveness is verified through numerical simulation. The results show that our method is suitable for both orthogonal and partial-correlation MIMO waveform designs and efficiently achieves better spatial–temporal characteristic performances simultaneously in comparison with existing methods. Full article
(This article belongs to the Special Issue Technical Developments in Radar—Processing and Application)
Show Figures

Graphical abstract

23 pages, 6245 KB  
Article
Unimodular Waveform Design for the DFRC System with Constrained Communication QoS
by Chao Huang, Qingsong Zhou, Zhongrui Huang, Zhihui Li, Yibo Xu and Jianyun Zhang
Remote Sens. 2023, 15(22), 5350; https://doi.org/10.3390/rs15225350 - 13 Nov 2023
Cited by 3 | Viewed by 1914
Abstract
In this study, we investigated two waveform design problems for a dual-functional radar communication (DFRC) system, taking into consideration different constrained communication quality-of-service (QoS) requirements. Our objective was to minimize the mean-square error (MSE) of radar beampattern matching as the cost function. To [...] Read more.
In this study, we investigated two waveform design problems for a dual-functional radar communication (DFRC) system, taking into consideration different constrained communication quality-of-service (QoS) requirements. Our objective was to minimize the mean-square error (MSE) of radar beampattern matching as the cost function. To this end, the multi-user interference (MUI) energy constraint and constructive interference (CI) constraint were, respectively, formulated to ensure the communication QoS. It is important to note that we designed a strict per-user MUI energy constraint at each sampling moment to achieve more accurate control over communication performance. Additionally, we introduced a constant-modulus constraint to optimize the efficiency of the radio frequency (RF) amplifier. To tackle the nonconvex waveform design problems encountered, we employed the alternative direction methods of multipliers (ADMM) technique. This allowed us to decompose the original problem into two solvable subproblems, which were then solved using the majorization–minimization (MM) method and geometrical structure. Finally, we obtained extensive simulation results which demonstrate the effectiveness and superiority of the proposed algorithm. Full article
Show Figures

Graphical abstract

16 pages, 4456 KB  
Article
Calibration of Wideband LFM Radars Based on Sliding Window Algorithm
by Hyungwoo Kim, Jinwoo Kim, Jinha Kim, Jaeyoung Choi, Sangpyo Hong, Nammoon Kim and Byungkwan Kim
Electronics 2023, 12(17), 3564; https://doi.org/10.3390/electronics12173564 - 23 Aug 2023
Cited by 2 | Viewed by 2312
Abstract
This paper addresses the challenges of wideband signal beamforming in radar systems and proposes a new calibration method. Due to operating conditions, the frequency-dependent characteristics of the system can be changed, and the amplitude, phase, and time delay error can be generated. The [...] Read more.
This paper addresses the challenges of wideband signal beamforming in radar systems and proposes a new calibration method. Due to operating conditions, the frequency-dependent characteristics of the system can be changed, and the amplitude, phase, and time delay error can be generated. The proposed method is based on the concept of the sliding window algorithm for linear frequency modulated (LFM) signals. To calibrate the frequency-dependent errors from the transceiver and the time delay error from the true time delay elements, the proposed method utilizes the characteristic of the LFM signal. The LFM signal changes its frequency linearly with time, and the frequency domain characteristics of the hardware are presented in time. Therefore, by applying a matched filter to a part of the LFM signal, the frequency-dependent characteristics can be monitored and calibrated. The proposed method is compared with the conventional matched filter-based calibration results and verified by simulation results and beampatterns. Since the proposed method utilizes LFM signal as the calibration tone, the proposed method can be applied to any beamforming systems, not limited to LFM radars. Full article
(This article belongs to the Topic Radar Signal and Data Processing with Applications)
Show Figures

Figure 1

15 pages, 7449 KB  
Article
Colocated MIMO Radar Waveform-Array Joint Optimization for Sparse Array
by Jinrong Yin, Rui Ma, Mingcong Lin and Shenghua Zhou
Sensors 2023, 23(9), 4375; https://doi.org/10.3390/s23094375 - 28 Apr 2023
Cited by 4 | Viewed by 2174
Abstract
Colocated multiple-input multiple-output (MIMO) radar can transmit a group of distinct waveforms via its colocated transmit antennas and the waveform diversity leads to several advantages in contrast to conventional phased-array radar. The performance depends highly on the degrees available, and element spacing can [...] Read more.
Colocated multiple-input multiple-output (MIMO) radar can transmit a group of distinct waveforms via its colocated transmit antennas and the waveform diversity leads to several advantages in contrast to conventional phased-array radar. The performance depends highly on the degrees available, and element spacing can be deemed as another source of degrees of freedom. In this paper, we study the joint waveform and element spacing optimization problem. A joint waveform and array optimization criterion is proposed to match the transmit beampattern, the suppression range, and the angular sidelobes, under the constraints of minimal element spacing and total array aperture. Meanwhile, the effect of receive beamforming on suppressing mutual correlation between returns from different spatial directions is also incorporated into the optimization criterion. The optimization problem is solved by the sequential quadratic programming algorithm. Numerical results indicate that with more degrees of freedom from array spacings, colocated MIMO radar achieves a better transmit beampattern matching performance and a lower sidelobe level, compared with a fixed half-wavelength spaced array, but the benefits from additional degrees of freedom from array spacing optimization have a limit. Full article
(This article belongs to the Collection Radar, Sonar and Navigation)
Show Figures

Figure 1

19 pages, 434 KB  
Article
MIMO Radar Transmit Waveform Design for Beampattern Matching via Complex Circle Optimization
by Weijie Xiong, Jinfeng Hu, Kai Zhong, Yibao Sun, Xiangqing Xiao and Gangyong Zhu
Remote Sens. 2023, 15(3), 633; https://doi.org/10.3390/rs15030633 - 20 Jan 2023
Cited by 4 | Viewed by 2947
Abstract
In this paper, we study the multiple-input multiple-output (MIMO) radar transmit waveform design method for beampattern matching. The purpose is to design the beampattern to approximate the actual one and minimize the cross-correlation sidelobes under the constant modulus constraint (CMC). Due to the [...] Read more.
In this paper, we study the multiple-input multiple-output (MIMO) radar transmit waveform design method for beampattern matching. The purpose is to design the beampattern to approximate the actual one and minimize the cross-correlation sidelobes under the constant modulus constraint (CMC). Due to the CMC, the problem is non-convex, and the existing methods solve it with relaxation, resulting in performance degradation. Different from these methods, we notice that the CMC is the product of complex circles (CC). Based on this physical characteristic, the direct beampattern matching without relaxation (DBMWR) method is proposed. To be specific, we first formulate the original problem as an unconstrained quartic problem over the CC and then solve it by the proposed method without relaxation. Simulation results show that the proposed method can achieve a balance in terms of accuracy and computation complexity compared with other methods. Full article
(This article belongs to the Special Issue Theory and Applications of MIMO Radar)
Show Figures

Figure 1

12 pages, 1505 KB  
Article
The MIMO Radar Transmit Beampattern Matching Design with Sidelobe Suppression
by Xiaojun Zhang and Zishu He
Electronics 2022, 11(22), 3650; https://doi.org/10.3390/electronics11223650 - 8 Nov 2022
Viewed by 1646
Abstract
In this paper, a novel method termed the cosine approach is proposed to address the sidelobe suppression problem in MIMO radar transmit beampattern matching design. In contrast to the traditional optimization algorithms that try to find the optimum solutions from feasible regions, the [...] Read more.
In this paper, a novel method termed the cosine approach is proposed to address the sidelobe suppression problem in MIMO radar transmit beampattern matching design. In contrast to the traditional optimization algorithms that try to find the optimum solutions from feasible regions, the proposed method, starting from outside the feasible regions, aims to obtain a satisfactory solution from a series of optimal transmit beampatterns. We first standardized the sidelobe suppression problem in MIMO radar transmit beampattern matching design and put forward four criteria to guide the micro-adjustment to the desired beampattern. Then, the cosine method was proposed to adjust the desired beampattern as well as increase the main-to-sidelobe ratio (MSLR) of the transmit beampattern. Finally, several numerical examples were chosen to test the effectiveness and advantages of the proposed method. Full article
Show Figures

Figure 1

14 pages, 2920 KB  
Technical Note
Robust Suppression of Deceptive Jamming with VHF-FDA-MIMO Radar under Multipath Effects
by Yibin Liu, Chunyang Wang, Jian Gong, Ming Tan and Geng Chen
Remote Sens. 2022, 14(4), 942; https://doi.org/10.3390/rs14040942 - 15 Feb 2022
Cited by 15 | Viewed by 2353
Abstract
Frequency diverse array multiple-input multiple-output (FDA-MIMO) radar has received a lot of attention due to the advantages of waveform diversity. Suppression of mainlobe deceptive jamming can be effectively achieved with the degree of freedom (DOF) in the range domain. However, the existing research [...] Read more.
Frequency diverse array multiple-input multiple-output (FDA-MIMO) radar has received a lot of attention due to the advantages of waveform diversity. Suppression of mainlobe deceptive jamming can be effectively achieved with the degree of freedom (DOF) in the range domain. However, the existing research mainly focuses on non-coherent signals. The echo signal of VHF-FDA-MIMO radar for low elevation has its own unique characteristics. False targets cannot be suppressed with conventional beamforming methods. Thus, a signal model for VHF-FDA-MIMO radar subjected to deceptive jamming is established. The reconstruction of the covariance matrix and the estimation of the steering vector are implemented with the generalized MUSIC algorithm. In addition, a matching Capon reconstruction method is proposed to finish the robust suppression of false targets for the problem of self-cancellation in the absence of a priori information. Finally, the beampattern and performance curves of different methods are compared. The simulation results show that the methods can be effectively applied to the suppression of deceptive jamming in VHF-FDA-MIMO radar under the multipath effect. Full article
Show Figures

Figure 1

26 pages, 1382 KB  
Article
Joint Design of the Transmit Beampattern and Angular Waveform for Colocated MIMO Radar under a Constant Modulus Constraint
by Hao Zheng, Bo Jiu, Kang Li and Hongwei Liu
Remote Sens. 2021, 13(17), 3392; https://doi.org/10.3390/rs13173392 - 26 Aug 2021
Cited by 12 | Viewed by 2685
Abstract
In this paper, we investigate the joint design of a transmit beampattern and angular waveform (AW) for colocated multiple-input multiple-output (MIMO) radars. The importance of the AW in the proposed signal processing strategy is first clarified, and then, two optimization models are established, [...] Read more.
In this paper, we investigate the joint design of a transmit beampattern and angular waveform (AW) for colocated multiple-input multiple-output (MIMO) radars. The importance of the AW in the proposed signal processing strategy is first clarified, and then, two optimization models are established, which are aimed at either the power spectral density (PSD) design or the spectral compatibility and similarity design of the AW. There are two main differences between the proposed models and existing models. First, instead of matching a desired template or maximizing the transmit power on specific regions, the transmit beampattern in this paper is optimized to approach several key points, which guarantees the high transmit gain and the flexible adjustment of each beam gain. Second, instead of optimizing the performance of the transmit waveform, only the characteristics of the AW are examined, and they can be constrained quantitatively according to their relationship with the transmit gain. The two models can be unified into the same framework, and an efficient algorithm is proposed to solve the problem under a constant modulus constraint. The convergence of the proposed algorithm is demonstrated, and some improvements to reduce the computational complexity are proposed. Numerical simulations showed that compared to the existing methods, the proposed approach can be used to obtain a higher transmit gain, flexibly adjust each beam gain, and more accurately control the PSD, spectral compatibility, and similarity of the AW. Moreover, numerical simulations showed that, compared to the use of existing methods, the proposed algorithm has higher computational efficiency. Full article
Show Figures

Figure 1

Back to TopTop