Sign in to use this feature.

Years

Between: -

Subjects

remove_circle_outline
remove_circle_outline
remove_circle_outline
remove_circle_outline
remove_circle_outline
remove_circle_outline
remove_circle_outline

Journals

Article Types

Countries / Regions

Search Results (16)

Search Parameters:
Keywords = atypical anorexia nervosa

Order results
Result details
Results per page
Select all
Export citation of selected articles as:
14 pages, 751 KB  
Review
From ARFID to Binge Eating: A Review of the Sensory, Behavioral, and Gut–Brain Axis Mechanisms Driving Co-Occurring Eating Disorders in Children and Adolescents with Autism Spectrum Disorder
by Marta Kopańska, Izabela Łucka, Maria Siegel, Julia Trojniak and Maria Pąchalska
Nutrients 2025, 17(23), 3714; https://doi.org/10.3390/nu17233714 - 26 Nov 2025
Viewed by 1149
Abstract
Background: Autism spectrum disorder (ASD) constitutes a heterogeneous neurodevelopmental condition frequently accompanied by considerable disturbances in feeding behavior and nutritional balance. These difficulties arise from complex and multifactorial mechanisms, exerting a significant impact on physical health, metabolic homeostasis, and psychosocial functioning. The present [...] Read more.
Background: Autism spectrum disorder (ASD) constitutes a heterogeneous neurodevelopmental condition frequently accompanied by considerable disturbances in feeding behavior and nutritional balance. These difficulties arise from complex and multifactorial mechanisms, exerting a significant impact on physical health, metabolic homeostasis, and psychosocial functioning. The present review aims to provide a critical synthesis of current evidence regarding the underlying biological and behavioral mechanisms of feeding difficulties in ASD and to delineate the spectrum of comorbid eating disorders within this population. Methods: A narrative review of the peer-reviewed scientific literature was undertaken, emphasizing studies investigating the interrelationship between ASD and nutritional functioning in pediatric and adolescent populations. Particular focus was placed on research exploring sensory processing abnormalities, gut microbiota alterations, and the clinical manifestation of eating disorders in individuals with ASD. Results: The analysis revealed that sensory hypersensitivity, behavioral inflexibility, and disturbances within the gut–brain axis constitute principal determinants of atypical eating patterns in ASD. Individuals on the autism spectrum frequently exhibit pronounced food selectivity, neophobia, and symptoms consistent with Avoidant/Restrictive Food Intake Disorder (ARFID). Furthermore, an increased prevalence of anorexia nervosa and orthorexia nervosa has been documented, likely reflecting shared cognitive and behavioral features with ASD. “Emotional eating” tendencies and a marked preference for high-caloric, energy-dense foods—often potentiated by psychopharmacological treatment and reduced physical activity—further contribute to an elevated risk of overweight and obesity. Conclusions: Children and adolescents with ASD display a bimodal distribution of body mass, encompassing both undernutrition and obesity, indicative of a multifaceted interplay among sensory, behavioral, cognitive, and metabolic determinants. A comprehensive understanding of this heterogeneity is crucial for the development of individualized, evidence-based interventions integrating nutritional management with behavioral and psychotherapeutic approaches. Full article
Show Figures

Graphical abstract

16 pages, 365 KB  
Article
Sex-Specific Differences in Antidepressant and Antipsychotic Treatment Outcomes and Serum Levels in Children and Adolescents
by Maike Scherf-Clavel, Stefanie Fekete, Manfred Gerlach, Christoph U. Correll, Paul Plener, Jörg M. Fegert, Andreas Karwautz, Peter Heuschmann, Tobias Banaschewski, Wolfgang Briegel, Christian Fleischhaker, Tobias Hellenschmidt, Hartmut Imgart, Michael Kaess, Michael Kölch, Karl Reitzle, Tobias J. Renner, Christian Rexroth, Gerd Schulte-Körne, Frank Theisen, Susanne Walitza, Christoph Wewetzer, Franca Keicher, Stefan Unterecker, Sebastian Walther, Marcel Romanos, Karin M. Egberts, Timo Vloet and Regina Taurinesadd Show full author list remove Hide full author list
Pharmaceutics 2025, 17(8), 983; https://doi.org/10.3390/pharmaceutics17080983 - 30 Jul 2025
Viewed by 1305
Abstract
Introduction: Sex-specific differences in psychopharmacological treatment have gained increasing attention in adults, with studies showing that women often have higher serum concentrations of psychotropic drugs due to biological differences. However, despite recognition of these differences in adults, reference ranges for therapeutic drug monitoring [...] Read more.
Introduction: Sex-specific differences in psychopharmacological treatment have gained increasing attention in adults, with studies showing that women often have higher serum concentrations of psychotropic drugs due to biological differences. However, despite recognition of these differences in adults, reference ranges for therapeutic drug monitoring (TDM) in general, but even more sex-specific therapeutic windows for psychotropic drugs, are lacking in children and adolescents, who may metabolize and respond to medications differently. Aim: The study aimed to investigate sex-specific differences in antidepressant (AD) and antipsychotic (AP) -treatment outcomes, and pharmacokinetics in childhood/adolescence. In particular, we examined differences in AD and AP serum levels and clinical effects, including adverse drug effects (ADEs) and therapeutic effectiveness. Methods: This study is part of the multicenter “TDM-VIGIL” pharmacovigilance project, which prospectively followed patients aged 6–18 years treated with AD and AP across 18 child psychiatric centers in German-speaking countries from 2014 to 2018. Clinical data, including drug concentrations (AD: fluoxetine, mirtazapine, (es)citalopram, sertraline; AP: aripiprazole, quetiapine, olanzapine, risperidone), were collected using an internet-based registry, and treatment outcomes and ADEs were assessed during routine visits. Statistical analyses were performed to examine sex differences in pharmacokinetics and clinical responses, adjusting for age, weight, and other confounders. Results: A total of 705 patients (66.5% girls, 24.7% <14 years, mean age of 14.6 years) were included. Female patients were slightly older, had lower body weight, and were more often diagnosed with depression and anorexia nervosa, while boys were more frequently diagnosed with hyperkinetic disorders and atypical autism. We found no sex differences in the serum concentrations of investigated drugs when adjusted for age and weight. In fluoxetine treatment in patients diagnosed with mood (affective) disorders, female sex was associated with the probability for very good therapy response (p = 0.04), as well as with moderate treatment response (p = 0.02) compared to no treatment response. Discussion: Our findings suggest that sex may not affect serum levels of investigated AD and AP in children/adolescents. However, treatment outcome of fluoxetine was associated with sex, with higher probability for a better outcome in female patients diagnosed with mood (affective) disorders. Full article
Show Figures

Figure 1

9 pages, 207 KB  
Article
Passiflora Incarnata L. Herba in the Treatment of Anxiety Symptoms and Insomnia in Children and Adolescents with Feeding and Eating Disorders
by Angela La Tempa, Giulia Ferraiuolo, Beatrice Pranzetti, Jacopo Pruccoli and Antonia Parmeggiani
Adolescents 2025, 5(2), 24; https://doi.org/10.3390/adolescents5020024 - 5 Jun 2025
Cited by 1 | Viewed by 10226
Abstract
Background: Feeding and Eating Disorders (FEDs) are severe mental health conditions often emerging during childhood or adolescence, with rising prevalence. They are frequently associated with psychiatric and organic comorbidities, including anxiety symptoms and insomnia. Phytotherapy, particularly Passiflora incarnata L. Herba, has been [...] Read more.
Background: Feeding and Eating Disorders (FEDs) are severe mental health conditions often emerging during childhood or adolescence, with rising prevalence. They are frequently associated with psychiatric and organic comorbidities, including anxiety symptoms and insomnia. Phytotherapy, particularly Passiflora incarnata L. Herba, has been suggested as a potential treatment option for anxiety and insomnia in youth. Methods: this is an observational and retrospective study that includes patients assessed in a third-level Italian Regional Centre for Feeding and Eating Disorders in Children and Adolescents between 1 January 2020 and 31 December 2023. Eligible patients had a confirmed diagnosis of a FED, along with either an anxiety or a sleep disorder. During follow-up, the clinical efficacy of Passiflora incarnata L. Herba was assessed using the Clinical Global Impression–Improvement scale (CGI-I). Comparative analyses were conducted by stratifying the sample based on the target symptoms (sleep disorders/insomnia and anxiety), FED subtype, and whether polytherapy was used. Results: this study includes 94 patients, with most diagnosed with anorexia nervosa (71.3%). Passiflora incarnata L. Herba was administered at a dosage of 200 mg (1–2 tablets for day). It was often combined with selective serotonin reuptake inhibitors (SSRIs) (56.5%), atypical antipsychotics (27.7%), or benzodiazepines (7.4%). Treatment was initiated for anxiety symptoms (75.5%) or insomnia (28.7%). No side effects were reported. Among patients with specific outcome data, 53.3% reported improvements in anxiety symptoms, and 45.4% reported improvements in insomnia. Conclusions: this is the first study to evaluate the use of Passiflora incarnata L. Herba for anxiety and insomnia in children and adolescents with FEDs. Our findings suggest that Passiflora incarnata L. Herba may serve as a well-tolerated adjunctive treatment, showing symptomatic improvement in up to 53% of the patients with data on treatment outcomes. Notably, 53.3% and 45.4% of participants, with specific outcome data, reported reduced anxiety and insomnia symptoms, respectively. Given its excellent safety profile and preliminary efficacy, Passiflora incarnata L. Herba may represent a promising alternative for patients with mild symptoms or for caregivers hesitant about conventional pharmacotherapy. Full article
39 pages, 1812 KB  
Review
Enteral Tube Nutrition in Anorexia Nervosa and Atypical Anorexia Nervosa and Outcomes: A Systematic Scoping Review
by Namrata Dhopatkar, Johanna L. Keeler, Davide Gravina, Jacinda Gower, Hiba Mutwalli, Sevgi Bektas, Sarah J. Fuller, Hubertus Himmerich and Janet Treasure
Nutrients 2025, 17(3), 425; https://doi.org/10.3390/nu17030425 - 24 Jan 2025
Cited by 1 | Viewed by 4614
Abstract
Background: Anorexia nervosa and atypical anorexia nervosa require refeeding as a core part of their treatment, and enteral tube nutrition (ETN) may be needed in some individuals either to supplement or replace oral nutrition. This scoping review aimed to explore outcomes associated [...] Read more.
Background: Anorexia nervosa and atypical anorexia nervosa require refeeding as a core part of their treatment, and enteral tube nutrition (ETN) may be needed in some individuals either to supplement or replace oral nutrition. This scoping review aimed to explore outcomes associated with phases of ETN, including initial nutrition, transition from enteral nutrition to oral intake, and to overall nutrition; Methods: The Preferred Reporting Items for Systematic Reviews and Meta-Analyses extension for scoping reviews checklist was used. A systematic search was performed using the Ovid and the Web of Science databases, using relevant search terms identifying 37 studies to be included in the review. Quantitative and qualitative data were synthesised and presented; Results: ETN resulted in similar or higher weight gain than oral nutrition. Refeeding syndrome parameters were comparable between ETN and oral nutrition with some indication that prophylactic phosphate supported mitigation of hypophosphataemia. Global psychological parameters related to the eating disorder improved with nutrition; however, there was an indication that weight and shape concerns did not improve during this period. There was a lack of evidence related to transition from ETN to oral intake. Qualitative data indicated meanings attached to the tube, suggesting that additional support may be needed for the transition away from the tube. Furthermore, consideration may be required to support individuals in mitigating trauma related to ETN under restraint; Conclusions: ETN, when required, is a viable alternative to oral intake. Results indicated the need for further research, especially in the transition from ETN to oral intake with regard to strategies of transition and support, and outcomes related to these strategies. Full article
(This article belongs to the Special Issue Eating and Mental Health Disorders)
Show Figures

Figure 1

12 pages, 474 KB  
Article
Autism Spectrum Disorder Traits Predict Interoceptive Deficits and Eating Disorder Symptomatology in Children and Adolescents with Anorexia Nervosa—A Cross-Sectional Analysis: Italian Preliminary Data
by Maria Califano, Jacopo Pruccoli, Melania Martucci, Caterina Visconti, Emma Barasciutti, Carla Sogos and Antonia Parmeggiani
Pediatr. Rep. 2024, 16(4), 1077-1088; https://doi.org/10.3390/pediatric16040092 - 5 Dec 2024
Cited by 5 | Viewed by 2648
Abstract
Background: Anorexia Nervosa (AN) is a severe Feeding and Eating Disorder (FED) that is more prevalent in females, often manifesting during adolescence. Recent research highlights an elevated presence of comorbid Autism Spectrum Disorder (ASD) traits among individuals with AN, with specific expressions in [...] Read more.
Background: Anorexia Nervosa (AN) is a severe Feeding and Eating Disorder (FED) that is more prevalent in females, often manifesting during adolescence. Recent research highlights an elevated presence of comorbid Autism Spectrum Disorder (ASD) traits among individuals with AN, with specific expressions in females accounting for sensorial and interoceptive experiences. This study retrospectively explores the association between ASD traits, eating symptomatology, and interoceptive deficits in Italian female adolescents with AN. Methods: A retrospective evaluation of female AN/Atypical AN patients (n = 52) aged 13–17 years was conducted at two university pediatric hospitals in Italy. The participants underwent neuropsychiatric assessments, including the Autism Diagnostic Observation Schedule-Second Edition (ADOS-2), and measurement of ASD traits with the Autism-spectrum quotient (AQ), camouflaging ASD traits Questionnaire (CAT-Q), Toronto Alexithymia Scale (TAS-20), and FED-symptomatology-related measures. Results: Overall, 9.6% of the participants exhibited an ADOS-2 clinical impression consistent with ASD. Higher scores in AQ and CAT-Q revealed ASD traits and camouflaging strategies. The interoceptive deficits positively correlated with the ASD traits, alexithymia, and camouflage, and TAS—Difficulty Identifying Feelings emerged as the sole predictor for interoceptive deficits. Discussion: This Italian study preliminarily underscores the importance of recognizing ASD traits in the AN population, emphasizing early intervention strategies. The intersection of alexithymia and interoceptive deficits emerges as a crucial nexus between ASD and AN, with potential therapeutic implications. Full article
(This article belongs to the Special Issue Mental Health and Psychiatric Disorders of Children and Adolescents)
Show Figures

Figure 1

15 pages, 673 KB  
Systematic Review
Psychopathological and Organic Features of Atypical Anorexia Nervosa in Developmental Age: A Systematic Review
by Jacopo Pruccoli, Francesca Chiavarino, Beatrice Valeriani, Maria Letizia Petio and Antonia Parmeggiani
Pediatr. Rep. 2024, 16(3), 579-593; https://doi.org/10.3390/pediatric16030049 - 16 Jul 2024
Cited by 4 | Viewed by 3337
Abstract
Purpose: This study aimed to comprehensively report the epidemiological and clinical features of atypical anorexia nervosa (AAN) in children and adolescents. Methods: In May 2024, a systematic review was performed using Medline, Cochrane Library, ClinicalTrials.gov, and relevant websites. Following PRISMA guidelines, 234 articles [...] Read more.
Purpose: This study aimed to comprehensively report the epidemiological and clinical features of atypical anorexia nervosa (AAN) in children and adolescents. Methods: In May 2024, a systematic review was performed using Medline, Cochrane Library, ClinicalTrials.gov, and relevant websites. Following PRISMA guidelines, 234 articles were screened for studies on DSM-5-defined AAN. A standardized checklist—the JBI critical appraisal tool—was adopted in assessing methodology, and 13 retained studies passed the screening and critical appraisal process for the final review. The Newcastle–Ottawa Scale was utilized to assess the risk of bias in cohort and case–control studies, ensuring a comprehensive evaluation of methodological quality. Results: AAN prevalence in young age groups is 2.8%, with a cumulative 2.8% incidence over 8 years. Incidence is 366 per 100,000 person-years, and the average episode duration is 11.6 months, with a 71% remission rate. Diagnostic persistence for AAN is less stable than other restrictive feeding and eating disorders (FEDs). AAN individuals exhibit higher EDE-Q scores, more severe distress, and distinct BMI differences compared to those with anorexia nervosa and controls. The diagnostic transition from the DSM-IV to the DSM-5 shows that AAN patients are predominantly female, slightly older, and with higher weight. Conclusions: This study yields concrete insights into the features of AAN in the developmental age, highlighting demographic variations, clinical presentations, and treatment outcomes. Recognizing the unique challenges faced by AAN individuals is vital for tailoring effective interventions and improving overall care within the FED spectrum. Full article
(This article belongs to the Section Pediatric Psychology)
Show Figures

Figure 1

11 pages, 1297 KB  
Article
Nutritional Assessment of Children and Adolescents with Atypical Anorexia Nervosa: A Preliminary Longitudinal Investigation Using the 24-h Dietary Recall
by Beatrice Valeriani, Jacopo Pruccoli, Francesca Chiavarino, Maria Letizia Petio and Antonia Parmeggiani
Children 2024, 11(4), 427; https://doi.org/10.3390/children11040427 - 3 Apr 2024
Cited by 2 | Viewed by 3015
Abstract
Background: Atypical Anorexia Nervosa (AAN) is a Feeding and Eating Disorder characterized by fear of gaining weight and body image disturbance, in the absence of significantly low body weight. AAN may present specific clinical and psychopathological features. Nonetheless, the literature lacks data concerning [...] Read more.
Background: Atypical Anorexia Nervosa (AAN) is a Feeding and Eating Disorder characterized by fear of gaining weight and body image disturbance, in the absence of significantly low body weight. AAN may present specific clinical and psychopathological features. Nonetheless, the literature lacks data concerning the nutritional characteristics and body composition of children and adolescents with AAN and their variation over time. Methods: Case series, including 17 children and adolescents with AAN. All the patients were assessed at the first evaluation (T0) with a standardized dietary assessment (24 h Dietary Recall, 24 hDR). Nutritional data were compared with European dietary reference values (DRVs). Body composition parameters (weight, fat mass, fat-free mass) and their changes over time at two (T1) and six (T2) months were collected as well, using a Bioelectrical impedance analysis (Wunder WBA300 with four poles and foot contact; impedance frequency 50 kHz 500 μA; impedance measurement range 200~1000 Ω/0.1 Ω). Results: The included individuals presented eating behaviors oriented towards significantly low daily energy intake (p < 0.001) compared with DRVs set by the European Food Safety Authority (EFSA) (with low carbohydrates and fats), and increased proteins (p < 0.001). A longer latency before observation (illness duration before observation) correlated with a negative change in weight. Body composition parameters were described, with no significant changes across the six-month outpatient assessment. Discussion: This is the first research to systematically assess the body composition and nutritional features of a group of individuals with AAN in the developmental age. Further research should assess the effect of targeted treatment interventions on body composition and nutritional features. Full article
(This article belongs to the Special Issue Updates on Child Neuropsychiatry)
Show Figures

Figure 1

13 pages, 491 KB  
Article
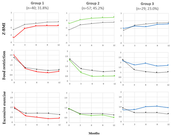
Recovery Trajectories in Adolescent Girls with Anorexia Nervosa
by Alexandra Bédard, Catherine Bernard, Dominique Meilleur, Danielle Taddeo, Caroline Pesant, Giuseppina Di Meglio, Nathalie Gingras, Isabelle Thibault, Holly Agostino, Richard Bélanger, Pierre-Olivier Nadeau, Jean-Yves Frappier, Chantal Stheneur, Laurie Dufresne and Catherine Bégin
J. Clin. Med. 2024, 13(3), 778; https://doi.org/10.3390/jcm13030778 - 29 Jan 2024
Cited by 3 | Viewed by 3469
Abstract
Background: This study aimed to document recovery trajectories among adolescents with anorexia nervosa (AN) based on three markers of remission, namely changes in body weight, food restriction, and excessive exercise, and to identify predictors of these trajectories. Methods: One hundred twenty-six adolescent girls [...] Read more.
Background: This study aimed to document recovery trajectories among adolescents with anorexia nervosa (AN) based on three markers of remission, namely changes in body weight, food restriction, and excessive exercise, and to identify predictors of these trajectories. Methods: One hundred twenty-six adolescent girls (14.7 ± 1.3 years) were recruited during initial assessment visits at specialized eating disorder (ED) programs in five University Health Centers across the province of Quebec, Canada. z-BMI and AN symptom severity (food restriction and excessive exercise) were assessed at initial assessment visits and subsequently reassessed at each quarterly follow-up over a 12-month period to identify recovery trajectories. Results: Considering the three markers of remission, three distinct trajectories emerged: Group 1, rapid responders; Group 2, gradual responders; and Group 3, unstable responders. At initial visits, a difference between groups was found regarding the type of treatment (p = 0.01) and weight suppression (p = 0.02). Group 1 had a higher number of youths hospitalized than Group 2 and Group 3, and a greater weight suppression than Group 3. Furthermore, individuals with atypical AN were more likely to belong to Group 2 than to Group 1 and Group 3 (p < 0.0001). Conclusions: This study contributes to a better understanding of the heterogeneity of recovery trajectories in adolescent girls with AN. Full article
(This article belongs to the Section Clinical Neurology)
Show Figures

Figure 1

15 pages, 768 KB  
Article
Bone Density, Geometry, Structure and Strength Estimates in Adolescent and Young Adult Women with Atypical Anorexia Nervosa versus Typical Anorexia Nervosa and Normal-Weight Healthy Controls
by Shubhangi Tuli, Vibha Singhal, Meghan Slattery, Nupur Gupta, Kathryn S. Brigham, Jennifer Rosenblum, Seda Ebrahimi, Kamryn T. Eddy, Karen K. Miller and Madhusmita Misra
Nutrients 2023, 15(18), 3946; https://doi.org/10.3390/nu15183946 - 12 Sep 2023
Cited by 1 | Viewed by 2749
Abstract
Our objective was to characterize bone outcomes in adolescent and young adult women with atypical anorexia nervosa (AAN) compared to typical AN and normal-weight healthy controls (HC) based on DSM-5 criteria. Four hundred thirty-two participants (141 AN, 131 AAN and 160 HC), ages [...] Read more.
Our objective was to characterize bone outcomes in adolescent and young adult women with atypical anorexia nervosa (AAN) compared to typical AN and normal-weight healthy controls (HC) based on DSM-5 criteria. Four hundred thirty-two participants (141 AN, 131 AAN and 160 HC), ages 12–21 years, underwent dual-energy X-ray absorptiometry for areal BMD, and a subset had high-resolution peripheral quantitative CT assessment of the distal radius and tibia for volumetric BMD (vBMD), bone geometry and microarchitecture, and microfinite element analysis for estimated strength. The groups did not differ for age, pubertal stage, menarcheal age or physical activity. BMI and bone outcomes overall were intermediate in AAN compared with AN and HC. This applied to spine, total hip and femoral neck BMD measures and many distal tibial measures. However, the mean whole-body less head BMD Z-score did not differ between AAN and AN, and it was lower in both vs. HC. Similarly, many distal radius measures did not differ between AAN vs. AN or HC but were lower in AN than HC. Lower BMI, lean mass and bone age, older menarcheal age and longer illness duration correlated with greater impairment of bone outcomes. These data indicate that individuals with AAN overall have bone outcomes that are intermediate between AN and HC. Full article
(This article belongs to the Section Nutrition and Obesity)
Show Figures

Figure 1

12 pages, 839 KB  
Article
Psychopathological Profile Associated with Food Addiction Symptoms in Adolescents with Eating Disorders
by Michela Criscuolo, Giulia Cinelli, Ileana Croci, Ilenia Chianello, Anna Maria Caramadre, Alberto Eugenio Tozzi and Valeria Zanna
Int. J. Environ. Res. Public Health 2023, 20(4), 3014; https://doi.org/10.3390/ijerph20043014 - 9 Feb 2023
Cited by 3 | Viewed by 2933
Abstract
Eating disorders are considered one of the psychiatric disorders with a higher risk of death. Food addiction, related to some food addictive-like behaviours, is often in comorbidity with eating disorders and is associated with worse psychopathology. The present study aims to outline the [...] Read more.
Eating disorders are considered one of the psychiatric disorders with a higher risk of death. Food addiction, related to some food addictive-like behaviours, is often in comorbidity with eating disorders and is associated with worse psychopathology. The present study aims to outline the food addiction profile, investigated using the Yale Food Addiction Scale 2.0 (YFAS 2.0), in 122 adolescents (median age: 15.6 years) suffering from eating disorders and to investigate its association with psychopathology. Patients filled out the Youth Self Report, the Multidimensional Anxiety Scale for Children 2, The Children Depression Inventory 2, and the Eating Disorder Inventory 3 (EDI-3). Pearson’s chi-square test and multiple correspondence analysis were used to identify profiles. The mean symptom count was 2.8 ± 2.7. The “withdrawal” symptom was the most frequent (51%) and the most associated with clinical scores. The diagnosis of bulimia nervosa and the EDI-3 bulimia scale resulted to be the only variables to be associated with positive YFAS 2.0 symptoms. Conversely, anorexia nervosa, restrictive and atypical, was not associated with YFAS 2.0 symptoms. In conclusion, outlining the food addiction profile of eating disorders may give information about a patient’s phenotype and could help to identify specific treatment models. Full article
Show Figures

Figure 1

13 pages, 304 KB  
Review
Atypical Anorexia in Youth: Cautiously Bridging the Treatment Gap
by Melissa Freizinger, Michelle Recto, Grace Jhe and Jessica Lin
Children 2022, 9(6), 837; https://doi.org/10.3390/children9060837 - 5 Jun 2022
Cited by 19 | Viewed by 7228
Abstract
Atypical anorexia nervosa (AAN) is a restrictive eating disorder (ED) that describes individuals who may be normal weighted or overweight; many have a premorbid history of obesity. Pediatric care providers are trained to identify and provide best practices for youth with pediatric obesity; [...] Read more.
Atypical anorexia nervosa (AAN) is a restrictive eating disorder (ED) that describes individuals who may be normal weighted or overweight; many have a premorbid history of obesity. Pediatric care providers are trained to identify and provide best practices for youth with pediatric obesity; however, most pediatric care providers are not trained to assess and treat restrictive EDs which typically present in youth aged 10 and 14 years. Although individuals with AAN may appear to be within a ‘healthy weight’, many experience malnutrition, psychological symptoms, and severe physiological complications after weight loss. These individuals are presenting to pediatric services at an increasing rate and exhibit acute medical instability along with severe ED psychopathology. One complicating factor is youth with AAN may take longer to be identified by pediatric providers and may be reluctant to engage in treatment. Delayed treatment for AAN, along with all EDs often results in poorer treatment outcomes. A greater understanding of this complex illness is essential to inform medical decisions, such as labs, vitals, hospital admissions, and psychological therapy. Currently, there are no standardized guidelines for treating AAN in youths. This review is designed to present evidence-based treatment to inform and guide best treatment practices. Full article
(This article belongs to the Special Issue New Frontiers in Adolescent Health and Development)
12 pages, 1126 KB  
Article
Eating Disorder Day Programs: Is There a Best Format?
by Ertimiss Eshkevari, Isabella Ferraro, Andrew McGregor and Tracey Wade
Nutrients 2022, 14(4), 879; https://doi.org/10.3390/nu14040879 - 19 Feb 2022
Cited by 6 | Viewed by 5247
Abstract
The use of a Day Program (DP) format (i.e., intensive daily treatment with no overnight admission) has been shown to be an effective treatment for eating disorders (EDs). The disadvantages, however, include higher cost than outpatient treatment (including costs of meals and staff), [...] Read more.
The use of a Day Program (DP) format (i.e., intensive daily treatment with no overnight admission) has been shown to be an effective treatment for eating disorders (EDs). The disadvantages, however, include higher cost than outpatient treatment (including costs of meals and staff), greater disruption to patients’ lives, and the use of a highly structured and strict schedule that may interrupt the development of patients’ autonomy in taking responsibility for their recovery. This study investigated whether reducing costs of a DP and the disruption to patients’ lives, and increasing opportunity to develop autonomy, impacted clinical outcomes. Three sequential DP formats were compared in the current study: Format 1 was the most expensive (provision of supported dinners three times/week and extended staff hours); Format 2 included only one dinner/week and provision of a take-home meal. Both formats gave greater support to patients who were not progressing well (i.e., extended admission and extensive support from staff when experiencing feelings of suicidality or self-harm). Format 3 did not provide this greater support but established pre-determined admission lengths and required the patient to step out of the program temporarily when feeling suicidal. Fifty-six patients were included in the analyses: 45% were underweight (body mass index (BMI) < 18.5), 96.4% were female, 63% were given a primary diagnosis of anorexia nervosa (or atypical anorexia nervosa), and mean age was 25.57 years. Clinical outcomes were assessed using self-reported measures of disordered eating, psychosocial impairment, and negative mood, but BMI was recorded by staff. Over admission, 4- and 8-week post-admission, and discharge there were no significant differences between any of the clinical outcomes across the three formats. We can tentatively conclude that decreasing costs and increasing the opportunities for autonomy did not negatively impact patient outcomes, but future research should seek to replicate these results in other and larger populations that allow conclusions to be drawn for different eating disorder diagnostic groups. Full article
Show Figures

Figure 1

7 pages, 227 KB  
Article
Adjunctive Clotiapine for the Management of Delusions in Two Adolescents with Anorexia Nervosa
by Jacopo Pruccoli, Giulia Joy Leone, Cristina Di Sarno, Luigi Vetri, Giuseppe Quatrosi, Michele Roccella and Antonia Parmeggiani
Behav. Sci. 2021, 11(12), 173; https://doi.org/10.3390/bs11120173 - 10 Dec 2021
Cited by 2 | Viewed by 3209
Abstract
Clotiapine is an atypical antipsychotic indicated for the management of a series of acute psychotic disorders. The current literature lacks evidence concerning the tolerability and clinical use of this drug in the management of individuals with anorexia nervosa (AN). In this study, we [...] Read more.
Clotiapine is an atypical antipsychotic indicated for the management of a series of acute psychotic disorders. The current literature lacks evidence concerning the tolerability and clinical use of this drug in the management of individuals with anorexia nervosa (AN). In this study, we report two cases of adolescents with AN, treated with clotiapine. The reason for the administration of clotiapine was, for both patients, the manifestation of bizarre delusions concerning food and calories. Patient 1 presented a presyncope after the first dose of clotiapine, and treatment was rapidly discontinued. Patient 2 was treated with clotiapine for 9 months; doses were titrated from 20 mg/day to 70 mg/day, with an improvement in the reported delusions, which also enhanced compliance with psychological and nutritional interventions. EKG, QTc, white blood count, and red blood count were not relevantly influenced by the introduction of clotiapine in either patient. No extrapyramidal effect was documented. These reports stress the need for further studies assessing the tolerability and potential effect of clotiapine in treating adolescents with AN and delusional symptomatology. Full article
21 pages, 659 KB  
Review
Ketamine as a Treatment for Anorexia Nervosa: A Narrative Review
by Johanna Louise Keeler, Janet Treasure, Mario F. Juruena, Carol Kan and Hubertus Himmerich
Nutrients 2021, 13(11), 4158; https://doi.org/10.3390/nu13114158 - 20 Nov 2021
Cited by 36 | Viewed by 13042
Abstract
Anorexia nervosa (AN) is a highly complex disorder to treat, especially in severe and enduring cases. Whilst the precise aetiology of the disorder is uncertain, malnutrition and weight loss can contribute to reductions in grey and white matter of the brain, impairments in [...] Read more.
Anorexia nervosa (AN) is a highly complex disorder to treat, especially in severe and enduring cases. Whilst the precise aetiology of the disorder is uncertain, malnutrition and weight loss can contribute to reductions in grey and white matter of the brain, impairments in neuroplasticity and neurogenesis and difficulties with cognitive flexibility, memory and learning. Depression is highly comorbid in AN and may be a barrier to recovery. However, traditional antidepressants are often ineffective in alleviating depressive symptoms in underweight patients with AN. There is an urgent need for new treatment approaches for AN. This review gives a conceptual overview for the treatment of AN with ketamine. Ketamine has rapid antidepressant effects, which are hypothesised to occur via increases in glutamate, with sequelae including increased neuroplasticity, neurogenesis and synaptogenesis. This article provides an overview of the use of ketamine for common psychiatric comorbidities of AN and discusses particular safety concerns and side effects. Potential avenues for future research and specific methodological considerations are explored. Overall, there appears to be ample theoretical background, via several potential mechanisms, that warrant the exploration of ketamine as a treatment for adults with AN. Full article
(This article belongs to the Special Issue Eating Disorders and Obesity: Through the Life Course)
Show Figures

Graphical abstract

11 pages, 557 KB  
Article
Timing of Psychopharmacological and Nutritional Interventions in the Inpatient Treatment of Anorexia Nervosa: An Observational Study
by Jacopo Pruccoli, Martina Pelusi, Giorgia Romagnoli, Elisabetta Malaspina, Filomena Moscano and Antonia Parmeggiani
Brain Sci. 2021, 11(9), 1242; https://doi.org/10.3390/brainsci11091242 - 19 Sep 2021
Cited by 11 | Viewed by 3830
Abstract
This study aims to investigate possible different outcomes in the inpatient treatment of anorexia nervosa (AN) related to different timings of psychopharmacological and nutritional interventions. A retrospective observational study was conducted, involving young patients hospitalized for AN, treated with naso-gastric tube feeding (NGT). [...] Read more.
This study aims to investigate possible different outcomes in the inpatient treatment of anorexia nervosa (AN) related to different timings of psychopharmacological and nutritional interventions. A retrospective observational study was conducted, involving young patients hospitalized for AN, treated with naso-gastric tube feeding (NGT). Participants were divided into five groups according to early (0–7 days) or late (8+ days) introduction of atypical antipsychotics (AAP) and NGT: early AAP-early NGT (EE), early AAP-late NGT (EL), late AAP-early NGT (LE), late AAP-late NGT (LL) and a control group treated with NGT only (NGT). Concurrent clinical and treatment variables were analyzed. AN psychopathology was measured with the Eating Disorder Inventory-3 (EDI-3) EDRC score. Outcomes were assessed as admission-discharge body-mass index (BMI) improvement and length of hospital stay (LOS). Contributions of variables related to outcomes were assessed with multifactorial-analyses of variance (MANOVA). Seventy-nine patients were enrolled in the study. LOS was different among treatment groups (F (4, 75) = 5.993, p < 0.001), and EE patients showed lower LOS than LE (p < 0.001) and LL (p = 0.025) patients. BMI improvement was not significantly different among treatment groups but correlated negatively with age (F (1, 72) = 10.130, p = 0.002), and admission BMI (F (1, 72) = 14.681, p < 0.001). In conclusion, patients treated with early AAP and early NGT showed lower LOS than those treated with late AAP. Prognostic treatment variables should be investigated in wider samples. Full article
(This article belongs to the Section Nutritional Neuroscience)
Show Figures

Figure 1

Back to TopTop