Sign in to use this feature.

Years

Between: -

Subjects

remove_circle_outline
remove_circle_outline
remove_circle_outline
remove_circle_outline
remove_circle_outline
remove_circle_outline
remove_circle_outline
remove_circle_outline
remove_circle_outline

Journals

remove_circle_outline
remove_circle_outline
remove_circle_outline
remove_circle_outline
remove_circle_outline
remove_circle_outline
remove_circle_outline

Article Types

Countries / Regions

remove_circle_outline
remove_circle_outline
remove_circle_outline
remove_circle_outline
remove_circle_outline

Search Results (603)

Search Parameters:
Keywords = asymptotically observer

Order results
Result details
Results per page
Select all
Export citation of selected articles as:
18 pages, 357 KB  
Article
Local Feynman Diagrammatics in Curved Spacetime: A Consistent LMC Framework
by Fridolin Weber
Universe 2026, 12(4), 111; https://doi.org/10.3390/universe12040111 - 10 Apr 2026
Abstract
We develop a general framework for quantum field theory in curved spacetime based on Local Minkowski Coordinates (LMC), which incorporates curvature effects into local Feynman diagrammatics. Gravitational influence enters through a curvature-dependent normalization function B(x), derived from covariant current [...] Read more.
We develop a general framework for quantum field theory in curved spacetime based on Local Minkowski Coordinates (LMC), which incorporates curvature effects into local Feynman diagrammatics. Gravitational influence enters through a curvature-dependent normalization function B(x), derived from covariant current conservation, and a gravitational phase S(x), obtained via the WKB approximation. These quantities enter through local phase accumulation and observer-dependent normalization of external states, without modifying globally conserved fluxes. As a first application, we analyze the local redshift normalization and phase structure of quantum amplitudes in the vicinity of a Schwarzschild black hole. Within their range of validity, the curvature-dependent factors B(x) and S(x) reproduce the expected gravitational redshift of field amplitudes in general relativity. When amplitudes are propagated to asymptotic infinity and evaluated in a standard global quantum state (such as the Unruh state), the resulting flux is consistent with the standard Hawking result. The framework refines the local WKB structure and clarifies the separation between local normalization effects and globally conserved fluxes. Full article
Show Figures

Figure 1

8 pages, 1272 KB  
Communication
First Results of the 64Ni(n,γ) Cross Section Measurement at n_TOF
by Michele Spelta, Gabriele Cescutti, Sergio Cristallo, Francisco García-Infantes, Alice Manna, Alberto Mengoni, Paolo Maria Milazzo, Riccardo Mucciola, Giuseppe Tagliente, Diego Vescovi, Oliver Aberle, Victor Alcayne, Simone Amaducci, Józef Andrzejewski, Victor Babiano, Michael Bacak, Javier Balibrea-Correa, Ana-Paula Bernardes, Eric Berthoumieux, Roland Beyer, Marian Boromiza, Damir Bosnar, Manuel Caamaño, Francisco Calviño, Marco Calviani, Daniel Cano-Ott, Adrià Casanovas, Donato Castelluccio, Francesco Cerutti, Sotirios Chasapoglou, Enrico Chiaveri, Gerardo Claps, Paolo Colombetti, Nicola Colonna, Patrizio Console Camprini, Guillem Cortés, Miguel Cortés-Giraldo, Luigi Cosentino, Sophia Florence Dellmann, Maria Diakaki, Mario Di Castro, Mirco Dietz, César Domingo-Pardo, Rugard Dressler, Emmeric Dupont, Ignacio Durán, Zinovia Eleme, Mamad Eslami, Sylvain Fargier, Beatriz Fernández-Domínguez, Paolo Finocchiaro, Valter Furman, Aman Gandhi, Aleksandra Gawlik-Ramięga, Gianpiero Gervino, Simone Gilardoni, Enrique González-Romero, Styliani Goula, Erich Griesmayer, Carlos Guerrero, Frank Gunsing, Carlo Gustavino, Tanja Heftrich, Jan Heyse, William Hillman, David Jenkins, Erwin Jericha, Arnd Junghans, Yacine Kadi, Kalliopi Kaperoni, Michael Kokkoris, Dominik Koll, Yury Kopatch, Milan Krtička, Nikolaos Kyritsis, Ion Ladarescu, Claudia Lederer-Woods, Jorge Lerendegui-Marco, Giuseppe Lerner, Trinitario Martínez, Alessandro Masi, Cristian Massimi, Pierfrancesco Mastinu, Mario Mastromarco, Emilio-Andrea Maugeri, Annamaria Mazzone, Emilio Mendoza, Veatriki Michalopoulou, Elizabeth Musacchio González, Agatino Musumarra, Alexandru Negret, Nikolas Patronis, José Antonio Pavón, Maria Pellegriti, Pablo Pérez-Maroto, Alberto Pérez de Rada Fiol, Jarosław Perkowski, Cristina Petrone, Luciano Piersanti, Elisa Pirovano, Julio Plaza del Olmo, Dominik Plonka, Stephan Pomp, Ignacio Porras, Javier Praena, José-Manuel Quesada, René Reifarth, Dimitri Rochman, Yuriy Romanets, Annie Rooney, Carlo Rubbia, Adrián Sánchez-Caballero, Marta Sabaté-Gilarte, Daniele Scarpa, Peter Schillebeeckx, Dorothea Schumann, Gavin Smith, Nikolay Sosnin, Maria-Elisso Stamati, Antonella Tamburrino, Ariel Tarifeño-Saldivia, Diego Tarrío, Pablo Torres-Sánchez, Silvia Tosi, Giorgios Tsiledakis, Stanislav Valenta, Pedro Vaz, Gianfranco Vecchio, Vasilis Vlachoudis, Rosa Vlastou, Anton Wallner, Christina Weiss, Philip John Woods, Tobias Wright and Petar Žugecadd Show full author list remove Hide full author list
Galaxies 2026, 14(2), 29; https://doi.org/10.3390/galaxies14020029 - 8 Apr 2026
Viewed by 142
Abstract
The neutron capture cross section of 64Ni is an important parameter in nuclear astrophysics that is needed to accurately simulate stellar nucleosynthesis and validate stellar models. 64Ni is among the seeds of the s-process and its capture cross section has been [...] Read more.
The neutron capture cross section of 64Ni is an important parameter in nuclear astrophysics that is needed to accurately simulate stellar nucleosynthesis and validate stellar models. 64Ni is among the seeds of the s-process and its capture cross section has been found to have an important effect on the predicted abundances of many nuclei synthesized in Asymptotic Giant Branch (AGB) and massive stars. Despite its relevance, the measurements of the 64Ni(n,γ) available in the literature are scarce and discrepant. For this reason, a new accurate time-of-flight measurement has been performed at the n_TOF facility at CERN, taking advantage of its high instantaneous neutron flux, and using a highly enriched 64Ni sample. The first preliminary results show important discrepancies with respect to the cross sections recommended in the most recent releases of the evaluated nuclear data libraries. In particular, a large resonance reported at 9.52 keV is not observed. As a consequence, a significant reduction in the Maxwellian-Averaged Cross Section (MACS) obtained from evaluated data libraries in the 5–25 keV thermal energy region is expected. Full article
(This article belongs to the Special Issue Neutron Capture Processes in the Universe)
Show Figures

Figure 1

26 pages, 429 KB  
Article
Modified Asymptotic Solutions and Application to Asymptotic Expansions of Indicator Functions in Mixed-Type Media
by Mishio Kawashita and Wakako Kawashita
Mathematics 2026, 14(7), 1210; https://doi.org/10.3390/math14071210 - 3 Apr 2026
Viewed by 169
Abstract
Asymptotic solutions that can describe the incidence and reflection of waves have been used in various situations. They can also be applied to inverse problems and provide useful information in situations where a precise evaluation is required. However, the construction of standard asymptotic [...] Read more.
Asymptotic solutions that can describe the incidence and reflection of waves have been used in various situations. They can also be applied to inverse problems and provide useful information in situations where a precise evaluation is required. However, the construction of standard asymptotic solutions requires higher regularity with respect to the boundaries of the observation target. This article proposes a “modified asymptotic solution” to overcome this weakness. To demonstrate its usefulness, it is applied to the analysis of the indicator function in the enclosure method for the inverse problem of the wave equation in a mixed-type medium. Full article
(This article belongs to the Section C: Mathematical Analysis)
37 pages, 19817 KB  
Article
A New Exponential-Type Model Under Unified Progressive Hybrid Censoring: Computational Inference and Its Applications
by Refah Alotaibi and Ahmed Elshahhat
Mathematics 2026, 14(7), 1182; https://doi.org/10.3390/math14071182 - 1 Apr 2026
Viewed by 256
Abstract
A new odd exponential-type (NOT-Exp) distribution provides a flexible and analytically tractable framework for modeling lifetime data exhibiting non-constant hazard behaviors, including increasing, decreasing, bathtub-shaped, and unimodal forms, which are commonly observed in real-world reliability and survival studies. In this work, a comprehensive [...] Read more.
A new odd exponential-type (NOT-Exp) distribution provides a flexible and analytically tractable framework for modeling lifetime data exhibiting non-constant hazard behaviors, including increasing, decreasing, bathtub-shaped, and unimodal forms, which are commonly observed in real-world reliability and survival studies. In this work, a comprehensive inferential methodology is developed for the NOT-Exp model under a unified progressive Type-II hybrid censoring, allowing several traditional censoring designs to be treated as special cases within a single unified structure. The main advantages of the proposed model lie in its ability to capture complex risk dynamics while maintaining mathematical simplicity, making it particularly suitable for censored lifetime data. Classical inference is conducted via maximum likelihood estimation, along with two asymptotic confidence interval constructions based on normal and log-normal approximations for both model parameters and reliability characteristics. In addition, a Bayesian estimation framework is introduced using independent gamma priors and Markov chain Monte Carlo techniques to obtain posterior estimates, credible intervals, and highest posterior density regions. Extensive simulations demonstrate the accuracy, stability, and robustness of the proposed estimators under varying sample sizes, censoring intensities, and prior specifications. Applications to airborne toxicological variation data and bank customer waiting times highlight the practical importance of the methodology, where the NOT-Exp model consistently outperforms twelve competing lifetime distributions according to standard goodness-of-fit criteria. These results confirm that the suggested design gives a strong and versatile tool for analyzing complex censored lifetime data across environmental and service-system applications. Full article
(This article belongs to the Special Issue Statistical Inference: Methods and Applications)
Show Figures

Figure 1

21 pages, 3770 KB  
Article
Wavelet Entropy and Machine Learning Analysis of Nonlinear Dynamics in Tubular Light Pipes
by Sertac Gorgulu
Electronics 2026, 15(7), 1474; https://doi.org/10.3390/electronics15071474 - 1 Apr 2026
Viewed by 264
Abstract
This study presents a hybrid framework primarily designed to predict electrical energy consumption in tubular light pipe systems while also providing interpretability through wavelet-based analysis. Indoor and outdoor illuminance were continuously monitored at one-minute intervals between January and May in Istanbul, Turkey. Using [...] Read more.
This study presents a hybrid framework primarily designed to predict electrical energy consumption in tubular light pipe systems while also providing interpretability through wavelet-based analysis. Indoor and outdoor illuminance were continuously monitored at one-minute intervals between January and May in Istanbul, Turkey. Using the continuous wavelet transform (CWT) with predefined scale ranges, multi-scale features such as scale-wise energy, relative wavelet energy, and wavelet entropy were extracted to quantify illumination variability and stability. These features were combined with contextual parameters (e.g., month and weather) to predict electrical energy consumption and the energy-saving ratio under a threshold-based lighting control strategy. Among the evaluated models, Random Forest was selected as the primary model due to its balance between prediction accuracy and interpretability, achieving lower prediction errors compared to baseline models (RMSE = 7.84 for RF, 9.39 for Linear Regression, and 8.28 for ARIMA), although the observed improvements are influenced by the inherent variability in the dataset. Feature-importance and SHapley Additive exPlanations (SHAP) analyses revealed that low-frequency wavelet components and low Wavelet Entropy values were found to strongly influence the predictive behavior, indicating that stable illumination leads to reduced artificial lighting demand and higher energy savings. A Lyapunov-inspired stability interpretation suggests that the system exhibits stable behavior consistent with asymptotic convergence. Unlike existing studies, the proposed framework integrates wavelet entropy with interpretable machine learning to jointly model illumination dynamics and energy demand. This enables more reliable prediction of lighting energy demand under highly variable daylight conditions. Full article
Show Figures

Figure 1

26 pages, 1419 KB  
Article
Order-Restricted Inference for Exponentiated Rayleigh Distribution Under Multiple Step-Stress Accelerated Life Test
by Bingqing Yu and Wenhao Gui
Entropy 2026, 28(4), 397; https://doi.org/10.3390/e28040397 - 1 Apr 2026
Viewed by 231
Abstract
Both frequentist and Bayesian approaches are presented in this paper for a multiple step-stress accelerated life test. It is assumed that the lifetime distributions of experimental units under each stress level conform to a two-parameter exponentiated Rayleigh distribution. Additionally, the distributions corresponding to [...] Read more.
Both frequentist and Bayesian approaches are presented in this paper for a multiple step-stress accelerated life test. It is assumed that the lifetime distributions of experimental units under each stress level conform to a two-parameter exponentiated Rayleigh distribution. Additionally, the distributions corresponding to each stress level are related via the cumulative exposure model. In a step-stress experiment, with the applied stress level on the rise, the failure process of experimental units is accelerated, which gives rise to a reduction in their expected lifetime. This order restriction is explicitly incorporated into the statistical inference. Under the classical framework, via reparameterization, the order-restricted maximum likelihood estimates (MLEs) of unknown parameters are provided, and asymptotic confidence intervals are constructed based on the observed Fisher information matrix. In the Bayesian framework, we conduct the Bayesian analyses and obtain credible intervals using the importance sampling techniques. Extensive simulation studies are conducted, and a real dataset is analyzed for illustrative purposes. Full article
(This article belongs to the Section Information Theory, Probability and Statistics)
Show Figures

Figure 1

25 pages, 352 KB  
Article
Resolvent-Generated Generalized Spectral Operators for Nonlinear Dynamical Systems via Koopman Semigroups
by Rui A. P. Perdigão
Mathematics 2026, 14(7), 1145; https://doi.org/10.3390/math14071145 - 29 Mar 2026
Viewed by 262
Abstract
Spectral methods form a cornerstone of linear dynamics, where evolution is resolved into harmonic modes governed by eigenvalues and spectral measures of normal operators. For nonlinear dynamical systems, however, the harmonic eigenfunction paradigm typically breaks down: Koopman operators are often non-normal, may possess [...] Read more.
Spectral methods form a cornerstone of linear dynamics, where evolution is resolved into harmonic modes governed by eigenvalues and spectral measures of normal operators. For nonlinear dynamical systems, however, the harmonic eigenfunction paradigm typically breaks down: Koopman operators are often non-normal, may possess a continuous spectrum, and rarely admit complete eigenbases on natural observable spaces. This work develops a resolvent-centered operator-theoretic framework for generalized spectral representations of nonlinear flows through their associated Koopman C0 semigroups. Rather than relying on diagonalization, we construct resolvent-generated generalized spectral operators that yield weak integral representations of the semigroup valid in non-normal and continuous-spectrum regimes. We show that, under mild polynomial resolvent growth bounds along vertical lines, these spectral distributions become finite complex Radon measures on bounded spectral regions, thereby recovering a measure-theoretic interpretation analogous to classical spectral integrals. In the normal case, the framework reduces to the standard spectral theorem. The resulting resolvent-based perspective naturally incorporates pseudospectral amplification and transient growth, providing a unified description of both asymptotic and non-modal dynamics. Full article
20 pages, 2013 KB  
Article
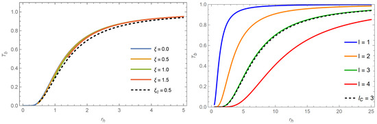
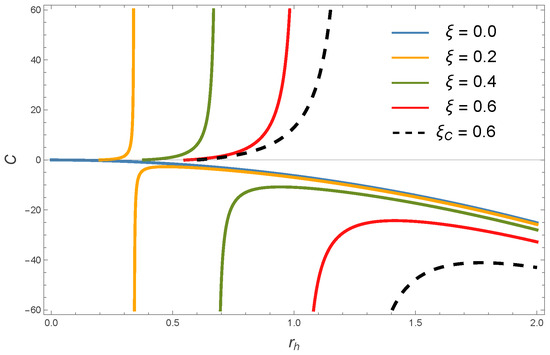
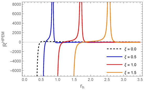
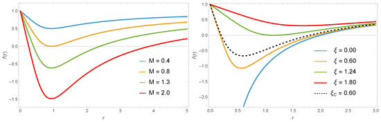
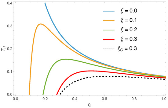
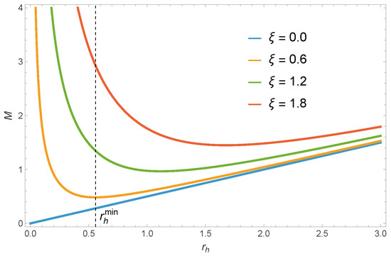
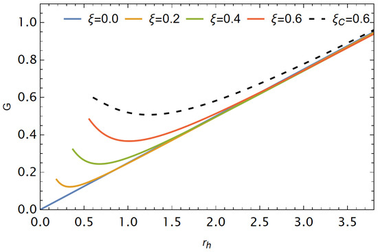
Thermodynamic Properties and Shadow of a New, Improved Schwarzschild Black Hole in the Infrared Limit
by Celio Rodrigues Muniz, Jonathan Alves Rebouças, Francisco Bento Lustosa, Francisco Tiago Barboza Sampaio and Leonardo Tavares de Oliveira
Universe 2026, 12(4), 96; https://doi.org/10.3390/universe12040096 - 28 Mar 2026
Viewed by 223
Abstract
In this work, we propose a modified Schwarzschild geometry inspired by the Asymptotic Safety approach to quantum gravity, in which the Newtonian coupling becomes a running quantity depending on the radial coordinate. We employ an infrared cutoff at the proper distance and obtain [...] Read more.
In this work, we propose a modified Schwarzschild geometry inspired by the Asymptotic Safety approach to quantum gravity, in which the Newtonian coupling becomes a running quantity depending on the radial coordinate. We employ an infrared cutoff at the proper distance and obtain a new quantum-corrected black hole metric. We provide a thermodynamical analysis, first using standard methods and then proceeding to a geometrothermodynamical study of the phase space and to a topological analysis of phase transitions. We also calculate the grey-body factors of our solution, providing exact lower bounds in the quantum-corrected transmission coefficients. Finally, we present the shadow size and intensity profile of our solution, showing its consistency with current observational constraints. Full article
(This article belongs to the Special Issue Exploring and Constraining Alternative Theories of Gravity)
Show Figures

Figure 1

36 pages, 451 KB  
Article
The Thermodynamics of Transient Trapped Surfaces in the Geon Collapse
by Claes Cramer
Universe 2026, 12(4), 95; https://doi.org/10.3390/universe12040095 - 27 Mar 2026
Viewed by 531
Abstract
It is shown that transient trapped surfaces form in a class of emerging globally hyperbolic spacetimes, within punctured Planck-scale neighbourhoods of the geon supported on intersecting singular supports whose intersection forms a characteristic core in a non-strongly causal setting. These neighbourhoods shrink towards [...] Read more.
It is shown that transient trapped surfaces form in a class of emerging globally hyperbolic spacetimes, within punctured Planck-scale neighbourhoods of the geon supported on intersecting singular supports whose intersection forms a characteristic core in a non-strongly causal setting. These neighbourhoods shrink towards the intersecting singular support in the distributional geometry. In particular, the trapped surfaces occur near the characteristic limit corresponding to the unstable equilibrium of the self-gravitating geon. They act as an effective classical barrier for descriptions formulated purely within smooth differential geometry. The area of these trapped-surface configurations, computed on Planck-referenced neighbourhoods, is shown to tend to zero both in the asymptotically flat limit of the emerging spacetime and in the geon limit. Thus, transient trapped surfaces evaporate in the sense that their area vanishes as classical and asymptotically flat spacetime emerges within the quantum foam framework. A state-counting generating function for the transient trapped surfaces is constructed from the coherent-state density operator. This generating function maps microscopic occupation-number sectors to macroscopic data and thereby allows a definition of Boltzmann entropy (not to be confused with the von Neumann entropy, which is zero for any pure coherent state). Since the coherent state is constructed to implement the correspondence principle, expectation values of the relevant quantised observables reproduce their classical values. In particular, the expectation value of the bosonic occupation-number operator serves as a microstate-counting variable in the coherent sector. The generating function takes the form of an exponential of this expectation value, leading to an entropy–area relation consistent with the Hawking–Bekenstein scaling. Full article
44 pages, 4394 KB  
Article
Data-Driven Yield Estimation and Maximization Using Bayesian Optimization Under Uncertainty
by Kei Sano, Daiki Kawahito, Yukiya Saito, Hironori Moki and Dragan Djurdjanovic
Appl. Sci. 2026, 16(7), 3213; https://doi.org/10.3390/app16073213 - 26 Mar 2026
Viewed by 233
Abstract
In this paper, we propose a novel method which utilizes samples of measured product quality characteristics to efficiently estimate the probabilities of those quality characteristics being within the desired specifications and, consequently, the process yield. Specifically, when dealing with 1D Gaussian distributions, we [...] Read more.
In this paper, we propose a novel method which utilizes samples of measured product quality characteristics to efficiently estimate the probabilities of those quality characteristics being within the desired specifications and, consequently, the process yield. Specifically, when dealing with 1D Gaussian distributions, we formally prove that the proposed yield estimator asymptotically gives a lower Mean Squared Error compared to the best unbiased estimator. In order to enable maximization of yield, this novel estimator is incorporated into the framework of Bayesian Optimization which iteratively seeks controllable tool parameters under which the outgoing product yield is maximized. The newly proposed yield maximization method is demonstrated in an application involving high-fidelity simulations of a reactive ion etch chamber, a tool component commonly used in semiconductor manufacturing. The aim of these simulations was to rapidly and reliably determine tool parameters that maximize the probability of delivering desired plasma density characteristics under stochastic variations in chamber conditions. The novel yield estimation and optimization methods show superiority when the number of experimental observations is limited and the distributions of outgoing product characteristics can be approximated well by a Gaussian distribution. Full article
(This article belongs to the Section Computing and Artificial Intelligence)
Show Figures

Figure 1

44 pages, 1757 KB  
Article
First-Order Axial Perturbation of the Reissner–Nordström Metric Against a Possible Parity-Violating Gravity Background
by Abhishek Rout and Brett Altschul
Symmetry 2026, 18(4), 560; https://doi.org/10.3390/sym18040560 - 25 Mar 2026
Viewed by 417
Abstract
We study axial perturbations of Reissner–Nordström black holes within the general framework of parity-violating modified gravity theories. We derive the governing equations for a class of frame-dragging perturbations, focusing on the symmetry structure and radial dependence of the perturbed metric component, describing its [...] Read more.
We study axial perturbations of Reissner–Nordström black holes within the general framework of parity-violating modified gravity theories. We derive the governing equations for a class of frame-dragging perturbations, focusing on the symmetry structure and radial dependence of the perturbed metric component, describing its behavior across three distinct regions: near the singularity (r0), between the inner and outer Reissner–Nordström horizons (r<r<r+), and in the asymptotic exterior regime (r). Using a combination of analytical and numerical methods, we analyze the solutions for varying black hole charge-to-mass ratios (Q/M) and angular momentum parameters (l). Key findings include the suppression of perturbations by the electromagnetic field for higher Q/M; the emergence of radial resonance-like behavior for specific l values; and a high degree of symmetry for solutions in the extremal limit (Q/M1), attributed to the AdS2× S2 near-horizon geometry. The WKB approximation is employed to study the high-l regime, revealing quantized radial resonance modes and singular behavior in the extremal limit. Additionally, we explore the role of boundary conditions and the possibility of a Chern–Simons field Θ as the source of the parity violation, showing that consistency and the behavior of the perturbations under time reversal demand a constant field (and thus no actually observable Chern–Simons effects) at leading order. These results provide a basis for further analysis of the stability and dynamical properties of charged black holes in parity-violating theories, with potential experimental signatures in gravitational wave observations. Full article
(This article belongs to the Special Issue Feature Papers in 'Physics' Section 2025)
Show Figures

Figure 1

59 pages, 18673 KB  
Article
Characterization and Predictive Modeling of Diatomite Mortar Performance: A Hybrid Framework Based on Experimental Analysis and Machine Learning Meta-Models
by Sihem Brahimi, Miloud Hamadache and Mhand Hifi
Buildings 2026, 16(7), 1281; https://doi.org/10.3390/buildings16071281 - 24 Mar 2026
Viewed by 184
Abstract
Decarbonizing the construction sector requires high-volume replacement of Portland clinker with non-calcined supplementary cementitious materials (SCMs). This study investigates white cement pastes incorporating raw Algerian diatomite—a silica-rich biogenic mineral—at substitution levels from 40% to 95% (5% increments) and a fixed water-to-binder ratio of [...] Read more.
Decarbonizing the construction sector requires high-volume replacement of Portland clinker with non-calcined supplementary cementitious materials (SCMs). This study investigates white cement pastes incorporating raw Algerian diatomite—a silica-rich biogenic mineral—at substitution levels from 40% to 95% (5% increments) and a fixed water-to-binder ratio of 0.5. The target application is ultra-lightweight, multifunctional composites for non-structural uses such as decorative panels and partition elements. Increasing diatomite content progressively reduced bulk density from 1.483 g/cm3 (D40) to 0.557 g/cm3 (D95) and increased porosity. 28-day compressive strength decreased monotonically from 16 MPa (D40) to 2.4 MPa (D95) as clinker dilution intensified. Ultrasonic pulse velocity dropped from 6205 m/s to 1495 m/s, reflecting progressive pore development and confirming the material’s lightweight potential. Statistically significant strength gains beyond 28 days were recorded (+25.87% for compression, p-value < 0.05), evidencing delayed pozzolanic activity. These results confirm that raw, non-calcined diatomite is a viable SCM for eco-efficient, low-density construction systems. To overcome the extrapolation instability of purely data-driven approaches, a Meta-Avrami Hybrid Framework was developed. It anchors Gradient Boosting residual learning to a sigmoidal Avrami hydration kernel. The model achieved high predictive accuracy (R20.999, RMSE0.010) under 10-fold cross-validation. Generalization was well-controlled, with a low overfitting gap (ΔR2=0.0226) and stable fold-to-fold performance (Std=0.0204). These metrics confirm suitability for unseen mix designs. This is particularly relevant for service-life assessment of partition panels and lightweight façade elements, where long-term performance guarantees are required. The physics-informed architecture ensures asymptotic strength stabilization up to a 10-year horizon (amplification ratios 1.03–1.05). This prevents the non-physical divergence observed in polynomial and power-law hybrids (ratios 1.36–1.70). The framework provides a reliable and interpretable tool for service-life design of sustainable low-carbon cementitious systems. Full article
(This article belongs to the Section Building Materials, and Repair & Renovation)
Show Figures

Figure 1

11 pages, 243 KB  
Article
Spatial Asymptotics and Polynomial Decay for Nonlinear Parabolic Equations in R3 Exterior Region
by Jincheng Shi and Yiwu Lin
Axioms 2026, 15(3), 234; https://doi.org/10.3390/axioms15030234 - 20 Mar 2026
Viewed by 174
Abstract
This paper investigates the spatial asymptotic behavior of solutions to a class of nonlinear parabolic equations defined on an exterior region in R3. By constructing a suitable weighted energy functional and employing a fractional-order differential inequality technique, we establish a sharp [...] Read more.
This paper investigates the spatial asymptotic behavior of solutions to a class of nonlinear parabolic equations defined on an exterior region in R3. By constructing a suitable weighted energy functional and employing a fractional-order differential inequality technique, we establish a sharp Phragmén–Lindelöf type alternative: the solution either ceases to exist at a finite radial distance or decays to zero as the radial variable r when the power p>2. In the decay case, we derive explicit polynomial type decay estimates. The analysis is conducted in unbounded exterior domains where traditional compactness arguments are not applicable, extending previous studies on semi-infinite cylinders to more complex geometric settings. Our results reveal distinct spatial behaviors compared to those observed in linear or differently nonlinear parabolic problems and can be seen as a version of Saint-Venant principle in exterior regions. Full article
19 pages, 1205 KB  
Article
Passivity and State Estimation for Quaternion-Valued Neural Networks with Two Additive Delays
by Ximing Wang, Zhengwen Tu, Tao Peng, Dandan Wang and Liangwei Wang
Symmetry 2026, 18(3), 531; https://doi.org/10.3390/sym18030531 - 19 Mar 2026
Viewed by 172
Abstract
This paper investigates the finite-time passivity and state estimation problem for quaternion-valued neural networks with two additive delays. By employing the Lyapunov method, several criteria are derived to ensure the finite-time passivity of the discussed system and the asymptotic stability of the error [...] Read more.
This paper investigates the finite-time passivity and state estimation problem for quaternion-valued neural networks with two additive delays. By employing the Lyapunov method, several criteria are derived to ensure the finite-time passivity of the discussed system and the asymptotic stability of the error system. A novel controller is proposed to achieve finite-time passivity of the discussed system and a proportional–integral observer (PIO) strategy is adopted to tackle the state estimation problem. The direct approach is used to handle the quaternion-valued neural networks without decomposing them into real-valued or complex-valued systems, which substantially simplifies the analysis procedure. Moreover, various quaternion-valued inequalities are utilized in the analysis, contributing to reduced conservatism in the derived results. Finally, the theoretical results have been effectively demonstrated through two numerical simulation examples. Full article
(This article belongs to the Section Mathematics)
Show Figures

Figure 1

32 pages, 24330 KB  
Article
Reciprocal Neural State–Disturbance Observer for Model-Free Trajectory Tracking of Robotic Manipulators
by Binluan Wang, Yuchen Peng, Hongzhe Jin and Jie Zhao
Mathematics 2026, 14(6), 983; https://doi.org/10.3390/math14060983 - 13 Mar 2026
Viewed by 221
Abstract
High-precision trajectory tracking of robotic manipulators is fundamentally challenged by strong nonlinear dynamics, unmodeled uncertainties, and external disturbances. This paper proposes a Reciprocal Neural State–Disturbance Observer (RNSDO) featuring a neural activation mechanism for adaptive gain modulation and a reciprocally coupled state–disturbance estimation architecture. [...] Read more.
High-precision trajectory tracking of robotic manipulators is fundamentally challenged by strong nonlinear dynamics, unmodeled uncertainties, and external disturbances. This paper proposes a Reciprocal Neural State–Disturbance Observer (RNSDO) featuring a neural activation mechanism for adaptive gain modulation and a reciprocally coupled state–disturbance estimation architecture. By reshaping the observer error dynamics through mutual feedback between state and disturbance estimation, the proposed structure alleviates the conflict between fast transient disturbance reconstruction and steady-state noise suppression, while requiring only position measurements. A decentralized position controller is designed based on RNSDO. The global asymptotic stability of the resulting closed-loop system is rigorously established via Lyapunov analysis. Extensive simulations on a PUMA 560 and experiments on a 7-DOF Franka FR3 robotic manipulator demonstrate highly consistent performance trends. The proposed method achieves improved state and disturbance estimation accuracy and enhanced robustness against unmodeled dynamics and payload variations compared with a linear Improved Extended State Observer (IESO), a classical Nonlinear Extended State Observer (NLESO), and a model-based Nonlinear Disturbance Observer-based Adaptive Robust Controller (NDO-ARC). Furthermore, the algorithm exhibits excellent real-time feasibility with a minimal computational footprint. Full article
(This article belongs to the Special Issue Mathematical Methods for Intelligent Robotic Control and Design)
Show Figures

Figure 1

Back to TopTop