Sign in to use this feature.

Years

Between: -

Subjects

remove_circle_outline
remove_circle_outline
remove_circle_outline
remove_circle_outline
remove_circle_outline
remove_circle_outline
remove_circle_outline

Journals

Article Types

Countries / Regions

Search Results (65)

Search Parameters:
Keywords = aquaporin-2 abundance

Order results
Result details
Results per page
Select all
Export citation of selected articles as:
16 pages, 2840 KB  
Article
Effect of Lactobacillus reuteri Postbiotics on Growth Performance and Intestinal Health of Escherichia coli-Infected Broilers
by Changwu Li, Jiarou Fan, Yafei Zhang, Yu Zhang, Jiakun Yan, Peng Li, Shuangshuang Guo and Binying Ding
Animals 2026, 16(1), 82; https://doi.org/10.3390/ani16010082 - 27 Dec 2025
Viewed by 258
Abstract
Avian pathogenic Escherichia coli (E. coli) impairs poultry production and causes substantial economic losses. This study investigated the effects of Lactobacillus reuteri postbiotics (LR) on growth performance and intestinal health of broiler chickens challenged with E. coli. A total of [...] Read more.
Avian pathogenic Escherichia coli (E. coli) impairs poultry production and causes substantial economic losses. This study investigated the effects of Lactobacillus reuteri postbiotics (LR) on growth performance and intestinal health of broiler chickens challenged with E. coli. A total of 180 one-day-old Arbor Acres+ broilers were allocated into three groups (six replicates per group and 10 chicks each replicate): CTR, control group; E. coli-infected group, orally challenged with a mixture of E. coli O1, O2, and O78 at a dose of 109 CFU/mL; LR + E. coli-infected group, challenged with E. coli and fed a basal diet supplemented with 100 mg/kg LR. The results showed that dietary LR significantly improved the average daily gain (ADG) in the LR + E. coli group compared to the E. coli-infected group from days 1 to 18 (p < 0.05). However, no significant differences in average daily feed intake (ADFI) or feed conversion ratio (FCR) were observed among the CTR, E. coli, and LR + E. coli groups. Infection with E. coli led to lower total antioxidant capacity in jejunum and activity of total superoxide dismutase in ileum. Moreover, dietary LR significantly alleviated the down-regulation of Mucin2 and Aquaporin-3 gene expression in jejunum and ileum caused by E. coli infection and up-regulated the gene expression of Claudin-1 and Zonula occludens 1 in the ileum. In addition, dietary LR treatment led to the up-regulation of interleukin-10 mRNA transcripts in the jejunum. Further analysis demonstrated that dietary supplementation with LR reshaped the ileal flora of birds challenged with E. coli via elevating the relative abundance of Romboutsia and Bacteroidota, while reducing the abundance of Candidatus_Arthromitus and Escherichia-Shigella. In conclusion, dietary LR supplementation improved the expression of intestinal barrier and anti-inflammatory genes and reshaped the intestinal flora in E. coli-infected broilers. Full article
(This article belongs to the Special Issue Poultry Nutrition and Management)
Show Figures

Figure 1

17 pages, 1899 KB  
Article
Oat Fiber Alleviates Loperamide-Induced Constipation in Mice by Modulating Intestinal Barrier Function
by Yufei Shi, Yuchao Han, Jie Jiang, Di Wang, Zhongxia Li, Guiju Sun, Shaokang Wang, Wang Liao, Hui Xia, Da Pan and Ligang Yang
Nutrients 2025, 17(15), 2481; https://doi.org/10.3390/nu17152481 - 29 Jul 2025
Cited by 1 | Viewed by 2252
Abstract
Objective: To investigate the effects of oat fiber on animal constipation and elucidate its underlying mechanisms. Methods: Male BALB/c mice were randomly allocated into five groups: control group (CON), model control group (MODEL), low dose group (LOW), middle dose group (MIDDLE), high dose [...] Read more.
Objective: To investigate the effects of oat fiber on animal constipation and elucidate its underlying mechanisms. Methods: Male BALB/c mice were randomly allocated into five groups: control group (CON), model control group (MODEL), low dose group (LOW), middle dose group (MIDDLE), high dose group (HIGH). Constipation was induced in the mice by intragastric administration of loperamide. Subsequently, the mice (except those in the CON and MODEL groups) were administered oat fiber intragastrically for 21 consecutive days. Results: Compared with the MODEL group, oat fiber significantly increased the number of fecal pellets, fecal wet weight, and fecal water content (p < 0.05), shortened the time to first black stool excretion (p < 0.05), and enhanced the small intestinal propulsion rate in constipated mice. Additionally, oat fiber significantly upregulated motilin (MTL) and gastrin (GAS) levels (p < 0.05), while downregulating vasoactive intestinal peptide (VIP) and somatostatin (SS) levels (p < 0.05). It also significantly reduced the transcription level of Aquaporin 8 (AQP8) (p < 0.05), effectively alleviating intestinal mucosal injury and immune inflammation. The relative expression levels of TNF-α and IL-1β were significantly decreased in the oat fiber group (p < 0.05). Gut microbiota analysis revealed that oat fiber increased both the abundance and diversity of gut microbiota in constipated mice. Specifically, oat fiber was found to enhance the relative abundance of Firmicutes while reducing that of Bacteroidetes. At the genus level, it promoted the proliferation of Lachnospiraceae_NK4A136_group and Roseburia. Conclusions: Oat fiber alleviates constipation in mice by modulating gastrointestinal regulatory peptides, gut microbiota, aquaporin and mitigating intestinal barrier damage and immune-inflammatory responses. Full article
(This article belongs to the Section Prebiotics, Probiotics and Postbiotics)
Show Figures

Figure 1

13 pages, 786 KB  
Article
Aquaporin mRNA in Human Saliva
by Katharina Rump, Daria Pakosch-Nowak, Andrea Witowski, Bjoern Koos, Dominik Ziehe, Jennifer Orlowski, Michael Adamzik, Martin Kunkel and Markus Baumann
Genes 2025, 16(7), 804; https://doi.org/10.3390/genes16070804 - 8 Jul 2025
Viewed by 862
Abstract
Background: Aquaporins (AQPs) are integral membrane proteins that facilitate water transport across biological membranes. While their role is well-characterized in various tissues, their function in the oral cavity remains poorly understood. Saliva is an easily accessible, non-invasive biofluid that contains stable extracellular RNA [...] Read more.
Background: Aquaporins (AQPs) are integral membrane proteins that facilitate water transport across biological membranes. While their role is well-characterized in various tissues, their function in the oral cavity remains poorly understood. Saliva is an easily accessible, non-invasive biofluid that contains stable extracellular RNA and can reflect both systemic and local physiological or pathological processes, making it a promising source for RNA analyses. This study investigates AQP mRNA levels in human saliva. Methods: Saliva samples were collected from patients of a dental practice and analyzed using quantitative PCR to detect AQP levels. An in silico analysis of AQPs in cells of the oral cavity were performed. Baseline data of the patients were recorded. Results: Our findings demonstrate the presence of multiple AQP subtypes in human saliva. AQP5 was the most abundant, followed by AQP9 and AQP1. The levels of several AQPs showed intercorrelation, whereas AQP3 appeared to be independently regulated and did not correlate with the other AQPs. Conclusions: This study demonstrates that differential AQP mRNA levels can be detected in human saliva. These findings suggest that salivary AQP mRNA may serve as surrogate markers for altered AQP levels in cells of the oral cavity. In the future, such patterns of AQP levels could potentially be used to identify or monitor pathological conditions affecting the oral mucosa or salivary glands. Further studies are required to validate this approach and to understand its diagnostic relevance. Full article
(This article belongs to the Section Molecular Genetics and Genomics)
Show Figures

Figure 1

16 pages, 7142 KB  
Article
Unveiling the Genome of the Diploid Wild Sugarcane Relative Narenga porphyrocoma (Hance) Bor
by Haibi Li, Yiyun Gui, Jinju Wei, Kai Zhu, Hui Zhou, Ronghua Zhang, Dongliang Huang, Sijie Huang, Shuangcai Li, Jisen Zhang, Yangrui Li and Xihui Liu
Int. J. Mol. Sci. 2025, 26(13), 6124; https://doi.org/10.3390/ijms26136124 - 26 Jun 2025
Viewed by 953
Abstract
Narenga porphyrocoma (Hance) Bor is a close relative of sugarcane, with traits such as drought resistance, robustness, early maturity, and disease resistance. In this study, we report the first genome assembly of N. porphyrocoma (Hance) Bor GXN1, a diploid species with a chromosomal [...] Read more.
Narenga porphyrocoma (Hance) Bor is a close relative of sugarcane, with traits such as drought resistance, robustness, early maturity, and disease resistance. In this study, we report the first genome assembly of N. porphyrocoma (Hance) Bor GXN1, a diploid species with a chromosomal count of 2n = 30. We assembled the genome into 15 pseudochromosomes with an N50 of 128.80 Mp, achieving a high level of completeness (99.0%) using benchmarking universal single-copy orthologs (BUSCO) assessment. The genome was approximately 1.8 Gb. Our analysis identified a substantial proportion of repetitive sequences, primarily long terminal repeats (LTRs), contributing to 69.12% of the genome. In total, 70,680 protein-coding genes were predicted and annotated, focusing on genes related to drought resistance. Transcriptome analysis under drought stress revealed the key gene families involved in plant physiological rhythms and hormone signal transduction, including aquaporins, late embryogenesis abundant proteins, and heat shock proteins. This research reveals the genome of the diploid wild sugarcane relative N. porphyrocoma (Hance) Bor, encouraging future studies on gene function, genome evolution, and genetic improvement of sugarcane. Full article
(This article belongs to the Special Issue Crop Stress Biology and Molecular Breeding: 5th Edition)
Show Figures

Figure 1

44 pages, 891 KB  
Review
Aquaporins in Acute Brain Injury: Insights from Clinical and Experimental Studies
by Stelios Kokkoris, Charikleia S. Vrettou, Nikolaos S. Lotsios, Vasileios Issaris, Chrysi Keskinidou, Kostas A. Papavassiliou, Athanasios G. Papavassiliou, Anastasia Kotanidou, Ioanna Dimopoulou and Alice G. Vassiliou
Biomedicines 2025, 13(6), 1406; https://doi.org/10.3390/biomedicines13061406 - 7 Jun 2025
Cited by 3 | Viewed by 2664
Abstract
Aquaporins (AQPs) are a family of transmembrane water channel proteins facilitating the transport of water and, in some cases, small solutes such as glycerol, lactate, and urea. In the central nervous system (CNS), several aquaporins play crucial roles in maintaining water homeostasis, modulating [...] Read more.
Aquaporins (AQPs) are a family of transmembrane water channel proteins facilitating the transport of water and, in some cases, small solutes such as glycerol, lactate, and urea. In the central nervous system (CNS), several aquaporins play crucial roles in maintaining water homeostasis, modulating cerebrospinal fluid (CSF) circulation, regulating energy metabolism, and facilitating neuroprotection under pathological conditions. Among them, AQP2, AQP4, AQP9, and AQP11 have been implicated in traumatic and non-traumatic brain injuries. The most abundant aquaporin (AQP) in the brain, AQP4, is essential for fluid regulation, facilitating water transport across the blood–brain barrier and glymphatic clearance. AQP2 is primarily known for its function in the kidneys, but it is also expressed in brain regions related to vasopressin signaling and CSF dynamics. AQP9 acts as a channel for glycerol and lactate, thus playing a role in metabolic adaptation during brain injury. AQP11, an intracellular aquaporin, is involved in oxidative stress responses and cellular homeostasis, with emerging evidence suggesting its role in neuroprotection. Aquaporins play a dual role in brain injury; while they help maintain homeostasis, their dysregulation can exacerbate cerebral edema, metabolic dysfunction, and inflammation. In traumatic brain injury (TBI), aquaporins regulate the formation and resolution of cerebral edema. In non-traumatic brain injuries, including ischemic stroke, aneurysmal subarachnoid hemorrhage (aSAH), and intracerebral hemorrhage (ICH), aquaporins influence fluid balance, energy metabolism, and oxidative stress responses. Understanding the specific roles of AQP2, AQP4, AQP9, and AQP11 in these brain injuries may lead to new therapeutic strategies to mitigate secondary damage and improve neurological outcomes. This review explores the function of the above aquaporins in both traumatic and non-traumatic brain injuries, highlighting their potential and limitations as therapeutic targets for neuroprotection and recovery. Full article
Show Figures

Figure 1

19 pages, 6097 KB  
Article
Phenotypic, Physiological, and Transcriptomic Analyses Reveal Different Responses to Salt Stress in Cultivated Red Lettuce and Wild Lettuce Seedlings
by Wei Chen, Jiahao Lian, Caiyun Hong, Shuguang Sun, Jia Hao, Shengqi Huang, Jialin Wang, Yue Guan, Zhenwei Lu, Zhenlong Wang, Shixin Zhu and Zhen Wei
Int. J. Mol. Sci. 2025, 26(7), 3425; https://doi.org/10.3390/ijms26073425 - 6 Apr 2025
Cited by 2 | Viewed by 1595
Abstract
Cultivated lettuce (Lactuca sativa L.) is considered one of the most important economic vegetables worldwide; however, it is subjected to different stresses (salt stress, etc.) during its growth and development, resulting in yield reductions. In this study, we selected cultivated red lettuce [...] Read more.
Cultivated lettuce (Lactuca sativa L.) is considered one of the most important economic vegetables worldwide; however, it is subjected to different stresses (salt stress, etc.) during its growth and development, resulting in yield reductions. In this study, we selected cultivated red lettuce and wild lettuce species (Lactuca serriola L.) to investigate the phenotypic and physiological changes in these lettuce under different salt treatment conditions. Functional annotation and enrichment analysis of the differentially expressed genes (DEGs) in the lettuce leaves and roots between the control and salt treatments were performed, identifying the key genes responding to salt stress. The results showed that the growth of the two types of lettuce was limited by salt stress, with decreased leaf area, main root length, biomass, and photosynthesis parameters noted. The cultivated red lettuce and the wild lettuce exhibited similar trends in terms of the variation in their antioxidant enzymatic activity and the content of osmoregulatory compounds in their leaves. The results of our transcriptomic analysis revealed that the mitogen-activated protein kinase (MAPK) signaling pathway, transporters, cytochrome P450, phenylpropanoid biosynthesis, and isoflavonoid biosynthesis were involved in the response to salt stress in the lettuce seedlings. The red lettuce cultivar showed a greater abundance of DEGs related to secondary metabolite biosynthesis and aquaporins under the salt treatment, resulting in a salinity-tolerant capacity comparable to that of the wild lettuce species. These results reveal important biosynthesis pathways that may play a key role in the salt tolerance of lettuce seedlings and provide key candidate genes that could be functionally characterized further and utilized to genetically improve new salt-tolerant varieties. Full article
Show Figures

Figure 1

18 pages, 4857 KB  
Article
The Growth of Soybean (Glycine max) Under Salt Stress Is Modulated in Simulated Microgravity Conditions
by Setsuko Komatsu, Haruka Misaki, Wei Zhu, Hisateru Yamaguchi, Keisuke Hitachi, Kunihiro Tsuchida and Atsushi Higashitani
Cells 2025, 14(7), 541; https://doi.org/10.3390/cells14070541 - 3 Apr 2025
Cited by 1 | Viewed by 1138
Abstract
The role of a simulated microgravity environment on soybean growth was investigated. The root grew more under simulated microgravity conditions than in the presence of gravity. However, root shortening due to salt stress did not occur in simulated microgravity conditions. To reveal these [...] Read more.
The role of a simulated microgravity environment on soybean growth was investigated. The root grew more under simulated microgravity conditions than in the presence of gravity. However, root shortening due to salt stress did not occur in simulated microgravity conditions. To reveal these mechanisms by simulated microgravity environment on soybean root, a proteomic analysis was conducted. Proteomic analysis revealed that among 1547 proteins, the abundances of proteins related to phytohormone, oxidative stress, ubiquitin/proteasome system, cell organization, and cell wall organization were altered under stimulated microgravity compared with gravity. Membrane-localized proteins and redox-related proteins were inversely correlated in protein numbers due to salt stress under gravity and the simulated microgravity condition. Proteins identified by proteomics were validated for protein accumulation by immunoblot analysis. Superoxide dismutase and ascorbate peroxidases, which are reactive oxygen species-scavenging proteins, increased in soybean root under salt stress but not in the simulated microgravity conditions even under stress. The accumulation of 45 kDa aquaporin and 70 kDa calnexin in soybean root under salt stress were increased in the simulated microgravity conditions compared to gravity. These findings suggest that soybean growth under salt stress may be regulated through improved water permeability, mitigation of reactive oxygen species production, and restoration of protein folding under simulated microgravity conditions. Full article
(This article belongs to the Section Cell Methods)
Show Figures

Figure 1

12 pages, 1467 KB  
Article
The Effect of Plant Growth-Promoting Bacteria Bacillus subtilis IB-22 on the Hydraulic Conductivity and Abundance of PIP2 Aquaporins in the Roots of an Abscisic Acid-Deficient Barley Mutant
by Zarina Akhtyamova, Tatiana Arkhipova, Guzel Sharipova, Ruslan Ivanov, Tatyana Nuzhnaya, Guzel Kudoyarova and Dmitry Veselov
Int. J. Mol. Sci. 2024, 25(19), 10706; https://doi.org/10.3390/ijms251910706 - 4 Oct 2024
Cited by 5 | Viewed by 1964
Abstract
Little information is available on how rhizosphere bacteria affect abscisic acid (ABA) levels in plants and whether these bacterial effects are associated with improved plant water status. In this study, we tested the hypothesis that the stimulation of plant growth may be associated [...] Read more.
Little information is available on how rhizosphere bacteria affect abscisic acid (ABA) levels in plants and whether these bacterial effects are associated with improved plant water status. In this study, we tested the hypothesis that the stimulation of plant growth may be associated with the ability of ABA to increase the hydraulic conductivity of roots through the up-regulation of aquaporin. To do this, we studied the effect of bacteria capable of producing ABA on a barley mutant deficient in this hormone. Measurements of hydraulic conductivity of the ABA-deficient barley mutant Az34 showed that its tissues exhibited a reduced ability to conduct water, which correlated with lower ABA content in plants. The inoculation of Bacillus subtilis IB-22 stimulated the growth of both the mutant and its parent variety. Also, under the influence of bacteria, the ABA content in plants increased, and the increase was more significant in the mutant. This effect was accompanied by an increase in hydraulic conductivity in the roots of the ABA-deficient mutant, and immunolocalization using antibodies against PIP2;1 and PIP2;2 aquaporins revealed an increase in their abundance. Thus, the results obtained support the hypothesis about the importance of a sufficiently high ABA content in plants to maintain the abundance of aquaporins, hydraulic conductivity and the growth of barley plants. Full article
(This article belongs to the Special Issue Hormonal Regulation of Plant Growth)
Show Figures

Figure 1

22 pages, 6656 KB  
Article
Genome-Wide Analysis of Aquaporins Gene Family in Populus euphratica and Its Expression Patterns in Response to Drought, Salt Stress, and Phytohormones
by Boniface Ndayambaza, Jianhua Si, Dongmeng Zhou, Xue Bai, Bing Jia, Xiaohui He, Chunlin Wang, Jie Qin, Xinglin Zhu, Zijin Liu and Boyang Wang
Int. J. Mol. Sci. 2024, 25(18), 10185; https://doi.org/10.3390/ijms251810185 - 23 Sep 2024
Cited by 5 | Viewed by 2443
Abstract
Aquaporins (AQPs) play an essential role in membrane water transport during plant responses to water stresses centered on conventional upstream signals. Phytohormones (PHs) regulate plant growth and yield, working with transcription factors to help plants withstand environmental challenges and regulate physiological and chemical [...] Read more.
Aquaporins (AQPs) play an essential role in membrane water transport during plant responses to water stresses centered on conventional upstream signals. Phytohormones (PHs) regulate plant growth and yield, working with transcription factors to help plants withstand environmental challenges and regulate physiological and chemical processes. The AQP gene family is important, so researchers have studied its function and regulatory system in numerous species. Yet, there is a critical gap the understanding of many of their molecular features, thus our full knowledge of AQPs is far-off. In this study, we undertook a broad examination of the AQP family gene in Populus euphratica via bioinformatics tools and analyzed the expression patterns of certain members in response to drought, salt, and hormone stress. A total of 22 AQP genes were examined in P. euphratica, and were categorized into four main groups, including TIPs, PIPs, SIPs, and NIPs based on phylogenetic analysis. Comparable exon–intron gene structures were found by gene structure examination, and similarities in motif number and pattern within the same subgroup was determined by motif analysis. The PeuAQP gene family has numerous duplications, and there is a distinct disparity in how the members of the PeuAQP family react to post-translational modifications. Abiotic stress and hormone responses may be mediated by AQPs, as indicated by the abundance of stress response elements found in 22 AQP genes, as revealed by the promoter’s cis-elements prediction. Expression pattern analysis reveals that selected six AQP genes from the PIP subgroup were all expressed in the leaves, stem, and roots with varying expression levels. Moreover, qRT-PCR analysis discovered that the majority of the selected AQP members were up- or down-regulated in response to hormone treatment and abiotic stress. Remarkably, PeuAQP14 and PeuAQP15 appeared to be highly responsive to drought stress and PeuAQP15 exhibited a high response to salt stress. The foliar application of the phytohormones (SA, IAA, GA3, MeJA, and ABA) were found to either activate or inhibit PeuAQP, suggesting that they may mitigate the effects of water shortage of poplar water stress. The present work enhances our knowledge of the practical roles of AQPs in stress reactions and offers fundamental information for the AQP genes in poplar species. It also highlights a direction for producing new varieties of poplar species with drought, salt, and hormone tolerance and holds substantial scientific and ecological importance, offering a potential contribution to the conservation of poplar species in arid regions. Full article
(This article belongs to the Special Issue New Insights in Plant Abiotic Stress)
Show Figures

Figure 1

14 pages, 2405 KB  
Article
Urinary Extracellular Vesicles for Non-Invasive Quantification of Principal Cell Damage in Kidney Transplant Recipients
by Per Svenningsen, Rima Maslauskiene, Yaseelan Palarasah, Inga A. Bumblyte and Martin Tepel
Biomolecules 2024, 14(9), 1124; https://doi.org/10.3390/biom14091124 - 5 Sep 2024
Cited by 2 | Viewed by 1898
Abstract
The objective of the present study was to compare principal cell-specific aquaporin-2 (AQP2) abundances in urinary extracellular vesicles (uEVs) on the first postoperative day in deceased-donor kidney transplant recipients without and with acute kidney injury. We measured uEV markers (CD9 and CD63) and [...] Read more.
The objective of the present study was to compare principal cell-specific aquaporin-2 (AQP2) abundances in urinary extracellular vesicles (uEVs) on the first postoperative day in deceased-donor kidney transplant recipients without and with acute kidney injury. We measured uEV markers (CD9 and CD63) and the abundances of proximal tubular sodium-glucose transporter 2, distal tubular sodium/chloride cotransporter, and principal cell-specific aquaporin-2 using Western blotting of urine. uEV-AQP2 levels were normalized to living donor controls. The validation cohort consisted of 82 deceased-donor kidney transplant recipients who had a median age of 50 years (IQR 43 to 57 years). A total of 32% of recipients had acute kidney injury. The median uEV-AQP2 was significantly higher in recipients with acute kidney injury compared to immediate allograft function (2.05; IQR 0.87 to 2.83; vs. 0.81; IQR 0.44 to 1.78; p < 0.01). The Youden index indicated a uEV-AQP2 threshold of 2.00. Stratifying uEV-AQP2 into quartiles showed that recipients with higher uEV-AQP2 levels had higher rates of acute kidney injury (Cochran–Armitage, p = 0.001). The discovery cohort showed elevated CD9, CD63, and uEV-AQP2 levels in urine from recipients with acute kidney injury compared to immediate allograft function. We were able to quantify the damage of principal cells after kidney transplant to predict acute kidney injury using uEV-AQP2. Full article
(This article belongs to the Special Issue Extracellular Vesicles as Biomarkers of Diseases)
Show Figures

Figure 1

15 pages, 2866 KB  
Article
Glycerol Handling in Paired Visceral and Subcutaneous Adipose Tissues in Women with Normal Weight and Upper-Body Obesity
by Anne Nørholm, Ida Guldbrandt Kjær, Esben Søndergaard, Birgitte Nellemann, Søren Nielsen and Janne Lebeck
Int. J. Mol. Sci. 2024, 25(16), 9008; https://doi.org/10.3390/ijms25169008 - 19 Aug 2024
Viewed by 1789
Abstract
In adipose tissue, reduced expression of the glycerol channel aquaporin 7 (AQP7) has been associated with increased accumulation of triglyceride. The present study determines the relative protein abundances of lipolytic enzymes, AQP7, and cytosolic phosphoenolpyruvate carboxykinase (PEPCK-C) in paired mesenteric and omental visceral [...] Read more.
In adipose tissue, reduced expression of the glycerol channel aquaporin 7 (AQP7) has been associated with increased accumulation of triglyceride. The present study determines the relative protein abundances of lipolytic enzymes, AQP7, and cytosolic phosphoenolpyruvate carboxykinase (PEPCK-C) in paired mesenteric and omental visceral adipose tissue (VAT) and abdominal and femoral subcutaneous adipose tissue (SAT) in women with either normal weight or upper-body obesity. No differences in the expression of hormone-sensitive lipase (HSL) or AQP7 were found between the two groups in the four depots. The expression of adipocyte triglyceride lipase (ATGL) and HSL were higher in omental VAT and femoral SAT than in mesenteric VAT in both groups of women. Similarly, AQP7 expression was higher in omental VAT than in mesenteric VAT. The expression of PEPCK-C was lower in omental VAT than in femoral SAT. No correlation between the expression of AQP7 and the mean adipocyte size was observed; however, the expression of PEPCK-C positively correlated with the mean adipocyte size. In conclusion, a depot-specific protein expression pattern was found for ATGL, HSL, AQP7, and PEPCK-C. The expression pattern supports that the regulation of AQP7 protein expression is at least in part linked to the lipolytic rate. Furthermore, the results support that the synthesis of glycerol-3-phosphate via glyceroneogenesis contributes to regulating triglyceride accumulation in white adipose tissue in women. Full article
(This article belongs to the Special Issue New Insights into Aquaporins: 2nd Edition)
Show Figures

Figure 1

14 pages, 3111 KB  
Article
A Step Forward in Understanding the Expression of Classical Aquaporins in the Male Reproductive Tract: Study Findings in Cattle (Bos taurus)
by Patrycja Oberska, Marta Grabowska, Marta Marynowska, Maciej Murawski, Dariusz Gączarzewicz, Andrzej Syczewski and Katarzyna Michałek
Int. J. Mol. Sci. 2024, 25(14), 7653; https://doi.org/10.3390/ijms25147653 - 12 Jul 2024
Cited by 3 | Viewed by 1988
Abstract
Aquaporins (AQPs), also known as water channels, appear to be particularly promising in maintaining male reproductive potential. Therefore, this study aimed to determine the presence of classical AQPs in the bovine (Bos taurus) reproductive system and analyze changes in their expression [...] Read more.
Aquaporins (AQPs), also known as water channels, appear to be particularly promising in maintaining male reproductive potential. Therefore, this study aimed to determine the presence of classical AQPs in the bovine (Bos taurus) reproductive system and analyze changes in their expression with age using immunohistochemistry and Western blotting. Of the six classical AQPs, AQP0, AQP1, AQP4, AQP5 and AQP6 were detected, while AQP2 was absent. In the testis, AQP0 was visible in Leydig cells in selected animals, while AQP1 was found in myoid cells surrounding the seminiferous tubules of mature individuals. This characteristic expression patterns of AQP0, limited only to certain bulls, is difficult to explain unequivocally. It is possible that AQP0 expression in cattle is subject to individual variability or changes in response to specific physiological conditions. In the caput and corpus epididymis, AQP0 showed weak expression in epithelial cells of immature animals and stronger expression in basal and principal cells of reproductive bulls. In all animals, AQP1 was present on the apical surface of epithelial cells in the initial segment of the caput epididymis. AQP4, AQP5 and AQP6 were identified in principal and basal cells along the entire epididymis of reproductive bulls. The abundance of AQP4 and AQP6 increased from the caput to the cauda epididymis with the growth and development of the animals. In all males, AQP4, AQP5 and AQP6 were observed in epithelial cells of the vas deferens, and their expression in this section increased with age. In conclusion, the abundance and distribution of the classical AQPs in various cell types and parts of the male reproductive system indicate their crucial role in maintaining water homeostasis, which is essential for normal reproductive function in cattle. Full article
(This article belongs to the Special Issue Molecular Biology and Hormonal Regulation in Reproductive Processes)
Show Figures

Figure 1

15 pages, 4859 KB  
Article
Long-Term Sodium Deficiency Reduces Sodium Excretion but Impairs Renal Function and Increases Stone Formation in Hyperoxaluric Calcium Oxalate Rats
by Yuan-Chi Huang, Chan-Jung Liu, Ze-Hong Lu and Ho-Shiang Huang
Int. J. Mol. Sci. 2024, 25(7), 3942; https://doi.org/10.3390/ijms25073942 - 1 Apr 2024
Cited by 2 | Viewed by 3063
Abstract
Excessive sodium intake is associated with nephrolithiasis, but the impact of sodium-deficient (SD) diets is unknown. Hence, we investigated the effects of short- and long-term SD diets on the expression of renal aquaporins and sodium transporters, and thus calcium oxalate (CaOx) crystal formation [...] Read more.
Excessive sodium intake is associated with nephrolithiasis, but the impact of sodium-deficient (SD) diets is unknown. Hence, we investigated the effects of short- and long-term SD diets on the expression of renal aquaporins and sodium transporters, and thus calcium oxalate (CaOx) crystal formation in hyperoxaluria rats. In a short-term sodium balance study, six male rats received drinking water and six received 0.75% ethylene glycol (EG) to induce hyperoxaluria. After a 30-day period of feeding on normal chow, both groups were treated with a normal-sodium diet for 5 days, followed by a sodium-free diet for the next 5 days. In a long-term SD study (42 days), four groups, induced with EG or not, were treated with normal-sodium water and sodium-free drinking water, alternately. Short-term sodium restriction in EG rats reversed the daily positive sodium balance, but progressively caused a negative cumulative water balance. In the long-term study, the abundant levels of of Na/H exchanger, thiazide-sensitive Na-Cl cotransporter, Na-K-ATPase, and aquaporins-1 from SD + EG rats were markedly reduced, corresponding to a decrease in Uosm, as compared to SD rats. Increased urine calcium, AP(CaOx)index, and renal CaOx deposition were also noted in SD + EG rats. Although the SD treatment reduced sodium excretion, it also increased urinary calcium and impaired renal function, ultimately causing the formation of more CaOx crystals. Full article
(This article belongs to the Section Molecular Pathology, Diagnostics, and Therapeutics)
Show Figures

Figure 1

12 pages, 3515 KB  
Article
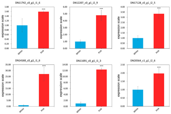
Identification and Validation of Reference Genes for qRT-PCR Analysis of Petal-Color-Related Genes in Rosa praelucens
by Hongying Jian, Huichun Wang, Xianqin Qiu, Huijun Yan and Lulin Ma
Genes 2024, 15(3), 277; https://doi.org/10.3390/genes15030277 - 23 Feb 2024
Cited by 4 | Viewed by 2628
Abstract
The flower’s color is regarded as one of the most outstanding features of the rose. Rosa praelucens Byhouwer, an endemic and critically endangered decaploid wild rose species, is abundant in phenotypic diversity, especially in flower color variation, from white to different degrees of [...] Read more.
The flower’s color is regarded as one of the most outstanding features of the rose. Rosa praelucens Byhouwer, an endemic and critically endangered decaploid wild rose species, is abundant in phenotypic diversity, especially in flower color variation, from white to different degrees of pink. The mechanism underlying this variation, e.g., the level of petal-color-related genes, is worth probing. Seven candidate reference genes for qRT-PCR analysis, including tubulin α chain (TUBA), glyceraldehyde-3-phosphate dehydrogenase (GAPDH), histone H2B (Histone2A), eukaryotic translation elongation factor 1-α (EEF1A), 60S ribosomal protein (RPL37), eukaryotic translation initiation factor 1-α (EIF1A), and aquaporins (AQP), were detected from the transcriptome datasets of full blooming flowers of white-petaled and pink-petaled individuals, and their expression stabilities were evaluated through qRT-PCR analysis. According to stability rankings analysis, EEF1A showed the highest stability and could be chosen as the most suitable reference gene. Moreover, the reliability of EEF1A was demonstrated via qRT-PCR analysis of six petal-color-related target genes, the expression patterns of which, through EEF1A normalization, were found to be consistent with the findings of transcriptome analysis. The result provides an optimal reference gene for exploring the expression level of petal-color-related genes in R. praelucens, which will accelerate the dissection of petal-color-variation mechanisms in R. praelucens. Full article
(This article belongs to the Section Plant Genetics and Genomics)
Show Figures

Figure 1

22 pages, 4970 KB  
Article
Deciphering Molecular Mechanisms Involved in the Modulation of Human Aquaporins’ Water Permeability by Zinc Cations: A Molecular Dynamics Approach
by Robin Mom, Stéphane Réty, Vincent Mocquet and Daniel Auguin
Int. J. Mol. Sci. 2024, 25(4), 2267; https://doi.org/10.3390/ijms25042267 - 14 Feb 2024
Cited by 2 | Viewed by 1757
Abstract
Aquaporins (AQPs) constitute a wide family of water channels implicated in all kind of physiological processes. Zinc is the second most abundant trace element in the human body and a few studies have highlighted regulation of AQP0 and AQP4 by zinc. In the [...] Read more.
Aquaporins (AQPs) constitute a wide family of water channels implicated in all kind of physiological processes. Zinc is the second most abundant trace element in the human body and a few studies have highlighted regulation of AQP0 and AQP4 by zinc. In the present work, we addressed the putative regulation of AQPs by zinc cations in silico through molecular dynamics simulations of human AQP0, AQP2, AQP4, and AQP5. Our results align with other scales of study and several in vitro techniques, hence strengthening the reliability of this regulation by zinc. We also described two distinct putative molecular mechanisms associated with the increase or decrease in AQPs’ water permeability after zinc binding. In association with other studies, our work will help deciphering the interaction networks existing between zinc and channel proteins. Full article
(This article belongs to the Section Biochemistry)
Show Figures

Figure 1

Back to TopTop