Sign in to use this feature.

Years

Between: -

Subjects

remove_circle_outline
remove_circle_outline
remove_circle_outline
remove_circle_outline
remove_circle_outline
remove_circle_outline

Journals

Article Types

Countries / Regions

Search Results (10)

Search Parameters:
Keywords = aluminum roofing panel

Order results
Result details
Results per page
Select all
Export citation of selected articles as:
26 pages, 7424 KB  
Article
Evaluation of Mechanical Behavior and Application Potential of Totora (Schoenoplectus californicus)-and-Recycled Low-Density Polyethylene–Aluminum (LDPE–Al) Hybrid Panels
by Oscar Jara-Vinueza, Wilson Pavon, Abel Remache, Flavio Arroyo, Michael Gutiérrez and Edgar Mora Figueroa
Buildings 2025, 15(13), 2212; https://doi.org/10.3390/buildings15132212 - 24 Jun 2025
Cited by 1 | Viewed by 1995
Abstract
The growing demand for sustainable materials has driven significant interest in composites reinforced with organic fibers, due to their mechanical performance, availability, and reduced environmental impact. This study investigates the mechanical behavior of two composite configurations: a cross-woven fabric and a sandwich-type panel, [...] Read more.
The growing demand for sustainable materials has driven significant interest in composites reinforced with organic fibers, due to their mechanical performance, availability, and reduced environmental impact. This study investigates the mechanical behavior of two composite configurations: a cross-woven fabric and a sandwich-type panel, both made from totora (Schoenoplectus californicus) and low-density polyethylene–aluminum (LDPE–Al). Our experimental results show that the cross-woven variant achieved higher impact resistance (2.51 J), tensile strength (5.82 MPa), and greater deformation capacity (6.76%), making it more suitable for applications requiring energy absorption and flexibility, such as interior cladding and modular furniture. In contrast, the sandwich configuration exhibited superior stiffness (910 MPa), favoring structural panels and low-load roofing uses. This research distinguishes itself by integrating biodegradable totora fibers with recycled LDPE–Al to fabricate sustainable construction components, advancing circular economy principles while addressing limitations in previous composite formulations through improved mechanical balance and application-specific performance. Full article
(This article belongs to the Section Building Materials, and Repair & Renovation)
Show Figures

Figure 1

20 pages, 7737 KB  
Article
Thermal Evaluation of a Water-to-Air Heat Exchanger Combined with Different Roof Configurations for Passive Cooling
by José-Manuel Almodóvar-Melendo and Pablo La Roche
Buildings 2025, 15(7), 1098; https://doi.org/10.3390/buildings15071098 - 27 Mar 2025
Cited by 1 | Viewed by 994
Abstract
Traditional conservation strategies often prioritize minimizing water use; nevertheless, water can also enhance thermal comfort by incorporating a water-to-air heat exchanger (WAHE) alongside non-direct evaporative and radiant cooling techniques. A WAHE can be installed in features such as ponds, water tanks, or rainwater [...] Read more.
Traditional conservation strategies often prioritize minimizing water use; nevertheless, water can also enhance thermal comfort by incorporating a water-to-air heat exchanger (WAHE) alongside non-direct evaporative and radiant cooling techniques. A WAHE can be installed in features such as ponds, water tanks, or rainwater cisterns. This article assesses the cooling potential of two prototypes of roof ponds and a green roof connected to a WAHE, and the results are compared to a baseline unit featuring a roof that meets California’s energy code standards. Several testing units, measuring 1.35 × 1.35 × 1.35 m, with identical heat characteristics, excluding the roof, were constructed and tested. In the first system, the heat that the green roof could not absorb was transferred to a water reservoir and then dissipated to the outside. The first roof pond prototype features a 0.35 m deep water pond topped with a 0.03 m thick insulating panel and a spray system. The second roof pond variant has an aluminum sheet with a 0.10 m air gap above a 0.25 m deep water pond. The results suggest that combining a WAHE with different roof configurations offers promising benefits while keeping water consumption limited. Notably, when the WAHE is operating, the green roof increase its performance by 47%, the insulated roof pond by 22%, and the roof pond with an aluminum sheet by 13%. Full article
(This article belongs to the Special Issue Climate-Responsive Architectural and Urban Design)
Show Figures

Figure 1

18 pages, 9147 KB  
Article
Structural Deterioration and Failure of the Laminated Wooden Roof of a Covered Swimming Pool
by Javier Pinilla-Melo, Nelson Flores-Medina, Luis Javier Sánchez-Aparicio and Jose Ramón Aira-Zunzunegui
Buildings 2024, 14(12), 3794; https://doi.org/10.3390/buildings14123794 - 27 Nov 2024
Cited by 1 | Viewed by 1880
Abstract
A swimming pool in Corrales de Buelna (Cantabria) was demolished in March 2017 due to the loss of mechanical performance of the laminated timber structure. The relevant deterioration was caused by rotting of the wood and corrosion of the metal connecting elements. The [...] Read more.
A swimming pool in Corrales de Buelna (Cantabria) was demolished in March 2017 due to the loss of mechanical performance of the laminated timber structure. The relevant deterioration was caused by rotting of the wood and corrosion of the metal connecting elements. The structure featured a barrel vault with five large tri-articulated arches enclosed on the sides by inclined facades formed by toral rafters and purlins. The corresponding diagnostic process involved data collection and structural assessments to verify the structure’s bearing capacity and serviceability. Data collection was carried out in December 2015 and consisted of a thermal camera inspection to determine the points of moisture accumulation and sampling openings, conduct environmental and wood hygrothermal measurements, and measure cross-sectional losses and deformations of the structural elements. Verification of the load-bearing capacity was carried out using matrix calculation structure software for both the original and deteriorated structure. The diagnosis indicated that the damage was caused by leaks in the joints of the aluminum composite roof panels and by the insufficient load-bearing capacity of the structure. The severity of the damage compromised the mechanical strength and stability of the building, leading to a recommendation that the use of the facilities be immediately discontinued. The degree of deterioration left the structure unrecoverable, making it very difficult to apply reinforcement measures. These factors led to the structure’s demolition to prevent its collapse. Full article
(This article belongs to the Special Issue Selected Papers from the REHABEND 2024 Congress)
Show Figures

Figure 1

18 pages, 14444 KB  
Article
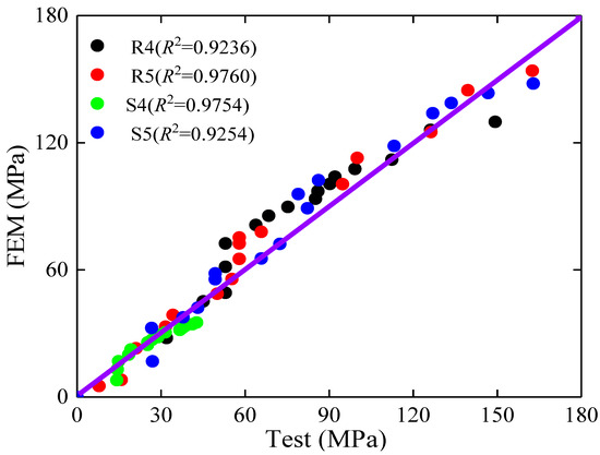
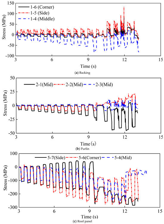
Experimental Study on Static Wind Uplift Resistance of Roofing Systems
by Laixiu Cheng and Junfeng Cheng
Buildings 2024, 14(1), 65; https://doi.org/10.3390/buildings14010065 - 25 Dec 2023
Cited by 1 | Viewed by 2908
Abstract
Metal roof systems were widely utilized in various important buildings; however, cases of wind damage were often observed. In this paper, wind uplift tests of standing seam aluminum magnesium manganese and continuous welded stainless-steel roof systems were conducted, and the wind resistance bearing [...] Read more.
Metal roof systems were widely utilized in various important buildings; however, cases of wind damage were often observed. In this paper, wind uplift tests of standing seam aluminum magnesium manganese and continuous welded stainless-steel roof systems were conducted, and the wind resistance bearing capacity and mechanical properties of key joints in the two roof systems were compared and analyzed. Strain gauges and displacement sensors were arranged at different structural layers and key nodes of the roof system to compare and analyze the stress and displacement changes. The results showed that the wind resistance capacity of the continuous welded stainless-steel roof system was more than 25% higher than that of the standing seam aluminum magnesium manganese roof system. The stress and displacement of the roof system gradually increased with the increase in wind load. Obvious differences in stress at different positions of the two roof systems were identified. The stress at the roof panel of the roof system was greater than that of other structural layers, and the maximum displacement of the roof panel in the elastic stage could reach more than 97.5 mm. The fitting coefficient between the test and the finite element was 0.976, and the ultimate bearing capacity of Specimen B was 479.64 MPa. The research results of this paper can provide some data support and reference for engineering design and applications. Full article
(This article belongs to the Section Building Materials, and Repair & Renovation)
Show Figures

Figure 1

24 pages, 3114 KB  
Article
Environmental Life Cycle Analysis and Energy Payback Period Evaluation of Solar PV Systems: The Case of Pakistan
by Hamad Hussain Shah, Piero Bareschino, Erasmo Mancusi and Francesco Pepe
Energies 2023, 16(17), 6400; https://doi.org/10.3390/en16176400 - 4 Sep 2023
Cited by 30 | Viewed by 10056
Abstract
This study employs a life cycle assessment (LCA) approach to investigate the environmental burden of photovoltaic power generation systems that use multi-crystalline silicon (multi-Si) modules in Pakistan. This study evaluates the energy payback time (EPBT) of this class of systems, and considers various [...] Read more.
This study employs a life cycle assessment (LCA) approach to investigate the environmental burden of photovoltaic power generation systems that use multi-crystalline silicon (multi-Si) modules in Pakistan. This study evaluates the energy payback time (EPBT) of this class of systems, and considers various environmental impacts, including climate change, acidification, and eutrophication. The assessment accounts for upstream, midstream, and downstream processes, including cell as well as module production. The critical stages in the production cycle were identified, including the metallic silicon transformation into solar silicon and the assembly of the panels, which involve energy-intensive materials such as aluminum frames and glass roofing. Despite using the most efficient conversion technology, the former stage consumes a significant amount of electricity. This study reveals that multi-Si PV systems in Pakistan have an EPBT that is considerably less than their lifespan, ranging from 2.5 to 3.5 years. These findings suggest that the development of PV systems in Pakistan is a very interesting option for energy production. Additionally, this study compares solar PV and wind power generation systems in various regions of Pakistan. The study outcomes can facilitate evidence-based decision-making processes in the renewable energy sector and contribute significantly to Pakistan’s endeavor to transition toward a sustainable energy system. Full article
(This article belongs to the Special Issue Advances in Photovoltaic Solar Energy)
Show Figures

Figure 1

27 pages, 13967 KB  
Article
Mechanical Properties of Double-Layer Riveted Aluminum Roofing Panels with Curved Surfaces
by Ye Yuan, Qilin Zhang, Xiaoqun Luo, Lin Yuan, Shaoquan Zhang and Hanbin Ge
Metals 2023, 13(8), 1452; https://doi.org/10.3390/met13081452 - 12 Aug 2023
Viewed by 2051
Abstract
In recent years, aluminum alloy has been increasingly used in building structures, becoming an important construction material for metal structures. Currently, aluminum alloy is commonly used in buildings as beam–column components, profiled roof panels, and door and window frames, among other forms. However, [...] Read more.
In recent years, aluminum alloy has been increasingly used in building structures, becoming an important construction material for metal structures. Currently, aluminum alloy is commonly used in buildings as beam–column components, profiled roof panels, and door and window frames, among other forms. However, there is limited research on the mechanical properties of aluminum alloy roof panels with irregular curved surfaces. In this study, a full-scale curved double-layer anisotropic riveted aluminum alloy roof panel was subjected to a load test to analyze its deformation patterns and failure mechanisms. The results indicate that the load-bearing capacity of the roof panel meets the design requirements. During failure, neither the upper nor lower layers of the panel enter the plastic deformation stage, indicating sufficient safety redundancy. The failure mode observed is a ductile failure with noticeable deformation with the weak points of the component being the riveted connections of the stiffeners. A finite element model was established for numerical simulation and the results matched well with the experimental data. Finally, a theoretical calculation for the ultimate load-bearing capacity of the roof panel was derived, providing a reference for design purposes. Full article
Show Figures

Figure 1

16 pages, 6264 KB  
Article
Research on the Reconstruction Design of the Closed Atrium of the No. 1 Office Building of Wuhan Kaidi
by Ziwei Li, Dandan Yu, Weiguo Xu, Mansheng Zhang, Wenying Geng and Ning Li
Buildings 2022, 12(10), 1674; https://doi.org/10.3390/buildings12101674 - 12 Oct 2022
Cited by 2 | Viewed by 3724
Abstract
Taking the atrium reconstruction project of the Wuhan Kaidi No. 1 office building as an example, this paper expounds on the closed atrium reconstruction project’s unique design methods. This study optimizes the atrium from the aspects of architectural aesthetics, structural stability, energy saving, [...] Read more.
Taking the atrium reconstruction project of the Wuhan Kaidi No. 1 office building as an example, this paper expounds on the closed atrium reconstruction project’s unique design methods. This study optimizes the atrium from the aspects of architectural aesthetics, structural stability, energy saving, and lighting performance. An asymmetric umbrella structure is used to support the atrium roof. The advantage of this umbrella structure is that the roof components are more uniform, and the atrium roof can be aesthetically “floating”. In addition, applying aluminum and glass panels at the top of the roof will directly affect the thermal and daylighting environment inside the atrium. Simulation technology realizes the trade-off design of energy consumption and daylighting index in this study. The simulation results show that the optimal comprehensive performance can be achieved when the area ratio of the glass and aluminum panels on the atrium top is 1:2. This study can provide a reference for other similar projects. Full article
Show Figures

Figure 1

9 pages, 38864 KB  
Article
Polymer Coating Effects: Study of Material Properties and Architectural Application Characteristics of Aluminum Template
by Fei Shuo Hung
Coatings 2021, 11(2), 240; https://doi.org/10.3390/coatings11020240 - 17 Feb 2021
Cited by 4 | Viewed by 4475
Abstract
In construction process, the formwork must be in contact with concrete to help the concrete solidify and fix the shape. Coating the formwork with a polymer can prolong its service life by reducing the amount of concrete sticking to the mold. Herein, an [...] Read more.
In construction process, the formwork must be in contact with concrete to help the concrete solidify and fix the shape. Coating the formwork with a polymer can prolong its service life by reducing the amount of concrete sticking to the mold. Herein, an aluminum template substrate was coated with polyvinylidene difluoride (PVDF) or polyurethane (PU). Aluminum template material analysis was conducted, polymer film thickness was measured, and weather, moisture, pollution, salt spray, abrasion, impact, and acid and alkali resistance tests were conducted, as were tensile, bending, adhesion, hardness, and salt water resistance tests. Cement adhesion resistance was repeatedly tested. The experimental results indicated that the PVDF-coated template was superior. The novel PVDF Aluminum template exhibited high corrosion resistance and can be used in building materials, for example, in ceilings, partition walls, curtain walls, roof panels, and roof trusses. For reference, it can also be applied to ship structures and seaside and wind power generation projects. Full article
(This article belongs to the Special Issue Advances in Thin Film Transistors: Properties and Applications)
Show Figures

Figure 1

18 pages, 3995 KB  
Article
Effect of Green Roof Configuration and Hydrological Variables on Runoff Water Quantity and Quality
by Pascual Ferrans, Carlos Vicente Rey, Gabriel Pérez, Juan Pablo Rodríguez and Mario Díaz-Granados
Water 2018, 10(7), 960; https://doi.org/10.3390/w10070960 - 20 Jul 2018
Cited by 41 | Viewed by 7474
Abstract
Green roofs (GRs) are a feasible solution for mitigating increased runoff volumes in urban areas. Though many studies have focused their analysis on the quantity and quality of GR runoff, with respect to the relevance of specific site conditions in GR performance, the [...] Read more.
Green roofs (GRs) are a feasible solution for mitigating increased runoff volumes in urban areas. Though many studies have focused their analysis on the quantity and quality of GR runoff, with respect to the relevance of specific site conditions in GR performance, the information gathered for the tropical Andes is not sufficient. This study assessed the hydrological performance and runoff water quality of 12 green roof modular systems located at the Universidad de los Andes campus (Bogotá, Colombia). Based on 223 rainfall events spanning a 3-year period, average rainfall retention was 85% (coefficient of variation = 29%). t-tests, the Welch Test, multiple linear regressions, and correlation analysis were performed in order to assess the potential effect of air temperature, substrate type, vegetation cover, relative humidity, antecedent dry weather period (ADWP), rainfall duration, and rainfall maximum intensity. In some cases, GR design variables (i.e., substrate type and vegetation cover) were found to be significant for describing rainfall retention efficiencies and, depending on the GR type, some hydrological variables were also correlated with rainfall retention. Rainfall and GR runoff from 12 rainfall events were also monitored for total Kjeldahl nitrogen (TKN), nitrates, nitrites, ammonia, total phosphorus (TP), phosphates, pH, total dissolved solids (TDS), total suspended solids (TSS), color, turbidity, biological oxygen demand (BOD), chemical oxygen demand (COD), total coliforms, metals (i.e., zinc, copper, nickel, lead, selenium, aluminum, barium, boron, calcium, strontium, iron, lithium, magnesium, manganese, potassium, sodium), and polyaromatic hydrocarbons (PAHs). The results obtained confirmed that GR systems have the ability to neutralize pH, but are a source of the rest of the aforementioned parameters, excluding PAHs (with concentrations below detection limits), ammonia, TSS, selenium and lithium, where differences with control cases (rainfall and plastic panel runoff) were not statistically significant. Substrate type, event size, and rainfall regime are relevant variables for explaining runoff water quality. Full article
(This article belongs to the Special Issue Hydrological Performance of Green Roofs)
Show Figures

Figure 1

9 pages, 2952 KB  
Article
The Lateral Compressive Buckling Performance of Aluminum Honeycomb Panels for Long-Span Hollow Core Roofs
by Caiqi Zhao, Weidong Zheng, Jun Ma and Yangjian Zhao
Materials 2016, 9(6), 444; https://doi.org/10.3390/ma9060444 - 3 Jun 2016
Cited by 30 | Viewed by 10165
Abstract
To solve the problem of critical buckling in the structural analysis and design of the new long-span hollow core roof architecture proposed in this paper (referred to as a “honeycomb panel structural system” (HSSS)), lateral compression tests and finite element analyses were employed [...] Read more.
To solve the problem of critical buckling in the structural analysis and design of the new long-span hollow core roof architecture proposed in this paper (referred to as a “honeycomb panel structural system” (HSSS)), lateral compression tests and finite element analyses were employed in this study to examine the lateral compressive buckling performance of this new type of honeycomb panel with different length-to-thickness ratios. The results led to two main conclusions: (1) Under the experimental conditions that were used, honeycomb panels with the same planar dimensions but different thicknesses had the same compressive stiffness immediately before buckling, while the lateral compressive buckling load-bearing capacity initially increased rapidly with an increasing honeycomb core thickness and then approached the same limiting value; (2) The compressive stiffnesses of test pieces with the same thickness but different lengths were different, while the maximum lateral compressive buckling loads were very similar. Overall instability failure is prone to occur in long and flexible honeycomb panels. In addition, the errors between the lateral compressive buckling loads from the experiment and the finite element simulations are within 6%, which demonstrates the effectiveness of the nonlinear finite element analysis and provides a theoretical basis for future analysis and design for this new type of spatial structure. Full article
(This article belongs to the Special Issue Computational Multiscale Modeling and Simulation in Materials Science)
Show Figures

Graphical abstract

Back to TopTop