Sign in to use this feature.

Years

Between: -

Subjects

remove_circle_outline
remove_circle_outline
remove_circle_outline
remove_circle_outline
remove_circle_outline

Journals

Article Types

Countries / Regions

Search Results (6)

Search Parameters:
Keywords = active clamp snubber

Order results
Result details
Results per page
Select all
Export citation of selected articles as:
16 pages, 4237 KB  
Article
Solid-State Circuit Breaker Topology Design Methodology for Smart DC Distribution Grids with Millisecond-Level Self-Healing Capability
by Baoquan Wei, Haoxiang Xiao, Hong Liu, Dongyu Li, Fangming Deng, Benren Pan and Zewen Li
Energies 2025, 18(14), 3613; https://doi.org/10.3390/en18143613 - 9 Jul 2025
Viewed by 1954
Abstract
To address the challenges of prolonged current isolation times and high dependency on varistors in traditional flexible short-circuit fault isolation schemes for DC systems, this paper proposes a rapid fault isolation circuit design based on an adaptive solid-state circuit breaker (SSCB). By introducing [...] Read more.
To address the challenges of prolonged current isolation times and high dependency on varistors in traditional flexible short-circuit fault isolation schemes for DC systems, this paper proposes a rapid fault isolation circuit design based on an adaptive solid-state circuit breaker (SSCB). By introducing an adaptive current-limiting branch topology, the proposed solution reduces the risk of system oscillations induced by current-limiting inductors during normal operation and minimizes steady-state losses in the breaker. Upon fault occurrence, the current-limiting inductor is automatically activated to effectively suppress the transient current rise rate. An energy dissipation circuit (EDC) featuring a resistor as the primary energy absorber and an auxiliary varistor (MOV) for voltage clamping, alongside a snubber circuit, provides an independent path for inductor energy release after faults. This design significantly alleviates the impact of MOV capacity constraints on the fault isolation process compared to traditional schemes where the MOV is the primary energy sink. The proposed topology employs a symmetrical bridge structure compatible with both pole-to-pole and pole-to-ground fault scenarios. Parameter optimization ensures the IGBT voltage withstand capability and energy dissipation efficiency. Simulation and experimental results demonstrate that this scheme achieves fault isolation within 0.1 ms, reduces the maximum fault current-to-rated current ratio to 5.8, and exhibits significantly shorter isolation times compared to conventional approaches. This provides an effective solution for segment switches and tie switches in millisecond-level self-healing systems for both low-voltage (LVDC, e.g., 750 V/1500 V DC) and medium-voltage (MVDC, e.g., 10–35 kV DC) smart DC distribution grids, particularly in applications demanding ultra-fast fault isolation such as data centers, electric vehicle (EV) fast-charging parks, and shipboard power systems. Full article
(This article belongs to the Special Issue AI Solutions for Energy Management: Smart Grids and EV Charging)
Show Figures

Figure 1

18 pages, 5475 KB  
Article
Interleaved Modified SEPIC Converters with Soft Switching and High Power Factor for LED Lighting Appliance
by Hung-Liang Cheng, Chun-An Cheng, Chien-Hsuan Chang, En-Chih Chang, Lain-Chyr Hwang and Yi-Chan Hung
Appl. Sci. 2024, 14(15), 6656; https://doi.org/10.3390/app14156656 - 30 Jul 2024
Viewed by 1876
Abstract
A novel ac/dc LED driver with power factor correction and soft-switching functions is proposed. The circuit topology mainly consists of two modified single-ended primary inductance converters (SEPIC) with interleaved operation. The first half stage of SEPIC operates like a boost converter and the [...] Read more.
A novel ac/dc LED driver with power factor correction and soft-switching functions is proposed. The circuit topology mainly consists of two modified single-ended primary inductance converters (SEPIC) with interleaved operation. The first half stage of SEPIC operates like a boost converter and the second half stage operates like a buck–boost converter. Each boost converter is designed to operate in discontinuous current mode (DCM) to function as a power factor corrector (PFC). The two buck–boost converters that share a commonly coupled inductor are designed to operate at near boundary conduction mode (BCM). Without using any active clamping circuit, auxiliary switch or snubber circuit, the active switches can achieve zero-voltage switching on, and all diodes achieve zero-current switching off. First, operation modes in steady state are analyzed, and the mathematical equations for design component parameters are derived. Finally, a prototype circuit of 180 W rated power was built and tested. Experimental results show satisfactory performance of the proposed circuit. Full article
(This article belongs to the Section Optics and Lasers)
Show Figures

Figure 1

21 pages, 7747 KB  
Article
Analysis and Optimization of a Regenerative Snubber for a GaN-Based USB-PD Flyback Converter
by Fabio Cacciotto, Alessandro Cannone, Emanuele Cassarà and Santi Agatino Rizzo
Electronics 2024, 13(6), 1045; https://doi.org/10.3390/electronics13061045 - 11 Mar 2024
Cited by 3 | Viewed by 3512
Abstract
This paper presents a high-efficiency GaN-based 65 W Quasi-Resonant (QR) Flyback converter. The converter is characterized by a wide input voltage range and a variable output voltage, and it is designed as a Switch Mode Power Supply (SMPS) for high power density USP-Power [...] Read more.
This paper presents a high-efficiency GaN-based 65 W Quasi-Resonant (QR) Flyback converter. The converter is characterized by a wide input voltage range and a variable output voltage, and it is designed as a Switch Mode Power Supply (SMPS) for high power density USP-Power Delivery (USB-PD) applications. To increase the efficiency and power density, a regenerative snubber clamp solution has been used to limit the excursion of the drain voltage during the power switch turn-off. The activity involved the modeling of the converter, the sizing of the regenerative snubber, and the design of the flyback transformer. Furthermore, a dedicated test application board was used to verify the effectiveness of the solution. The results were compared with those obtained using a flyback converter with an RCD snubber. Full article
Show Figures

Figure 1

21 pages, 11618 KB  
Article
A High-Efficiency QR Flyback DC–DC Converter with Reduced Switch Voltage Stress Realized by Applying a Self-Driven Active Snubber (SDAS)
by Jeong-Sang Yoo, Jong-Ok Baek and Tae-Young Ahn
Energies 2023, 16(3), 1068; https://doi.org/10.3390/en16031068 - 18 Jan 2023
Cited by 11 | Viewed by 6013
Abstract
In this paper, a QR flyback converter using a self-driven active snubber (SDAS) was proposed to solve the problem of voltage surge in the switch of QR flyback converters. In the proposed converter, the SDAS consisting of a clamping capacitor and an active [...] Read more.
In this paper, a QR flyback converter using a self-driven active snubber (SDAS) was proposed to solve the problem of voltage surge in the switch of QR flyback converters. In the proposed converter, the SDAS consisting of a clamping capacitor and an active switch can be configured in parallel with the main switch or transformer to reduce the voltage surge in the switch. To confirm the steady-state characteristics of the QR flyback converter to which the proposed SDAS is applied, equivalent circuits for each state were constructed, and the equations and characteristics for each state were determined. A 60 W class small AC–DC adapter was constructed to confirm the effectiveness of the proposed converter and the control circuit method, and the experimental results were analyzed. The size of the experimental AC–DC adapter was 74×29×23 mm, and it had a high power density of 20 W/in3 or more. The experimental circuit was limited to the high power conversion efficiency of up to 91.56%, and the maximum voltage surge in the switch was approximately 450 V. One of the reasons for such high efficiency is the SDAS circuit, which sufficiently reduces the voltage surge of the QR flyback switch, compared with the RCD clamp circuit, and does not consume power in principle. Full article
(This article belongs to the Topic Power Converters)
Show Figures

Figure 1

13 pages, 4062 KB  
Article
Implementation of Snubber Circuits in a PV-Based Off-Grid Electric Vehicle Charging Station—Comparative Case Studies
by Divya Krishnan Nair, Krishnamachar Prasad and Tek Tjing Lie
Energies 2021, 14(18), 5853; https://doi.org/10.3390/en14185853 - 16 Sep 2021
Cited by 2 | Viewed by 2884
Abstract
With the penetration of electric vehicles (EVs), there have been paradigm shifts in the transportation sector. EVs are ideally considered to be clean and eco-friendly, but they can overload the existing grid infrastructure and significantly contribute towards carbon emissions depending on the source [...] Read more.
With the penetration of electric vehicles (EVs), there have been paradigm shifts in the transportation sector. EVs are ideally considered to be clean and eco-friendly, but they can overload the existing grid infrastructure and significantly contribute towards carbon emissions depending on the source of charging. The ideal solution is to develop a charging infrastructure for EVs that is integrated with solar energy technology. This paper presents the design of a zero-voltage switching snubber-based bidirectional converter for an off-grid charging station for EVs. The proposed system includes a solar array with a boost converter, a bidirectional converter with snubber circuits and an energy storage unit. A comprehensive comparison between various types of snubbers, such as the resistive capacitive diode snubber, active clamp snubber and flyback snubber, is presented. This type of system configuration clamps the rail voltage, due to the difference in current between leakage inductance and low voltage side-fed inductor currents, resulting in reduced current spikes at the converter’s switches. Such a converter, therefore, leads to higher efficiency of the charging station for EVs. The design of a snubber-based off-grid charging station for EVs is formulated and validated in the MATLAB/Simulink environment. Full article
Show Figures

Graphical abstract

22 pages, 5774 KB  
Article
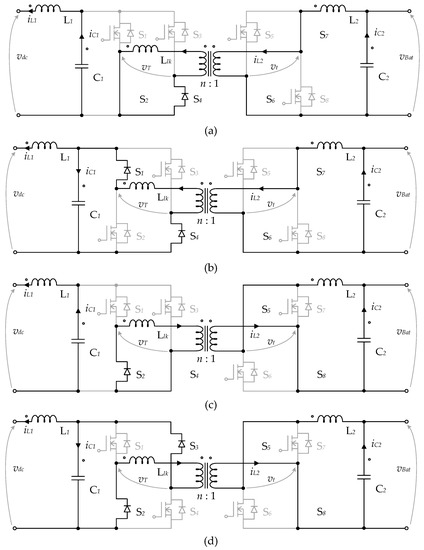
Asymmetrical Pulse-Width Modulation Strategy for Current-Fed Dual Active Bridge Bidirectional Isolated Converter Applied to Energy Storage Systems
by Edivan Laercio Carvalho, Luiz Henrique Meneghetti, Emerson Giovani Carati, Jean Patric da Costa, Carlos Marcelo de Oliveira Stein and Rafael Cardoso
Energies 2020, 13(13), 3475; https://doi.org/10.3390/en13133475 - 5 Jul 2020
Cited by 18 | Viewed by 4856
Abstract
This paper proposes an asymmetrical pulse-width modulation (PWM) strategy for current-fed dual-active bridge (CFDAB) converters applied to energy storage systems (ESS). The ESS application considers low-voltage and high-capacity batteries, for low-power applications, such as data centers, residential photovoltaic systems (PV), and uninterruptable power [...] Read more.
This paper proposes an asymmetrical pulse-width modulation (PWM) strategy for current-fed dual-active bridge (CFDAB) converters applied to energy storage systems (ESS). The ESS application considers low-voltage and high-capacity batteries, for low-power applications, such as data centers, residential photovoltaic systems (PV), and uninterruptable power supplies (UPS). The proposed modulation permits the use of an isolation transformer with negligible leakage inductance and, therefore, avoids the use of auxiliary circuits such as snubbers, active-clamp, or resonant cells. Hence, the converter implementation is simplified. The modulation also benefits the design of the control system because the converter can be modeled and controlled using simple strategies. A straightforward, large-signal model for the battery charge mode, which is valid over all the operation range of the converter, is obtained. Also, the converter operates with a fixed dc bus voltage on both charge and discharge modes. These characteristics represent a significant advantage when the CFDAB with PWM modulation is compared with phase-shifted or frequency modulations, commonly applied in these converters. Full article
(This article belongs to the Section F: Electrical Engineering)
Show Figures

Figure 1

Back to TopTop