Sign in to use this feature.

Years

Between: -

Subjects

remove_circle_outline
remove_circle_outline
remove_circle_outline
remove_circle_outline
remove_circle_outline
remove_circle_outline
remove_circle_outline

Journals

Article Types

Countries / Regions

Search Results (14)

Search Parameters:
Keywords = Ziziphora

Order results
Result details
Results per page
Select all
Export citation of selected articles as:
15 pages, 1329 KB  
Article
Antimicrobial Mixture Based on Micronized Kaolinite and Ziziphora Essential Oil as a Promising Formulation for the Management of Infected Wounds
by Aigerim A. Karaubayeva, Tolkyn Bekezhanova, Karlygash Zhaparkulova, Katarzyna Susniak, Jan Sobczynski, Paulina Kazimierczak, Agata Przekora, Krystyna Skalicka-Wozniak, Łukasz Kulinowski, Anna Glowniak-Lipa, Zuryiadda B. Sakipova and Izabela Korona-Głowniak
Int. J. Mol. Sci. 2024, 25(23), 13192; https://doi.org/10.3390/ijms252313192 - 8 Dec 2024
Cited by 5 | Viewed by 2661
Abstract
Kaolinite stands out as a promising natural geomaterial for developing new therapeutic systems aimed at addressing global health challenges, such as multidrug-resistant infections. In this study, we report on the formulation and biological activity of a therapeutic mixture composed of white micronized kaolinite [...] Read more.
Kaolinite stands out as a promising natural geomaterial for developing new therapeutic systems aimed at addressing global health challenges, such as multidrug-resistant infections. In this study, we report on the formulation and biological activity of a therapeutic mixture composed of white micronized kaolinite (KAO) and Ziziphora essential oil (ZEO), intended for topical application on infected wounds. GC–MS analysis revealed that the primary component of ZEO is pulegone, constituting 72.98% of the oil. ZEO demonstrated good bioactivity against bacterial and fungal strains (MIC 1.25–5 mg/mL). Additionally, ZEO at a concentration of 0.0156% (0.156 mg/mL) was found to significantly stimulate collagen synthesis. The antimicrobial activity of the tested KAO–ZEO mixture formulation (30% KAO/0.25% ZEO in an excipient base) showed the highest effectiveness against Candida spp. (MIC 0.08–25 mg/mL) and Gram-positive bacteria (MIC 0.16–25 mg/mL), with lower activity against Gram-negative bacteria (MIC 25–50 mg/mL). Moreover, the KAO–ZEO mixture was nontoxic (cell viability near 100%) to human skin fibroblasts according to the ISO 10993-5 standard and promoted collagen synthesis by skin cells. This is the first documented formulation combining KAO and ZEO, demonstrating significant antimicrobial properties along with the ability to stimulate collagen production in fibroblasts. These properties highlight KAO–ZEO as a promising novel treatment, which may synergize with current care standards and improve wound healing outcomes. Full article
Show Figures

Figure 1

21 pages, 3587 KB  
Article
Optimizing Nitrogen Fertilization to Maximize Yield and Bioactive Compounds in Ziziphora clinopodioides
by Saeid Hazrati, Zahra Mousavi, Saeed Mollaei, Mojde Sedaghat, Marzieh Mohammadi, Giuseppe Pignata and Silvana Nicola
Agriculture 2024, 14(10), 1690; https://doi.org/10.3390/agriculture14101690 - 27 Sep 2024
Cited by 7 | Viewed by 2029
Abstract
Ziziphora clinopodioides L. is a valuable medicinal and aromatic plant; however, its special requirements for proper growth and enhanced secondary metabolite composition have limited its production and availability. The lack of appropriate fertilizer dosage recommendations is one of these limiting factors for ex [...] Read more.
Ziziphora clinopodioides L. is a valuable medicinal and aromatic plant; however, its special requirements for proper growth and enhanced secondary metabolite composition have limited its production and availability. The lack of appropriate fertilizer dosage recommendations is one of these limiting factors for ex situ conservation and large-scale cultivation. This study investigated the effects of nitrogen (N) fertilization on Z. clinopodioides in both open field and unheated greenhouse conditions. The determined research factor was N dosage (0, 40, 80, and 120 kg N ha−1 in the field) and (0, 200, 400, and 600 mg N pot−1 in the greenhouse). It was found that Z. clinopodioides plants could grow successfully outside their natural habitat with sufficient N fertilization yielding a satisfactory amount of metabolites per plantation area. Specifically, among the tested dosages, the 120 kg N ha−1 (which showed no significant difference from 80 kg N ha−1) and 400 mg N pot−1 fertilizers increased the aboveground dry and fresh biomass, essential oil (EO) content, and yield. Nitrogen fertilization showed a direct correlation with menthone, neo-menthol, menthol, pulegone, E-ocimenone, and spathulenol, but a negative correlation with α-pinene, β-pinene, limonene, 1,8-cineol, trans-pulegol, and iso-menthone. This study is the first to evaluate the effects of N fertilization on the genus Ziziphora. The results indicate that utilizing N fertilizer at a moderate rate (80 kg N ha−1 in the field and 400 mg N pot−1 in the greenhouse) can improve the agronomic traits and EO of Z. clinopodioides. Full article
(This article belongs to the Section Crop Production)
Show Figures

Figure 1

20 pages, 1652 KB  
Review
Essential Oil Constituents as Anti-Inflammatory and Neuroprotective Agents: An Insight through Microglia Modulation
by Nikola M. Stojanović, Pavle J. Ranđelović, Maja Simonović, Milica Radić, Stefan Todorović, Myles Corrigan, Andrew Harkin and Fabio Boylan
Int. J. Mol. Sci. 2024, 25(10), 5168; https://doi.org/10.3390/ijms25105168 - 9 May 2024
Cited by 36 | Viewed by 8685
Abstract
Microglia are key players in the brain’s innate immune response, contributing to homeostatic and reparative functions but also to inflammatory and underlying mechanisms of neurodegeneration. Targeting microglia and modulating their function may have therapeutic potential for mitigating neuroinflammation and neurodegeneration. The anti-inflammatory properties [...] Read more.
Microglia are key players in the brain’s innate immune response, contributing to homeostatic and reparative functions but also to inflammatory and underlying mechanisms of neurodegeneration. Targeting microglia and modulating their function may have therapeutic potential for mitigating neuroinflammation and neurodegeneration. The anti-inflammatory properties of essential oils suggest that some of their components may be useful in regulating microglial function and microglial-associated neuroinflammation. This study, starting from the ethnopharmacological premises of the therapeutic benefits of aromatic plants, assessed the evidence for the essential oil modulation of microglia, investigating their potential pharmacological mechanisms. Current knowledge of the phytoconstituents, safety of essential oil components, and anti-inflammatory and potential neuroprotective effects were reviewed. This review encompasses essential oils of Thymus spp., Artemisia spp., Ziziphora clinopodioides, Valeriana jatamansi, Acorus spp., and others as well as some of their components including 1,8-cineole, β-caryophyllene, β-patchoulene, carvacrol, β-ionone, eugenol, geraniol, menthol, linalool, thymol, α-asarone, and α-thujone. Essential oils that target PPAR/PI3K-Akt/MAPK signalling pathways could supplement other approaches to modulate microglial-associated inflammation to treat neurodegenerative diseases, particularly in cases where reactive microglia play a part in the pathophysiological mechanisms underlying neurodegeneration. Full article
(This article belongs to the Section Molecular Immunology)
Show Figures

Figure 1

15 pages, 8539 KB  
Article
The Main Medicinal Plants in Arid Regions of Uzbekistan and Their Traditional Use in Folk Medicine
by Ozodbek S. Abduraimov, Wenjun Li, Habibullo F. Shomurodov and Ying Feng
Plants 2023, 12(16), 2950; https://doi.org/10.3390/plants12162950 - 15 Aug 2023
Cited by 12 | Viewed by 8377
Abstract
Seventy percent of the territory of Uzbekistan consists of arid regions. This situation is considered very favorable for plants adapted to a desert climate. Medicinal plants distributed in the arid regions of Uzbekistan have not been studied much. Medicinal plants are considered inexpensive, [...] Read more.
Seventy percent of the territory of Uzbekistan consists of arid regions. This situation is considered very favorable for plants adapted to a desert climate. Medicinal plants distributed in the arid regions of Uzbekistan have not been studied much. Medicinal plants are considered inexpensive, yet are vital for the lives of local residents. They play a very important role in the traditional healing of ailments. To determine the current state of medicinal plants and enhance their subsequent protection and sustainable use, it is necessary to obtain annual information on the state of their distribution, their population size, and the impact of negative factors on their populations. Based on our field studies, which were conducted during the period from 2012 to 2022 in the arid regions of Uzbekistan, we updated the checklists of the main medicinal plants used in these regions. A total of 529 medicinal species belonging to 70 families and 269 genera were identified in the study region. Several species, including Peganum harmala L., Capparis spinosa L., Ferula foetida (Bunge) Regel, Glycyrrhiza glabra L., Alhagi pseudalhagi (M. Bieb.) Desv. ex Wangerin, Lagochilus inebrians Bunge, Xanthium strumarium L., Silybum marianum (L.) Gaertn., Onopordum acanthium L., Ziziphora tenuior L., and Cichorium intybus L., are spread over large areas and have been used regularly by the locals since ancient times. These species are common in saline and degraded soils in arid regions of Uzbekistan. Semi-structured interviews were conducted with tabibs (traditional doctors), elders, herders, and residents with experience in traditional healing using medicinal plants. The medicinal value of most plants was based on the interviews with representatives of the local population, which were useful for understanding traditional healing skills and customer service skills. Full article
(This article belongs to the Special Issue Mapping Asia Plants)
Show Figures

Figure 1

24 pages, 2917 KB  
Article
Multidirectional Characterization of Phytochemical Profile and Health-Promoting Effects of Ziziphora bungeana Juz. Extracts
by Karlygash Zhaparkulova, Aigerim Karaubayeva, Zuriyadda Sakipova, Anna Biernasiuk, Katarzyna Gaweł-Bęben, Tomasz Laskowski, Aliya Kusniyeva, Azamat Omargali, Tolkyn Bekezhanova, Liliya Ibragimova, Galiya Ibadullayeva, Amangeldy Jakiyanov, Karolina Czech, Kuanysh Tastambek, Kazimierz Głowniak, Anna Malm and Wirginia Kukula-Koch
Molecules 2022, 27(24), 8994; https://doi.org/10.3390/molecules27248994 - 16 Dec 2022
Cited by 7 | Viewed by 3103
Abstract
Ziziphora species (Lamiaceae) have been used in traditional medicine as sedatives, antiseptics, carminatives, or expectorants. Despite their common applications in phytotherapy, there is still lack of evidence about the composition of their extracts and its impact on biological properties of the plants. The [...] Read more.
Ziziphora species (Lamiaceae) have been used in traditional medicine as sedatives, antiseptics, carminatives, or expectorants. Despite their common applications in phytotherapy, there is still lack of evidence about the composition of their extracts and its impact on biological properties of the plants. The aim of this study was to evaluate the content of Ziziphora bungeana, a less studied species growing in Kazakhstan, using HPLC-ESI-QTOF-MS/MS instrumentation and to determine its antimicrobial, antioxidant, and cytotoxic activity together with inhibitory properties against tyrosinase and toxicity in erythrocyte lysis assay. Extracts from Z. bungeana were found to be sources of flavonoids, phenolic acids, organic acids, and terpenes that determined their antiradical activity. The minimum inhibitory concentrations of extracts were lower for Gram-positive bacteria (1.25–10 mg/mL) than for Gram-negative bacteria and fungi (5–20 mg/mL). The EC50 value calculated for antiradical activity ranged between 15.00 ± 1.06 µg/mL and 13.21 ± 3.24 µg/mL for ABTS and DPPH assays, respectively. Z. bungeana extracts were found to decrease the activity of tyrosinase by 50% (at 200 µg/mL) similarly to kojic acid and were slightly cytotoxic for human melanoma A375 cell line (at 200 µg/mL) with no effect on HaCaT keratinocytes. In the end, Z. bungeana did not reveal toxic effects in hemolytic assay as compared to the positive control Triton X-100. The performed tests show potential application of the plant in the treatment of infectious diseases, disorders caused by free radicals, and skin problems. Full article
(This article belongs to the Special Issue Plant Metabolites: Accumulation, Profiling and Bioactivity)
Show Figures

Figure 1

19 pages, 1700 KB  
Article
Potential Antioxidant and Antiviral Activities of Hydroethanolic Extracts of Selected Lamiaceae Species
by Carmen Duque-Soto, Isabel Borrás-Linares, Rosa Quirantes-Piné, Irene Falcó, Gloria Sánchez, Antonio Segura-Carretero and Jesús Lozano-Sánchez
Foods 2022, 11(13), 1862; https://doi.org/10.3390/foods11131862 - 24 Jun 2022
Cited by 19 | Viewed by 3681
Abstract
Medicinal and aromatic plants (MAPs) are potential sources of natural bioactive phytochemical compounds of an incredible worth for the food industry, such as polyphenols. Lamiaceae medicinal and aromatic plants from Granada’s high plateau, concretely Origanum bastetanum, Thymus zygis gracilis, Thymus longiflorus [...] Read more.
Medicinal and aromatic plants (MAPs) are potential sources of natural bioactive phytochemical compounds of an incredible worth for the food industry, such as polyphenols. Lamiaceae medicinal and aromatic plants from Granada’s high plateau, concretely Origanum bastetanum, Thymus zygis gracilis, Thymus longiflorus, Thymus membranaceus and Ziziphora hispanica, were evaluated under different conventional solid–liquid extraction conditions to obtain extracts enriched in bioactive compounds. Phenolic profile was detected by HPLC-QTOF-MS, identifying a high abundance of bioactive constituents. Furthermore, antioxidant and antiviral activities of the mentioned plants were studied as biological properties of interest for the improvement of food shelf-life. Thus, Origanum bastetanum showed the highest antioxidant potential for all assays. Antiviral activity was also tested against some important foodborne viruses, feline calicivirus (FCV), murine norovirus (MNV) and hepatitis A virus (HAV), with the highest activity obtained for Ziziphora hispanica, Thymus longiflorus and Origanum bastetanum. This research proposes the studied plants as rich sources of bioactive compounds with potential use as preservatives in the food industry. Full article
(This article belongs to the Special Issue Bioactive Compounds, Antioxidants, and Health Benefits)
Show Figures

Graphical abstract

15 pages, 2786 KB  
Article
Control of Postharvest Gray Mold at Strawberry Fruits Caused by Botrytis cinerea and Improving Fruit Storability through Origanum onites L. and Ziziphora clinopodioides L. Volatile Essential Oils
by İbrahim Kahramanoğlu, Olga Panfilova, Tuba Genç Kesimci, Ayse Usanmaz Bozhüyük, Ramazan Gürbüz and Harun Alptekin
Agronomy 2022, 12(2), 389; https://doi.org/10.3390/agronomy12020389 - 4 Feb 2022
Cited by 32 | Viewed by 9413
Abstract
The present research was undertaken to study the antifungal activities of Origanum onites L. and Ziziphora clinopodioides L. essential oils against three different isolates (M1-5, M2-1 and M3-5) of Botrytis cinerea (in vitro tests) and to investigate the vapor contact impacts on fungus [...] Read more.
The present research was undertaken to study the antifungal activities of Origanum onites L. and Ziziphora clinopodioides L. essential oils against three different isolates (M1-5, M2-1 and M3-5) of Botrytis cinerea (in vitro tests) and to investigate the vapor contact impacts on fungus and strawberry fruit quality (in vivo tests). Antifungal activities of these oils were tested by following the poisoned food technique at four different concentrations (0.25, 0.50, 1.00 and 2.00 mL/L) against B. cinerea. In vitro studies suggested that the 0.50 mL/L and 1.00 mL/L doses of O. onites and 1.00 mL/L and 2.00 mL/L doses of Z. clinopodioides provide high mycelial growth inhibition, 85.29–94.12% and 39.12–94.12%, respectively, by direct addition to food. Thus, these doses were tested in in vivo conditions, as a vapor contact treatment against two isolates (M1-5 and M3-5) of B. cinerea inoculated on strawberry cv. Camarosa fruits. Results showed that both O. onites and Z. clinopodioides essential oils have a moderate to high impact on the prevention of gray mold. The oils were also found to have a slight to moderate impact on weight loss and the loss of soluble solids concentration. Overall, the results demonstrated that the tested oils are a potential biodegradable alternative to fungicides. Full article
(This article belongs to the Special Issue Innovative Technologies in Crop Production and Animal Husbandry)
Show Figures

Figure 1

13 pages, 342 KB  
Review
Plant Preparations and Compounds with Activities against Biofilms Formed by Candida spp.
by Tomasz M. Karpiński, Marcin Ożarowski, Agnieszka Seremak-Mrozikiewicz, Hubert Wolski and Artur Adamczak
J. Fungi 2021, 7(5), 360; https://doi.org/10.3390/jof7050360 - 5 May 2021
Cited by 37 | Viewed by 6417
Abstract
Fungi from the genus Candida are very important human and animal pathogens. Many strains can produce biofilms, which inhibit the activity of antifungal drugs and increase the tolerance or resistance to them as well. Clinically, this process leads to persistent infections and increased [...] Read more.
Fungi from the genus Candida are very important human and animal pathogens. Many strains can produce biofilms, which inhibit the activity of antifungal drugs and increase the tolerance or resistance to them as well. Clinically, this process leads to persistent infections and increased mortality. Today, many Candida species are resistant to drugs, including C. auris, which is a multiresistant pathogen. Natural compounds may potentially be used to combat multiresistant and biofilm-forming strains. The aim of this review was to present plant-derived preparations and compounds that inhibit Candida biofilm formation by at least 50%. A total of 29 essential oils and 16 plant extracts demonstrate activity against Candida biofilms, with the following families predominating: Lamiaceae, Myrtaceae, Asteraceae, Fabaceae, and Apiacae. Lavandula dentata (0.045–0.07 mg/L), Satureja macrosiphon (0.06–8 mg/L), and Ziziphora tenuior (2.5 mg/L) have the best antifungal activity. High efficacy has also been observed with Artemisia judaica, Lawsonia inermis, and Thymus vulgaris. Moreover, 69 plant compounds demonstrate activity against Candida biofilms. Activity in concentrations below 16 mg/L was observed with phenolic compounds (thymol, pterostilbene, and eugenol), sesquiterpene derivatives (warburganal, polygodial, and ivalin), chalconoid (lichochalcone A), steroidal saponin (dioscin), flavonoid (baicalein), alkaloids (waltheriones), macrocyclic bisbibenzyl (riccardin D), and cannabinoid (cannabidiol). The above compounds act on biofilm formation and/or mature biofilms. In summary, plant preparations and compounds exhibit anti-biofilm activity against Candida. Given this, they may be a promising alternative to antifungal drugs. Full article
(This article belongs to the Special Issue Fungal Biofilms 2020)
13 pages, 890 KB  
Article
Systematic Analysis of Combined Antioxidant and Membrane-Stabilizing Properties of Several Lamiaceae Family Kazakhstani Plants for Potential Production of Tea Beverages
by Alibek Ydyrys, Nazgul Zhaparkulova, Arailym Aralbaeva, Aigul Mamataeva, Ainur Seilkhan, Sayagul Syraiyl and Maіra Murzakhmetova
Plants 2021, 10(4), 666; https://doi.org/10.3390/plants10040666 - 30 Mar 2021
Cited by 32 | Viewed by 3576
Abstract
One of the most important compounds that exhibit a wide range of biological activities with especially strong antioxidant action are plant polyphenols. In the course of the experiment, the dose-dependent effects of polyphenols-rich extracts isolated from the Lamiaceae family Kazakhstani plants were studied [...] Read more.
One of the most important compounds that exhibit a wide range of biological activities with especially strong antioxidant action are plant polyphenols. In the course of the experiment, the dose-dependent effects of polyphenols-rich extracts isolated from the Lamiaceae family Kazakhstani plants were studied on the processes of lipid peroxidation and on the degree of erythrocytes hemolysis. The activity of aqueous-ethanolic extracts from dried parts of plants, such as Origanum vulgare, Ziziphora bungeana, Dracocephalum integrifolium, Mentha piperita, Leonurus turkestanicus, Thymus serpyllum, and Salvia officinalis, was studied in a Wistar rat model. Lipid peroxidation (LPO) in liver microsomes was assessed by measuring malondialdehyde content in the form of thiobarbituric acid-reacting substances (TBARS). Estimation of osmotic resistance of isolated erythrocytes was evaluated based on hemoglobin absorbance. The amount of total phenolics in the extracts was measured using the Folin-Ciocalteu reagent method. Based on the results, Thymus serpyllum extract exhibited a significantly higher antioxidant activity (IC50 = 3.3 ± 0.7) compared to other plant extracts. Accordingly, among the extracts studied, those from Salvia officinalis, Thymus serpyllum, and Origanum vulgare show the most pronounced membrane-stabilizing activity. Antioxidant and antihemolytic properties of green tea and Origanum vulgare extract mixtures were similar to that of each individual plant extract. Similar results were obtained when the green tea extract was mixed with Mentha piperita, Ziziphora bungeana, and Dracocephalum integrifolium extracts, indicating no discernible synergistic interaction. Full article
(This article belongs to the Special Issue Antioxidant Activity of Medical Plants)
Show Figures

Figure 1

23 pages, 3388 KB  
Article
Study of Allelopathic Interaction of Essential Oils from Medicinal and Aromatic Plants on Seed Germination and Seedling Growth of Lettuce
by Somayeh Mirmostafaee, Majid Azizi and Yoshiharu Fujii
Agronomy 2020, 10(2), 163; https://doi.org/10.3390/agronomy10020163 - 23 Jan 2020
Cited by 54 | Viewed by 10743
Abstract
Medicinal and aromatic plants have the ability to transmit volatile allelochemicals and affect their surrounding organisms. In this regard, their interaction should also be considered. The inhibitory effects of 112 essential oils on lettuce seed and seedling were investigated by cotton swab method. [...] Read more.
Medicinal and aromatic plants have the ability to transmit volatile allelochemicals and affect their surrounding organisms. In this regard, their interaction should also be considered. The inhibitory effects of 112 essential oils on lettuce seed and seedling were investigated by cotton swab method. Germination (G%), Mean germination time (MGT), Lethal of embryo (L%), dormancy (D%), radicle growth (R%), and hypocotyl growth (H%) were measured. Two methods were used for evaluating allelopathic interaction effects: the simplified modified dilution check-board technique (SMCT) and the isobologram. Thymus daenensis had the highest inhibitory effect on G% (IC50 = 2.9 ppm) and the most lethal effect on the embryo (LC50 = 7.2 ppm). Thymus transcaspicus, Dracocephalum moldavica, Artemisia sieberi and Amomum subulatum had the greatest effect on MGT. Ziziphora tenuior, Trachyspermum ammi and Pelargonium graveolens had the highest effect on D%. Origanum vulgare was the strongest growth inhibitor. The highest synergistic effect on G% was in A. subulatum + Mentha suaveolens, on H% was related to Perovskia abrotanoides + T. daenensis, and on R% was observed in Artemisia vulgaris + M. suaveolens. The results of this study can lead to identification of new phytotoxic compounds in EOs and control weeds more effectively. Full article
(This article belongs to the Special Issue Effects of Biostimulants and Bioeffectors on Plant Growth)
Show Figures

Graphical abstract

10 pages, 629 KB  
Article
Study on the Chemical Composition, Enzyme Inhibition and Antioxidant Activity of Ziziphora taurica subsp. cleonioides
by Cengiz Sarikurkcu, Eleni Kakouri, Rifat Tayyib Sarikurkcu and Petros A. Tarantilis
Appl. Sci. 2019, 9(24), 5515; https://doi.org/10.3390/app9245515 - 15 Dec 2019
Cited by 13 | Viewed by 3798
Abstract
Ziziphora is a plant used in Turkish and Iran traditional medicine for its antibacterial activity, sedative and stomach soothing properties. Although the chemical profile of the essential oil of different Ziziphora species is well documented, data regarding plant extracts are incomplete. In this [...] Read more.
Ziziphora is a plant used in Turkish and Iran traditional medicine for its antibacterial activity, sedative and stomach soothing properties. Although the chemical profile of the essential oil of different Ziziphora species is well documented, data regarding plant extracts are incomplete. In this study extracts from Ziziphora taurica subsp. cleonioides were obtained using ethyl acetate, methanol and water and the chemical profile of the aerial part of the plant was elucidated. Among the compounds identified, rosmarinic acid was the most abundant (3375.67 ± 38.02 μg/mL), at the extract of methanol, followed by chlorogenic acid (3225.10 ± 16.44). Enzyme inhibition activity against α-amylase and tyrosinase was also estimated. The ethyl acetate extract showed the highest α-amylase activity (1.95 ± 0.04 mg/mL), while the best anti-tyrosinase activity was calculated for the methanolic extract (1.25 ± 0.01 mg/mL). In addition, total phenolic, flavonoid content and antioxidant activity were evaluated. According to our results, bioactivity of the plant is of great interest, nonetheless, at the same time, it is strongly depended on the solvent used during the extraction process. Our data suggest that the plant under study may be an important source to consider against metabolic, skin pigmentation and oxidative stress related disorders. Full article
(This article belongs to the Special Issue Antioxidants in Natural Products)
Show Figures

Graphical abstract

12 pages, 651 KB  
Article
Ziziphora taurica subsp. taurica: Analytical Characterization and Biological Activities
by Michał Tomczyk, Olcay Ceylan, Marcello Locatelli, Angela Tartaglia, Vincenzo Ferrone and Cengiz Sarikurkcu
Biomolecules 2019, 9(8), 367; https://doi.org/10.3390/biom9080367 - 14 Aug 2019
Cited by 11 | Viewed by 4485
Abstract
The Lamiaceae family comprises many flowering plants classified into about 236 genera. The genus Ziziphora is one of the well-known genera of this family and its species are important in different fields of pharmaceutical, chemical, traditional, and folk medicines. The phytochemicals present in [...] Read more.
The Lamiaceae family comprises many flowering plants classified into about 236 genera. The genus Ziziphora is one of the well-known genera of this family and its species are important in different fields of pharmaceutical, chemical, traditional, and folk medicines. The phytochemicals present in Ziziphora include monoterpenic essential oils, triterpenes, and phenolic substances. The aim of this paper was to study the phytochemical profile of Ziziphora taurica subsp. taurica and compare and evaluate the biological activities of its ethyl acetate (ZTT-EtOAc), methanolic (ZTT-MeOH), and aqueous (ZTT-W) extracts based on their enzyme inhibition and antioxidant capacities. Determination of total phenolic (TPC) and total flavonoid (TFC) contents as well as biological activities were determined using spectrophotometric procedures. Subsequently, the individual phenolic compounds were detected by liquid chromatography–electrospray ionization–tandem mass spectrometry (LC–ESI–MS/MS). In total, twenty-two different phenolic compounds were identified, including apigenin, ferulic acid, and luteolin which were the most common. ZTT-MeOH extract showed the best antioxidant activity, whereas ZTT-EtOAc extract was the most effective against tyrosinase and α-amylase. Ziziphora taurica subsp. taurica represents a potential source of natural compounds with positive effects on human health. Full article
Show Figures

Figure 1

12 pages, 608 KB  
Review
Aromatic Medicinal Plants of the Lamiaceae Family from Uzbekistan: Ethnopharmacology, Essential Oils Composition, and Biological Activities
by Nilufar Z. Mamadalieva, Davlat Kh. Akramov, Elisa Ovidi, Antonio Tiezzi, Lutfun Nahar, Shahnoz S. Azimova and Satyajit D. Sarker
Medicines 2017, 4(1), 8; https://doi.org/10.3390/medicines4010008 - 10 Feb 2017
Cited by 78 | Viewed by 13306
Abstract
Plants of the Lamiaceae family are important ornamental, medicinal, and aromatic plants, many of which produce essential oils that are used in traditional and modern medicine, and in the food, cosmetics, and pharmaceutical industry. Various species of the genera Hyssopus, Leonurus, [...] Read more.
Plants of the Lamiaceae family are important ornamental, medicinal, and aromatic plants, many of which produce essential oils that are used in traditional and modern medicine, and in the food, cosmetics, and pharmaceutical industry. Various species of the genera Hyssopus, Leonurus, Mentha, Nepeta, Origanum, Perovskia, Phlomis, Salvia, Scutellaria, and Ziziphora are widespread throughout the world, are the most popular plants in Uzbek traditional remedies, and are often used for the treatment of wounds, gastritis, infections, dermatitis, bronchitis, and inflammation. Extensive studies of the chemical components of these plants have led to the identification of many compounds, as well as essentials oils, with medicinal and other commercial values. The purpose of this review is to provide a critical overview of the literature surrounding the traditional uses, ethnopharmacology, biological activities, and essential oils composition of aromatic plants of the family Lamiaceae, from the Uzbek flora. Full article
Show Figures

Figure 1

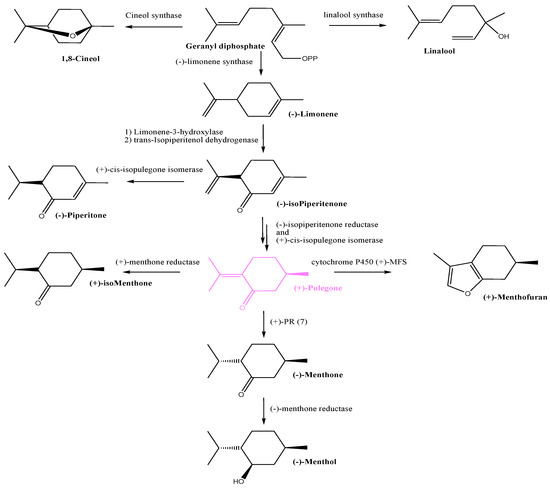
54 pages, 18909 KB  
Review
Kazakh Ziziphora Species as Sources of Bioactive Substances
by Karel Šmejkal, Milan Malaník, Karlygash Zhaparkulova, Zuriyadda Sakipova, Liliya Ibragimova, Galya Ibadullaeva and Milan Žemlička
Molecules 2016, 21(7), 826; https://doi.org/10.3390/molecules21070826 - 25 Jun 2016
Cited by 33 | Viewed by 10875
Abstract
Ziziphora species represent the prototypical example of the Lamiaceae family. The phytochemicals present in Ziziphora include monoterpenic essential oils, triterpenes and phenolic substances belonging to the flavonoids. In Kazakh traditional medicine, Ziziphora species possess several medicinal uses. In particular, Z. bungeana Lam. and [...] Read more.
Ziziphora species represent the prototypical example of the Lamiaceae family. The phytochemicals present in Ziziphora include monoterpenic essential oils, triterpenes and phenolic substances belonging to the flavonoids. In Kazakh traditional medicine, Ziziphora species possess several medicinal uses. In particular, Z. bungeana Lam. and Z. clinopodioides Lam. are used for the treatment of illnesses related to the cardiovascular system or to combat different infections. Unfortunately, the majority of the information about the complex Ziziphora species is only available in Russian and Chinese language, therefore, we decided gather all available information on Kazakhstan Ziziphora, namely its content compounds, medicinal uses and published patents, to draw the attention of scientists to this very interesting plant with high medicinal potential. Full article
(This article belongs to the Special Issue Effects of Natural Products in the Context of Cardiometabolic Disease)
Back to TopTop