Sign in to use this feature.

Years

Between: -

Subjects

remove_circle_outline
remove_circle_outline
remove_circle_outline
remove_circle_outline
remove_circle_outline
remove_circle_outline
remove_circle_outline
remove_circle_outline

Journals

Article Types

Countries / Regions

Search Results (45)

Search Parameters:
Keywords = Yelp data

Order results
Result details
Results per page
Select all
Export citation of selected articles as:
32 pages, 16324 KB  
Article
MLAHRec: A Multi-Layer Attention Hybrid Recommendation Model Based on Heterogeneous Information Networks
by Baiqiang Gan and Yue Zhao
Appl. Sci. 2026, 16(1), 321; https://doi.org/10.3390/app16010321 - 28 Dec 2025
Viewed by 250
Abstract
The rapid expansion of information on the Internet has rendered recommender systems vital for mitigating information overload. However, existing recommendation models based on heterogeneous information networks (HINs) often face challenges such as data sparsity and insufficient semantic utilization. Therefore, we propose a multi-layer [...] Read more.
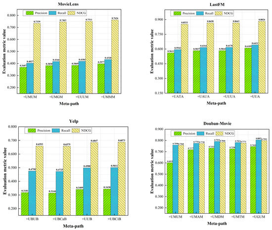
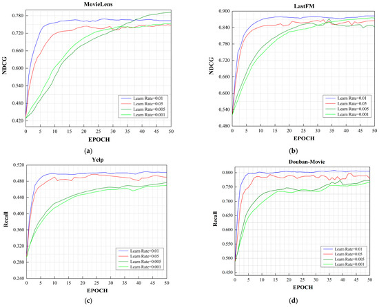
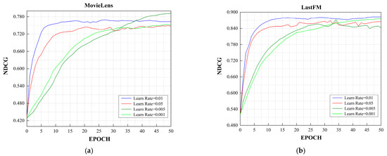
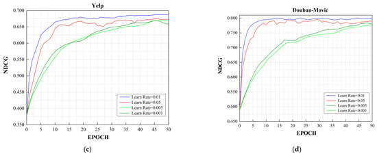
The rapid expansion of information on the Internet has rendered recommender systems vital for mitigating information overload. However, existing recommendation models based on heterogeneous information networks (HINs) often face challenges such as data sparsity and insufficient semantic utilization. Therefore, we propose a multi-layer attention hybrid recommendation model based on heterogeneous information networks (MLAHRec). Compared to traditional HIN-based recommendation models, we design a progressive three-layer attention architecture of “collaborative-node-path.” Specifically, collaborative attention first enhances the direct interaction representation between users and items. Subsequently, node attention filters important neighbor information on the same meta-path. Finally, path attention adaptively fuses the semantics of multiple meta-paths, thereby achieving hierarchical refinement from micro-level interactions to macro-level semantics. Experiments on four real datasets, including MovieLens, LastFM, Yelp, and Douban-Movie, demonstrate that MLAHRec significantly outperforms mainstream baseline algorithms, as determined by Precision@10, Recall@10, and NDCG@10 metrics, validating the effectiveness and interpretability of the model. Full article
(This article belongs to the Section Computing and Artificial Intelligence)
Show Figures

Figure 1

19 pages, 27291 KB  
Article
Robust Financial Fraud Detection via Causal Intervention and Multi-View Contrastive Learning on Dynamic Hypergraphs
by Xiong Luo
Mathematics 2025, 13(24), 4018; https://doi.org/10.3390/math13244018 - 17 Dec 2025
Viewed by 425
Abstract
Financial fraud detection is critical to modern economic security, yet remains challenging due to collusive group behavior, temporal drift, and severe class imbalance. Most existing graph neural network (GNN) detectors rely on pairwise edges and correlation-driven learning, which limits their ability to represent [...] Read more.
Financial fraud detection is critical to modern economic security, yet remains challenging due to collusive group behavior, temporal drift, and severe class imbalance. Most existing graph neural network (GNN) detectors rely on pairwise edges and correlation-driven learning, which limits their ability to represent high-order group interactions and makes them vulnerable to spurious environmental cues (e.g., hubs or temporal bursts) that correlate with labels but are not necessarily causal. We propose Causal-DHG, a dynamic hypergraph framework that integrates hypergraph modeling, causal intervention, and multi-view contrastive learning. First, we construct label-agnostic hyperedges from publicly available metadata to capture high-order group structures. Second, a Multi-Head Spatio-Temporal Hypergraph Attention encoder models group-wise dependencies and their temporal evolution. Third, a Causal Disentanglement Module decomposes representations into causal and environment-related factors using HSIC regularization, and a dictionary-based backdoor adjustment approximates the interventional prediction P(Ydo(C)) to suppress spurious correlations. Finally, we employ self-supervised multi-view contrastive learning with mild hypergraph augmentations to leverage unlabeled data and stabilize training. Experiments on YelpChi, Amazon, and DGraph-Fin show consistent gains in AUC/F1 over strong baselines such as CARE-GNN and PC-GNN, together with improved robustness under feature and structural perturbations. Full article
Show Figures

Figure 1

18 pages, 676 KB  
Article
Node Classification of Imbalanced Data Using Ensemble Graph Neural Networks
by Yuan Liang
Appl. Sci. 2025, 15(19), 10440; https://doi.org/10.3390/app151910440 - 26 Sep 2025
Viewed by 1632
Abstract
In real-world scenarios, many datasets suffer from class imbalance. For example, on online review platforms, the proportion of fake and genuine comments is often highly skewed. Although existing graph neural network (GNN) models have achieved notable progress in classification tasks, their performance tends [...] Read more.
In real-world scenarios, many datasets suffer from class imbalance. For example, on online review platforms, the proportion of fake and genuine comments is often highly skewed. Although existing graph neural network (GNN) models have achieved notable progress in classification tasks, their performance tends to rely on relatively balanced data distributions. To tackle this challenge, we propose an ensemble graph neural network framework designed for imbalanced node classification. Specifically, we employ spectral-based graph convolutional neural networks as base classifiers and train multiple models in parallel. We then adopt a bagging ensemble strategy to integrate the predictions of these classifiers and determine the final classification results through majority voting. Furthermore, we extend this approach to fake review detection tasks. Extensive experiments conducted on imbalanced node classification datasets (Cora and BlogCatalog), as well as fake review detection (YelpChi), demonstrate that our method consistently outperforms state-of-the-art baselines, achieving significant gains in accuracy, AUC, and Macro-F1. Notably, on the Cora dataset, our model improves accuracy and Macro-F1 by 3.4% and 2.3%, respectively, while on the BlogCatalog dataset, it achieves improvements of 2.5%, 1.8%, and 0.5% in accuracy, AUC, and Macro-F1, respectively. Full article
Show Figures

Figure 1

20 pages, 5757 KB  
Article
Design and Evaluation of a Hardware-Constrained, Low-Complexity Yelp Siren Detector for Embedded Platforms
by Elena Valentina Dumitrascu, Răzvan Rughiniș and Robert Alexandru Dobre
Electronics 2025, 14(17), 3535; https://doi.org/10.3390/electronics14173535 - 4 Sep 2025
Cited by 1 | Viewed by 914
Abstract
The rapid response of emergency vehicles is crucial but often hindered because sirens lose effectiveness in modern traffic due to soundproofing, noise, and distractions. Automatic in-vehicle detection can help, but existing solutions struggle with efficiency, interpretability, and embedded suitability. This paper presents a [...] Read more.
The rapid response of emergency vehicles is crucial but often hindered because sirens lose effectiveness in modern traffic due to soundproofing, noise, and distractions. Automatic in-vehicle detection can help, but existing solutions struggle with efficiency, interpretability, and embedded suitability. This paper presents a hardware-constrained Simulink implementation of a yelp siren detector designed for embedded operation. Building on a MATLAB-based proof-of-concept validated in an idealized floating-point setting, the present system reflects practical implementation realities. Key features include the use of a realistically modeled digital-to-analog converter (DAC), filter designs restricted to standard E-series component values, interrupt service routine (ISR)-driven processing, and fixed-point data type handling that mirror microcontroller execution. For benchmarking, the dataset used in the earlier proof-of-concept to tune system parameters was also employed to train three representative machine learning classifiers (k-nearest neighbors, support vector machine, and neural network), serving as reference classifiers. To assess generalization, 200 test signals were synthesized with AudioLDM using real siren and road noise recordings as inputs. On this test set, the proposed system outperformed the reference classifiers and, when compared with state-of-the-art methods reported in the literature, achieved competitive accuracy while preserving low complexity. Full article
Show Figures

Figure 1

20 pages, 2239 KB  
Article
Lightweight Financial Fraud Detection Using a Symmetrical GAN-CNN Fusion Architecture
by Yiwen Yang, Chengjun Xu and Guisheng Tian
Symmetry 2025, 17(8), 1366; https://doi.org/10.3390/sym17081366 - 21 Aug 2025
Viewed by 2994
Abstract
With the rapid development of information technology and the deep integration of the Internet platform, the scale and form of financial transactions continue to grow and expand, significantly improving users’ payment experience and life efficiency. However, financial transactions bring us convenience but also [...] Read more.
With the rapid development of information technology and the deep integration of the Internet platform, the scale and form of financial transactions continue to grow and expand, significantly improving users’ payment experience and life efficiency. However, financial transactions bring us convenience but also expose many security risks, such as money laundering activities, forged checks, and other financial fraud that occurs frequently, seriously threatening the stability and security of the financial system. Due to the imbalance between the proportion of normal and abnormal transactions in the data, most of the existing deep learning-based methods still have obvious deficiencies in learning small numbers sample classes, context modeling, and computational complexity control. To address these deficiencies, this paper proposes a symmetrical structure-based GAN-CNN model for lightweight financial fraud detection. The symmetrical structure can improve the feature extraction and fusion ability and enhance the model’s recognition effect for complex fraud patterns. Synthetic fraud samples are generated based on a GAN to alleviate category imbalance. Multi-scale convolution and attention mechanisms are designed to extract local and global transaction features, and adaptive aggregation and context encoding modules are introduced to improve computational efficiency. We conducted numerous replicate experiments on two public datasets, YelpChi and Amazon. The results showed that on the Amazon dataset with a 50% training ratio, compared with the CNN-GAN model, the accuracy of our model was improved by 1.64%, and the number of parameters was reduced by approximately 88.4%. Compared with the hybrid CNN-LSTM–attention model under the same setting, the accuracy was improved by 0.70%, and the number of parameters was reduced by approximately 87.6%. The symmetry-based lightweight architecture proposed in this work is novel in terms of structural design, and the experimental results show that it is both efficient and accurate in detecting imbalanced transactions. Full article
(This article belongs to the Section Computer)
Show Figures

Figure 1

40 pages, 7773 KB  
Article
A Novel Llama 3-Based Prompt Engineering Platform for Textual Data Generation and Labeling
by Wedyan Salem Alsakran and Reham Alabduljabbar
Electronics 2025, 14(14), 2800; https://doi.org/10.3390/electronics14142800 - 11 Jul 2025
Cited by 2 | Viewed by 3157
Abstract
With the growing demand for labeled textual data in Natural Language Processing (NLP), traditional data collection and annotation methods face significant challenges, such as high cost, limited scalability, and privacy constraints. This study presents a novel web-based platform that automates text data generation [...] Read more.
With the growing demand for labeled textual data in Natural Language Processing (NLP), traditional data collection and annotation methods face significant challenges, such as high cost, limited scalability, and privacy constraints. This study presents a novel web-based platform that automates text data generation and labeling by integrating Llama 3.3, an open-source large language model (LLM), with advanced prompt engineering techniques. A core contribution of this work is the Attributed Prompt Engineering Framework, which enables modular and configurable prompt templates for both data generation and labeling tasks. This framework combines zero-shot, few-shot, role-based, and chain-of-thought prompting strategies within a unified architecture to optimize output quality and control. Users can interactively configure prompt parameters and generate synthetic datasets or annotate raw data with minimal human intervention. We evaluated the platform using both benchmark datasets (AG News, Yelp, Amazon Reviews) and two fully synthetic datasets we generated (restaurant reviews and news articles). The system achieved 99% accuracy and F1-score on generated news article data, 98% accuracy and F1-score on generated restaurant review data, and 92%, 90%, and 89% accuracy and F1-scores on the benchmark labeling tasks for AG News, Yelp Reviews, and Amazon Reviews, respectively, demonstrating high effectiveness and generalizability. A usability study also confirmed the platform’s practicality for non-expert users. This work advances scalable NLP data pipeline design and provides a cost-effective alternative to manual annotation for supervised learning applications. Full article
(This article belongs to the Special Issue Advanced Natural Language Processing Technology and Applications)
Show Figures

Figure 1

25 pages, 2733 KB  
Article
Polarity of Yelp Reviews: A BERT–LSTM Comparative Study
by Rachid Belaroussi, Sié Cyriac Noufe, Francis Dupin and Pierre-Olivier Vandanjon
Big Data Cogn. Comput. 2025, 9(5), 140; https://doi.org/10.3390/bdcc9050140 - 21 May 2025
Cited by 2 | Viewed by 4080
Abstract
With the rapid growth in social network comments, the need for more effective methods to classify their polarity—negative, neutral, or positive—has become essential. Sentiment analysis, powered by natural language processing, has evolved significantly with the adoption of advanced deep learning techniques. Long Short-Term [...] Read more.
With the rapid growth in social network comments, the need for more effective methods to classify their polarity—negative, neutral, or positive—has become essential. Sentiment analysis, powered by natural language processing, has evolved significantly with the adoption of advanced deep learning techniques. Long Short-Term Memory networks capture long-range dependencies in text, while transformers, with their attention mechanisms, excel at preserving contextual meaning and handling high-dimensional, semantically complex data. This study compares the performance of sentiment analysis models based on LSTM and BERT architectures using key evaluation metrics. The dataset consists of business reviews from the Yelp Open Dataset. We tested LSTM-based methods against BERT and its variants—RoBERTa, BERTweet, and DistilBERT—leveraging popular pipelines from the Hugging Face Hub. A class-by-class performance analysis is presented, revealing that more complex BERT-based models do not always guarantee superior results in the classification of Yelp reviews. Additionally, the use of bidirectionality in LSTMs does not necessarily lead to better performance. However, across a diversity of test sets, transformer models outperform traditional RNN-based models, as their generalization capability is greater than that of a simple LSTM model. Full article
(This article belongs to the Special Issue Advances in Natural Language Processing and Text Mining)
Show Figures

Figure 1

19 pages, 3091 KB  
Article
Efficient Data Reduction Through Maximum-Separation Vector Selection and Centroid Embedding Representation
by Sultan Alshamrani
Electronics 2025, 14(10), 1919; https://doi.org/10.3390/electronics14101919 - 9 May 2025
Cited by 1 | Viewed by 827
Abstract
This study introduces two novel data reduction approaches for efficient sentiment analysis: High-Distance Sentiment Vectors (HDSV) and Centroid Sentiment Embedding Vectors (CSEV). By leveraging embedding space characteristics from DistilBERT, HDSV selects maximally separated sample pairs, while CSEV computes representative centroids for each sentiment [...] Read more.
This study introduces two novel data reduction approaches for efficient sentiment analysis: High-Distance Sentiment Vectors (HDSV) and Centroid Sentiment Embedding Vectors (CSEV). By leveraging embedding space characteristics from DistilBERT, HDSV selects maximally separated sample pairs, while CSEV computes representative centroids for each sentiment class. We evaluate these methods on three benchmark datasets: SST-2, Yelp, and Sentiment140. Our results demonstrate remarkable data efficiency, reducing training samples to just 100 with HDSV and two with CSEV while maintaining comparable performance to full dataset training. Notable findings include CSEV achieving 88.93% accuracy on SST-2 (compared to 90.14% with full data) and both methods showing improved cross-dataset generalization, with less than 2% accuracy drop in domain transfer tasks versus 11.94% for full dataset training. The proposed methods enable significant storage savings, with datasets compressed to less than 1% of their original size, making them particularly valuable for resource-constrained environments. Our findings advance the understanding of data requirements in sentiment analysis, demonstrating that strategically selected minimal training data can achieve robust and generalizable classification while promoting more sustainable machine learning practices. Full article
Show Figures

Figure 1

21 pages, 2255 KB  
Article
Spectrum-Constrained and Skip-Enhanced Graph Fraud Detection: Addressing Heterophily in Fraud Detection with Spectral and Spatial Modeling
by Ijeoma A. Chikwendu, Xiaoling Zhang, Chiagoziem C. Ukwuoma, Okechukwu C. Chikwendu, Yeong Hyeon Gu and Mugahed A. Al-antari
Symmetry 2025, 17(4), 476; https://doi.org/10.3390/sym17040476 - 21 Mar 2025
Cited by 1 | Viewed by 1886
Abstract
Fraud detection in large-scale graphs presents significant challenges, especially in heterophilic graphs where linked nodes often belong to dissimilar classes or exhibit contrasting attributes. These asymmetric interactions, combined with class imbalance and limited labeled data, make it difficult to fully leverage node labels [...] Read more.
Fraud detection in large-scale graphs presents significant challenges, especially in heterophilic graphs where linked nodes often belong to dissimilar classes or exhibit contrasting attributes. These asymmetric interactions, combined with class imbalance and limited labeled data, make it difficult to fully leverage node labels in semi-supervised learning frameworks. This study aims to address these challenges by proposing a novel framework, Spectrum-Constrained and Skip-Enhanced Graph Fraud Detection (SCSE-GFD), designed specifically for fraud detection in heterophilic graphs. The primary objective is to enhance fraud detection performance while maintaining computational efficiency. SCSE-GFD integrates several key components to improve performance. It employs adaptive polynomial convolution to capture multi-frequency signals and utilizes relation-specific spectral filtering to accommodate both homophilic and heterophilic structures. Additionally, a relation-aware mechanism is incorporated to differentiate between edge types, which enhances feature propagation across diverse graph connections. To address the issue of over-smoothing, skip connections are used to preserve both low- and high-level node representations. Furthermore, supervised edge classification is used to improve the structural understanding of the graph. Extensive experiments on real-world datasets, including Amazon and YelpChi, demonstrate SCSE-GFD’s effectiveness. The framework achieved state-of-the-art AUC scores of 96.21% on Amazon and 90.58% on YelpChi, significantly outperforming existing models. These results validate SCSE-GFD’s ability to improve fraud detection accuracy while maintaining efficiency. Full article
(This article belongs to the Section Engineering and Materials)
Show Figures

Figure 1

20 pages, 6040 KB  
Article
Two-Tower Structure Recommendation Method Fusing Multi-Source Data
by Yaning Su, Yuxiang Li and Zhiyong Zhang
Electronics 2025, 14(5), 1003; https://doi.org/10.3390/electronics14051003 - 2 Mar 2025
Cited by 2 | Viewed by 4442
Abstract
In view of the problem that the recommendation system is not good at integrating multi-source information and user sentiment, this paper proposes a BERT-LSTM Dual-Tower Recommendation Method for Sequential Feature Extraction (BLDRM-SFE). This method uses BERT to extract semantic features from user reviews [...] Read more.
In view of the problem that the recommendation system is not good at integrating multi-source information and user sentiment, this paper proposes a BERT-LSTM Dual-Tower Recommendation Method for Sequential Feature Extraction (BLDRM-SFE). This method uses BERT to extract semantic features from user reviews and item details and obtains vector representations of item IDs and their groups through embedding. The user tower combines user review features with item group features to generate a user vector, while the item tower integrates item detail features with item ID vectors to generate an item vector. The outputs of the two towers are processed by LSTM to handle item ID sequence information, uncover potential sequence relationships, and generate rating predictions, thereby constructing a personalized recommendation list. The experimental results show that this method significantly outperforms four baseline models—BERT4Rec, PRM, BST, and ComiRec—on the Amazon Review Data and Yelp datasets. On the Amazon dataset, BLDRM-SFE improves by 10.39%, 8.08%, 10.78%, 10.59%, and 5.49% across five metrics compared to the baseline models; on the Yelp dataset, the improvements are 10.95%, 10.06%, 13.04%, 12.59%, and 10.8%, respectively. In addition, ablation experiments confirmed the positive impact of item ID sequence information on the method’s performance. The results show that the incorporation of sequence information significantly enhanced the recommendation performance. Full article
(This article belongs to the Section Computer Science & Engineering)
Show Figures

Figure 1

18 pages, 2236 KB  
Article
Prototypical Graph Contrastive Learning for Recommendation
by Tao Wei, Changchun Yang and Yanqi Zheng
Appl. Sci. 2025, 15(4), 1961; https://doi.org/10.3390/app15041961 - 13 Feb 2025
Cited by 1 | Viewed by 2071
Abstract
Data sparsity caused by limited interactions makes it challenging for recommendation to accurately capture user preferences. Contrastive learning effectively alleviates this issue by enriching embedding information through the learning of diverse contrastive views. The effectiveness of contrastive learning in uncovering users’ and items’ [...] Read more.
Data sparsity caused by limited interactions makes it challenging for recommendation to accurately capture user preferences. Contrastive learning effectively alleviates this issue by enriching embedding information through the learning of diverse contrastive views. The effectiveness of contrastive learning in uncovering users’ and items’ latent preferences largely depends on the construction of data augmentation strategies. Structure and feature perturbations are commonly used augmentation strategies in graph-based contrastive learning. Since graph structure augmentation is time consuming and can disrupt interaction information, this paper proposes a novel feature augmentation contrastive learning method. This approach leverages preference prototypes to guide user and item embeddings in acquiring augmented information. By generating refined prototypes for each user and item based on existing prototypes to better approximate true preferences, it effectively alleviates the over-smoothing issue within similar preferences. To balance feature augmentation, a prototype filtering network is employed to control the flow of prototype information, ensuring consistency among different embeddings. Compared with existing prototype-based methods, ProtoRec achieves maximum gains of up to 16.8% and 20.0% in recall@k and NDCG@k on the Yelp2018, Douban-Book, and Amazon-Book datasets. Full article
Show Figures

Figure 1

21 pages, 282 KB  
Article
Foodborne Event Detection Based on Social Media Mining: A Systematic Review
by Silvano Salaris, Honoria Ocagli, Alessandra Casamento, Corrado Lanera and Dario Gregori
Foods 2025, 14(2), 239; https://doi.org/10.3390/foods14020239 - 14 Jan 2025
Cited by 8 | Viewed by 2933
Abstract
Foodborne illnesses represent a significant global health challenge, causing substantial morbidity and mortality. Conventional surveillance methods, such as laboratory-based reporting and physician notifications, often fail to enable early detection, prompting the exploration of innovative solutions. Social media platforms, combined with machine learning (ML), [...] Read more.
Foodborne illnesses represent a significant global health challenge, causing substantial morbidity and mortality. Conventional surveillance methods, such as laboratory-based reporting and physician notifications, often fail to enable early detection, prompting the exploration of innovative solutions. Social media platforms, combined with machine learning (ML), offer new opportunities for real-time monitoring and outbreak analysis. This systematic review evaluated the role of social networks in detecting and managing foodborne illnesses, particularly through the use of ML techniques to identify unreported events and enhance outbreak response. This review analyzed studies published up to December 2024 that utilized social media data and data mining to predict and prevent foodborne diseases. A comprehensive search was conducted across PubMed, EMBASE, CINAHL, Arxiv, Scopus, and Web of Science databases, excluding clinical trials, case reports, and reviews. Two independent reviewers screened studies using Covidence, with a third resolving conflicts. Study variables included social media platforms, ML techniques (shallow and deep learning), and model performance, with a risk of bias assessed using the PROBAST tool. The results highlighted Twitter and Yelp as primary data sources, with shallow learning models dominating the field. Many studies were identified as having high or unclear risk of bias. This review underscored the potential of social media and ML in foodborne disease surveillance and emphasizes the need for standardized methodologies and further exploration of deep learning models. Full article
(This article belongs to the Section Food Microbiology)
32 pages, 6218 KB  
Article
Natural Language Processing and Machine Learning-Based Solution of Cold Start Problem Using Collaborative Filtering Approach
by Kamta Nath Mishra, Alok Mishra, Paras Nath Barwal and Rajesh Kumar Lal
Electronics 2024, 13(21), 4331; https://doi.org/10.3390/electronics13214331 - 4 Nov 2024
Cited by 11 | Viewed by 3827
Abstract
In today’s digital era, the abundance of online services presents users with a daunting array of choices, spanning from streaming platforms to e-commerce websites, leading to decision fatigue. Recommendation algorithms play a pivotal role in aiding users in navigating this plethora of options, [...] Read more.
In today’s digital era, the abundance of online services presents users with a daunting array of choices, spanning from streaming platforms to e-commerce websites, leading to decision fatigue. Recommendation algorithms play a pivotal role in aiding users in navigating this plethora of options, among which collaborative filtering (CF) stands out as a prevalent technique. However, CF encounters several challenges, including scalability issues, privacy implications, and the well-known cold start problem. This study endeavors to mitigate the cold start problem by harnessing the capabilities of natural language processing (NLP) applied to user-generated reviews. A unique methodology is introduced, integrating both supervised and unsupervised NLP approaches facilitated by sci-kit learn, utilizing benchmark datasets across diverse domains. This study offers scientific contributions through its novel approach, ensuring rigor, precision, scalability, and real-world relevance. It tackles the cold start problem in recommendation systems by combining natural language processing (NLP) with machine learning and collaborative filtering techniques, addressing data sparsity effectively. This study emphasizes reproducibility and accuracy while proposing an advanced solution that improves personalization in recommendation models. The proposed NLP-based strategy enhances the quality of user-generated content, consequently refining the accuracy of Collaborative Filtering-Based Recommender Systems (CFBRSs). The authors conducted experiments to test the performance of the proposed approach on benchmark datasets like MovieLens, Jester, Book-Crossing, Last.fm, Amazon Product Reviews, Yelp, Netflix Prize, Goodreads, IMDb (Internet movie Database) Data, CiteULike, Epinions, and Etsy to measure global accuracy, global loss, F-1 Score, and AUC (area under curve) values. Assessment through various techniques such as random forest, Naïve Bayes, and Logistic Regression on heterogeneous benchmark datasets indicates that random forest is the most effective method, achieving an accuracy rate exceeding 90%. Further, the proposed approach received a global accuracy above 95%, a global loss of 1.50%, an F-1 Score of 0.78, and an AUC value of 92%. Furthermore, the experiments conducted on distributed and global differential privacy (GDP) further optimize the system’s efficacy. Full article
Show Figures

Figure 1

16 pages, 978 KB  
Article
Adaptive Knowledge Contrastive Learning with Dynamic Attention for Recommender Systems
by Hongchan Li, Jinming Zheng, Baohua Jin and Haodong Zhu
Electronics 2024, 13(18), 3594; https://doi.org/10.3390/electronics13183594 - 10 Sep 2024
Cited by 2 | Viewed by 2637
Abstract
Knowledge graphs equipped with graph network networks (GNNs) have led to a successful step forward in alleviating cold start problems in recommender systems. However, the performance highly depends on precious high-quality knowledge graphs and supervised labels. This paper argues that existing knowledge-graph-based recommendation [...] Read more.
Knowledge graphs equipped with graph network networks (GNNs) have led to a successful step forward in alleviating cold start problems in recommender systems. However, the performance highly depends on precious high-quality knowledge graphs and supervised labels. This paper argues that existing knowledge-graph-based recommendation methods still suffer from insufficiently exploiting sparse information and the mismatch between personalized interests and general knowledge. This paper proposes a model named Adaptive Knowledge Contrastive Learning with Dynamic Attention (AKCL-DA) to address the above challenges. Specifically, instead of building contrastive views by randomly discarding information, in this study, an adaptive data augmentation method was designed to leverage sparse information effectively. Furthermore, a personalized dynamic attention network was proposed to capture knowledge-aware personalized behaviors by dynamically adjusting user attention, therefore alleviating the mismatch between personalized behavior and general knowledge. Extensive experiments on Yelp2018, LastFM, and MovieLens datasets show that AKCL-DA achieves a strong performance, improving the NDCG by 4.82%, 13.66%, and 4.41% compared to state-of-the-art models, respectively. Full article
Show Figures

Figure 1

14 pages, 2927 KB  
Article
Embedding Enhancement Method for LightGCN in Recommendation Information Systems
by Sangmin Lee, Junho Ahn and Namgi Kim
Electronics 2024, 13(12), 2282; https://doi.org/10.3390/electronics13122282 - 11 Jun 2024
Cited by 11 | Viewed by 6715
Abstract
In the modern digital age, users are exposed to a vast amount of content and information, and the importance of recommendation systems is increasing accordingly. Traditional recommendation systems mainly use matrix factorization and collaborative filtering methods, but problems with scalability due to an [...] Read more.
In the modern digital age, users are exposed to a vast amount of content and information, and the importance of recommendation systems is increasing accordingly. Traditional recommendation systems mainly use matrix factorization and collaborative filtering methods, but problems with scalability due to an increase in the amount of data and slow learning and inference speeds occur due to an increase in the amount of computation. To overcome these problems, this study focused on optimizing LightGCN, the basic structure of the graph-convolution-network-based recommendation system. To improve this, techniques and structures were proposed. We propose an embedding enhancement method to strengthen the robustness of embedding and a non-combination structure to overcome LightGCN’s weight sum structure through this method. To verify the proposed method, we have demonstrated its effectiveness through experiments using the SELFRec library on various datasets, such as Yelp2018, MovieLens-1M, FilmTrust, and Douban-book. Mainly, significant performance improvements were observed in key indicators, such as Precision, Recall, NDCG, and Hit Ratio in Yelp2018 and Douban-book datasets. These results suggest that the proposed methods effectively improved the recommendation performance and learning efficiency of the LightGCN model, and the improvement of LightGCN, which is most widely used as a backbone network, makes an important contribution to the entire field of GCN-based recommendation systems. Therefore, in this study, we improved the learning method of the existing LightGCN and changed the weight sum structure to surpass the existing accuracy. Full article
Show Figures

Figure 1

Back to TopTop