Natural Language Processing and Machine Learning-Based Solution of Cold Start Problem Using Collaborative Filtering Approach
Abstract
1. Introduction
- Recommender systems have a variety of issues that warrant further study. The cold start problem (CSP), one of the most prevalent issues that collaborative filtering-based recommender systems (CFBRS) encounter is the topic of this research. One of the core contributions of this research work is the further improvement of the effectiveness of problem solutions for the CSP.
- In this study, we have applied an NLP-based approach to improve the quality of user reviews, which will lead to an improvement in the accuracy of recommendations made by the collaborative filtering- based recommender systems.
- Multiple techniques like random forest, Naïve Bayes, Logistic Regressions, etc., are applied to detect the quality of a review submitted by the user.
- Recall, precision, and accuracy scores are computed after using different machine learning methods.
- A mix of supervised and unsupervised approaches to NLP are used using the sci-kit to learn the method to further improve the performance of obtained results.
- It is observed that distributed and global differential privacy experiments are possible on both the client and server sides. Further, it has been suggested that modern machine learning models might be compared to dynamic programming dataset-based techniques in further studies.
2. Literature Review
2.1. Collaborative Filtering-Based Models
2.2. Content-Based Filtering Models
2.3. Deep Learning Based Models
2.4. Reinforcement Learning-Based Model
3. Issues with Recommender Systems
4. Proposed Model for Improvement of Existing Solutions
4.1. Pre-Processing the User Review and Meta-Data Submitted by the Users
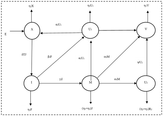
4.2. Proposed Mathematical Model
5. Results and Discussions
5.1. Datasets Used
5.2. Word Cloud Generation
5.3. The Logic of the Study’s Instrumentation
5.4. Results of the Proposed ReSA Process
5.5. Comparison of Algorithms Using Confusion Matrices
6. Conclusions
- (i)
- The dataset was gathered from a small number of sources, lacking diversity.
- (ii)
- This study only concentrated on improving user review quality, ignoring other crucial factors.
- (iii)
- Other influential factors affecting CFBRS performance were not considered.
- (i)
- Explore the integration of DPDBTs with advanced machine learning techniques, including neural networks, deep learning, and decision-based models, to further improve system accuracy.
- (ii)
- Implement distributed experiments to enhance performance across client and server environments.
- (iii)
- The MML models might be compared to DPDBTs in further study. On both the client and server sides, distributed and global differential privacy (GDP) experiments are possible. Hence, the authors may conduct GDP experiments in the DPDBT environment after including and adjusting various result-affecting parameters to further improve the performance of the proposed system.
- (iv)
- Collect diverse data and address privacy, data quality, and user engagement challenges to refine recommendations.
- (v)
- Incorporate state-of-the-art NLP frameworks, such as transformers and generators, to elevate analysis capabilities. Gather user feedback to fine-tune recommendation effectiveness.
- (vi)
- Create hybrid models that integrate collaborative and content-based approaches. Explore real-time data processing methods to boost user engagement and responsiveness.
Author Contributions
Funding
Data Availability Statement
Conflicts of Interest
Appendix A
Appendix A.1. Correlation Between Review Pre-Processing and Accuracy in the Proposed Model
Appendix A.2. Review Pre-Processing Impact Magnitude (S0)
Appendix A.3. Balancing the State of User Reviews and Product Reviews Using NLP Algorithms
References
- Zhang, S.; Yao, L.; Sun, A.; Tay, Y. Deep Learning-based Recommender System: A Survey and New Perspectives. ACM Comput. Surv. 2018, 51, 1–38. [Google Scholar] [CrossRef]
- Leiva, W.L.; Li, M.L.; Tsai, C.Y. A Two-Phase Deep Learning-Based Recommender System: Enhanced by a Data Quality Inspector. Appl. Sci. 2021, 11, 9667. [Google Scholar] [CrossRef]
- Wang, K.; Zhang, Y.; Yin, D.; Zheng, C.; Liu, B. RL4RS: A Real-World Benchmarkfor Reinforcement Learning-based Recommender System. In Proceedings of the 15th ACM Conference on Recommender Systems, Amsterdam, The Netherlands, 27 September–1 October 2021; pp. 444–448. [Google Scholar]
- Kiran, R.; Kumar, P.; Bhasker, B. DNNRec: A novel deep learning-based hybrid recommender system. Expert Syst. Appl. 2020, 144, 113054. [Google Scholar]
- Ge, Y.; Zhao, S.; Zhou, H.; Pei, C.; Sun, F.; Ou, W.; Zhang, Y. Understanding Echo Chambers in E-commerce Recommender Systems. In Proceedings of the 43rd International ACM SIGIR Conference on Research and Development in Information Retrieval, Virtual Event, 25–30 July 2020; pp. 2261–2270. [Google Scholar]
- Bobadilla, J.; Ortega, F.; Hernando, A.; Bernal, J. Deep Learning Architecture for Collaborative Filtering Recommender Systems. Appl. Sci. 2020, 10, 2241. [Google Scholar] [CrossRef]
- Addagarla, S.K. e-Sim Net: A Visual Similar Product Recommender System for E-Commerce. Indones. J. Electr. Eng. Comput. Sci. 2021, 22, 563–570. [Google Scholar] [CrossRef]
- He, X.; Liao, L.; Zhang, H.; Nie, L.; Hu, X.; Chua, T.S. Neural Collaborative Filtering. In Proceedings of the 26th International Conference on World Wide Web, Perth, Australia, 3–7 April 2017; pp. 173–182. [Google Scholar]
- Venil, P.; Vinodhini, G.; Suban, R. A State of the Art Survey on Cold Start Problem in a Collaborative Filtering System. Int. J. Sci. Technol. Res. 2020, 9, 2606–2612. [Google Scholar]
- Fu, M.; Huang, L.; Rao, A.; Irissappane, A.A.; Zhang, J.; Qu, H. A Deep Reinforcement Learning Recommender System with Multiple Policies for Recommendations. IEEE Trans. Ind. Inform. 2023, 19, 2049–2061. [Google Scholar] [CrossRef]
- Chen, L.; Chen, G.; Wang, F. Recommender systems based on user reviews: The state of the art. User Model. User-Adapt. Interact. 2015, 25, 99–154. [Google Scholar] [CrossRef]
- Wei, J.; He, J.; Chen, K.; Zhou, Y.; Tang, Z. Collaborative filtering and deep learning based recommendation system for cold start items. Expert Syst. Appl. 2017, 69, 29–39. [Google Scholar] [CrossRef]
- Camacho, L.A.G.; Alves-Souza, S.N. Social network data to alleviate cold-start in recommender system: A systematic review. Inf. Process. Manag. 2018, 54, 529–544. [Google Scholar] [CrossRef]
- Lops, P.; de Gemmis, M.; Semeraro, G. Content-based Recommender Systems: State of the Art and Trends. In Recommender Systems Handbook; Ricci, F., Rokach, L., Shapira, B., Kantor, P., Eds.; Springer: Boston, MA, USA, 2011; pp. 73–105. [Google Scholar] [CrossRef]
- Hsieh, M.-Y.; Weng, T.-H.; Li, K.-C. A keyword-aware recommender system using implicit feedback on Hadoop. J. Parallel Distrib. Comput. 2018, 116, 63–73. [Google Scholar] [CrossRef]
- Bi, Y.; Huang, H.; Hu, Y.; Zhu, X.; Xiong, Y. A Heterogeneous Information Network based Cross Domain Insurance Recommendation System for Cold Start Users. In Proceedings of the 43rd International ACM SIGIR Conference on Research and Development in Information Retrieval (SIGIR‘20), Virtual Event, 25–30 July 2020; pp. 2211–2220. [Google Scholar]
- Son, L.H. Dealing with the new user cold-start problem in recommender systems: A comparative review. Inf. Syst. 2016, 58, 87–104. [Google Scholar] [CrossRef]
- Deepjyoti, R.; Mala, D. A systematic review and research perspective on recommender systems. J. Big Data 2023, 9, 59. [Google Scholar] [CrossRef]
- Wei, Y.; Wang, X.; Li, Q.; Nie, L.; Li, Y.; Li, X.; Chua, T.S. Contrastive Learning for Cold-Start Recommendation. In Proceedings of the 29th ACM International Conference on Multimedia, Chengdu, China, 20–24 October 2021; pp. 5382–5390. [Google Scholar]
- Jiang, L.; Cheng, Y.; Yang, L.; Li, J.; Yan, H.; Wang, X. A trust-based collaborative filtering algorithm for E-commerce recommendation system. J. Ambient Intell. Humaniz. Comput. 2019, 10, 3023–3034. [Google Scholar] [CrossRef]
- Zheng, G.; Zhang, F.; Yuan, N.J.; Xie, X.; Ma, W.-Y. DRN: A Deep Reinforcement Learning Framework for News Recommendation. In Proceedings of the 2018 World Wide Web Conference, Lyon, France, 23–27 April 2018; pp. 1671–1680. [Google Scholar]
- Li, L. Cross-Border E-Commerce Intelligent Information Recommendation System Based on Deep Learning. Comput. Intell. Neurosci. 2022, 2022, 6602471. [Google Scholar] [CrossRef]
- Smith, B.; Linden, G. Two Decades of Recommender Systems at Amazon.com. IEEE Internet Comput. 2017, 21, 12–18. [Google Scholar] [CrossRef]
- Liu, D.; Li, J.; Du, B.; Chang, J.; Gao, R.; Wu, Y. A Hybrid Neural Network Approach to Combine Textual Information and Rating Information for Item Recommendation. Knowl. Inf. Syst. 2022, 63, 621–646. [Google Scholar] [CrossRef]
- Du, C.; Zhang, L.; Han, X.; Li, D. Collaborative Filtering with User-Item Co-Autoregressive Models. In Proceedings of the 32nd AAAI Conference on Artificial Intelligence (AAAI-18), New Orleans, LA, USA, 2–7 February 2018; pp. 291–298. [Google Scholar] [CrossRef]
- Tsai, C.-Y.; Chiu, Y.-F.; Chen, Y.-J. A Two-Stage Neural Network-Based Cold Start Item Recommender. Appl. Sci. 2021, 11, 4243. [Google Scholar] [CrossRef]
- Guo, K.; Zhang, Z.; Liu, S.; Liu, Y.; Wang, L. MD Maa S: Medical-assisted diagnosis model as a service with artificial intelligence and trust. IEEE Trans. Ind. Inform. 2020, 16, 2102–2114. [Google Scholar] [CrossRef]
- Yi, B.; Shen, X.; Liu, H.; Zhang, Z.; Zhang, W.; Liu, S.; Xiong, N. Deep matrix factorization with implicit feedback embedding for recommendation system. IEEE Trans. Ind. Inform. 2019, 15, 4591–4601. [Google Scholar] [CrossRef]
- Rashid, M.; Javed, M.A.; Ahmad, J.; Lee, S. A cold-start recommender system based on clustering and deep learning. J. Ambient Intell. Humaniz. Comput. 2020, 11, 1183–1198. [Google Scholar]
- Panteli, A.; Boutsinas, B. Addressing the Cold-Start Problem in Recommender Systems Based on Frequent Patterns. Algorithms 2023, 16, 182. [Google Scholar] [CrossRef]
- Chen, J.; Lu, Y.; Shang, F.; Zhu, T. A novel recommendation scheme with multi-factorial weighted matrix decomposition strategies via forgetting rule. Eng. Appl. Artif. Intell. 2021, 101, 104191. [Google Scholar] [CrossRef]
- AlRossais, N.; Kudenko, D.; Yuan, T. Improving cold start recommendations using item based stereo types. User Model. User-Adapt. Interact. 2021, 31, 867–905. [Google Scholar] [CrossRef]
- Zhao, X.; Zhang, L.; Ding, Z.; Xia, L.; Tang, J.; Yin, D. Recommendations with Negative Feedback via Pairwise Deep Reinforcement Learning. In Proceedings of the 2018 IEEE International Conference on Data Mining (ICDM), Singapore, 17–20 November 2018; pp. 1040–1048. [Google Scholar]
- Zhao, X.; Xia, L.; Zhang, L.; Ding, Z.; Yin, D.; Tang, J. Deep Reinforcement Learning for Page-wise Recommendations. In Proceedings of the 12th ACM Conference on Recommender Systems, Vancouver, BC, Canada, 2–6 October 2018; pp. 95–103. [Google Scholar]
- Zou, L.; Xia, L.; Du, P.; Zhang, Z.; Bai, T.; Liu, W.; Nie, J.; Yin, D. Pseudo Dyna-Q: A Rein for cement Learning Framework for Interactive Recommendation. In Proceedings of the 13th International Conference on Web Search Data Mining, Houston, TX, USA, 3–7 February 2020; pp. 816–824. [Google Scholar]
- Lei, Y.; Li, W. Interactive recommendation with user-specific deep reinforcement learning. ACM Trans. Knowl. Discov. Data 2019, 13, 1–15. [Google Scholar] [CrossRef]
- Singh, P.K.; Pramanik, P.K.D.; Dey, A.K.; Choudhury, P. Recommender systems: An overview, research trends, and future directions. Int. J. Bus. Syst. Res. 2021, 15, 14–52. [Google Scholar] [CrossRef]
- Rahman, M.; Shama, I.A.; Rahman, S.; Nabil, R. Hybrid Recommendation System to Solve Cold start Problem. J. Theor. Appl. Inf. Technol. 2022, 100, 3562–3578. [Google Scholar]
- Abdullah, N.A.; Rasheed, R.A.; Nasir, M.H.N.M.; Rahman, M.M. Eliciting Auxiliary Information for Cold Start User Recommendation: A Survey. Appl. Sci. 2021, 11, 9608. [Google Scholar] [CrossRef]
- Davidson, J.; Liebald, B.; Liu, J.; Nandy, P.; Van Vleet, T.; Gargi, U.; Gupta, S.; He, Y.; Lambert, M.; Livingston, B.; et al. The You Tube Recommender System; IAEME Publication: Chennai, India, 2019. [Google Scholar]
- Reddy, S.R.S.; Nalluri, S.; Kunisetti, S.; Ashok, S.; Venkatesh, B. Content-Based Movie Recommendation System Using Genre Correlation. In Smart Intelligent Computing and Applications; Satapathy, S.C., Bhateja, V., Das, S., Eds.; Springer: Singapore, 2019; pp. 391–397. [Google Scholar]
- Tabianan, K.; Velu, S.; Ravi, V. K-Means Clustering Approach for Intelligent Customer Segmentation Using Customer Purchase Behavior Data. Sustainability 2022, 14, 7243. [Google Scholar] [CrossRef]
- Kang, S.; Chung, K. Preference-Tree-Based Real-Time Recommendation System. Entropy 2022, 24, 503. [Google Scholar] [CrossRef]
- Karimova, F. A Survey of e-Commerce Recommender Systems. Eur. Sci. J. ESJ 2016, 12, 75. [Google Scholar] [CrossRef]
- Tawiq, F.; Munir, S.; Akhtar, N.; Ali, A.; Aslam, W. An E-Commerce Recommendation System Based on Dynamic Analysis of Customer Behaviour. Sustainability 2021, 13, 11818. [Google Scholar] [CrossRef]
- Hussien, F.T.A.; Rahma, A.M.S.; Wahab, H.B.A. Recommendation Systems For E-commerce Systems An Overview. In Proceedings of the Sixth International Scientific Conference for Iraqi Al Khwarizmi Society (FISCAS) 2021, Cairo, Egypt, 22–23 November 2021. [Google Scholar]
- Addagarla, S.K.; Amalanathan, A. Probabilistic Unsupervised Machine Learning Approach for a Similar Image Recommender System for E-Commerce. Symmetry 2020, 12, 1783. [Google Scholar] [CrossRef]
- Pandey, S.; Khanna, P. Content-Based Image Retrieval Embedded with Agglomerative Clustering Built on Information Loss. Comput. Electr. Eng. 2016, 54, 506–521. [Google Scholar] [CrossRef]
- Okon, E.U.; Eke, B.O.; Asagba, P.O. An Improved Online Book Recommender System using Collaborative Filtering Algorithm. IJCA 2018, 179, 41–48. [Google Scholar] [CrossRef]
- Sarwar, B.; Karypis, G.; Konstan, J.; Riedl, J. Item-based collaborative filtering recommendation algorithms Web Recommendation System for E-Commerce Applications. In Proceedings of the 10th International Conference on World Wide Web, Lyon, France, 23–27 April 2018. [Google Scholar]
- Sharma, S.N.; Sadagopan, P. Influence of conditional holo entropy- based feature selection on automatic recommendation system in E-commerce sector. J. King Saud Univ.—Comput. Inf. Sci. 2022, 34, 5564–5577. [Google Scholar]
- Zhang, Z.; Xu, G.; Zhang, P. Research on E-Commerce Platform-Based Personalized Recommendation Algorithm. Appl. Comput. Intell. Soft Comput. 2016, 2016, 5160460. [Google Scholar] [CrossRef]
- Burke, R. Integrating Knowledge–based and Collaborative-filtering Recommender Systems. In Proceedings of the AAAI Conference on Artificial Intelligence, Orlando, FL, USA, 18–22 July 1999. [Google Scholar]
- Sharma, R.S.; Saikh, A.A.; Li, E. Designing Recommendation or Suggestion Systems: Looking to the Future. Electron. Mark. 2021, 31, 243–252. [Google Scholar] [CrossRef]
- Hu, Y.; Yi, X.; Davis, L.S. Collaborative fashion recommendation: A functional tensor factorization approach. In Proceedings of the 23rd ACM International Conference on Multimedia, ACM, Brisbane, Australia, 26–30 October 2015. [Google Scholar]
- Abdulla, G.M.; Arif, S.; Jassim, F. Size recommendation system for fashion e-commerce. J. Soft Comput. Decis. Support Syst. 2017, 4, 12–22. [Google Scholar]
- E, R.K.; Venkatesan, R.; Suresh Kumar, V. E-Commerce Recommender System Using Product Data. Int. J. Sci. Technol. Res. 2020, 9, 5811–5816. [Google Scholar]
- Lee, D.; Hosanagar, K. Impact of Recommender Systems on Sales Volume and Diversity. MIS Q. 2014, 38, 143–166. [Google Scholar]
- Khalid, A.; Lundqvist, K.; Yates, A. Recommender Systems for MOOCs: A Systematic Literature Survey (January 1, 2012–July 12, 2019). Int. Rev. Res. Open Distrib. Learn. 2020, 21, 255–291. [Google Scholar] [CrossRef]
- Salunke, J.; Chaudhari, A. Classification of Recommendation System for E-commerce Application. J. Comput. Sci. Eng. Softw. Test. 2017, 3, 1–10. [Google Scholar]
- Paniello, U. Developing a price-sensitive recommender system to improve accuracy and business performance of e-commerce applications. Int. J. Electron. Commer. Stud. 2015, 6, 57–66. [Google Scholar]
- Aamir, M.; Bhusry, M. Recommendation system: State of the art approach. Int. J. Comput. Appl. 2015, 120, 25–32. [Google Scholar] [CrossRef]
- Alamdari, P.M.; Navimipour, N.J.; Hosseinzadeh, M.; Safaei, A.A.; Darwesh, A. A systematic study on the recommender systems in the e-commerce. IEEE Access 2020, 8, 115694–115716. [Google Scholar] [CrossRef]
- Houshmand-Nanehkaran, F.; Lajevardi, S.M.; Mahlouji-Bidgholi, M. Optimization of Fuzzy Similarity by Genetic Algorithm in User-Based Collaborative Filtering Recommender Systems. Expert Syst. 2022, 40, e12893. [Google Scholar] [CrossRef]
- Hazrati, N.; Elah, M. Addressing the New Item Problem in Video Recommender Systems by Incorporation of Visual Features with Restricted Boltzmann Machines. Expert Syst. 2021, 38, e12645. [Google Scholar] [CrossRef]
- Santos, R.D.; Aguilar, J. A Hybrid Recommender System Based on Description/Dialetheic Logic and Linked Data. Expert Syst. 2022, 40, e13143. [Google Scholar] [CrossRef]
- Sohail, S. Recommender Systems for Ecommerce: In perspective of Business Strategies. Int. J. Latest Technol. Eng. Manag. Appl. Sci. 2013, 8, 165–169. [Google Scholar]
















| Problem Name | Authors | Important Findings | |
|---|---|---|---|
| 1. | Cold Start Problem | [20,21,24,26,29,30,31,32,33,34,36,37,38] |
|
| 2. | Overspecialization Problem (OPS) | [39,40,41,42,43,44,45] |
|
| 3. | Scalability Problem | [46,47,48,49,50,51] |
|
| 4. | Sparsity Problem | [52,53,54,55] |
|
| 5. | Insufficient Data Problem | [56,57,58] |
|
| 6. | Changing User Preferences | [59,60,61] |
|
| 7. | Gathering Known Ratings for Matrix | [62,63,64] |
|
| 8. | Unpredictable items | [65,66] |
|
| Symbol | Description | |
|---|---|---|
| 1. | X | The number of accurate recommendations made by the model. |
| 2. | I | The number of inaccurate recommendations made by the model. |
| 3. | U1 | Prediction accuracy after Phase A of review pre-processing. |
| 4. | M | Already given inaccurate recommendations. |
| 5. | U2 | Prediction accuracy after Phase B of the review pre-processing. |
| 6. | V | The number of recommendations changed from incorrect to correct. |
| 7. | E | Data generation rate. |
| 8. | η1 | Rate of general filtering of user reviews. |
| 9. | η2 | Rate of filtering after passing ReSA Phase A. |
| 10. | η3 | Rate of filtering after passing ReSA Phase B. |
| 11. | γ1 | Transfer rate of positive review to negative review at Level 1. |
| 12. | γ2 | Rate of transfer of positive review to filtered data. |
| 13. | Change in the rate of incorrect recommendations. | |
| 14. | 1 | Transfer rate of positive review to already filtered data. |
| 15. | 2 | Transfer of positive review to negative review block where a negative review was already stored. |
| 16. | The rate at which filtered data are transferred to vulnerable data. | |
| 17. | Rate of data transfer from filtered to recovered data. | |
| 18. | The rate of filtered data recovery following NLP. | |
| 19. | Z | A matrix with Jacobians for the frequency of additional transitions between filtered data blocks and various blocks. |
| 20. | J | A matrix with the Jacobians for the frequency of fresh reviews appearing inside the filtered data blocks. |
| 21. | MRFE | Jacobian at the equilibrium of review pre-processing. |
| 22. | ꞇESP | τ at the Equilibrium at a final block of processing. |
| Factors Considered | Naïve Bayes | Random Forest | Logistic Regression | Best Score | |
|---|---|---|---|---|---|
| 1. | Accuracy | 0.792136 | 0.890750 | 0.9464930 | Random Forest |
| 2. | Precision | 0.702792 | 0.848830 | 0.9457630 | Random Forest |
| 3. | Recall | 0.988681 | 0.942077 | 0.9357150 | Naive Bayes |
| 4. | F1 Score | 0.9829470 | 0.893026 | 0.9403620 | Naive Bayes |
| Algorithm Name | Classifier Taken/Technologies Used | Results/Observation | ||||
|---|---|---|---|---|---|---|
| Global Accuracy | Global Loss | F1-Score | AUC | |||
| 1. | SDN Based on Blockchain [12,13] | S.D.N., Blockchain, Fog Nodes | 87% | 3% | Not Available | Not Available |
| 2. | Edge Chain [14,15] | Edge Computing, Blockchain | Not Available | Not Available | Not Available | Not Available |
| 3. | Smart Grid [16,17] | Smart Grids, Edge Computing, K-Nearest Neighbors | 91% | 8% | Not Available | Not Available |
| 4. | Hyper Ledger Fabric Blockchain [18,19] | Edge Computing, Hyper ledger Fabric, IoT | Not Available | Not Available | Not Available | Not Available |
| 5. | Hybrid Storage Architecture [20,21] | Blockchain, smart computing, Edge Computing | Not Available | Not Available | Not Available | Not Available |
| 6. | Model Chain [22,23] | Blockchain, Machine Learning | 78% | 7% | Not Available | Not Available |
| 7. | Block Deep Net [24,25,26] | Blockchain, Deep Learning | 72% | 5.4% | Not Available | Not Available |
| 8. | Deep Coin [27,28,30] | Deep Learning, Blockchain, Smart Grid | 92% | 3.98 | 0.761 | Not Available |
| 9. | Deep Block Scheme [29] [30,31,32] | Blockchain, Deep Learning | 89% | 2.65 | 0.697 | Not Available |
| 10. | Asynchronous Advantage Actor–critic Algorithm [30,33,34,35,36] | Blockchain, Edge Computing, Deep Reinforcement Learning | 76% | 1.91% | Not Available | Not Available |
| 11. | Proposed Approach | An Improved Method to Recommender’s Cold Start by User Reviews Pre-processing Using Machine Learning | 96% | 1.5% | 0.78 | 92% |
Disclaimer/Publisher’s Note: The statements, opinions and data contained in all publications are solely those of the individual author(s) and contributor(s) and not of MDPI and/or the editor(s). MDPI and/or the editor(s) disclaim responsibility for any injury to people or property resulting from any ideas, methods, instructions or products referred to in the content. |
© 2024 by the authors. Licensee MDPI, Basel, Switzerland. This article is an open access article distributed under the terms and conditions of the Creative Commons Attribution (CC BY) license (https://creativecommons.org/licenses/by/4.0/).
Share and Cite
Mishra, K.N.; Mishra, A.; Barwal, P.N.; Lal, R.K. Natural Language Processing and Machine Learning-Based Solution of Cold Start Problem Using Collaborative Filtering Approach. Electronics 2024, 13, 4331. https://doi.org/10.3390/electronics13214331
Mishra KN, Mishra A, Barwal PN, Lal RK. Natural Language Processing and Machine Learning-Based Solution of Cold Start Problem Using Collaborative Filtering Approach. Electronics. 2024; 13(21):4331. https://doi.org/10.3390/electronics13214331
Chicago/Turabian StyleMishra, Kamta Nath, Alok Mishra, Paras Nath Barwal, and Rajesh Kumar Lal. 2024. "Natural Language Processing and Machine Learning-Based Solution of Cold Start Problem Using Collaborative Filtering Approach" Electronics 13, no. 21: 4331. https://doi.org/10.3390/electronics13214331
APA StyleMishra, K. N., Mishra, A., Barwal, P. N., & Lal, R. K. (2024). Natural Language Processing and Machine Learning-Based Solution of Cold Start Problem Using Collaborative Filtering Approach. Electronics, 13(21), 4331. https://doi.org/10.3390/electronics13214331

